Poloxamer-Based Hydrogel as Drug Delivery System: How Polymeric Excipients Influence the Chemical-Physical Properties
Abstract
:1. Introduction
2. Materials and Methods
2.1. Materials
2.2. Preparation of the Gels
2.3. pH Evaluation
2.4. Measurement of Solution-Gel Transition Temperature (Tsol/gel)
2.5. Erosion Tests
2.6. Statistical Analysis
2.7. Determination of the Viscosity
2.8. Atomic Force Microscopy (AFM) Imaging
2.9. In Vitro Release Studies
3. Results and Discussion
3.1. Gel Preparation, Determination of Tsol/gel and pH
3.2. Erosion Behaviors of Gel Formulations
3.3. Statistical Analysis
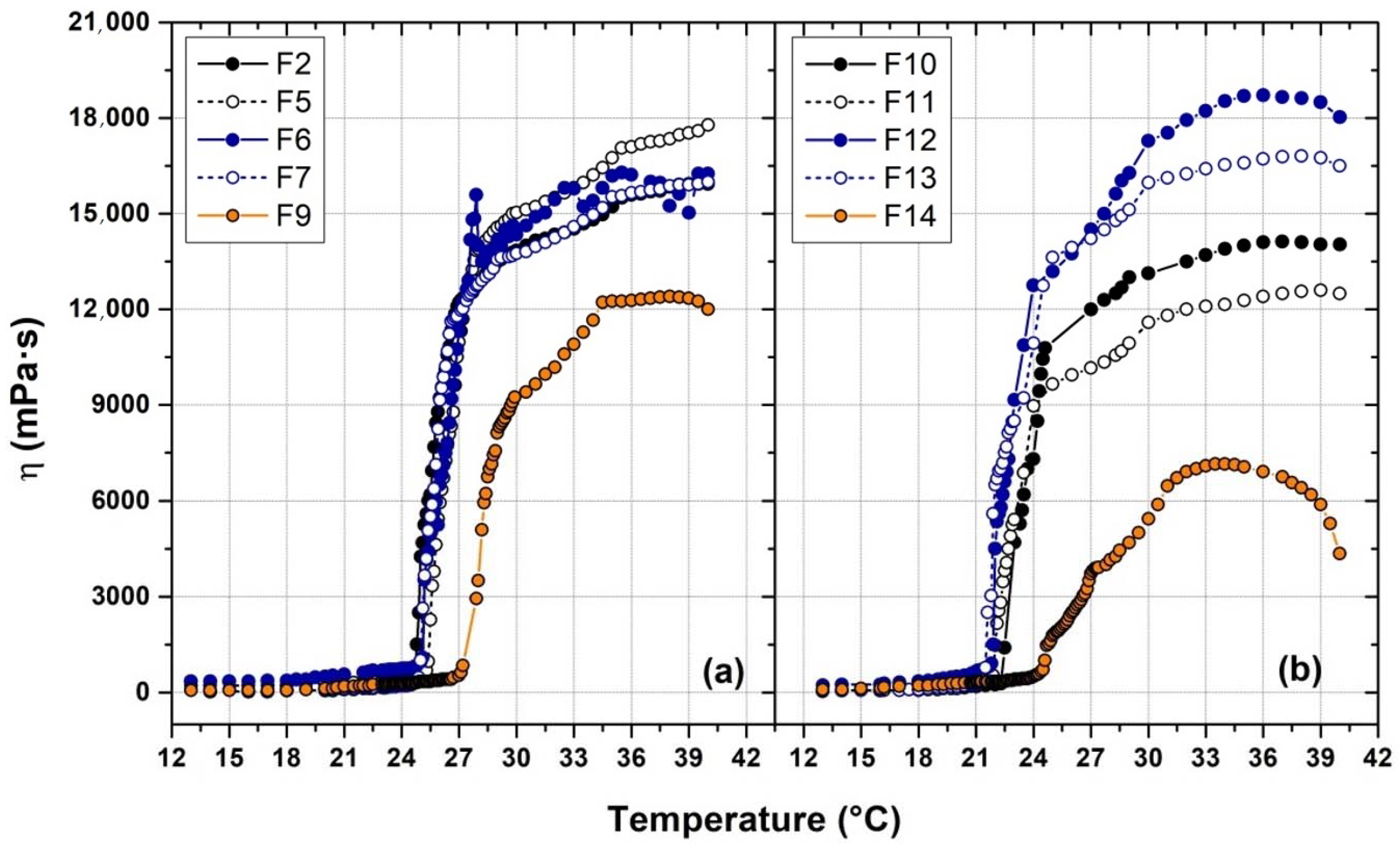
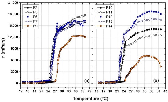
3.4. Determination of the Viscosity
3.5. AFM Imaging
3.6. In Vitro Release Studies
4. Conclusions
Supplementary Materials
Author Contributions
Funding
Institutional Review Board Statement
Informed Consent Statement
Data Availability Statement
Conflicts of Interest
References
- Shi, J.; Xiao, Z.; Kamaly, N.; Farokhzad, O.C. Self-Assembled Targeted Nanoparticles: Evolution of Technologies and Bench to Bedside Translation. Acc. Chem. Res. 2011, 44, 1123–1134. [Google Scholar] [CrossRef] [PubMed]
- Verma, G.; Hassan, P.A. Self Assembled Materials: Design Strategies and Drug Delivery Perspectives. Phys. Chem. Chem. Phys. 2013, 15, 17016. [Google Scholar] [CrossRef] [PubMed]
- Locarno, S.; Argentiere, S.; Ruffoni, A.; Maggioni, D.; Soave, R.; Bucci, R.; Erba, E.; Lenardi, C.; Gelmi, M.L.; Clerici, F. Self-Assembled Hydrophobic Ala-Aib Peptide Encapsulating Curcumin: A Convenient System for Water Insoluble Drugs. RSC Adv. 2020, 10, 9964–9975. [Google Scholar] [CrossRef] [PubMed]
- Locarno, S.; Galli, A.; Argentiere, S.; Galgano, M.; Giuntini, I.; Lenardi, C.; Perego, C. Effects of Cell Line Proliferation on the Aggregation and Stability of a Hyaluronic Acid Solution (HA)/PLGA Microparticles Dispersed in the Culture System. Int. J. Polym. Mater. Polym. Biomater. 2022, 71, 1060–1068. [Google Scholar] [CrossRef]
- Zarrintaj, P.; Jouyandeh, M.; Ganjali, M.R.; Hadavand, B.S.; Mozafari, M.; Sheiko, S.S.; Vatankhah-Varnoosfaderani, M.; Gutiérrez, T.J.; Saeb, M.R. Thermo-Sensitive Polymers in Medicine: A Review. Eur. Polym. J. 2019, 117, 402–423. [Google Scholar] [CrossRef]
- El-Husseiny, H.M.; Mady, E.A.; Hamabe, L.; Abugomaa, A.; Shimada, K.; Yoshida, T.; Tanaka, T.; Yokoi, A.; Elbadawy, M.; Tanaka, R. Smart/Stimuli-Responsive Hydrogels: Cutting-Edge Platforms for Tissue Engineering and Other Biomedical Applications. Mater. Today Bio 2022, 13, 100186. [Google Scholar] [CrossRef]
- Municoy, S.; Álvarez Echazú, M.I.; Antezana, P.E.; Galdopórpora, J.M.; Olivetti, C.; Mebert, A.M.; Foglia, M.L.; Tuttolomondo, M.V.; Alvarez, G.S.; Hardy, J.G.; et al. Stimuli-Responsive Materials for Tissue Engineering and Drug Delivery. Int. J. Mol. Sci. 2020, 21, 4724. [Google Scholar] [CrossRef]
- Hoare, T.R.; Kohane, D.S. Hydrogels in Drug Delivery: Progress and Challenges. Polymer 2008, 49, 1993–2007. [Google Scholar] [CrossRef]
- Xiong, Y.; Zhang, X.; Ma, X.; Wang, W.; Yan, F.; Zhao, X.; Chu, X.; Xu, W.; Sun, C. A Review of the Properties and Applications of Bioadhesive Hydrogels. Polym. Chem. 2021, 12, 3721–3739. [Google Scholar] [CrossRef]
- Hu, W.; Wang, Z.; Xiao, Y.; Zhang, S.; Wang, J. Advances in Crosslinking Strategies of Biomedical Hydrogels. Biomater. Sci. 2019, 7, 843–855. [Google Scholar] [CrossRef]
- Parhi, R. Cross-Linked Hydrogel for Pharmaceutical Applications: A Review. Adv. Pharm. Bull. 2017, 7, 515–530. [Google Scholar] [CrossRef]
- Bonacucina, G.; Cespi, M.; Mencarelli, G.; Giorgioni, G.; Palmieri, G.F. Thermosensitive Self-Assembling Block Copolymers as Drug Delivery Systems. Polymers 2011, 3, 779–811. [Google Scholar] [CrossRef]
- Alexandridis, P.; Alan Hatton, T. Poly(Ethylene Oxide)Poly(Propylene Oxide)Poly(Ethylene Oxide) Block Copolymer Surfactants in Aqueous Solutions and at Interfaces: Thermodynamics, Structure, Dynamics, and Modeling. Colloids Surf. A Physicochem. Eng. Asp. 1995, 96, 1–46. [Google Scholar] [CrossRef]
- Zarrintaj, P.; Ramsey, J.D.; Samadi, A.; Atoufi, Z.; Yazdi, M.K.; Ganjali, M.R.; Amirabad, L.M.; Zangene, E.; Farokhi, M.; Formela, K.; et al. Poloxamer: A Versatile Tri-Block Copolymer for Biomedical Applications. Acta Biomater. 2020, 110, 37–67. [Google Scholar] [CrossRef]
- Giuliano, E.; Paolino, D.; Fresta, M.; Cosco, D. Mucosal Applications of Poloxamer 407-Based Hydrogels: An Overview. Pharmaceutics 2018, 10, 159. [Google Scholar] [CrossRef] [PubMed]
- Kozicki, M.; Jaszczak, M.; Maras, P.; Naglik, R.; Dudek, M.; Kadlubowski, S.; Wach, R. Preliminary Study on a 3D Lung Mimicking Dosimeter Based on Pluronic F-127 Matrix. Radiat. Phys. Chem. 2021, 185, 109479. [Google Scholar] [CrossRef]
- Piotrowski, M.; Maras, P.; Kadłubowski, S.; Kozicki, M. Study of the Optimal Composition and Storage Conditions of the Fricke–XO–Pluronic F–127 Radiochromic Dosimeter. Materials 2022, 15, 984. [Google Scholar] [CrossRef]
- Zięba, M.; Chaber, P.; Duale, K.; Martinka Maksymiak, M.; Basczok, M.; Kowalczuk, M.; Adamus, G. Polymeric Carriers for Delivery Systems in the Treatment of Chronic Periodontal Disease. Polymers 2020, 12, 1574. [Google Scholar] [CrossRef]
- Cossellu, G.; Farronato, G.; Farronato, D.; Ceschel, G.; Angiero, F. Space-Maintaining Management in Maxillary Sinus Lifting: A Novel Technique Using a Resorbable Polymeric Thermo-Reversible Gel. Int. J. Oral Maxillofac. Surg. 2017, 46, 648–654. [Google Scholar] [CrossRef]
- Morelli, L.; Cappelluti, M.A.; Ricotti, L.; Lenardi, C.; Gerges, I. An Injectable System for Local and Sustained Release of Antimicrobial Agents in the Periodontal Pocket. Macromol. Biosci. 2017, 17, 1700103. [Google Scholar] [CrossRef]
- Basrani, B. Chlorhexidine Gluconate. Aust. Endod. J. 2005, 31, 48–52. [Google Scholar] [CrossRef] [PubMed]
- Sloan, B.; Scheinfeld, N. The Use and Safety of Doxycycline Hyclate and Other Second-Generation Tetracyclines. Expert Opin. Drug Saf. 2008, 7, 571–577. [Google Scholar] [CrossRef] [PubMed]
- Schmolka, I.R. Artificial Skin, I. Preparation and Properties of Pluronic F-127 Gels for Treatment of Burns. J. Biomed. Mater. Res. 1972, 6, 571–582. [Google Scholar] [CrossRef] [PubMed]
- Patlolla, V.G.R.; Holbrook, W.P.; Gizurarson, S.; Kristmundsdottir, T. Long-Term Stabilization of Aqueous Doxycycline Formulations, in Mucoadhesive Hydrogels for Treatment of Oral Mucosal Conditions. Curr. Drug Discov. Technol. 2020, 17, 376–386. [Google Scholar] [CrossRef]
- Choi, H.-G.; Jung, J.-H.; Ryu, J.-M.; Yoon, S.-J.; Oh, Y.-K.; Kim, C.-K. Development of in Situ-Gelling and Mucoadhesive Acetaminophen Liquid Suppository. Int. J. Pharm. 1998, 165, 33–44. [Google Scholar] [CrossRef]
- Malinowski, M.; Duggal, M.S.; Strafford, S.M.; Toumba, K.J. The Effect of Varying Concentrations of Fluoridated Milk on Enamel Remineralisation in Vitro. Caries Res. 2012, 46, 555–560. [Google Scholar] [CrossRef]
- Vadnere, M.; Amidon, G.; Lindenbaum, S.; Haslam, J. Thermodynamic Studies on the Gel-Sol Transition of Some Pluronic Polyols. Int. J. Pharm. 1984, 22, 207–218. [Google Scholar] [CrossRef]
- Attwood, D.; Collett, J.; Tait, C. The Micellar Properties of the Poly(Oxyethylene)–Poly(Oxypropylene) Copolymer Pluronic F127 in Water and Electrolyte Solution. Int. J. Pharm. 1985, 26, 25–33. [Google Scholar] [CrossRef]
- Abou-Shamat, M.A.; Calvo-Castro, J.; Stair, J.L.; Cook, M.T. Modifying the Properties of Thermogelling Poloxamer 407 Solutions through Covalent Modification and the Use of Polymer Additives. Macromol. Chem. Phys. 2019, 220, 1900173. [Google Scholar] [CrossRef]
- Bhowmik, M.; Kumari, P.; Sarkar, G.; Bain, M.K.; Bhowmick, B.; Mollick, M.M.R.; Mondal, D.; Maity, D.; Rana, D.; Bhattacharjee, D.; et al. Effect of Xanthan Gum and Guar Gum on in Situ Gelling Ophthalmic Drug Delivery System Based on Poloxamer-407. Int. J. Biol. Macromol. 2013, 62, 117–123. [Google Scholar] [CrossRef]
- Liu, Y.; Zhu, Y.; Wei, G.; Lu, W. Effect of Carrageenan on Poloxamer-Based in Situ Gel for Vaginal Use: Improved in Vitro and in Vivo Sustained-Release Properties. Eur. J. Pharm. Sci. 2009, 37, 306–312. [Google Scholar] [CrossRef] [PubMed]
- Talasaz, A.H.H.; Ghahremankhani, A.A.; Moghadam, S.H.; Malekshahi, M.R.; Atyabi, F.; Dinarvand, R. In Situ Gel Forming Systems of Poloxamer 407 and Hydroxypropyl Cellulose or Hydroxypropyl Methyl Cellulose Mixtures for Controlled Delivery of Vancomycin. J. Appl. Polym. Sci. 2008, 109, 2369–2374. [Google Scholar] [CrossRef]
- Taheri, A.; Atyabi, F.; Dinarvnd, R. Temperature-Responsive and Biodegradable PVA:PVP K30:Poloxamer 407 Hydrogel for Controlled Delivery of Human Growth Hormone (HGH). J. Pediatr. Endocrinol. Metab. 2011, 24, 175–179. [Google Scholar] [CrossRef] [PubMed]
- Suberlyak, O.; Skorokhoda, V. Hydrogels Based on Polyvinylpyrrolidone Copolymers. In Hydrogels; InTech: London, UK, 2018. [Google Scholar]
- Maslii, Y.; Ruban, O.; Kasparaviciene, G.; Kalveniene, Z.; Materiienko, A.; Ivanauskas, L.; Mazurkeviciute, A.; Kopustinskiene, D.M.; Bernatoniene, J. The Influence of PH Values on the Rheological, Textural and Release Properties of Carbomer Polacril® 40P-Based Dental Gel Formulation with Plant-Derived and Synthetic Active Components. Molecules 2020, 25, 5018. [Google Scholar] [CrossRef] [PubMed]
- Punitha, S.; Uvarani, R.; Panneerselvam, A. Effect of PH in Aqueous (Hydroxy Propyl Methyl Cellulose) Polymer Solution. Results Mater. 2020, 7, 100120. [Google Scholar] [CrossRef]
- Yang, H.M.; Yoon, H.Y.; Kim, C.H.; Goo, Y.T.; Choi, I.J.; Park, S.; Chang, I.H.; Choi, Y.W. Poloxamer 407-based Floating Hydrogels for Intravesical Instillation: Statistical Optimization Using Central Composite Design, Gel Erosion, and Drug Release. Bull. Korean Chem. Soc. 2021, 42, 72–79. [Google Scholar] [CrossRef]
- Van Hemelryck, S.; Dewulf, J.; Niekus, H.; van Heerden, M.; Ingelse, B.; Holm, R.; Mannaert, E.; Langguth, P. In Vitro Evaluation of Poloxamer in Situ Forming Gels for Bedaquiline Fumarate Salt and Pharmacokinetics Following Intramuscular Injection in Rats. Int. J. Pharm. X 2019, 1, 100016. [Google Scholar] [CrossRef] [PubMed]
- Bolten, D.; Türk, M. Experimental Study on the Surface Tension, Density, and Viscosity of Aqueous Poly(Vinylpyrrolidone) Solutions. J. Chem. Eng. Data 2011, 56, 582–588. [Google Scholar] [CrossRef]
- Bird, R.B.; Armstrong, R.C.; Hassager, O. Dynamics of Polymeric Liquids. Vol. 1: Fluid Mechanics, 2nd ed.; John Wiley & Sons (Wiley): Hoboken, NJ, USA, 1987; ISBN 978-0-471-80245-7. [Google Scholar]
- Balmforth, N.J.; Frigaard, I.A.; Ovarlez, G. Yielding to Stress: Recent Developments in Viscoplastic Fluid Mechanics. Annu. Rev. Fluid Mech. 2014, 46, 121–146. [Google Scholar] [CrossRef]
- Dinkgreve, M.; Paredes, J.; Denn, M.M.; Bonn, D. On Different Ways of Measuring “the” Yield Stress. J. Nonnewton. Fluid Mech. 2016, 238, 233–241. [Google Scholar] [CrossRef]
- Sriamornsak, P.; Wattanakorn, N.; Takeuchi, H. Study on the Mucoadhesion Mechanism of Pectin by Atomic Force Microscopy and Mucin-Particle Method. Carbohydr. Polym. 2010, 79, 54–59. [Google Scholar] [CrossRef]
- Park, C.R.; Munday, D.L. Evaluation of Selected Polysaccharide Excipients in Buccoadhesive Tablets for Sustained Release of Nicotine. Drug Dev. Ind. Pharm. 2004, 30, 609–617. [Google Scholar] [CrossRef] [PubMed]
- Karavas, E.; Georgarakis, E.; Bikiaris, D. Application of PVP/HPMC Miscible Blends with Enhanced Mucoadhesive Properties for Adjusting Drug Release in Predictable Pulsatile Chronotherapeutics. Eur. J. Pharm. Biopharm. 2006, 64, 115–126. [Google Scholar] [CrossRef] [PubMed]
- Mathematical Models of Drug Release. In Strategies to Modify the Drug Release from Pharmaceutical Systems; Elsevier: Amsterdam, The Netherlands, 2015; pp. 63–86.
- Zhang, L. Development and In-Vitro Evaluation of Sustained Release Poloxamer 407 (P407) Gel Formulations of Ceftiofur. J. Control. Release 2002, 85, 73–81. [Google Scholar] [CrossRef]








| ID Formulation | P407% | Additive% | Tsol/gel (°C) | pH |
|---|---|---|---|---|
| F1 | 20 | - | 21.9 | 7.19 |
| F2 | 18 | - | 25.5 | 7.09 |
| F3 | 15 | - | 38.5 | 7.05 |
| F4 | 13 | - | - * | 6.95 |
| F5 | 18 | XG 0.2 | 22.0 | 6.45 |
| F6 | 18 | E407 0.2 | 25.0 | 6.61 |
| F7 | 18 | HPMC 1 | 22.5 | 5.89 |
| F8 | 18 | PVP 4 | - * | 5.82 |
| F9 | 18 | PVP 4–HMPC 1 | 22.0 | 5.74 |
| ID Formulation | P407% | Additive% | Tsol/gel (°C) | pH |
|---|---|---|---|---|
| F10 | 18 | - | 24.0 | 7.10 |
| F11 | 18 | XG 0.2 | 21.5 | 7.08 |
| F12 | 18 | E407 0.2 | 23.0 | 7.01 |
| F13 | 18 | HPMC 0.5 | 22.0 | 7.11 |
| F14 | 18 | PVP 4–HMPC 1 | 19.5 | 7.01 |
| A% | DM | pH | Tsol-gel A | Tsol-gel B | E% After 4 h | P407% | |
|---|---|---|---|---|---|---|---|
| A% | 1 | 0.3146 | −0.37182 | −0.17998 | −0.1979 | −0.17595 | 0.25544 |
| DM | 0.3146 | 1 | 0.4966 | 0.11061 | 0.09166 | 0.45019 | 0.2008 |
| pH | −0.37182 | 0.4966 | 1 | 0.31138 | 0.31187 | 0.18601 | −0.10465 |
| Tsol-gel A | −0.17998 | 0.11061 | 0.31138 | 1 | 0.99711 | 0.24508 | 0.22828 |
| Tsol-gel B | −0.1979 | 0.09166 | 0.31187 | 0.99711 | 1 | 0.21857 | 0.17585 |
| E% after 4 h | −0.17595 | 0.45019 | 0.18601 | 0.24508 | 0.21857 | 1 | 0.25089 |
| P407% | 0.25544 | 0.2008 | −0.10465 | 0.22828 | 0.17585 | 0.25089 | 1 |
| ID Formulation | Tsol/gel (°C) |
|---|---|
| F2 | 24.7–26.9 |
| F5 | 25.3–27.8 |
| F6 | 25.1–27.5 |
| F7 | 24.8–26.4 |
| F9 | 27.2–29.8 |
| F10 | 22.4–24.7 |
| F11 | 21.9–24.1 |
| F12 | 21.8–24.0 |
| F13 | 21.5–24.4 |
| F14 | 24.5–31.0 |
| ID Formulation | Additive% | CHX | DOX | ||
|---|---|---|---|---|---|
| R2 | K0 (μg/h) | R2 | K0 (μg/h) | ||
| F10 | - | 0.99 | 2.86 ± 0.17 | 0.99 | 12.75 ± 0.74 |
| F11 | XG 0.2 | 0.97 | 3.22 ± 0.51 | 0.96 | 8.19 ± 0.86 |
| F12 | E407 0.2 | 0.99 | 11.25 ± 0.47 | 0.98 | 5.67 ± 0.57 |
| F13 | HPMC 0.5 | 0.97 | 7.79 ± 0.73 | 0.96 | 9.17 ± 0.80 |
| F14 | PVP 4–HMPC 1 | 0.99 | 1.05 ± 0.05 | 0.96 | 8.73 ± 0.86 |
Publisher’s Note: MDPI stays neutral with regard to jurisdictional claims in published maps and institutional affiliations. |
© 2022 by the authors. Licensee MDPI, Basel, Switzerland. This article is an open access article distributed under the terms and conditions of the Creative Commons Attribution (CC BY) license (https://creativecommons.org/licenses/by/4.0/).
Share and Cite
Brambilla, E.; Locarno, S.; Gallo, S.; Orsini, F.; Pini, C.; Farronato, M.; Thomaz, D.V.; Lenardi, C.; Piazzoni, M.; Tartaglia, G. Poloxamer-Based Hydrogel as Drug Delivery System: How Polymeric Excipients Influence the Chemical-Physical Properties. Polymers 2022, 14, 3624. https://doi.org/10.3390/polym14173624
Brambilla E, Locarno S, Gallo S, Orsini F, Pini C, Farronato M, Thomaz DV, Lenardi C, Piazzoni M, Tartaglia G. Poloxamer-Based Hydrogel as Drug Delivery System: How Polymeric Excipients Influence the Chemical-Physical Properties. Polymers. 2022; 14(17):3624. https://doi.org/10.3390/polym14173624
Chicago/Turabian StyleBrambilla, Elisa, Silvia Locarno, Salvatore Gallo, Francesco Orsini, Carolina Pini, Marco Farronato, Douglas Vieira Thomaz, Cristina Lenardi, Marco Piazzoni, and Gianluca Tartaglia. 2022. "Poloxamer-Based Hydrogel as Drug Delivery System: How Polymeric Excipients Influence the Chemical-Physical Properties" Polymers 14, no. 17: 3624. https://doi.org/10.3390/polym14173624
APA StyleBrambilla, E., Locarno, S., Gallo, S., Orsini, F., Pini, C., Farronato, M., Thomaz, D. V., Lenardi, C., Piazzoni, M., & Tartaglia, G. (2022). Poloxamer-Based Hydrogel as Drug Delivery System: How Polymeric Excipients Influence the Chemical-Physical Properties. Polymers, 14(17), 3624. https://doi.org/10.3390/polym14173624

