Effect of Mixed Particulate Emulsifiers on Spray-Dried Avocado Oil-in-Water Pickering Emulsions
Abstract
:1. Introduction
2. Materials and Methods
2.1. Plant Materials and Chemical Reagents
2.2. Preparation of Avocado Oil Emulsions
2.2.1. Stability of the Kinetics of the Emulsion
2.2.2. Morphology, Droplet Size Distribution, and -Potential Measurements
2.3. Spray-Drying of Pickering Emulsions to Produce Microparticles
2.3.1. Determination of Moisture Content and Water Activity of Microparticles
2.3.2. Determination of Avocado Oil Content in Microparticles
2.3.3. Morphology of Microparticles
2.4. Determining Storage Conditions for Avocado Oil Microparticles
2.4.1. Moisture Adsorption Isotherm and Its Modeling
Guggenheim-Anderson-De Boer (GAB) Model
LSF-Polynomials of 6-th Order
2.4.2. Determination of the Critical Water Activity ()
Determination of Inflection Points
Determination of of M-AOE4 Microparticles
2.5. Fitting of Models
2.6. Statistical Analysis
3. Results
3.1. Droplet Size Distribution and Morphology
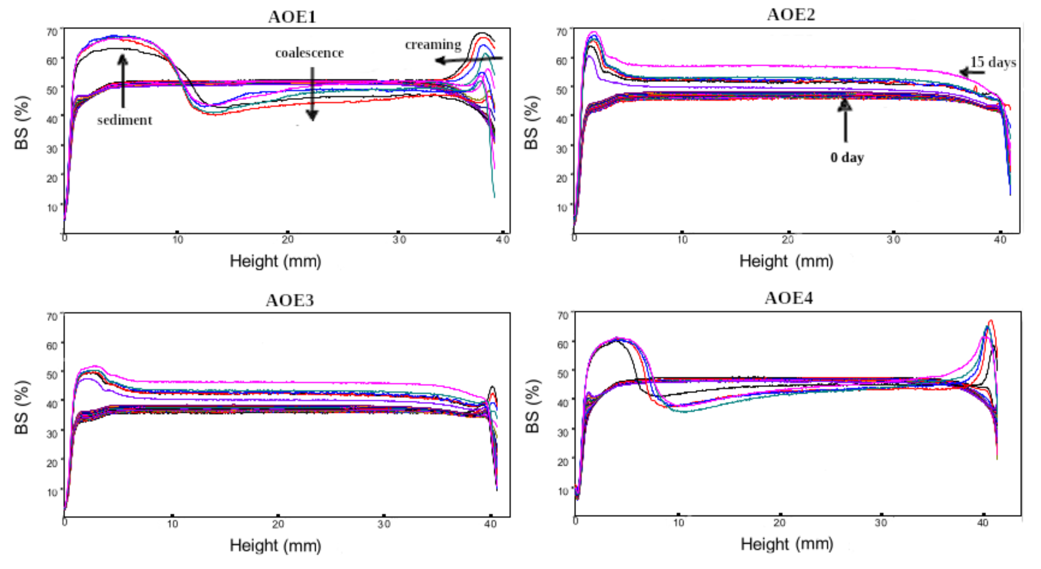
3.2. -Potential and Stability of Emulsions
3.3. Characterization of Spray-Dried Microparticles from Emulsions
3.4. Morphology of Spray Dried Microparticles
3.5. Thermal Analysis and Encapsulation Efficiency of Avocado Oil
Critical Storage Conditions of Avocado Oil Microparticles
4. Conclusions
Supplementary Materials
Author Contributions
Funding
Institutional Review Board Statement
Informed Consent Statement
Data Availability Statement
Acknowledgments
Conflicts of Interest
Abbreviations
| MD | Maltodextrin |
| LSF | Least squares fitting |
| EVAO | Extra virgin avocado oil |
| AOE | Avocado oil emulsion |
| M-AOE | Microparticles of avocado oil |
References
- Werman, M.J.; Mokady, S.; Ntmni, M.E.; Neeman, I. The Effect of Various Avocado Oils on Skin Collagen Metabolism. Connect. Tissue Res. 1991, 26, 1–10. [Google Scholar] [CrossRef] [PubMed]
- Furlan, C.P.B.; Valle, S.C.; Östman, E.; Maróstica, M.R.; Tovar, J. Inclusion of Hass avocado-oil improves postprandial metabolic responses to a hypercaloric-hyperlipidic meal in overweight subjects. J. Funct. Foods 2017, 38, 349–354. [Google Scholar] [CrossRef]
- Del Toro-Equihua, M.; Velasco-Rodríguez, R.; López-Ascencio, R.; Vásquez, C. Effect of an avocado oil-enhanced diet (Persea americana) on sucrose-induced insulin resistance in Wistar rats. J. Food. Drug. Anal. 2016, 24, 350–357. [Google Scholar] [CrossRef] [PubMed] [Green Version]
- Ge, Y.; Ma, F.; Wu, B.; Tan, L. Morphological and Chemical Analysis of 16 Avocado Accessions (Persea americana) From China by Principal Component Analysis and Cluster Analysis. J. Agric. Sci. 2018, 10, 80. [Google Scholar] [CrossRef]
- Baur, A.C.; Brandsch, C.; König, B.; Hirche, F.; Stangl, G.I. Plant Oils as Potential Sources of Vitamin D. Front Nutr. 2016, 3, 29. [Google Scholar] [CrossRef] [Green Version]
- Engelsen, O. The relationship between ultraviolet radiation exposure and vitamin D status. Nutrients 2010, 2, 482–495. [Google Scholar] [CrossRef] [Green Version]
- Hutchings, N.; Babalyan, V.; Baghdasaryan, S.; Qefoyan, M.; Sargsyants, N.; Aghajanova, E.; Martirosyan, A.; Harutyunyan, R.; Lesnyak, O.; Formenti, A.M. Patients hospitalized with COVID-19 have low levels of 25-hydroxyvitamin D. Endocrine 2021, 71, 267–269. [Google Scholar] [CrossRef]
- Woolf, A.; Wong, M.; Eyres, L.; McGhie, T.; Lund, C.; Olsson, S.; Wang, Y.; Bulley, C.; Wang, M.; Friel, E.; et al. 2-Avocado oil. In Gourmet and Health-Promoting Specialty Oils; Moreau, R.A., Kamal-Eldin, A., Eds.; AOCS Press: Amsterdam, The Netherlands, 2009; pp. 73–125. [Google Scholar]
- Mota, A.H.; Silva, C.O.; Nicolai, M.; Baby, A.; Palma, L.; Rijo, P.; Ascensão, L.; Reis, C.P. Design and evaluation of novel topical formulation with olive oil as natural functional active. Pharm. Dev. Technol. 2018, 23, 794–805. [Google Scholar] [CrossRef]
- Berton-Carabin, C.; Schroën, K. Pickering Emulsions for Food Applications: Background, Trends, and Challenges. Annu. Rev. Food Sci. Technol. 2015, 6, 263–297. [Google Scholar] [CrossRef]
- Bouyer, E.; Mekhloufi, G.; Rosilio, V.; Grossiord, J.; Agnely, F. Proteins, polysaccharides, and their complexes used as stabilizers for emulsions: Alternatives to synthetic surfactants in the pharmaceutical field? Int. J. Pharm. 2012, 436, 359–378. [Google Scholar] [CrossRef]
- Angkuratipakorn, T.; Sriprai, A.; Tantrawong, S.; Chaiyasit, W.; Singkhonrat, J. Fabrication and characterization of rice bran oil-in-water Pickering emulsion stabilized by cellulose nanocrystals. Colloids Surf. Physicochem. Eng. Asp. 2017, 522, 310–319. [Google Scholar] [CrossRef]
- Joseph, C.; Savoire, R.; Harscoat-Schiavo, C.; Pintori, D.; Monteil, J.; Faure, C.; Leal-Calderon, F. Pickering Emulsions Stabilized by various Plant Materials: Cocoa, Rapeseed Press Cake and Lupin Hulls. LWT 2020, 130, 109621. [Google Scholar] [CrossRef]
- Jiang, B.; Wang, L.; Zhu, M.; Wu, S.; Wang, X.; Li, D.; Liu, C.; Feng, Z.; Tian, B. Separation, Structural Characteristics and Biological Activity of Lactic Acid Bacteria Exopolysaccharides Separated by Aqueous Two-Phase System. LWT 2021, 147, 111617. [Google Scholar] [CrossRef]
- Bouhoute, M.; Taarji, N.; de Oliveira Felipe, L.; Habibi, Y.; Kobayashi, I.; Zahar, M.; Isoda, H.; Nakajima, M.; Neves, M.A. Microfibrillated cellulose from Argania spinosa shells as sustainable solid particles for O/W Pickering emulsions. Carbohydr. Polym. 2021, 251, 116990. [Google Scholar] [CrossRef]
- Schröder, A.; Sprakel, J.; Boerkamp, W.; Schroën, K.; Berton-Carabin, C.C. Can we Prevent Lipid Oxidation in Emulsions by using Fat-Based Pickering Particles? Food Res. Int. 2019, 120, 352–363. [Google Scholar] [CrossRef]
- Cai, X.; Wang, Y.; Du, X.; Xing, X.; Zhu, G. Stability of pH-responsive Pickering emulsion stabilized by carboxymethyl starch/xanthan gum combinations. Food Hydrocoll. 2020, 109, 106093. [Google Scholar] [CrossRef]
- Li, Q.; Huang, Y.; Du, Y.; Chen, Y.; Wu, Y.; Zhong, K.; Huang, Y.; Gao, H. Food-grade olive oil Pickering emulsions stabilized by starch/β-cyclodextrin complex nanoparticles: Improved storage stability and regulatory effects on gut microbiota. LWT 2021, 155, 112950. [Google Scholar] [CrossRef]
- Liu, F.; Tang, C. Soy glycinin as food-grade Pickering stabilizers: Part. III. Fabrication of gel-like emulsions and their potential as sustained-release delivery systems for β-carotene. Food Hydrocoll. 2016, 56, 434–444. [Google Scholar] [CrossRef]
- Zhu, Q.; Li, Y.; Li, S.; Wang, W. Fabrication and characterization of acid soluble collagen stabilized Pickering emulsions. Food Hydrocoll. 2020, 106, 105875. [Google Scholar] [CrossRef]
- Yang, Y.; Jiao, Q.; Wang, L.; Zhang, Y.; Jiang, B.; Li, D.; Feng, Z.; Liu, C. Preparation and Evaluation of a Novel High Internal Phase Pickering Emulsion Based on Whey Protein Isolate Nanofibrils Derived by Hydrothermal Method. Food Hydrocoll. 2022, 123, 107180. [Google Scholar] [CrossRef]
- Jiao, Q.; Liu, Z.; Li, B.; Tian, B.; Zhang, N.; Liu, C.; Feng, Z.; Jiang, B. Development of Antioxidant and Stable Conjugated Linoleic Acid Pickering Emulsion with Protein Nanofibers by Microwave-Assisted Self-Assembly. Foods 2021, 10, 1892. [Google Scholar] [CrossRef] [PubMed]
- Du, M.; Sun, Z.; Liu, Z.; Yang, Y.; Liu, Z.; Wang, Y.; Jiang, B.; Feng, Z.; Liu, C. High Efficiency Desalination of Wasted Salted Duck Egg White and Processing into Food-Grade Pickering Emulsion Stabilizer. LWT 2022, 161, 113337. [Google Scholar] [CrossRef]
- Chen, Z.; Cui, B.; Guo, X.; Zhou, B.; Wang, S.; Pei, Y.; Li, B.; Liang, H. Fabrication and Characterization of Pickering Emulsions Stabilized by Desalted Duck Egg White Nanogels and Sodium Alginate. J. Sci. Food Agric. 2022, 102, 949–956. [Google Scholar] [CrossRef] [PubMed]
- Hinderink, E.B.A.; Berton-Carabin, C.C.; Schroën, K.; Riaublanc, A.; Houinsou-Houssou, B.; Boire, A.; Genot, C. Conformational Changes of Whey and Pea Proteins upon Emulsification Approached by Front-Surface Fluorescence. J. Agric. Food Chem. 2021, 69, 6601–6612. [Google Scholar] [CrossRef]
- Chen, M.; Sun, Q. Current Knowledge in the stabilization/destabilization of Infant Formula Emulsions during Processing as Affected by Formulations. Trends Food Sci. Technol. 2021, 109, 435–447. [Google Scholar] [CrossRef]
- Yucel Falco, C.; Geng, X.; Cárdenas, M.; Risbo, J. Edible Foam Based on Pickering Effect of Probiotic Bacteria and Milk Proteins. Food Hydrocoll. 2017, 70, 211–218. [Google Scholar] [CrossRef]
- Yano, H.; Fukui, A.; Kajiwara, K.; Kobayashi, I.; Yoza, K.; Satake, A.; Villeneuve, M. Development of Gluten-Free Rice Bread: Pickering Stabilization as a Possible Batter-Swelling Mechanism. LWT 2017, 79, 632–639. [Google Scholar] [CrossRef]
- Monteiro, G.M.; Souza, X.R.; Costa, D.P.B.; Faria, P.B.; Vicente, J. Partial substitution of pork fat with canola oil in Toscana sausage. Innov. Food Sci. Emerg. Technol. 2017, 44, 2–8. [Google Scholar] [CrossRef]
- Jalali, E.; Maghsoudi, S.; Noroozian, E. Ultraviolet protection of Bacillus thuringiensis through microencapsulation with Pickering emulsion method. Sci. Rep. 2020, 10, 20633. [Google Scholar] [CrossRef]
- Koç, M.; Güngör, Ö.; Zungur, A.; Yalçın, B.; Selek, İ.; Ertekin, F.K.; Ötles, S. Microencapsulation of Extra Virgin Olive Oil by Spray Drying: Effect of Wall Materials Composition, Process Conditions, and Emulsification Method. Food Biop. Tech. 2015, 8, 301–318. [Google Scholar] [CrossRef]
- Karrar, E.; Mahdi, A.A.; Sheth, S.; Mohamed Ahmed, I.A.; Manzoor, M.F.; Wei, W.; Wang, X. Effect of maltodextrin combination with gum arabic and whey protein isolate on the microencapsulation of gurum seed oil using a spray-drying method. Int. J. Biol. Macromol. 2021, 171, 208–216. [Google Scholar] [CrossRef]
- Carneiro, H.C.F.; Tonon, R.V.; Grosso, C.R.F.; Hubinger, M.D. Encapsulation efficiency and oxidative stability of flaxseed oil microencapsulated by spray drying using different combinations of wall materials. J. Food Eng. 2013, 115, 443–451. [Google Scholar] [CrossRef] [Green Version]
- McNamee, B.F.; O’Riorda, E.D.; O’Sullivan, M. Emulsification and Microencapsulation Properties of Gum Arabic. J. Agric. Food Chem. 1998, 46, 4551–4555. [Google Scholar] [CrossRef]
- Hofman, D.L.; van Buul, V.J.; Brouns, F.J.P.H. Nutrition, Health, and Regulatory Aspects of Digestible Maltodextrins. Crit. Rev. Food Sci. Nutr. 2016, 56, 2091–2100. [Google Scholar] [CrossRef]
- Nabeshima, E.H.; Bustos, F.M.; Hashimoto, J.M.; El Dash, A.A. Improving Functional Properties of Rice Flours Through Phosphorylation. Int. J. Food Prop. 2010, 13, 921–930. [Google Scholar] [CrossRef]
- Romero-Hernandez, H.A.; Sánchez-Rivera, M.M.; Alvarez-Ramirez, J.; Yee-Madeira, H.; Yañez-Fernandez, J.; Bello-Pérez, L.A. Avocado oil encapsulation with OSA-esterified taro starch as wall material: Physicochemical and morphology characteristics. LWT 2021, 138, 110629. [Google Scholar] [CrossRef]
- Sotelo-Bautista, M.; Bello-Perez, L.; Gonzalez-Soto, R.; Yañez-Fernandez, J.; Alvarez-Ramirez, J. OSA-maltodextrin as wall material for encapsulation of essential avocado oil by spray drying. J. Dispers. Sci. Technol. 2020, 41, 235–242. [Google Scholar] [CrossRef]
- Bae, E.K.; Lee, S.J. Microencapsulation of avocado oil by spray drying using whey protein and maltodextrin. J. Microencapsul. 2008, 25, 549–560. [Google Scholar] [CrossRef]
- Chimsook, T. Microwave Assisted Extraction of Avocado Oil from Avocado Skin and Encapsulation Using Spray Drying. Key Eng. Mater. 2017, 737, 341–346. Available online: www.scientific.net/KEM.737.341 (accessed on 24 July 2022).
- Espinosa-Solís, V.; García-Tejeda, Y.V.; Portilla-Rivera, O.; Barrera-Figueroa, V. Tailoring Olive Oil Microcapsules Via Microfluidization of Pickering o/w Emulsions. Food Bioprocess Technol. 2021, 14, 1835–1843. [Google Scholar] [CrossRef]
- Raikos, V. Encapsulation of vitamin E in edible orange oil-in-water emulsion beverages: Influence of heating temperature on physicochemical stability during chilled storage. Food Hydrocoll. 2017, 72, 155–162. [Google Scholar] [CrossRef]
- Kaszuba, M.; Corbett, J.; Watson, F.M.; Jones, A. High-concentration zeta potential measurements using light-scattering techniques. Phil. Trans. R. Soc. A 2010, 368, 4439–4451. [Google Scholar] [CrossRef] [Green Version]
- Timmermann, E.O.; Chirife, J.; Iglesias, H.A. Water sorption isotherms of foods and foodstuffs: Bet or gab parameters? J. Food Eng. 2001, 48, 19. [Google Scholar] [CrossRef]
- García-Tejeda, Y.V.; García-Armenta, E.; Martínez-Audelo, J.M.; Barrera-Figueroa, V. Determination of the structural stability of a premix powder through the critical water activity. J. Food Meas. Charact. 2019, 13, 1323–1332. [Google Scholar] [CrossRef]
- Gordon, M.; Taylor, J.S. Ideal Copolymers and the Second-Order Transitions of Synthetic Rubbers. i. Non-Crystalline Copolymers. J. Appl. Chem. 1952, 2, 493–500. [Google Scholar] [CrossRef]
- Tonon, R.V.; Baroni, A.F.; Brabet, C.; Gibert, O.; Pallet, D.; Hubinger, M.D. Water Sorption and Glass Transition Temperature of Spray Dried Açai (Euterpe Oleracea Mart.) Juice. J. Food Eng. 2009, 94, 215–221. [Google Scholar] [CrossRef]
- Sablani, S.S.; Syamaladevi, R.M.; Swanson, B.G. A Review of Methods, Data and Applications of State Diagrams of Food Systems. Food Eng. Rev. 2010, 2, 168–203. [Google Scholar] [CrossRef]
- Kaltsa, O.; Gatsi, I.; Yanniotis, S.; Mandala, I. Influence of Ultrasonication Parameters on Physical Characteristics of Olive Oil Model Emulsions Containing Xanthan. Food Bioprocess Technol. 2014, 7, 2038–2049. [Google Scholar] [CrossRef] [Green Version]
- Leiva, J.M.; Geffroy, E. Evolution of the Size Distribution of an Emulsion under a Simple Shear Flow. Fluids 2018, 3, 46. [Google Scholar] [CrossRef] [Green Version]
- Shnoudeh, A.J.; Hamad, I.; Abdo, R.W.; Qadumii, L.; Jaber, A.Y.; Surchi, H.S.; Alkelany, S.Z. Synthesis, characterization, and applications of metal nanoparticles. In Biomaterials and Bionanotechnology; Tekade, R.K., Ed.; Academic Press: Cambridge, MA, USA, 2019; pp. 527–612. [Google Scholar]
- Villalobos-Castillejos, F.; Lartundo-Rojas, L.; Leyva-Daniel, D.E.; Porras-Saavedra, J.; Pereyra-Castro, S.; Gutiérrez-López, G.F.; Alamilla-Beltrán, L. Effect of Emulsification Techniques on the Distribution of Components on the Surface of Microparticles obtained by Spray Drying. Food Bioprod. Process. 2021, 129, 115–123. [Google Scholar] [CrossRef]
- Duerkop, M.; Berger, E.; Dürauer, A.; Jungbauer, A. Influence of Cavitation and High Shear Stress on HSA Aggregation Behavior. Eng. Life Sci. 2018, 18, 169–178. [Google Scholar] [CrossRef] [PubMed] [Green Version]
- García-Tejeda, Y.V.; Leal-Castañeda, E.J.; Espinosa-Solis, V.; Barrera-Figueroa, V. Synthesis and Characterization of Rice Starch Laurate as Food-Grade Emulsifier for Canola Oil-in-Water Emulsions. Carbohydr. Polym. 2018, 194, 177–183. [Google Scholar] [CrossRef] [PubMed]
- Pan, Y.; Wu, Z.; Xie, Q.; Li, X.; Meng, R.; Zhang, B.; Jin, Z. Insight into the Stabilization Mechanism of Emulsions Stabilized by Maillard Conjugates: Protein Hydrolysates-Dextrin with Different Degree of Polymerization. Food Hydrocoll. 2020, 99, 105347. [Google Scholar] [CrossRef]
- Wang, C.; Li, J.; Sun, Y.; Wang, C.; Guo, M. Fabrication and Characterization of a Cannabidiol-Loaded Emulsion Stabilized by a Whey Protein-Maltodextrin Conjugate and Rosmarinic Acid Complex. J. Dairy Sci. 2022, 105, 4631–6446. [Google Scholar] [CrossRef]
- Jayme, M.L.; Dunstan, D.E.; Gee, M.L. Zeta Potentials of Gum Arabic Stabilised Oil in Water Emulsions. Food Hydrocoll. 1999, 13, 459–465. [Google Scholar] [CrossRef]
- Niknam, S.M.; Escudero, I.; Benito, J.M. Formulation and Preparation of Water-in-Oil-in-Water Emulsions Loaded with a Phenolic-Rich Inner Aqueous Phase by Application of High Energy Emulsification Methods. Foods 2020, 9, 1411. [Google Scholar] [CrossRef]
- Ribeiro, A.M.; Shahgol, M.; Estevinho, B.N.; Rocha, F. Microencapsulation of Vitamin A by Spray-Drying, using Binary and Ternary Blends of Gum Arabic, Starch and Maltodextrin. Food Hydrocoll. 2020, 108, 106029. [Google Scholar] [CrossRef]
- Fitzpatrick, J.J.; Hodnett, M.; Twomey, M.; Cerqueira, P.S.M.; O’Flynn, J.; Roos, Y.H. Glass Transition and the Flowability and Caking of Powders Containing Amorphous Lactose. Powder Technol. 2007, 178, 119–128. [Google Scholar] [CrossRef]
- Tontul, I.; Topuz, A. Mixture Design Approach in Wall Material Selection and Evaluation of Ultrasonic Emulsification in Flaxseed Oil Microencapsulation. Dry. Technol. 2013, 31, 1362–1373. [Google Scholar] [CrossRef]
- Akram, S.; Bao, Y.; Butt, M.S.; Shukat, R.; Afzal, A.; Huang, J. Fabrication and Characterization of Gum Arabic- and Maltodextrin-Based Microcapsules Containing Polyunsaturated Oils. J. Sci. Food Agric. 2021, 101, 6384–6394. [Google Scholar] [CrossRef]
- Sarika, P.R.; Pavithran, A.; James, N.R. Cationized gelatin/gum Arabic Polyelectrolyte Complex: Study of Electrostatic Interactions. Food Hydrocoll. 2015, 49, 176–182. [Google Scholar] [CrossRef]
- Takeguchi, S.; Sato, A.; Hondoh, H.; Aoki, M.; Uehara, H.; Ueno, S. Multiple β Forms of Saturated Monoacid Triacylglycerol Crystals. Molecules 2020, 25, 5086. [Google Scholar] [CrossRef]
- Tan, C.X. Virgin avocado oil: An emerging source of functional fruit oil. J. Funct. Foods 2019, 54, 381–392. [Google Scholar] [CrossRef]
- Barba, L.; Arrighetti, G.; Calligaris, S. Crystallization and melting properties of extra virgin olive oil studied by synchrotron XRD and DSC. Eur. J. Lipid Sci. Technol. 2013, 115, 322–329. [Google Scholar] [CrossRef]
- Tan, C.P.; Che Man, Y.B. Differential scanning calorimetric analysis of edible oils: Comparison of thermal properties and chemical composition. J. Am. Oil Chem. Soc. 2000, 77, 143–155. [Google Scholar] [CrossRef]
- García-Tejeda, Y.V.; Salinas-Moreno, Y.; Barrera-Figueroa, V.; Martínez-Bustos, F. Preparation and characterization of octenyl succinylated normal and waxy starches of maize as encapsulating agents for anthocyanins by spray-drying. J. Food Sci. Technol. 2018, 55, 2279–2287. [Google Scholar] [CrossRef]
- Espinosa-Solis, V.; García-Tejeda, Y.V.; Leal-Castañeda, E.J.; Barrera-Figueroa, V. Effect of the Degree of Substitution on the Hydrophobicity, Crystallinity, and Thermal Properties of Lauroylated Amaranth Starch. Polymers 2020, 12, 2548. [Google Scholar] [CrossRef]
- García-Tejeda, Y.V.; Salinas-Moreno, Y.; Martínez-Bustos, F. Acetylation of normal and waxy maize starches as encapsulating agents for maize anthocyanins microencapsulation. Food Bioprod. Process. 2015, 94, 717–726. [Google Scholar] [CrossRef]
- García-Tejeda, Y.V.; Barrera-Figueroa, V. Least Squares Fitting-Polynomials for Determining Inflection Points in Adsorption Isotherms of Spray-Dried Açaí Juice (Euterpe Oleracea Mart.) and Soy Sauce Powders. Powder Technol. 2019, 342, 829–839. [Google Scholar] [CrossRef]
- Bonilla, E.; Azuara, E.; Beristain, C.I.; Vernon-Carter, E.J. Predicting suitable storage conditions for spray-dried microcapsules formed with different biopolymer matrices. Food Hydrocoll. 2010, 24, 633–640. [Google Scholar] [CrossRef]
- Silva, V.M.; Vieira, G.S.; Hubinger, M.D. Influence of different combinations of wall materials and homogenisation pressure on the microencapsulation of green coffee oil by spray drying. Food Res. Int. 2014, 61, 132–143. [Google Scholar] [CrossRef]
- Saavedra-Leos, M.Z.; Román-Aguirre, M.; Toxqui-Terán, A.; Espinosa-Solís, V.; Franco-Vega, A.; Leyva-Porras, C. Blends of Carbohydrate Polymers for the Co-Microencapsulation of Bacillus clausii and Quercetin as Active Ingredients of a Functional Food. Polymers 2022, 14, 236. [Google Scholar] [CrossRef] [PubMed]
- García-Tejeda, Y.V.; Salinas-Moreno, Y.; Hernández-Martínez, Á.R.; Martínez-Bustos, F. Encapsulation of Purple Maize Anthocyanins in Phosphorylated Starch by Spray Drying. Cereal Chem. 2016, 93, 130–137. [Google Scholar] [CrossRef]
- Pugliese, A.; Cabassi, G.; Chiavaro, E.; Paciulli, M.; Carini, E.; Mucchetti, G. Physical characterization of whole and skim dried milk powders. J. Food Sci. Technol. 2017, 54, 3433–3442. [Google Scholar] [CrossRef]
- Costa, R.; Santos, L. Delivery systems for cosmetics—From manufacturing to the skin of natural antioxidants. Powder Technol. 2017, 322, 402–416. [Google Scholar] [CrossRef]






| Sample | Composition of Emulsifiers in wt % | Emulsification Method 1 | ||
|---|---|---|---|---|
| Phosphorylated Starch | Gum Arabic | HI-CAP®100 | ||
| AOE1 | 66.66 | 16.66 | 16.66 | H |
| AOE2 | 66.66 | 16.66 | 16.66 | H + U |
| AOE3 | 66.6 | 0.8 | 32.5 | H + U |
| AOE4 | 50 | 0 | 50 | H + U |
| Sample | Average Size (nm) | Droplet Size (nm) | -Potential (mV) | TSI (6 h, 15 days) | ||
|---|---|---|---|---|---|---|
| Peak 1 | Peak 2 | Peak 3 1 | ||||
| AOE1 | 858.5 | 639 (48.9) | 3991 (43.9) | 120.9 (7.2) | −27.5 ± 1.08 | 1.92, 19.93 |
| AOE2 | 363.8 | 372.1 (92.6) | 4907.00 (7.4) | 0.00 (0.0) | −22.4 ± 0.11 | 1.85, 13.02 |
| AOE3 | 453.7 | 609.4 (97.8) | 5196.00 (2.2) | 0.00 (0.0) | −27.6 ± 0.46 | 1.83, 10.23 |
| AOE4 | 605.7 | 2305 (62.4) | 363.6 (32.5) | 57.31 (5.1) | −0.34 ± 0.23 | 1.92, 17.10 |
| Sample | Yield (%) | Moisture Content | |
|---|---|---|---|
| M-AOE1 | 70.34 ± 1.574 c | 1.344 ± 0.188 a | 0.11 ± 0.00 a |
| M-AOE2 | 66.00 ± 0.818 b | 3.156 ±0.147 c | 0.15 ± 0.00 b |
| M-AOE3 | 76.10 ± 0.561 d | 2.386 ± 0.163 b | 0.13 ± 0.01 c |
| M-AOE4 | 85.92 ± 2.513 a | 1.725 ± 0.321 a | 0.11± 0.00 a |
| Sample | Thermal Properties | ||||
|---|---|---|---|---|---|
| (°C) | (°C) | Hc (J/g) | AO (%) | EE (%) | |
| Avocado oil | −18.288 ± 0.009 a | −20.300 ± 0.000 a | 5.920 ± 0.088 a | 100.000 | |
| M-AOE1 | −23.719 ± 0.204 b | −26.721 ± 0.114 bd | 0.662 ± 0.133 c | 11.180 | 44.721 |
| M-AOE2 | −23.683 ± 0.531 b | −26.484 ± 0.005 d | 1.053 ± 0.034 de | 17.783 | 71.134 |
| M-AOE3 | −23.717 ± 0.104 b | −25.181 ± 0.047 c | 1.366 ± 0.209 be | 23.070 | 92.278 |
| M-AOE4 | −23.636 ± 0.057 b | −25.162 ± 0.212 c | 1.412 ± 0.089 b | 23.981 | 95.386 |
| Models | Carrier Agents 1 | ||
|---|---|---|---|
| GAB | Parameters | M-AOE4 | HI-CAP/MD |
| C | 2.279 | 2.88 | |
| 0.905 | 0.95 | ||
| (H2O/g) | 0.047 | 0.042 | |
| 0.995 | 0.996 | ||
| P (%) | 12.393 | 6.09 | |
| Gordon–Taylor | |||
| (°C) | 105.109 | 56.3 | |
| 3.174 | 2.57 | ||
| 0.989 | 0.984 | ||
| P (%) | 3.06 | 0.96 |
Publisher’s Note: MDPI stays neutral with regard to jurisdictional claims in published maps and institutional affiliations. |
© 2022 by the authors. Licensee MDPI, Basel, Switzerland. This article is an open access article distributed under the terms and conditions of the Creative Commons Attribution (CC BY) license (https://creativecommons.org/licenses/by/4.0/).
Share and Cite
Espinosa-Solis, V.; García-Tejeda, Y.V.; Portilla-Rivera, O.M.; Chávez-Murillo, C.E.; Barrera-Figueroa, V. Effect of Mixed Particulate Emulsifiers on Spray-Dried Avocado Oil-in-Water Pickering Emulsions. Polymers 2022, 14, 3064. https://doi.org/10.3390/polym14153064
Espinosa-Solis V, García-Tejeda YV, Portilla-Rivera OM, Chávez-Murillo CE, Barrera-Figueroa V. Effect of Mixed Particulate Emulsifiers on Spray-Dried Avocado Oil-in-Water Pickering Emulsions. Polymers. 2022; 14(15):3064. https://doi.org/10.3390/polym14153064
Chicago/Turabian StyleEspinosa-Solis, Vicente, Yunia Verónica García-Tejeda, Oscar Manuel Portilla-Rivera, Carolina Estefania Chávez-Murillo, and Víctor Barrera-Figueroa. 2022. "Effect of Mixed Particulate Emulsifiers on Spray-Dried Avocado Oil-in-Water Pickering Emulsions" Polymers 14, no. 15: 3064. https://doi.org/10.3390/polym14153064
APA StyleEspinosa-Solis, V., García-Tejeda, Y. V., Portilla-Rivera, O. M., Chávez-Murillo, C. E., & Barrera-Figueroa, V. (2022). Effect of Mixed Particulate Emulsifiers on Spray-Dried Avocado Oil-in-Water Pickering Emulsions. Polymers, 14(15), 3064. https://doi.org/10.3390/polym14153064

