Effect of Al2O3 on Nanostructure and Ion Transport Properties of PVA/PEG/SSA Polymer Electrolyte Membrane
Abstract
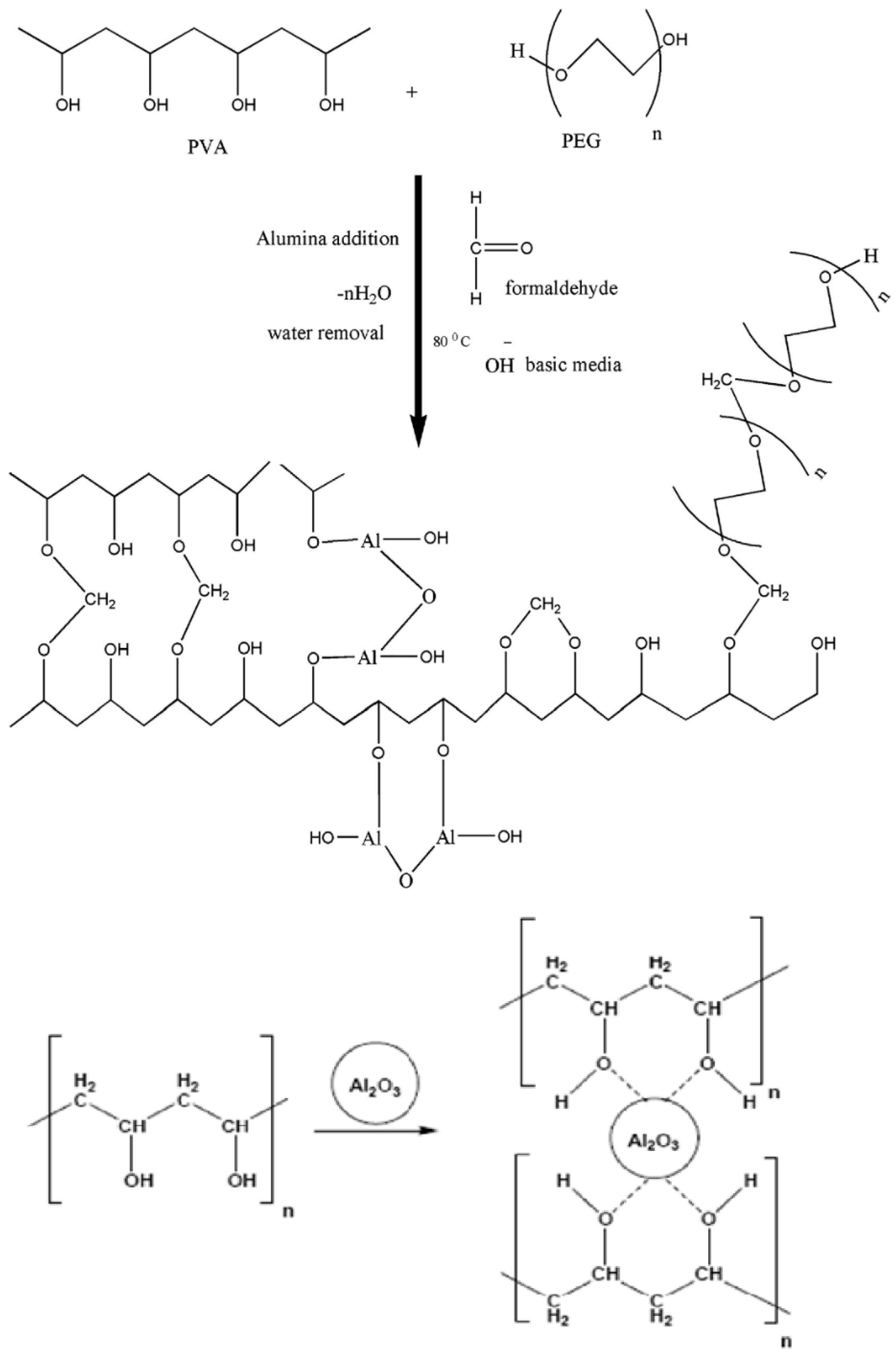
1. Introduction
2. Materials and Methods
2.1. Preparation of Membranes with Sulfosalicylic Acid (SSA)
2.2. Membrane Characterization Technique
3. Results and Discussion
3.1. Wide-Angle X-ray Diffraction (WAXD)
3.2. Water Uptake
3.3. Ion Exchange Capacity
3.4. Ionic Conductivity
3.5. Positron Annihilation Lifetime
4. Conclusions
Author Contributions
Funding
Institutional Review Board Statement
Informed Consent Statement
Data Availability Statement
Conflicts of Interest
References
- Joghee, P.; Malik, J.N.; Pylypenko, S.; O’Hayre, R. A review on direct methanol fuel cells–In the perspective of energy and sustainability. MRS Energy Sustain. 2015, 2, 3. [Google Scholar] [CrossRef]
- Vielstich, W.; Lamm, A.; Gasteiger, H. Handbook of Fuel Cells: Fundamentals, Technology, and Applications; Wiley: Hoboken, NJ, USA; New York, NY, USA, 2003. [Google Scholar]
- Ahmad, F.; Sheha, E. Preparation and physical properties of (PVA)0.7(NaBr)0.3(H3PO4)xM solid acid membrane for phosphoric acid—Fuel cells. J. Adv. Res. 2013, 4, 155–161. [Google Scholar] [CrossRef] [PubMed]
- Çelik, S.U.; Aslan, A.; Bozkurt, A. Phosphoric acid-doped poly(1-vinyl-1,2,4-triazole) as water-free proton conducting polymer electrolytes. Solid State Ion. 2008, 179, 683–688. [Google Scholar] [CrossRef]
- Ali, Z.I.; Eisa, W.H. Characterization of Electron Beam Irradiated Poly Vinyl Alcohol/Poly Ethylene Glycol Blends. J. Sci. Res. 2014, 6, 29–42. [Google Scholar] [CrossRef]
- Reddy, C.; Kumara Babu, P.; Sudha, K.; Prabhakar, M.; Sudhakar, P.; Pratap, S.; Prasad, S.; Reddy, V.; Subha, M.C.S.; Rao, K. Miscibility studies of hydroxyethyl cellulose and poly (ethylene glycol) polymer blends. J. Polym. Res. 2013, 7, 253–266. [Google Scholar]
- Falqi, F.H.; Bin-Dahman, Q.A.; Hussain, M.; Al-Harthi, M.A. Preparation of Miscible PVA/PEG Blends and Effect of Graphene Concentration on Thermal, Crystallization, Morphological, and Mechanical Properties of PVA/PEG (10wt%) Blend. Int. J. Polym. Sci. 2018, 2018, 8527693. [Google Scholar] [CrossRef]
- Abd Alla, S.G.; Said, H.M.; El-Naggar, M.; El-Naggar, A.W.M. Structural properties of γ-irradiated poly(vinyl alcohol)/poly(ethylene glycol) polymer blends. J. Appl. Polym. Sci. 2004, 94, 167–176. [Google Scholar] [CrossRef]
- Dilshad, M.R.; Islam, A.; Hamidullah, U.; Jamshaid, F.; Ahmad, A.; Butt, M.T.Z.; Ijaz, A. Effect of alumina on the performance and characterization of cross-linked PVA/PEG 600 blended membranes for CO2/N2 separation. Sep. Purif. Technol. 2019, 210, 627–635. [Google Scholar] [CrossRef]
- El-Toony, M.M.; Abdel-Hady, E.E.; El-Kelesh, N.A. Casting of poly (vinyl alcohol)/glycidyl methacrylate reinforced with titanium dioxide nanoparticles for proton exchange fuel cells. J. Solid State Electrochem. 2016, 20, 1913–1920. [Google Scholar] [CrossRef]
- Gomaa, M.M.; Hugenschmidt, C.; Dickmann, M.; Abdel-Hady, E.E.; Mohamed, H.F.M.; Abdel-Hamed, M.O. Crosslinked PVA/SSA proton exchange membranes: Correlation between physiochemical properties and free volume determined by positron annihilation spectroscopy. Phys. Chem. Chem. Phys. 2018, 20, 28287. [Google Scholar] [CrossRef]
- Olsen, J.V.; Kirkegaard, P.; Pedersen, N.J.; Eldrup, M. PALSfit: A new program for the evaluation of positron lifetime spectra. Phys. Stat. Sol. C 2007, 4, 4004–4006. [Google Scholar] [CrossRef]
- Aziz, S.B.; Abdullah, O.G.; Hussein, S.A.; Ahmed, H.M. Effect of PVA Blending on Structural and Ion Transport Properties of CS:AgNt-Based Polymer Electrolyte Membrane. Polymers 2017, 9, 622. [Google Scholar] [CrossRef]
- Stephen, R.; Ranganathaiah, C.; Varghese, S.; Joseph, K.; Thomas, S. Gas transport through nano and micro composites of natural rubber (NR) and their blends with carboxylated styrene butadiene rubber (XSBR) latex membranes. Polymer 2006, 47, 858–870. [Google Scholar] [CrossRef]
- Tadokoro, H. Structure of Crystalline Polymer; John Wiley & Sons: New York, NY, USA, 1979. [Google Scholar]
- Utpalla, P.; Sharma, S.K.; Prakash, J.; Bahadur, J.; Sahu, M.; Pujari, P.K. Free volume structure at interphase region of poly (ethylene oxide)-Al2O3 nanorods composites based solid polymer electrolyte and its direct correlation with Li ion conductivity. Solid State Ionics 2022, 375, 115840. [Google Scholar] [CrossRef]
- Riyadh, S.M.; Khalil, K.D.; Bashal, A.H. Structural Properties and Catalytic Activity of Binary Poly (vinyl alcohol)/Al2O3 Nanocomposite Film for Synthesis of Thiazoles. Catalysts 2020, 10, 100. [Google Scholar] [CrossRef]
- Li, Z.; Su, G.; Gao, D.; Wang, X.; Li, X. Effect of Al2O3 nanoparticles on the electrochemical characteristics of P (VDF-HFP)-based polymer electrolyte. Electrochim. Acta 2004, 49, 4633–4639. [Google Scholar] [CrossRef]
- Piotrowska, K.; Zalewska, A.; Syzdek, J.S.; Niedzicki, L.; Marcinek, M. Properties of PVdF/HFP Inorganic Al2O3 Ffiller Modified Gel Electrolytes. ECS Trans. 2010, 25, 221. [Google Scholar] [CrossRef]
- Egashira, M.; Yoshimoto, N.; Morita, M. The Effect of Alumina Filler on the Properties of Imidazolium Ionic Liquid Gel Electrolyte. Electrochem. Commun. 2010, 78, 423–426. [Google Scholar] [CrossRef][Green Version]
- Chand, N.; Rai, N.; Agrawal, S.; Patel, S. Morphology, Thermal, electrical and electrochemical stability of nano aluminium-oxidefilled polyvinyl alcohol composite gel electrolyte. Bull. Mater. Sci. 2011, 34, 1297–1304. [Google Scholar] [CrossRef]
- Chahal, R.P.; Mahendia, S.; Tomar, A.; Kumar, S. γ-Irradiated PVA/Ag nanocomposite films: Materials for optical applications. J. Alloy. Compd. 2012, 538, 212–219. [Google Scholar] [CrossRef]
- Sonmez, M.; Ficai, D.; Stan, A.; Bleotu, C.; Matei, L.; Ficai, A.; Andronescu, E. Synthesis and characterization of hybrid PVA/Al2O3 thin film. Mater. Lett. 2012, 74, 132–136. [Google Scholar] [CrossRef]
- Akimov, A.S.; Sviridenko, N.N.; Akimov, A.S. Synthesis and application of cobalt and polyoxomolybdate-containing alumina systems. J. Phys. Conf. Ser. 2020, 1611, 012027. [Google Scholar] [CrossRef]
- Abdullah, O.G.; Saleem, S.A. Effect of Copper Sulfide Nanoparticles on the Optical and Electrical Behavior of Poly(vinyl alcohol) Films. J. Electron. Mater. 2016, 45, 5910–5920. [Google Scholar] [CrossRef]
- Ma, B.; Hu, C.; Wang, X.; Xie, Y.; Jefferson, W.A.; Liu, H.; Qu, J. Effect of aluminum speciation on ultrafiltration membrane fouling by low dose aluminum coagulation with bovine serum albumin (BSA). J. Membr. Sci. 2015, 492, 88–94. [Google Scholar] [CrossRef]
- Spoiala, A.; IoanaIlie, C.; Ficai, D.; Ficai, A.; Andronescu, E. Chitosan-Based Nanocomposite Polymeric Membranes for Water Purification—A Review. Materials 2021, 14, 2091. [Google Scholar] [CrossRef] [PubMed]
- Elsharkawy, M.R.; Mohamed, H.F.; Hassanien, M.H.; Gomaa, M.M. Humidity effect on the transport properties of per-fluorinated sulfonic acid/PTFE proton exchange membranes: Positron annihilation study. Polym. Adv. Technol. 2022, 33, 952–965. [Google Scholar] [CrossRef]
- Iryani, D.A.; Wulandari, N.F.; Cindradewi, A.W.; Ginting, S.B.; Ernawati, E.; Hasanudin, U. Lampung natural zeolite filled cellulose acetate membrane for pervaporation of ethanol-water mixtures. IOP Conf. Ser. Earth Environ. Sci. 2018, 141, 012013. [Google Scholar] [CrossRef]
- Mohamed, H.F.M.; Ito, K.; Kobayashi, Y.; Takimoto, N.; Takeoka, Y.; Ohira, A. Free volume and permeabilities of O2 and H2 in Nafion membranes for polymer electrolyte fuel cells. Polymer 2008, 49, 3091–3097. [Google Scholar] [CrossRef]
- Kamarudin, K.H.; Isa, M.I.N. Structural and dcionic conductivity studies of carboxy methylcellulose doped with ammonium nitrate as solid polymer electrolytes. Int. J. Phys. Sci. 2013, 8, 1581–1587. [Google Scholar]
- Jacob, M.M.E.; Prabaharan, S.R.S.; Radhakrishna, S. Effect of PEO addition on the electrolytic and thermal properties of PVDF-LiClO4 polymer electrolytes. Solid State Ion. 1997, 104, 2267–2276. [Google Scholar] [CrossRef]
- Hu, X.-L.; Hou, G.-H.; Zhang, M.-O.; Rong, M.-Z.; Ruan, W.-H.; Giannelis, E.P. A new nanocomposite polymer electrolyte based on poly(vinyl alcohol) incorporating hypergrafted nano-silica. J. Mater. Chem. 2012, 22, 18961–18967. [Google Scholar] [CrossRef]
- Lue, S.J.; Lee, D.-T.; Chen, J.-Y.; Chiu, C.-H.; Hu, C.-C.; Jean, Y.C.; Lai, J.-Y. Diffusivity enhancement of water vapor in poly(vinyl alcohol)-fumed silica nano-composite membranes: Correlation with polymer crystallinity and free-volume properties. J. Memb. Sci. 2008, 325, 831–839. [Google Scholar] [CrossRef]
- Jessie Lue, S.; Chen, J.Y.; Ming Yang, J. Crystallinity and Stability of Poly(vinyl alcohol)-Fumed Silica Mixed Matrix Membranes. J. Macromol. Sci. Part B 2007, 47, 39–51. [Google Scholar] [CrossRef]
- Kumar, S.R.; Juan, C.; Liao, G.-M.; Lin, J.-S.; Yang, C.-C.; Ma, W.-T.; You, I.-H.; Lue, S.J. Fumed Silica Nanoparticles Incorporated in Quaternized Poly(Vinyl Alcohol) Nanocomposite Membrane for Enhanced Power Densities in Direct Alcohol Alkaline Fuel Cells. Energies 2016, 9, 15. [Google Scholar] [CrossRef]
- Zhao, S.; Wu, O.; Ma, W.; Yang, L. Polyethylene Oxide-Based Composites as Solid-State Polymer Electrolytes for Lithium Metal Batteries: A Mini Review. Front. Chem. 2020, 8, 640. [Google Scholar] [CrossRef]
- Huang, X.; Mac, X.; Wang, R.; Zhang, L.; Deng, Z. Combined effect of surface-charged latex nanoparticle AHPS and Al2O3 nano-fillers on electrochemical performance of the anionic gel polymer electrolytes PVA/P (MA-co-AHPS). Solid State Ion. 2014, 267, 54–60. [Google Scholar] [CrossRef]
- Toa, S.T. Positronium annihilation in molecular substances. J. Chem. Phys. 1972, 56, 5499–5551. [Google Scholar]
- Eldrup, M.; Lightbody, D.; Sherwood, J.N. The temperature dependence of positron lifetimes in solid pivalic acid. Chem. Phys. 1981, 63, 51–58. [Google Scholar] [CrossRef]
- Nakanishi, H.; Wang, S.J.; Jean, Y.C. Positron Annihilation Studies of Fluids; Sharam, S.C., Ed.; World Scientific: Singapore, 1988. [Google Scholar]
- Mohamed, H.F.M.; Kobayashi, Y.; Kuroda, C.S.; Ohira, A. Impact of heating on the structure of perfluorinated polymer electrolyte membranes: A positron annihilation study. Macromol. Chem. Phys. 2011, 212, 708–714. [Google Scholar] [CrossRef]
- Abdel-Hady, E.E.; Abdel-Hamed, M.O.; Awad, S.; Hmamm, M.F.M. Characterization and evaluation of commercial poly (vinylidene fluoride)-g-sulfonated Polystyrene as proton exchange membrane. Polym. Adv. Technol. 2018, 29, 130–142. [Google Scholar] [CrossRef]
- Mohamed, H.F.M.; Kobayashi, Y.; Kuroda, C.S.; Takimoto, N.; Ohira, A. Free volume, oxygen permeability, and uniaxial compression storage modulus of hydrated biphenol-based sulfonated poly(arylene ether sulfone). J. Membr. Sci. 2010, 360, 84–89. [Google Scholar] [CrossRef]
- Mohamed, H.F.M.; Ito, Y.; El-Sayed, A.M.A.; Abdel-Hady, E.E. Positron annihilation in poly(vinyl alcohol) doped with CuCl2. Polymer 1996, 37, 1529–1533. [Google Scholar] [CrossRef]
- Reyna-Valencia, A.; Kaliaguine, S.; Bousmina, M. Tensile mechanical properties of sulfonated poly(ether ether ketone) (SPEEK) and BPO4/SPEEK membranes. J. Appl. Polym. Sci. 2005, 98, 2380–2393. [Google Scholar] [CrossRef]











| Al2O3 Content (wt.%) | Crystalline Peak | Amorphous Peak | ||||||
|---|---|---|---|---|---|---|---|---|
| Peak Position | FWHM | Grain Size (nm) | Area under Peak (%) | Peak Position | FWHM | Grain Size (nm) | Area under Peak (%) | |
| 0 | 19.412° | 1.600° | 5.26 | 20.11 | 19.375° | 4.265° | 1.97 | 79.89 |
| 0.3 | 19.704° | 1.397° | 6.03 | 18.70 | 19.655° | 4.673° | 1.80 | 81.30 |
| 0.7 | 19.558° | 1.087° | 7.75 | 7.67 | 19.462° | 4.078° | 2.07 | 92.33 |
| 1 | 19.673° | 1.358° | 6.20 | 14.74 | 19.366° | 4.234° | 1.99 | 85.26 |
| 5 | 19.509° | 1.630° | 5.17 | 21.88 | 19.640° | 4.840° | 1.74 | 78.12 |
| 7 | 19.353° | 1.812° | 4.65 | 25.00 | 20.131° | 5.465° | 1.54 | 75.00 |
| 10 | 19.700° | 1.760° | 4.79 | 24.66 | 19.837° | 5.400° | 1.56 | 75.34 |
Publisher’s Note: MDPI stays neutral with regard to jurisdictional claims in published maps and institutional affiliations. |
© 2022 by the authors. Licensee MDPI, Basel, Switzerland. This article is an open access article distributed under the terms and conditions of the Creative Commons Attribution (CC BY) license (https://creativecommons.org/licenses/by/4.0/).
Share and Cite
Mohamed, H.F.M.; Abdel-Hady, E.E.; Abdel-Moneim, M.M.Y.; Bakr, M.A.M.; Soliman, M.A.M.; Shehata, M.G.H.; Ismail, M.A.T. Effect of Al2O3 on Nanostructure and Ion Transport Properties of PVA/PEG/SSA Polymer Electrolyte Membrane. Polymers 2022, 14, 4029. https://doi.org/10.3390/polym14194029
Mohamed HFM, Abdel-Hady EE, Abdel-Moneim MMY, Bakr MAM, Soliman MAM, Shehata MGH, Ismail MAT. Effect of Al2O3 on Nanostructure and Ion Transport Properties of PVA/PEG/SSA Polymer Electrolyte Membrane. Polymers. 2022; 14(19):4029. https://doi.org/10.3390/polym14194029
Chicago/Turabian StyleMohamed, Hamdy F. M., Esam E. Abdel-Hady, Mostafa M. Y. Abdel-Moneim, Mohamed A. M. Bakr, Mohamed A. M. Soliman, Mahmoud G. H. Shehata, and Mahmoud A. T. Ismail. 2022. "Effect of Al2O3 on Nanostructure and Ion Transport Properties of PVA/PEG/SSA Polymer Electrolyte Membrane" Polymers 14, no. 19: 4029. https://doi.org/10.3390/polym14194029
APA StyleMohamed, H. F. M., Abdel-Hady, E. E., Abdel-Moneim, M. M. Y., Bakr, M. A. M., Soliman, M. A. M., Shehata, M. G. H., & Ismail, M. A. T. (2022). Effect of Al2O3 on Nanostructure and Ion Transport Properties of PVA/PEG/SSA Polymer Electrolyte Membrane. Polymers, 14(19), 4029. https://doi.org/10.3390/polym14194029

