Spatiotemporal Temperature Distribution of NIR Irradiated Polypyrrole Nanoparticles and Effects of pH
Abstract
:1. Introduction
2. Materials and Methods
2.1. Materials
2.2. Synthesis of PPN
2.3. pH Effects over PPN
2.4. Characterization of PPN
2.5. Photothermal Evaluation of PPN
2.6. Spatiotemporal Temperature Distribution Analysis
Determination of Model Parameters: , and
2.7. Statistical Data Analysis
3. Results and Discussion
3.1. Characterization of PPN Synthesis
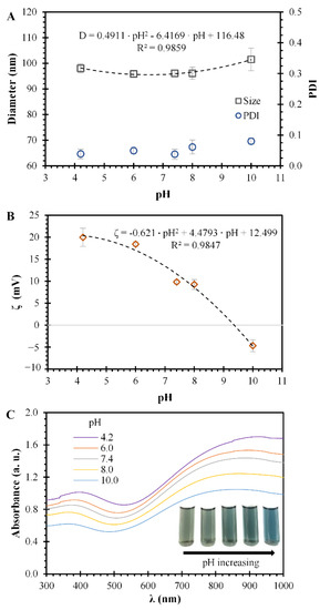
3.2. pH Effects over PPN
3.3. Determination of Model Parameters: , and
3.3.1. Photothermal Effect of PPN at Different Concentrations
3.3.2. Photothermal Effect of PPN at Different pH
4. Conclusions
Supplementary Materials
Author Contributions
Funding
Institutional Review Board Statement
Informed Consent Statement
Data Availability Statement
Acknowledgments
Conflicts of Interest
References
- Zhou, J.; Lu, Z.; Zhu, X.; Wang, X.; Liao, Y.; Ma, Z.; Li, F. NIR Photothermal Therapy Using Polyaniline Nanoparticles. Biomaterials 2013, 34, 9584–9592. [Google Scholar] [CrossRef]
- Chen, M.; Fang, X.; Tang, S.; Zheng, N. Polypyrrole Nanoparticles for High-Performance in vivo near-Infrared Photothermal Cancer Therapy. Chem. Commun. 2012, 48, 8934–8936. [Google Scholar] [CrossRef]
- Baez-Castillo, L.; Ortiz-Rascón, E.; Carrillo-Torres, R.C.; Bruce, N.C.; Garduño-Mejia, J.; Lucero-Acuña, A.; Álvarez-Ramos, M.E. Deep Photothermal Effect Induced by Stereotactic Laser Beams in Highly Scattering Media. Opt. Lett. 2021, 46, 2–5. [Google Scholar] [CrossRef]
- Yang, J.; Zhai, S.; Qin, H.; Yan, H.; Xing, D.; Hu, X. NIR-Controlled Morphology Transformation and Pulsatile Drug Delivery Based on Multifunctional Phototheranostic Nanoparticles for Photoacoustic Imaging-Guided Photothermal-Chemotherapy. Biomaterials 2018, 176, 1–12. [Google Scholar] [CrossRef]
- Guo, B.; Zhao, J.; Wu, C.; Zheng, Y.; Ye, C.; Huang, M.; Wang, S. One-Pot Synthesis of Polypyrrole Nanoparticles with Tunable Photothermal Conversion and Drug Loading Capacity. Colloids Surfaces B Biointerfaces 2019, 177, 346–355. [Google Scholar] [CrossRef]
- Balint, R.; Cassidy, N.J.; Cartmell, S.H. Conductive Polymers: Towards a Smart Biomaterial for Tissue Engineering. Acta Biomater. 2014, 10, 2341–2353. [Google Scholar] [CrossRef]
- Liu, Y.; Yu, Q.; Chang, J.; Wu, C. Nanobiomaterials: From 0D to 3D for Tumor Therapy and Tissue Regeneration. Nanoscale 2019, 11, 13678–13708. [Google Scholar] [CrossRef]
- Vines, J.B.; Lim, D.J.; Park, H. Contemporary Polymer-Based Nanoparticle Systems for Photothermal Therapy. Polymers 2018, 10, 1357. [Google Scholar] [CrossRef] [Green Version]
- Vaitkuviene, A.; Kaseta, V.; Voronovic, J.; Ramanauskaite, G.; Biziuleviciene, G.; Ramanaviciene, A.; Ramanavicius, A. Evaluation of Cytotoxicity of Polypyrrole Nanoparticles Synthesized by Oxidative Polymerization. J. Hazard. Mater. 2013, 250–251, 167–174. [Google Scholar] [CrossRef]
- Xiao, Z.; Xu, C.; Jiang, X.; Zhang, W.; Peng, Y.; Zou, R.; Huang, X.; Liu, Q.; Qin, Z.; Hu, J. Hydrophilic Bismuth Sulfur Nanoflower Superstructures with an Improved Photothermal Efficiency for Ablation of Cancer Cells. Nano Res. 2016, 9, 1934–1947. [Google Scholar] [CrossRef]
- Wang, J.; Lin, F.; Chen, J.; Wang, M.; Ge, X. The Preparation, Drug Loading and in vitro NIR Photothermal-Controlled Release Behavior of Raspberry-like Hollow Polypyrrole Microspheres. J. Mater. Chem. B 2015, 3, 9186–9193. [Google Scholar] [CrossRef]
- Song, X.; Chen, Q.; Liu, Z. Recent Advances in the Development of Organic Photothermal Nano-Agents. Nano Res. 2015, 8, 340–354. [Google Scholar] [CrossRef]
- Yang, K.; Xu, H.; Cheng, L.; Sun, C.; Wang, J.; Liu, Z. In vitro and in vivo Near-Infrared Photothermal Therapy of Cancer Using Polypyrrole Organic Nanoparticles. Adv. Mater. 2012, 24, 5586–5592. [Google Scholar] [CrossRef]
- Chen, J.; Ning, C.; Zhou, Z.; Yu, P.; Zhu, Y.; Tan, G.; Mao, C. Nanomaterials as Photothermal Therapeutic Agents. Prog. Mater. Sci. 2019, 99, 1–26. [Google Scholar] [CrossRef]
- Zha, Z.; Yue, X.; Ren, Q.; Dai, Z. Uniform Polypyrrole Nanoparticles with High Photothermal Conversion Efficiency for Photothermal Ablation of Cancer Cells. Adv. Mater. 2013, 25, 777–782. [Google Scholar] [CrossRef]
- Hong, J.Y.; Yoon, H.; Jang, J. Kinetic Study of the Formation of Polypyrrole Nanoparticles in Water-Soluble Polymer/Metal Cation Systems: A Light-Scattering Analysis. Small 2010, 6, 679–686. [Google Scholar] [CrossRef]
- Andreozzi, A.; Brunese, L.; Iasiello, M.; Tucci, C.; Vanoli, G.P. Modeling Heat Transfer in Tumors: A Review of Thermal Therapies. Ann. Biomed. Eng. 2019, 47, 676–693. [Google Scholar] [CrossRef]
- Singh, S.; Melnik, R. Thermal Ablation of Biological Tissues in Disease Treatment: A Review of Computational Models and Future Directions. Electromagn. Biol. Med. 2020, 39, 49–88. [Google Scholar] [CrossRef]
- Qin, Z.; Bischof, J.C. Thermophysical and Biological Responses of Gold Nanoparticle Laser Heating. Chem. Soc. Rev. 2012, 41, 1191–1217. [Google Scholar] [CrossRef]
- Roper, D.K.; Ahn, W.; Hoepfner, M. Microscale Heat Transfer Transduced by Surface Plasmon Resonant Gold Nanoparticles. J. Phys. Chem. C 2007, 111, 3636–3641. [Google Scholar] [CrossRef] [Green Version]
- Tian, Q.; Jiang, F.; Zou, R.; Liu, Q.; Chen, Z.; Zhu, M.; Yang, S.; Wang, J.; Wang, J.; Hu, J. Hydrophilic Cu9S5 Nanocrystals: A Photothermal Agent with a 25.7% Heat Conversion Efficiency for Photothermal Ablation of Cancer Cells in Vivo. ACS Nano 2011, 5, 9761–9771. [Google Scholar] [CrossRef]
- Baffou, G.; Cichos, F.; Quidant, R. Applications and Challenges of Thermoplasmonics. Nat. Mater. 2020, 19, 946–958. [Google Scholar] [CrossRef]
- Liu, Y.; Kangas, J.; Wang, Y.; Khosla, K.; Pasek-Allen, J.; Saunders, A.; Oldenburg, S.; Bischof, J. Photothermal Conversion of Gold Nanoparticles for Uniform Pulsed Laser Warming of Vitrified Biomaterials. Nanoscale 2020, 12, 12346–12356. [Google Scholar] [CrossRef]
- Huang, H.C.; Rege, K.; Heys, J.J. Spatiotemporal Temperature Distribution and Cancer Cell Death in Response to Extracellular Hyperthermia Induced by Gold Nanorods. ACS Nano 2010, 4, 2892–2900. [Google Scholar] [CrossRef] [Green Version]
- Zayan, S.E.; El-Shazly, A.H.; El-Kady, M.F. Assessment of Polypyrrole Nanoparticles Synthesized in Presence and Absence of Surfactant for Heavy Metals Decontamination. In Proceedings of the AIP Conference Proceedings, Technologies and Materials for renewable Energy, Environment and Sustainability: TMREES19Gr, Athens, Greece, 4–6 September 2019; Haider, A.J., Jabur, A.R., Salame, C., Vokas, G., Eds.; American Institute of Physics: College Park, MD, USA; Volume 2190, p. 020025-1–020025–020026.
- Wang, M. Emerging Multifunctional NIR Photothermal Therapy Systems Based on Polypyrrole Nanoparticles. Polymers 2016, 8, 373. [Google Scholar] [CrossRef] [Green Version]
- Incropera, F.P.; DeWitt, D.P. Fundamentos de Transferencia de Calor, 4th ed.; Prentice Hall: Mexico, 1999; ISBN 970-17-0170-4. [Google Scholar]
- Wen, J.; Tian, Y.; Mei, Z.; Wu, W.; Tian, Y. Synthesis of Polypyrrole Nanoparticles and Their Applications in Electrically Conductive Adhesives for Improving Conductivity. RSC Adv. 2017, 7, 53219–53225. [Google Scholar] [CrossRef] [Green Version]
- Pan, H.; Marsh, J.N.; Christenson, E.T.; Soman, N.R.; Ivashyna, O.; Lanza, G.M.; Schlesinger, P.H.; Wickline, S.A. Postformulation Peptide Drug Loading of Nanostructures. In Methods in Enzymology, 1st ed.; Abelson, J.N., Simon, M.I., Eds.; Elsevier Inc.: San Diego, CA, USA, 2012; Volume 508, pp. 17–39. ISBN 9780123918604. [Google Scholar]
- Samanta, D.; Meiser, J.L.; Zare, R.N. Polypyrrole Nanoparticles for Tunable, pH-Sensitive and Sustained Drug Release. Nanoscale 2015, 7, 9497–9504. [Google Scholar] [CrossRef] [Green Version]
- Liu, H.; Li, W.; Cao, Y.; Guo, Y.; Kang, Y. Theranostic Nanoplatform Based on Polypyrrole Nanoparticles for Photoacoustic Imaging and Photothermal Therapy. J. Nanopart. Res. 2018, 20, 57. [Google Scholar] [CrossRef]
- Kisiel, A.; Korol, D.; Michalska, A.; Maksymiuk, K. Polypyrrole Nanoparticles of High Electroactivity. Simple Synthesis Methods and Studies on Electrochemical Properties. Electrochim. Acta 2021, 390, 138787. [Google Scholar] [CrossRef]
- Zhang, H.; Zhong, X.; Xu, J.; Chen, H. Fe3O4/Polypyrrole/Au Nanocomposites with Core/Shell/Shell Structure: Synthesis, Characterization, and Their Electrochemical Properties. Langmuir 2008, 24, 13748–13752. [Google Scholar] [CrossRef]
- Tiwari, A.P.; Hwang, T.I.; Oh, J.M.; Maharjan, B.; Chun, S.; Kim, B.S.; Joshi, M.K.; Park, C.H.; Kim, C.S. PH/NIR-Responsive Polypyrrole-Functionalized Fibrous Localized Drug-Delivery Platform for Synergistic Cancer Therapy. ACS Appl. Mater. Interfaces 2018, 10, 20256–20270. [Google Scholar] [CrossRef]
- Liu, Y.; Chu, Y.; Yang, L. Adjusting the Inner-Structure of Polypyrrole Nanoparticles through Microemulsion Polymerization. Mater. Chem. Phys. 2006, 98, 304–308. [Google Scholar] [CrossRef]
- Zeng, G.; An, Y.; Fei, H.; Yuan, T.; Qing, S.; Ci, L.; Xiong, S.; Feng, J. Green and Facile Synthesis of Nanosized Polythiophene as an Organic Anode for High-Performance Potassium-Ion Battery. Funct. Mater. Lett. 2018, 11, 1–3. [Google Scholar] [CrossRef]
- Li, X.-G.; Li, A.; Huang, M.-R.; Liao, Y.; Lu, Y.-G. Efficient and Scalable Synthesis of Pure Polypyrrole Nanoparticles Applicable for Advanced Nanocomposites and Carbon Nanoparticles. J. Phys. Chem. C 2010, 114, 19244–19255. [Google Scholar] [CrossRef]
- Hazarika, J.; Kumar, A. Controllable Synthesis and Characterization of Polypyrrole Nanoparticles in Sodium Dodecylsulphate (SDS) Micellar Solutions. Synth. Met. 2013, 175, 155–162. [Google Scholar] [CrossRef]
- Zhang, X.; Bai, R. Surface Electric Properties of Polypyrrole in Aqueous Solutions. Langmuir 2003, 19, 10703–10709. [Google Scholar] [CrossRef]
- Pei, Q.; Qian, R. Protonation and Deprotonation of Polypyrrole Chain in Aqueous Solutions. Synth. Met. 1991, 45, 35–48. [Google Scholar] [CrossRef]
- Shanehsaz, M.; Seidi, S.; Ghorbani, Y.; Shoja, S.M.R.; Rouhani, S. Polypyrrole-Coated Magnetic Nanoparticles as an Efficient Adsorbent for RB19 Synthetic Textile Dye: Removal and Kinetic Study. Spectrochim. Acta-Part A Mol. Biomol. Spectrosc. 2015, 149, 481–486. [Google Scholar] [CrossRef]
- Bai, L.; Li, Z.; Zhang, Y.; Wang, T.; Lu, R.; Zhou, W.; Gao, H.; Zhang, S. Synthesis of Water-Dispersible Graphene-Modified Magnetic Polypyrrole Nanocomposite and Its Ability to Efficiently Adsorb Methylene Blue from Aqueous Solution. Chem. Eng. J. 2015, 279, 757–766. [Google Scholar] [CrossRef]
- Alrahili, M.; Peroor, R.; Savchuk, V.; McNear, K.; Pinchuk, A. Morphology Dependence in Photothermal Heating of Gold Nanomaterials with Near-Infrared Laser. J. Phys. Chem. C 2020, 124, 4755–4763. [Google Scholar] [CrossRef]
- Jiang, K.; Smith, D.A.; Pinchuk, A. Size-Dependent Photothermal Conversion Efficiencies of Plasmonically Heated Gold Nanoparticles. J. Phys. Chem. C 2013, 117, 27073–27080. [Google Scholar] [CrossRef]
- Gogoi, R.; Singh, A.; Moutam, V.; Sharma, L.; Sharma, K.; Halder, A.; Siril, P.F. Revealing the Unexplored Effect of Residual Iron Oxide on the Photoreforming Activities of Polypyrrole Nanostructures on Plastic Waste and Photocatalytic Pollutant Degradation. J. Environ. Chem. Eng. 2022, 10, 106649. [Google Scholar] [CrossRef]
- Mirrahimi, M.; Hosseini, V.; Kamrava, S.K.; Attaran, N.; Beik, J.; Kooranifar, S.; Ghaznavi, H.; Shakeri-Zadeh, A. Selective Heat Generation in Cancer Cells Using a Combination of 808 nm Laser Irradiation and the Folate-Conjugated Fe2O3 @Au Nanocomplex. Artif. Cells Nanomed. Biotechnol. 2018, 46, 241–253. [Google Scholar] [CrossRef] [Green Version]
- Sun, C.; Ji, C.; Li, Y.; Kuang, J.; Wu, J. A Comparison Study of Photothermal Effect between Moxibustion Therapy and Laser Irradiation on Biological Tissue. Int. J. Therm. Sci. 2021, 164, 106924. [Google Scholar] [CrossRef]
- Lu, J.; Cai, L.; Dai, Y.; Liu, Y.; Zuo, F.; Ni, C.; Shi, M.; Li, J. Polydopamine-Based Nanoparticles for Photothermal Therapy/Chemotherapy and Their Synergistic Therapy with Autophagy Inhibitor to Promote Antitumor Treatment. Chem. Rec. 2021, 21, 781–796. [Google Scholar] [CrossRef]
- Zhao, Y.; Zhao, T.; Cao, Y.; Sun, J.; Zhou, Q.; Chen, H.; Guo, S.; Wang, Y.; Zhen, Y.; Liang, X.J.; et al. Temperature-Sensitive Lipid-Coated Carbon Nanotubes for Synergistic Photothermal Therapy and Gene Therapy. ACS Nano 2021, 15, 6517–6529. [Google Scholar] [CrossRef]
- Estelrich, J.; Antònia Busquets, M. Iron Oxide Nanoparticles in Photothermal Therapy. Molecules 2018, 23, 1567. [Google Scholar] [CrossRef] [Green Version]









| Parameter | Description | Unit | Value |
|---|---|---|---|
| Dispersion density | 998.2 | ||
| Heat capacity at constant pressure | 4182 | ||
| Thermal conductivity | 0.6 | ||
| Laser power | 1.5 | ||
| Irradiated volume | 6.25 × 10−8 | ||
| Temperature of surrounding media (air) | 297.15 | ||
| Temperature of the domain exterior | 297.15 | ||
| Emissivity of the cell walls | − | 0.925 * | |
| Emissivity of the air/solution interface | − | 0.96 * |
| PPN Concentration | ||
|---|---|---|
| 30 | 27.7 | 24 |
| 15 | 24.9 | 22 |
| 7.5 | 17.8 | 19 |
| 3.75 | 11.7 | 17 |
| 1.875 | 6.1 | 15 |
Publisher’s Note: MDPI stays neutral with regard to jurisdictional claims in published maps and institutional affiliations. |
© 2022 by the authors. Licensee MDPI, Basel, Switzerland. This article is an open access article distributed under the terms and conditions of the Creative Commons Attribution (CC BY) license (https://creativecommons.org/licenses/by/4.0/).
Share and Cite
Peñuñuri-Miranda, O.; Olivas-Martinez, M.; Ibarra-Espinoza, J.A.; Rodríguez-Córdova, R.J.; Hernández-Giottonini, K.Y.; Fernández-Quiroz, D.; Zavala-Rivera, P.; Lucero-Acuña, A. Spatiotemporal Temperature Distribution of NIR Irradiated Polypyrrole Nanoparticles and Effects of pH. Polymers 2022, 14, 3151. https://doi.org/10.3390/polym14153151
Peñuñuri-Miranda O, Olivas-Martinez M, Ibarra-Espinoza JA, Rodríguez-Córdova RJ, Hernández-Giottonini KY, Fernández-Quiroz D, Zavala-Rivera P, Lucero-Acuña A. Spatiotemporal Temperature Distribution of NIR Irradiated Polypyrrole Nanoparticles and Effects of pH. Polymers. 2022; 14(15):3151. https://doi.org/10.3390/polym14153151
Chicago/Turabian StylePeñuñuri-Miranda, Omar, Miguel Olivas-Martinez, José Alberto Ibarra-Espinoza, Rosalva Josefina Rodríguez-Córdova, Karol Yesenia Hernández-Giottonini, Daniel Fernández-Quiroz, Paul Zavala-Rivera, and Armando Lucero-Acuña. 2022. "Spatiotemporal Temperature Distribution of NIR Irradiated Polypyrrole Nanoparticles and Effects of pH" Polymers 14, no. 15: 3151. https://doi.org/10.3390/polym14153151
APA StylePeñuñuri-Miranda, O., Olivas-Martinez, M., Ibarra-Espinoza, J. A., Rodríguez-Córdova, R. J., Hernández-Giottonini, K. Y., Fernández-Quiroz, D., Zavala-Rivera, P., & Lucero-Acuña, A. (2022). Spatiotemporal Temperature Distribution of NIR Irradiated Polypyrrole Nanoparticles and Effects of pH. Polymers, 14(15), 3151. https://doi.org/10.3390/polym14153151

