Direct Synthesis of Chain-End Toluene Functionalized Hyperbranched Ethylene Oligomers
Abstract
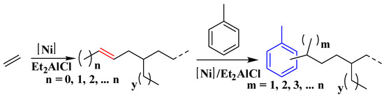
:1. Introduction
2. Results and Discussions
2.1. Synthesis and Characterization of Iminopyridine Ni(II) Complexes
2.2. Ethylene Oligomerization
3. Conclusions
4. Experimental Sections
4.1. General Considerations
4.2. Procedure for the Synthesis of Ligands L1–L4





4.3. Procedure for the Synthesis of Nickel Complexes Ni1–Ni4





4.4. A General Procedure for the Ethylene Oligomerization Using Ni Complexes
Supplementary Materials
Author Contributions
Funding
Data Availability Statement
Acknowledgments
Conflicts of Interest
References
- Erhard, G. Designing with Plastics; Hanser Gardner Publications: Cincinnati, OH, USA, 2006. [Google Scholar]
- Vasile, C.; Marcel, D. Handbook of Polyolefins; CRC Press: New York, NY, USA, 2000. [Google Scholar]
- Chung, T.C. Functionalization of Polyolefins; Academic Press: London, UK, 2002. [Google Scholar]
- Gibson, V.C.; Tomov, A. Functionalised polyolefin synthesis using [P,O]Ni catalysts. Chem. Commun. 2001, 19, 1964–1965. [Google Scholar] [CrossRef] [PubMed]
- Hong, S.C.; Jia, S.; Teodorescu, M.; Kowalewski, T.; Matyjaszewski, K.; Gottfried, A.C.; Brookhart, M. Polyolefin graft copolymers via living polymerization techniques: Preparation of poly(n-butyl acrylate)-graft-polyethylene through the combination of Pd-mediated living olefin polymerization and atom transfer radical polymerization. J. Polym. Sci. Part A Polym. Chem. 2002, 40, 2736–2749. [Google Scholar] [CrossRef]
- Gottfried, A.C.; Brookhart, M. Living and Block Copolymerization of Ethylene and α-Olefins Using Palladium(II)−α-Diimine Catalysts. Macromolecules 2003, 36, 3085–3100. [Google Scholar] [CrossRef]
- Makio, H.; Fujita, T. Synthesis of Chain-End Functionalized Polyolefins with a Bis(phenoxy imine)Titanium Catalyst. Macromol. Rapid Commun. 2007, 28, 698–703. [Google Scholar] [CrossRef]
- Amin, S.B.; Marks, T.J. Versatile Pathways for In Situ Polyolefin Functionalization with Heteroatoms: Catalytic Chain Transfer. Angew. Chem. Int. Ed. 2008, 47, 2006–2025. [Google Scholar] [CrossRef] [PubMed]
- Valente, A.; Mortreux, A.; Visseaux, M.; Zinck, P. Coordinative Chain Transfer Polymerization. Chem. Rev. 2013, 113, 3836–3857. [Google Scholar] [CrossRef] [PubMed]
- Fu, P.-F.; Marks, T.J. Silanes as Chain Transfer Agents in Metallocene-Mediated Olefin Polymerization. Facile in Situ Catalytic Synthesis of Silyl-Terminated Polyolefins. J. Am. Chem. Soc. 1995, 117, 10747–10748. [Google Scholar] [CrossRef]
- Xu, G.; Chung, T.C. Borane Chain Transfer Agent in Metallocene-Mediated Olefin Polymerization. Synthesis of Borane-Terminated Polyethylene and Diblock Copolymers Containing Polyethylene and Polar Polymer. J. Am. Chem. Soc. 1999, 121, 6763–6764. [Google Scholar] [CrossRef]
- Bazan, G.C.; Rogers, J.S.; Fang, C.C. Catalytic Insertion of Ethylene into Al-C Bonds with Pentamethylcyclopentadienyl-Chromium(III) Complexes. Organometallics 2001, 20, 2059–2064. [Google Scholar] [CrossRef]
- German, I.; Kelhifi, W.; Norsic, S.; Boisson, C.; D’Agosto, F. Telechelic Polyethylene from Catalyzed Chain-Growth Polymerization. Angew. Chem. Int. Ed. 2013, 52, 3438–3441. [Google Scholar] [CrossRef] [PubMed]
- Kawaoka, A.M.; Marks, T.J. Organolanthanide-Catalyzed Synthesis of Phosphine-Terminated Polyethylenes. J. Am. Chem. Soc. 2004, 126, 12764–12765. [Google Scholar] [CrossRef] [PubMed]
- Amin, S.B.; Marks, T.J. OrganolanthanideCatalyzed Synthesis of Amine-Capped Polyethylenes. J. Am. Chem. Soc. 2007, 129, 10102–10103. [Google Scholar] [CrossRef] [PubMed]
- Ringelberg, S.N.; Meetsma, A.; Hessen, B.; Teuben, J.H. Thiophene C−H Activation as a Chain-Transfer Mechanism in Ethylene Polymerization: Catalytic Formation of Thienyl-Capped Polyethylene. J. Am. Chem. Soc. 1999, 121, 6082–6083. [Google Scholar] [CrossRef] [Green Version]
- Wang, X.; Nozaki, K. Selective Chain-End Functionalization of Polar Polyethylenes: Orthogonal Reactivity of Carbene and Polar Vinyl Monomers in Their Copolymerization with Ethylene. J. Am. Chem. Soc. 2018, 140, 15635–15640. [Google Scholar] [CrossRef] [PubMed]
- Wiedemann, T.; Voit, G.; Tchernook, A.; Roesle, P.; Göttker-Schnetmann, I.; Mecking, S. Monofunctional hyperbranched ethylene oligomers. J. Am. Chem. Soc. 2014, 136, 2078–2085. [Google Scholar] [CrossRef] [PubMed]
- Mecking, S.; Schnitte, M. Neutral nickel(II) catalysts: From hyperbranched oligomers to nanocrystal-based materials. Acc. Chem. Res. 2020, 53, 2738–2752. [Google Scholar] [CrossRef] [PubMed]
- Stephenson, C.J.; McInnis, J.P.; Chen, C.; Weberski, M.P.; Motta, A.; Delferro, M.; Marks, T.J. Ni(II) phenoxyiminato olefin polymerization catalysis: Striking coordinative modulation of hyperbranched polymer microstructure and stability by a proximate sulfonyl group. ACS Catal. 2014, 4, 999–1003. [Google Scholar] [CrossRef]
- Falivene, L.; Wiedemann, T.; Göttker-Schnetmann, I.; Caporaso, L.; Cavallo, L.; Mecking, S. Control of chain walking by weak neighboring group interactions in unsymmetrical catalysts. J. Am. Chem. Soc. 2018, 140, 1305–1312. [Google Scholar] [CrossRef] [Green Version]
- Xiang, P.; Ye, Z.; Subramanian, R. Synthesis and characterization of low- and medium-molecular-weight hyperbranched polyethylenes by chain walking ethylene polymerization with Pd-diimine catalysts. Polymer 2011, 52, 5027–5039. [Google Scholar] [CrossRef]
- Meduri, A.; Montini, T.; Ragaini, F.; Fornasiero, P.; Zangrando, E.; Milani, B. Palladium-catalyzed ethylene/methyl acrylate cooligomerization: Effect of a new nonsymmetric α-diimine. ChemCatChem 2013, 5, 1170–1183. [Google Scholar] [CrossRef]
- Guo, L.; Liu, W.; Li, K.; Sun, M.; Sun, W.; Zhao, L.; Jiang, G.; Peng, H.; Liu, Z.; Dai, S. Synthesis of functional and hyperbranched ethylene oligomers using unsymmetrical α-diimine palladium catalysts. Eur. Polym. J. 2019, 115, 185–192. [Google Scholar] [CrossRef]
- Cruz, T.F.C.; Figueira, C.A.; Veiros, L.F.; Gomes, P.T. Benzylnickel(II) complexes of 2-iminopyrrolyl chelating ligands: Synthesis, structure, and catalytic oligo-/polymerization of ethylene to hyperbranched polyethylene. Organometallics 2021, 40, 2594–2609. [Google Scholar] [CrossRef]
- Wang, C.; Zhang, Y.; Mu, H.; Jian, Z. Systematic studies on dibenzhydryl and pentiptycenyl substituted pyridine-imine nickel(II) mediated ethylene polymerization. Dalton Trans. 2020, 49, 4824–4833. [Google Scholar] [CrossRef] [PubMed]
- Guo, L.; Li, S.; Ji, M.; Sun, W.; Liu, W.; Li, G.; Zhang, J.; Liu, Z.; Dai, S. Monoligated vs bisligated effect in iminopyridyl nickel catalyzed ethylene polymerization. Organometallics 2019, 38, 2800–2806. [Google Scholar] [CrossRef]
- Chen, X.; Gao, J.; Liao, H.; Gao, H.; Wu, Q. Synthesis, characterization, and catalytic ethylene oligomerization of pyridine-imine palladium complexes. Chin. J. Polym. Sci. 2018, 36, 176–184. [Google Scholar] [CrossRef]
- Li, S.; Lu, Z.; Fan, W.; Dai, S. Efficient incorporation of a polar comonomer for direct synthesis of hyperbranched polar functional ethylene oligomers. New J. Chem. 2021, 45, 4024–4031. [Google Scholar] [CrossRef]
- Yan, Z.; Li, S.; Dai, S. Synthesis and characterization of hyperbranched polar functionalized olefin oligomers. Chin. J. Synth. Chem. 2021, 29, 1033–1044. [Google Scholar]
- Saki, Z.; D’Auria, I.; Dall’Anese, A.; Milani, B.; Pellecchia, C. Copolymerization of ethylene and methyl acrylate by pyridylimino Ni(II) catalysts affording hyperbranched poly(ethylene-co-methyl acrylate)s with tunable structures of the ester groups. Macromolecules 2020, 53, 9294–9305. [Google Scholar] [CrossRef]
- D’Auria, I.; Milione, S.; Caruso, T.; Balducci, G.; Pellecchia, C. Synthesis of hyperbranched low molecular weight polyethylene oils by an iminopyridine nickel(II) catalyst. Polym. Chem. 2017, 8, 6443–6454. [Google Scholar] [CrossRef]
- Fan, H.; Chang, G.; Bi, H.; Gui, X.; Wang, H.; Xu, G.; Dai, S. Facile synthesis of hyperbranched ethylene oligomers and ethylene-methyl acrylate co-oligomers with different microscopic chain architectures. ACS Polym. Au 2022, 2, 88–96. [Google Scholar] [CrossRef]
- Yan, Z.; Bi, H.; Ding, B.; Wang, H.; Xu, G.; Dai, S. A rigid-flexible double-layer steric strategy for ethylene (co)oligomerization with pyridine-imine Ni(II) and Pd(II) complexes. New J. Chem. 2022, 46, 8669–8678. [Google Scholar] [CrossRef]
- Fan, H.; Xu, G.; Wang, H.; Dai, S. Direct synthesis of hyperbranched ethylene oligomers and ethylene-MA co-oligomers using iminopyridyl systems with weak neighboring group interactions. J. Polym. Sci. 2022, 60, 1944–1953. [Google Scholar] [CrossRef]
- Cotts, P.M.; Guan, Z.; McCord, E.; McLain, S. Novel Branching Topology in Polyethylenes As Revealed by Light Scattering and 13C NMR. Macromolecules 2000, 33, 6945–6952. [Google Scholar] [CrossRef]
- Randall, J.C. A review of high-resolution liquid carbon-13 nuclear magnetic resonance characterizations of ethylene-based polymer. J. Macromol. Sci. Part C Polym. Rev. 1989, 29, 201–317. [Google Scholar] [CrossRef]
- Galland, G.B.; de Souza, R.F.; Mauler, R.S.; Nunes, F.F. 13C NMR Determination of the Composition of Linear Low-Density Polyethylene Obtained with [η3-Methallyl-nickel-diimine]PF6 Complex. Macromolecules 1999, 32, 1620–1625. [Google Scholar] [CrossRef]





| Ent. | Precat. | T/°C | Yield/g | Act. b | Mnc | Mw/Mnc | B d | F–C e |
|---|---|---|---|---|---|---|---|---|
| 1 | Ni1 | 30 | 3.54 | 1.77 | 3.6 | 1.42 | 78 | 0% |
| 2 | Ni1 | 50 | 3.10 | 1.55 | 3.1 | 1.38 | 84 | 0% |
| 3 | Ni1 | 70 | 2.98 | 1.49 | 2.8 | 1.28 | 93 | 100% |
| 4 | Ni2 | 30 | 3.02 | 1.51 | 3.6 | 1.45 | 78 | 0% |
| 5 | Ni2 | 50 | 2.81 | 1.41 | 3.7 | 1.37 | 79 | 0% |
| 6 | Ni2 | 70 | 2.31 | 1.16 | 3.0 | 1.31 | 94 | 100% |
| 7 | Ni3 | 30 | 1.00 | 0.50 | 1.3 | 1.04 | 81 | Part |
| 8 | Ni3 | 50 | 0.65 | 0.33 | 0.8 | 1.04 | 76 | 100% |
| 9 | Ni3 | 70 | 0.47 | 0.24 | 0.2 f | - f | - f | 100% |
| 10 | Ni4 | 30 | 0.45 | 0.23 | 1.6 | 1.05 | 76 | Part |
| 11 | Ni4 | 50 | 0.43 | 0.22 | 1.2 | 1.03 | 78 | 100% |
| 12 | Ni4 | 70 | 0.30 | 0.15 | 0.2 f | - f | - f | 100% |
Publisher’s Note: MDPI stays neutral with regard to jurisdictional claims in published maps and institutional affiliations. |
© 2022 by the authors. Licensee MDPI, Basel, Switzerland. This article is an open access article distributed under the terms and conditions of the Creative Commons Attribution (CC BY) license (https://creativecommons.org/licenses/by/4.0/).
Share and Cite
Chen, J.; Yan, Z.; Li, Z.; Dai, S. Direct Synthesis of Chain-End Toluene Functionalized Hyperbranched Ethylene Oligomers. Polymers 2022, 14, 3049. https://doi.org/10.3390/polym14153049
Chen J, Yan Z, Li Z, Dai S. Direct Synthesis of Chain-End Toluene Functionalized Hyperbranched Ethylene Oligomers. Polymers. 2022; 14(15):3049. https://doi.org/10.3390/polym14153049
Chicago/Turabian StyleChen, Jianhai, Zhengpeng Yan, Zhongyuan Li, and Shengyu Dai. 2022. "Direct Synthesis of Chain-End Toluene Functionalized Hyperbranched Ethylene Oligomers" Polymers 14, no. 15: 3049. https://doi.org/10.3390/polym14153049
APA StyleChen, J., Yan, Z., Li, Z., & Dai, S. (2022). Direct Synthesis of Chain-End Toluene Functionalized Hyperbranched Ethylene Oligomers. Polymers, 14(15), 3049. https://doi.org/10.3390/polym14153049

