Effective Aging Inhibition of the Thermoplastic Corn Starch Films through the Use of Green Hybrid Filler
Abstract
:1. Introduction
2. Experimental
2.1. Materials
2.2. Preparation of TPCS, TPCS-C, and TPCS-HC Films
Storage Procedures for Aging Analysis
2.3. Testing and Characterization of Films
2.3.1. Tensile Test
2.3.2. Differential Scanning Calorimetry (DSC)
2.3.3. X-ray Diffraction (XRD)
2.3.4. Fourier Transform Infrared (FTIR)
2.3.5. Moisture Absorption
3. Results and Discussion
3.1. Mechanical Analysis of TPCS, TPCS-C, and TPCS-HC Films Aged for 15, 30, 45, 60, and 90 Days
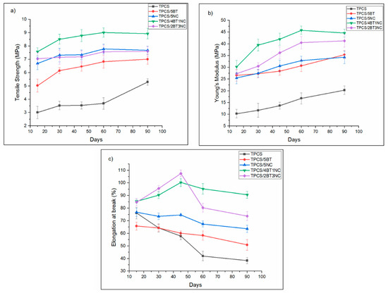
3.1.1. Tensile Strength
3.1.2. Young’s Modulus
3.1.3. Elongation at Break
3.2. Thermal Analysis for TPCS, TPCS-C, and TPCS-HC Films Aged for 15, 45, and 90 Days
3.3. Crystalline Structure of TPCS, TPCS-C, and TPCS-HC Films Aged for 15, 30, 45, 60, and 90 Days by Using XRD Analysis
3.4. Recrystallization of Short-Chain Amylopectin in the TPCS, TPCS-C, and TPCS-HC Films Aged for 15, 45, and 90 Days as Detected through FTIR Analysis
3.5. Moisture Absorption of TPCS, TPCS-C, and TPCS-HC Films Aged for 90 Days
4. Conclusions
Author Contributions
Funding
Institutional Review Board Statement
Informed Consent Statement
Data Availability Statement
Conflicts of Interest
References
- Sheng, L.; Adnan, S.; Osman, A.F.; Nabil, M.; Salimi, A.; Ibrahim, I.; Haq, N.; Salimi, N. Thermoplastic Starch Biocomposites with Cellulose and Bentonite Fillers. AIP Conf. Proc. 2021, 2339, 20045. [Google Scholar] [CrossRef]
- Cheng, H.; Chen, L.; McClements, D.J.; Yang, T.; Zhang, Z.; Ren, F.; Miao, M.; Tian, Y.; Jin, Z. Starch-based biodegradable packaging materials: A review of their preparation, characterization, and diverse applications in the food industry. Trends Food Sci. Technol. 2021, 114, 70–82. [Google Scholar] [CrossRef]
- Thakur, R.; Pristijono, P.; Scarlett, C.J.; Bowyer, M.; Singh, S.; Vuong, Q.V. Starch-based films: Major factors affecting their properties. Int. J. Biol. Macromol. 2019, 132, 1079–1089. [Google Scholar] [CrossRef] [PubMed]
- Jiang, T.; Duan, Q.; Zhu, J.; Liu, H.; Yu, L. Starch-based biodegradable materials: Challenges and opportunities. Adv. Ind. Eng. Polym. Res. 2020, 3, 8–18. [Google Scholar] [CrossRef]
- Csiszar, E.; Kun, D.; Fekete, E. The Role of Structure and Interactions in Thermoplastic Starch-Nanocellulose Composites. Polymers 2021, 13, 3186. [Google Scholar] [CrossRef] [PubMed]
- Liu, Y.-X.; Liang, Z.-S.; Liang, J.-N.; Liao, L.-Y. Effect of different surface properties of nanosilica on retrogradation behavior and structures of thermoplastic cassava starch. J. Polym. Res. 2021, 28, 147. [Google Scholar] [CrossRef]
- Rivadeneira-Velasco, K.E.; Utreras-Silva, C.A.; Díaz-Barrios, A.; Sommer-Márquez, A.E.; Tafur, J.P.; Michell, R.M. Green nanocomposites based on thermoplastic starch: A review. Polymers 2021, 13, 3227. [Google Scholar] [CrossRef]
- Diyana, Z.; Jumaidin, R.; Selamat, M.Z.; Ghazali, I.; Julmohammad, N.; Huda, N.; Ilyas, R. Physical properties of thermoplastic starch derived from natural resources and its blends: A review. Polymers 2021, 13, 1396. [Google Scholar] [CrossRef] [PubMed]
- Eerlingen, R.; Jacobs, H.; Delcour, J. Enzyme-resistant starch. 5. Effect of retrogradation of waxy maize starch on enzyme susceptibility. Cereal Chem. 1994, 71, 351–355. [Google Scholar]
- Gudmundsson, M. Retrogradation of starch and the role of its components. Thermochim. Acta 1994, 246, 329–341. [Google Scholar] [CrossRef]
- Esmaeili, M.; Pircheraghi, G.; Bagheri, R. Optimizing the mechanical and physical properties of thermoplastic starch via tuning the molecular microstructure through co-plasticization by sorbitol and glycerol. Polym. Int. 2017, 66, 809–819. [Google Scholar] [CrossRef]
- Khan, B.; Niazi, M.B.K.; Jahan, Z.; Farooq, W.; Naqvi, S.R.; Ali, M.; Ahmed, I.; Hussain, A. Effect of ultra-violet cross-linking on the properties of boric acid and glycerol co-plasticized thermoplastic starch films. Food Packag. Shelf Life 2019, 19, 184–192. [Google Scholar] [CrossRef]
- Ivanič, F.; Jochec-Mošková, D.; Janigová, I.; Chodák, I. Physical properties of starch plasticized by a mixture of plasticizers. Eur. Polym. J. 2017, 93, 843–849. [Google Scholar] [CrossRef]
- Ivanič, F.; Kováčová, M.; Chodak, I. The effect of plasticizer selection on properties of blends poly (butylene adipate-co-terephthalate) with thermoplastic starch. Eur. Polym. J. 2019, 116, 99–105. [Google Scholar] [CrossRef]
- Šmídová, N.; Šoltýs, A.; Hronský, V.; Olčák, D.; Popovič, Ľ.; Chodák, I. Aging-induced structural relaxation in cornstarch plasticized with urea and glycerol. J. Appl. Polym. Sci. 2021, 138, 50218. [Google Scholar] [CrossRef]
- Montilla-Buitrago, C.E.; Gómez-López, R.A.; Solanilla-Duque, J.F.; Serna-Cock, L.; Villada-Castillo, H.S. Effect of Plasticizers on Properties, Retrogradation, and Processing of Extrusion-Obtained Thermoplastic Starch: A Review. Starch-Stärke 2021, 73, 2100060. [Google Scholar] [CrossRef]
- Li, J.; He, H.; Zhang, H.; Xu, M.; Gu, Q.; Zhu, Z. Preparation of thermoplastic starch with comprehensive performance plasticized by citric acid. J. Appl. Polym. Sci. 2022, 139, e52401. [Google Scholar] [CrossRef]
- De Freitas, A.d.S.M.; da Silva, A.P.B.; Montagna, L.S.; Nogueira, I.A.; Carvalho, N.K.; de Faria, V.S.; Dos Santos, N.B.; Lemes, A.P. Thermoplastic Starch Nanocomposites: Sources, Production and Applications-A review. J. Biomater. Sci. Polym. Ed. 2021, 33, 900–945. [Google Scholar] [CrossRef]
- Balakrishnan, P.; Sreekala, M.; Kunaver, M.; Huskić, M.; Thomas, S. Morphology, transport characteristics and viscoelastic polymer chain confinement in nanocomposites based on thermoplastic potato starch and cellulose nanofibers from pineapple leaf. Carbohydr. Polym. 2017, 169, 176–188. [Google Scholar] [CrossRef]
- Benito-González, I.; López-Rubio, A.; Martínez-Sanz, M.J.C.p. High-performance starch biocomposites with celullose from waste biomass: Film properties and retrogradation behaviour. Prop. Retrogradation Behav. 2019, 216, 180–188. [Google Scholar]
- Bangar, S.P.; Whiteside, W.S. Nano-cellulose reinforced starch bio composite films-A review on green composites. Int. J. Biol. Macromol. 2021, 185, 849–860. [Google Scholar] [CrossRef] [PubMed]
- Wu, Y.; Chen, Z.; Li, X.; Li, M. Effect of tea polyphenols on the retrogradation of rice starch. Food Res. Int. 2009, 42, 221–225. [Google Scholar] [CrossRef]
- Vinod, A.; Gowda, Y.; Krishnasamy, S.; Sanjay, M.; Siengchin, S. Thermal Properties of Hybrid Natural Fiber-Reinforced Thermoplastic Composites. In Natural Fiber-Reinforced Composites: Thermal Properties Applications; Wiley: Hoboken, NJ, USA, 2022; pp. 17–30. [Google Scholar]
- Osman, A.F.; Ashafee, A.M.T.L.; Adnan, S.A.; Alakrach, A. Influence of Hybrid Cellulose/Bentonite Fillers on Structure, Ambient, and Low Temperature Tensile Properties of Thermoplastic Starch Composites. Polym. Eng. Sci. 2020, 60, 810–822. [Google Scholar] [CrossRef]
- Lai, D.S.; Osman, A.F.; Adnan, S.A.; Ibrahim, I.; Alrashdi, A.A.; Ahmad Salimi, M.N.; Ul-Hamid, A. On the Use of OPEFB-Derived Microcrystalline Cellulose and Nano-Bentonite for Development of Thermoplastic Starch Hybrid Bio-Composites with Improved Performance. J. Polym. 2021, 13, 897. [Google Scholar] [CrossRef] [PubMed]
- Wang, S.; Li, C.; Copeland, L.; Niu, Q.; Wang, S. Starch Retrogradation: A Comprehensive Review. Compr. Rev. Food Sci. Food Saf. 2015, 14, 568–585. [Google Scholar] [CrossRef]
- Liu, Y.; Fan, L.; Mo, X.; Yang, F.; Pang, J. Effects of nanosilica on retrogradation properties and structures of thermoplastic cassava starch. J. Appl. Polym. Sci. 2018, 135, 45687. [Google Scholar] [CrossRef]
- Paiva, D.; Pereira, A.M.; Pires, A.L.; Martins, J.; Carvalho, L.H.; Magalhães, F.D.J.P. Reinforcement of thermoplastic corn starch with crosslinked starch/chitosan microparticles. Polymers 2018, 10, 985. [Google Scholar] [CrossRef] [Green Version]
- Huang, S.; Chao, C.; Yu, J.; Copeland, L.; Wang, S. New insight into starch retrogradation: The effect of short-range molecular order in gelatinized starch. Food Hydrocoll. 2021, 120, 106921. [Google Scholar] [CrossRef]
- Lendvai, L.; Sajó, I.; Karger-Kocsis, J. Effect of Storage Time on the Structure and Mechanical Properties of Starch/Bentonite Nanocomposites. Starch-Stärke 2019, 71, 1800123. [Google Scholar] [CrossRef] [Green Version]
- Fekete, E.; Bella, E.; Csiszar, E.; Moczo, J. Improving physical properties and retrogradation of thermoplastic starch by incorporating agar. Int. J. Biol. Macromol. 2019, 136, 1026–1033. [Google Scholar] [CrossRef] [Green Version]
- Zhang, K.; Su, T.; Cheng, F.; Lin, Y.; Zhou, M.; Zhu, P.; Li, R.; Wu, D. Effect of sodium citrate/polyethylene glycol on plasticization and retrogradation of maize starch. Int. J. Biol. Macromol. 2019, 154, 1471–1477. [Google Scholar] [CrossRef] [PubMed]
- Schmitt, H.; Guidez, A.; Prashantha, K.; Soulestin, J.; Lacrampe, M.F.; Krawczak, P. Studies on the effect of storage time and plasticizers on the structural variations in thermoplastic starch. Carbohydr. Polym. 2015, 115, 364–372. [Google Scholar] [CrossRef]
- Dufresne, A.; Castaño, J. Polysaccharide nanomaterial reinforced starch nanocomposites: A review. Starch-Stärke 2017, 69, 1500307. [Google Scholar] [CrossRef]
- Teixeira, E.d.M.; Pasquini, D.; Curvelo, A.A.; Corradini, E.; Belgacem, M.N.; Dufresne, A. Cassava bagasse cellulose nanofibrils reinforced thermoplastic cassava starch. Carbohydr. Polym. 2009, 78, 422–431. [Google Scholar] [CrossRef]
- Li, C.; Hu, Y. Antagonistic effects of amylopectin and amylose molecules on the starch inter-and intramolecular interactions during retrogradation. LWT 2021, 148, 111942. [Google Scholar] [CrossRef]
- Ghanbari, A.; Tabarsa, T.; Ashori, A.; Shakeri, A.; Mashkour, M. Thermoplastic starch foamed composites reinforced with cellulose nanofibers: Thermal and mechanical properties. Carbohydr. Polym. 2018, 197, 305–311. [Google Scholar] [CrossRef] [PubMed]
- Tian, Y.; Li, Y.; Xu, X.; Jin, Z. Starch retrogradation studied by thermogravimetric analysis (TGA). Carbohydr. Polym. 2011, 84, 1165–1168. [Google Scholar] [CrossRef]
- Paluch, M.; Ostrowska, J.; Tyński, P.; Sadurski, W.; Konkol, M. Structural and Thermal Properties of Starch Plasticized with Glycerol/Urea Mixture. J. Polym. Environ. 2021, 30, 728–740. [Google Scholar] [CrossRef]
- Drakopoulos, S.; Karger-Kocsis, J.; Kmetty, Á.; Lendvai, L.; Psarras, G. Thermoplastic starch modified with microfibrillated cellulose and natural rubber latex: A broadband dielectric spectroscopy study. Carbohydr. Polym. 2017, 157, 711–718. [Google Scholar] [CrossRef] [Green Version]
- Ujcic, A.; Krejcikova, S.; Nevoralova, M.; Zhigunov, A.; Dybal, J.; Krulis, Z.; Fulin, P.; Nyc, O.; Slouf, M. Thermoplastic Starch Composites with Titanium Dioxide and Vancomycin Antibiotic: Preparation, Morphology, Thermomechanical Properties, and Antimicrobial Susceptibility Testing. Front. Mater. 2020, 7, 9. [Google Scholar] [CrossRef] [Green Version]
- Dominic, C.D.M.; Dos Santos Rosa, D.; Camani, P.H.; Kumar, A.S.; Neenu, K.V.; Begum, P.M.S.; Dinakaran, D.; John, E.; Baby, D.; Thomas, M.M.; et al. Thermoplastic starch nanocomposites using cellulose rich Chrysopogon zizanioides nanofibers. Int. J. Biol. Macromol. 2021, 191, 572–583. [Google Scholar] [CrossRef]
- Klemm, D.; Kramer, F.; Moritz, S.; Lindström, T.; Ankerfors, M.; Gray, D.; Dorris, A. Nanocelluloses: A new family of nature-based materials. Angew. Chem. Int. Ed. 2011, 50, 5438–5466. [Google Scholar] [CrossRef]
- Teixeira, E.M.; Da Róz, A.L.; Carvalho, A.J.F.; Curvelo, A.A.S. The effect of glycerol/sugar/water and sugar/water mixtures on the plasticization of thermoplastic cassava starch. Carbohydr. Polym. 2007, 69, 619–624. [Google Scholar] [CrossRef]
- Hu, Y.; He, C.; Zhang, M.; Zhang, L.; Xiong, H.; Zhao, Q. Inhibition from whey protein hydrolysate on the retrogradation of gelatinized rice starch. Food Hydrocoll. 2020, 108, 105840. [Google Scholar] [CrossRef]
- Castillo, L.A.; Lopez, O.V.; Garcia, M.A.; Barbosa, S.E.; Villar, M.A. Crystalline morphology of thermoplastic starch/talc nanocomposites induced by thermal processing. Heliyon 2019, 5, e01877. [Google Scholar] [CrossRef] [PubMed] [Green Version]
- Van Soest, J.J.; Tournois, H.; de Wit, D.; Vliegenthart, J.F. Short-range structure in (partially) crystalline potato starch determined with attenuated total reflectance Fourier-transform IR spectroscopy. Carbohydr. Res. 1995, 279, 201–214. [Google Scholar] [CrossRef] [Green Version]
- Zhang, C.W.; Nair, S.S.; Chen, H.; Yan, N.; Farnood, R.; Li, F.Y. Thermally stable, enhanced water barrier, high strength starch bio-composite reinforced with lignin containing cellulose nanofibrils. Carbohydr. Polym. 2020, 230, 115626. [Google Scholar] [CrossRef] [PubMed]
- Gray, N.; Hamzeh, Y.; Kaboorani, A.; Abdulkhani, A. Influence of cellulose nanocrystal on strength and properties of low-density polyethylene and thermoplastic starch composites. Ind. Crops Prod. 2018, 115, 298–305. [Google Scholar] [CrossRef]
- Nazrin, A.; Sapuan, S.; Zuhri, M.; Ilyas, R.; Syafiq, R.; Sherwani, S.J.F.i.c. Nanocellulose reinforced thermoplastic starch (TPS), polylactic acid (PLA), and polybutylene succinate (PBS) for food packaging applications. Front. Chem. 2020, 8, 213. [Google Scholar] [CrossRef]






| Acronym | Starch (wt%) | Bentonite (BT) (wt%) | Nanocellulose (NC) (wt%) | |
|---|---|---|---|---|
| Virgin Thermoplastic Corn Starch (TPCS) | TPCS | 100 | 0 | 0 |
| Thermoplastic Corn Starch Composite (TPCS-C) | TPCS/5BT | 95 | 5 | 0 |
| TPCS/5NC | 95 | 0 | 5 | |
| Hybrid Thermoplastic Starch (TPCS-HC) | TPCS/4BT1NC | 95 | 4 | 1 |
| TPCS/2BT3NC | 95 | 2 | 3 |
| Days | ||||||
|---|---|---|---|---|---|---|
| Sample Films | 15 | 45 | 90 | |||
| Tm (°C) | ΔHf (J/g) | Tm (°C) | ΔHf (J/g) | Tm (°C) | ΔHf (J/g) | |
| TPCS | 99.3 | 194.3 | 126.6 | 435.6 | 123.5 | 500.3 |
| TPCS/5BT | 115.0 | 142.6 | 123.5 | 329.6 | 130.3 | 400.5 |
| TPCS/5NC | 125.3 | 135.4 | 130.5 | 325.4 | 132.5 | 348.5 |
| TPCS/4BT1NC | 130.4 | 178.5 | 134.4 | 412.4 | 138.9 | 423.6 |
| TPCS/2BT3NC | 110.3 | 186.6 | 128.5 | 203.4 | 135.1 | 212.5 |
| Sample | Crystallinity Percentage after Aging (%) | ||
|---|---|---|---|
| 15 Days | 45 Days | 90 Days | |
| TPCS | 16.7 | 20.3 | 29.7 |
| TPCS/5BT | 13.5 | 19.4 | 24.4 |
| TPCS/5NC | 14.3 | 20.6 | 23.6 |
| TPCS/4BT1NC | 10.4 | 12.6 | 15.1 |
| TPCS/2BT3NC | 10.1 | 13.8 | 20.0 |
| Days | Films | 1047 cm−1:1022 cm−1 (C Value) |
|---|---|---|
| 15 days | TPCS15 | 0.827 |
| TPCS/5BT15 | 0.837 | |
| TPCS/5NC15 | 0.815 | |
| TPCS/4BT1NC15 | 0.803 | |
| TPCS/2BT3NC15 | 0.797 | |
| 45 days | TPCS45 | 0.854 |
| TPCS/5BT45 | 0.849 | |
| TPCS/5NC45 | 0.823 | |
| TPCS/4BT1NC45 | 0.815 | |
| TPCS/2BT3NC45 | 0.825 | |
| 90 days | TPCS90 | 0.870 |
| TPCS/5BT90 | 0.853 | |
| TPCS/5NC90 | 0.846 | |
| TPCS/4BT1NC90 | 0.823 | |
| TPCS/2BT3NC90 | 0.857 |
Publisher’s Note: MDPI stays neutral with regard to jurisdictional claims in published maps and institutional affiliations. |
© 2022 by the authors. Licensee MDPI, Basel, Switzerland. This article is an open access article distributed under the terms and conditions of the Creative Commons Attribution (CC BY) license (https://creativecommons.org/licenses/by/4.0/).
Share and Cite
Lai, D.S.; Osman, A.F.; Adnan, S.A.; Ibrahim, I.; Ahmad Salimi, M.N.; Alrashdi, A.A. Effective Aging Inhibition of the Thermoplastic Corn Starch Films through the Use of Green Hybrid Filler. Polymers 2022, 14, 2567. https://doi.org/10.3390/polym14132567
Lai DS, Osman AF, Adnan SA, Ibrahim I, Ahmad Salimi MN, Alrashdi AA. Effective Aging Inhibition of the Thermoplastic Corn Starch Films through the Use of Green Hybrid Filler. Polymers. 2022; 14(13):2567. https://doi.org/10.3390/polym14132567
Chicago/Turabian StyleLai, Di Sheng, Azlin Fazlina Osman, Sinar Arzuria Adnan, Ismail Ibrahim, Midhat Nabil Ahmad Salimi, and Awad A. Alrashdi. 2022. "Effective Aging Inhibition of the Thermoplastic Corn Starch Films through the Use of Green Hybrid Filler" Polymers 14, no. 13: 2567. https://doi.org/10.3390/polym14132567
APA StyleLai, D. S., Osman, A. F., Adnan, S. A., Ibrahim, I., Ahmad Salimi, M. N., & Alrashdi, A. A. (2022). Effective Aging Inhibition of the Thermoplastic Corn Starch Films through the Use of Green Hybrid Filler. Polymers, 14(13), 2567. https://doi.org/10.3390/polym14132567

