Synergistic Effects of DOPO-Based Derivative and Organo-Montmorillonite on Flame Retardancy, Thermal Stability and Mechanical Properties of Polypropylene
Abstract
:1. Introduction
2. Materials and Methods
2.1. Materials
2.2. Preparation of Flame-Retarded PP Composites
2.3. Characterization
3. Results and Discussion
3.1. Flame Retardancy of PP Composites
| Samples | PP (wt%) | PN-DOPO (wt%) | OMMT (wt%) | LOI (%) | UL-94 (3.2 mm) | ||
|---|---|---|---|---|---|---|---|
| t1/t2 (s) | Dripping | Rating | |||||
| PP | 100 | 0 | 0 | 17.2 | >60/-- | Yes | No Rating |
| PP-1 | 90 | 10 | 0 | 21.7 | 8.1/16.7 | Yes | V-2 |
| PP-2 | 85 | 15 | 0 | 22.5 | 7.5/11.2 | No | V-1 |
| PP-3 | 80 | 20 | 0 | 23.1 | 5.2/2.6 | No | V-0 |
| PP-4 | 75 | 25 | 0 | 23.7 | 2.9/1.5 | No | V-0 |
| PP-5 | 80 | 19 | 1 | 23.4 | 7.8/0.5 | No | V-0 |
| PP-6 | 80 | 17 | 3 | 23.6 | 8.3/0.8 | No | V-0 |
| PP-7 | 80 | 15 | 5 | 24.0 | 15.2/0.7 | No | V-1 |
| PP-8 | 80 | 13 | 7 | 23.8 | 21.6/2.9 | No | V-1 |
| PP-9 | 93 | 0 | 7 | 20.3 | >60/-- | No | No Rating |
3.2. Thermal Stability
3.3. Morphology of the Char Residue
3.4. Chemical Structure of the Char Residues
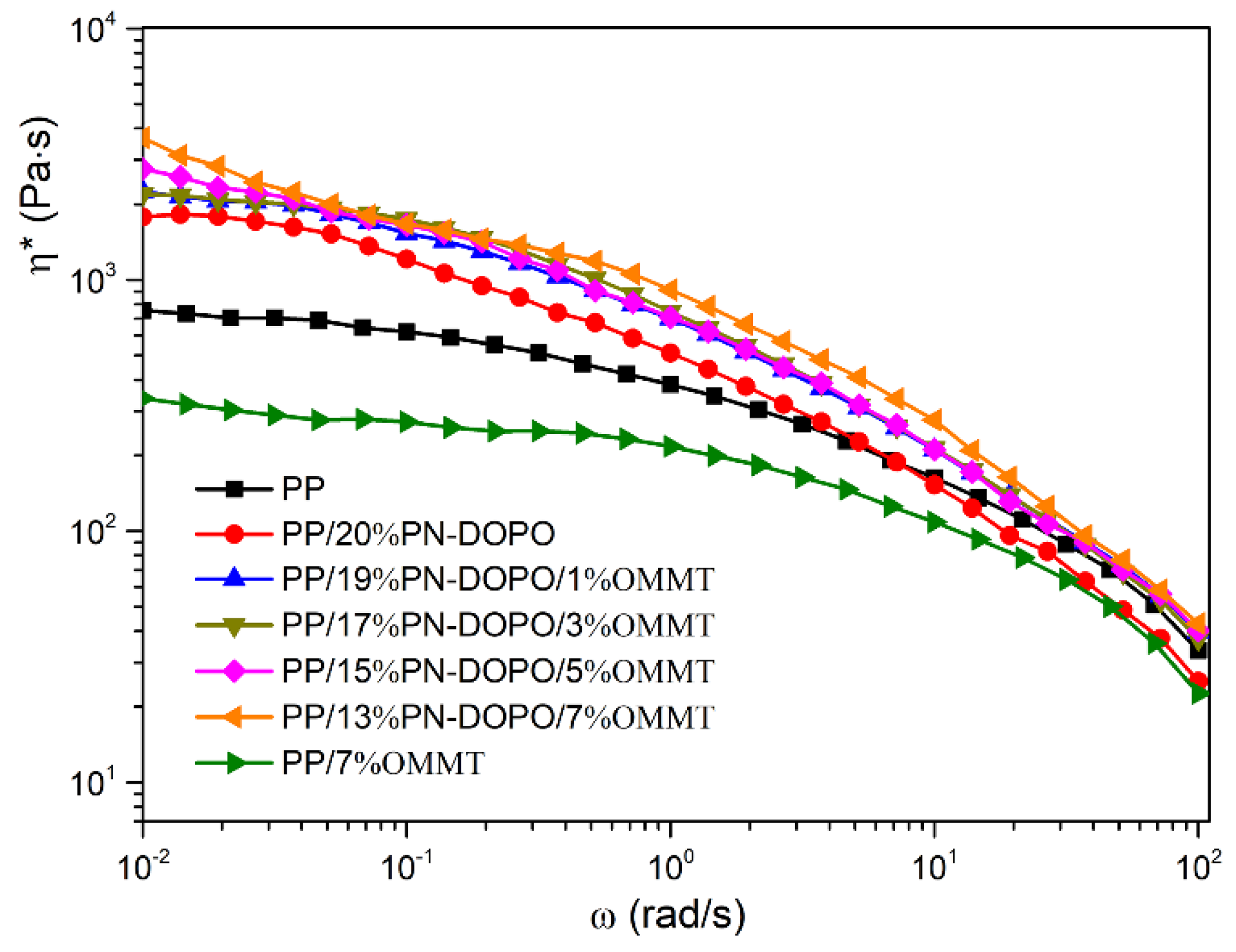
3.5. Rheological Behaviour
3.6. Synergistic Flame-Retardant Mechanism
3.7. Mechanical Properties of PP Composites
4. Conclusions
Author Contributions
Funding
Institutional Review Board Statement
Informed Consent Statement
Data Availability Statement
Conflicts of Interest
References
- Shao, Z.B.; Deng, C.; Tan, Y.; Yu, L.; Chen, M.J.; Chen, L.; Wang, Y.Z. Ammonium polyphosphate chemically-modified with ethanolamine as an efficient intumescent flame retardant for polypropylene. J. Mater. Chem. A 2014, 34, 13955–13965. [Google Scholar] [CrossRef]
- Feng, C.M.; Liang, M.Y.; Jiang, J.L.; Huang, J.G.; Liu, H.B. Synergistic effect of a novel triazine charring agent and ammonium polyphosphate on the flame retardant properties of halogen-free flame retardant polypropylene composites. Thermochim. Acta 2016, 627, 83–90. [Google Scholar] [CrossRef]
- Dong, X.; Yang, J.; Hua, X.; Nie, S.B.; Kong, F. Synthesis of a novel char-forming agent (PEIC): Improvement in flame retardancy, thermal stability, and smoke suppression for intumescent flame-retardant polypropylene composites. J. Appl. Polym. Sci. 2019, 137, 48296–48304. [Google Scholar] [CrossRef]
- Yuan, G.W.; Yang, B.; Chen, Y.H.; Jia, Y. Synthesis of a novel multi-structure synergistic POSS-GO-DOPO ternary graft flame retardant and its application in polypropylene. Compos. Part A Appl. Sci. Manuf. 2019, 117, 345–356. [Google Scholar] [CrossRef]
- Dong, Q.X.; Liu, M.M.; Ding, Y.; Wang, F.; Gao, C.; Liu, P.; Wen, B.; Zhang, S.M.; Yang, M.S. Synergistic effect of DOPO immobilized silica nanoparticles in the intumescent flame retarded polypropylene composites. Polym. Advan. Technol. 2013, 24, 732–739. [Google Scholar] [CrossRef]
- Alongi, J.; Han, Z.; Bourbigot, S. Intumescent: Tradition versus novelty. A comprehensive review. Prog. Polym. Sci. 2015, 51, 28–73. [Google Scholar] [CrossRef]
- Zhu, C.J.; He, M.S.; Cui, J.G.; Tai, Q.L.; Song, L.; Hu, Y. Synthesis of a novel hyper-branched and phosphorus-containing charring-foaming agent and its application in polypropylene. Polym. Adv. Technol. 2018, 29, 2449–2456. [Google Scholar] [CrossRef]
- Yan, H.; Zhao, Z.L.; Ge, W.J.; Zhang, N.E.; Jin, Q. Hyperbranched polyurea as charring agent for simultaneously improving flame retardancy and mechanical properties of ammonium polyphosphate/polypropylene composites. Ind. Eng. Chem. Res. 2017, 56, 8408–8415. [Google Scholar] [CrossRef]
- Täuber, K.; Marsico, F.; Wurm, F.R.; Schartel, B. Hyperbranched poly (phosphoester) s as flame retardants for technical and high performance polymers. Polym. Chem. 2014, 5, 7042–7053. [Google Scholar] [CrossRef]
- Zhu, C.J.; He, M.S.; Liu, Y.; Cui, J.G.; Tai, Q.L.; Song, L.; Hu, Y. Synthesis and application of a mono-component intumescent flame retardant for polypropylene. Polym. Degrad. Stabil. 2018, 151, 144–151. [Google Scholar] [CrossRef]
- Pan, Y.T.; Luo, Z.L.; Wang, B.B. Synergistic flame retardant effect of piperazine salt and ammonium polyphosphate as intumescent flame retardant system for polypropylene. J. Appl. Polym. Sci. 2020, 138, 49813–49826. [Google Scholar] [CrossRef]
- Gao, Y.S.; Wu, J.W.; Wang, Q.; Wilkie, C.A.; O’Hare, D. Flame retardant polymer/layered double hydroxide nanocomposites. J. Mater. Chem. A 2014, 29, 1039–1051. [Google Scholar] [CrossRef]
- Dang, L.; Tang, D.L.; Du, X.L.; Zhao, Y.T.; Lv, Z.H.; Zhu, D.H.; Cui, X.M. Synergistic effects of magnesium oxysulte whisker and multiwalled carbon nanotube on flame retardancy, smoke suppression, and thermal properties of polypropylene. J. Appl. Polym. Sci. 2020, 138, 49210–49222. [Google Scholar] [CrossRef]
- Salmeia, K.A.; Gaan, S. An overview of some recent advances in DOPO-derivatives: Chemistry and flame retardant applications. Polym. Degrad. Stabil. 2015, 113, 119–134. [Google Scholar] [CrossRef]
- Levchik, S.; Piotrowski, A.; Weil, E.; Yao, Q. New developments in flame retardancy of epoxy resins. Polym. Degrad. Stabil. 2005, 46, 2778–2788. [Google Scholar] [CrossRef]
- Neisius, N.M.; Lutz, M.; Rentsch, D.; Hemberger, P.; Gaan, S. Synthesis of DOPO-based phosphonamidates and their thermal properties. Ind. Eng. Chem. Res. 2014, 53, 2889–2896. [Google Scholar] [CrossRef]
- Huang, W.J.; He, W.T.; Long, L.J.; Yan, W.; He, M.; Qin, S.H.; Yu, J. Highly efficient flame-retardant glass-fiber-reinforced polyamide 6T system based on a novel DOPO-based derivative: Flame retardancy, thermal decomposition and pyrolysis behavior. Polym. Degrad. Stabil. 2018, 148, 26–41. [Google Scholar] [CrossRef]
- Buczko, A.; Stelzig, T.; Bommer, L.; Rentech, D.; Heneczkowski, M.; Gaan, S. Bridged DOPO derivatives as flame retardants for PA6. Polym. Degrad. Stabil. 2014, 107, 158–165. [Google Scholar] [CrossRef]
- Jiang, P.; Zhang, S.; Bourbigot, S.; Chen, Z.; Duquesne, S.; Casetta, M. Surface grafting of sepiolite with a phosphaphenanthrene derivative and its flame-retardant mechanism on PLA nanocomposites. Polym. Degrad. Stabil. 2019, 165, 68–79. [Google Scholar] [CrossRef]
- Wen, P.Y.; Wang, D.; Liu, J.J.; Zhan, J. Organically modified montmorillonite as a synergist for intumescent flame retardant against the flammable polypropylene. Polym. Adv. Technol. 2017, 28, 679–685. [Google Scholar] [CrossRef]
- Li, X.Y.; Tang, S.W.; Zhou, X.Q.; Gu, S.H.; Huang, K. Synergistic effect of amino silane functional montmorillonite on intumescent flame retarded SEBS and its mechanism. J. Appl. Polym. Sci. 2017, 134, 44953–44963. [Google Scholar] [CrossRef]
- Wang, P.; Yang, F.; Cai, Z. Synergistic effect of organo-montmorillonite and DOPO-based oligomer on improving the flame retardancy of epoxy thermoset. J. Therm. Anal. Calorim. 2016, 128, 1429–1441. [Google Scholar] [CrossRef]
- Arjmandi, R.; Balakrishnan, H.; Hassan, A.; Jawaid, M.; Othman, A.Y. Enhanced flame retardancy, thermal and mechanical properties of hybrid magnesium hydroxide/montmorillonite reinforced polyamide 6/polypropylene nanocomposites. Fiber. Polym. 2018, 19, 914–926. [Google Scholar] [CrossRef]
- Zhu, H.; Li, J.; Zhu, Y.K.; Chen, S.J. Roles of organic intercalation agent with flame retardant groups in montmorillonite (MMT) in properties of polypropylene composites. Polym. Adv. Technol. 2014, 25, 872–880. [Google Scholar] [CrossRef]
- Yu, Y.; Chen, Z.Q.; Zhang, Q.W.; Jiang, M.; Zhong, Z.; Chen, T.; Jiang, J. Modified montmorillonite combined with intumescent flame retardants on the flame retardancy and thermal stability properties of unsaturated polyester resins. Polym. Adv. Technol. 2019, 30, 998–1009. [Google Scholar] [CrossRef]
- Dasari, A.; Yu, Z.Z.; Cai, G.P.; Mai, Y.W. Recent developments in the fire retardancy of polymeric materials. Prog. Polym. Sci. 2013, 38, 1357–1387. [Google Scholar] [CrossRef]
- Samyn, F.; Bourbigot, S. Protection mechanism of a flame-retarded polyamide 6 nanocomposite. J. Fire Sci. 2014, 32, 241–256. [Google Scholar] [CrossRef]
- Wang, Z.; Du, X.H.; Yu, H.O.; Jiang, Z.W.; Liu, J.; Tang, T. Mechanism on flame retardancy of polystyrene/clay composites-the effect of surfactants and aggregate state of organoclay. Polymer 2009, 50, 5794–5802. [Google Scholar] [CrossRef]
- Du, B.; Ma, H.; Fang, Z.P. How nano-fillers affect thermal stability and flame retardancy of intumescent flame retarded polypropylene. Polym. Adv. Technol. 2011, 22, 1139–1146. [Google Scholar] [CrossRef]
- Wang, J.S.; Wang, G.H.; Liu, Y.; Jiao, Y.H.; Liu, D. Thermal stability, combustion behavior, and toxic gases in fire effluents of an intumescent flame-retarded polypropylene system. Ind. Eng. Chem. Res. 2014, 53, 6978–6984. [Google Scholar] [CrossRef]
- Huang, W.J.; Yan, W.; He, W.T.; Wang, K.; Long, L.J.; He, M.; Qin, S.H.; Yu, J. Synergistic flame-retardant effect of DOPO-based derivative and organo-ontmorillonite on glass-fiber- reinforced polyamide 6T. Polym. Adv. Technol. 2020, 31, 2083–2093. [Google Scholar] [CrossRef]
- Yan, W.; Yu, J.; Zhang, M.Q.; Wang, T.; Wen, C.; Qin, S.H.; Huang, W.J. Effect of multiwalled carbon nanotubes and phenethyl-bridged DOPO derivative on flame retardancy of epoxy resin. J. Polym. Res. 2018, 25, 72–79. [Google Scholar] [CrossRef]
- Yan, W.; Yu, J.; Zhang, M.Q.; Long, L.J.; Wang, T.; Qin, S.H.; Huang, W.J. Novel flame retardancy effect of phenethyl-bridged DOPO derivative on epoxy resin. High Perform. Polym. 2017, 30, 667–676. [Google Scholar] [CrossRef]
- Long, L.J.; Chang, Q.F.; He, W.T.; Xiang, Y.S.; Qin, S.H.; Yin, J.B.; Yu, J. Effects of bridged DOPO derivatives on the thermal stability and flame retardant properties of poly(lactic acid). Polym. Degrad. Stabil. 2017, 139, 55–66. [Google Scholar] [CrossRef]
- Long, L.J.; Yin, J.B.; He, W.T.; Xiang, Y.S.; Qin, S.H.; Yu, J. Synergistic effect of different nanoparticles on flame retardant poly(lactic acid) with bridged DOPO derivative. Polym. Compos. 2019, 40, 24791–24798. [Google Scholar] [CrossRef]
- Huang, W.J.; He, W.T.; Long, L.J.; Yan, W.; He, M.; Qin, S.H.; Yu, J. Thermal degradation kinetics of flame-retardant glass-fiber-reinforced polyamide 6T composites based on bridged DOPO derivatives. Polym. Bull. 2019, 76, 2061–2080. [Google Scholar] [CrossRef]
- Butnaru, I.; Fernández-Ronco, M.P.; Czech-Polak, J.; Heneczkowski, M.; Bruma, M.; Gaan, S. Effect of meltable triazine-DOPO additive on rheological, mechanical, and flammability properties of PA6. Polymers 2015, 7, 1541–1550. [Google Scholar] [CrossRef]
- Schartel, B.; Bartholmai, M.; Knoll, U. Some comments on the main fire retardancy mechanisms in polymer nanocomposites. Polym. Adv. Technol. 2006, 17, 772–777. [Google Scholar] [CrossRef]
- Xu, Q.; Wu, L.; Yan, X.; Zhang, S.; Liu, P. Halogen-Free flame retardant polypropylene fibers with modified intumescent flame retardant: Preparation, characterization, properties and mode of action. Polymers 2021, 13, 2553. [Google Scholar] [CrossRef]
- He, W.T.; Liao, S.T.; Xiang, Y.S.; Long, L.J.; Qin, S.H.; Yu, J. Structure and properties study of PA6 nanocomposites flame retarded by aluminium salt of diisobutylphosphinic acid and different organic montmorillonites. Polymers 2018, 10, 312. [Google Scholar] [CrossRef] [Green Version]
- Ye, L.; Ren, J.; Cai, S.Y.; Wang, Z.G.; Li, J.B. Poly(lactic acid) nanocomposites with improved flame retardancy and impact strength by combining of phosphinates and organoclay. Chin. J. Polym. Sci. 2016, 34, 785–796. [Google Scholar] [CrossRef]
- Shi, Z.; Yu, R.; Lou, S.; Li, N.; Liu, J.; Xing, H.; Ma, L.; Li, M.; Tang, T. A new strategy for constructing polypropylene composite foams with excellent ablation resistance and flame retardancy. Polymer 2022, 251, 124940–124950. [Google Scholar] [CrossRef]
- Zheng, Z.; Liao, C.; Xia, Y.; Liu, Y.; Dai, B.; Li, A. Co-microencapsulation of biomass-based char source and melamine polyphosphate and investigation for their synergistic action in flame-retarding polypropylene. Polym. Test. 2020, 90, 106741–124951. [Google Scholar] [CrossRef]
- He, X.D.; Zhang, W.C.; Yang, R.J. The characterization of DOPO/MMT nanocompound and its effect on flame retardancy of epoxy resin. Compos. Part A Appl. Sci. Manuf. 2017, 98, 124–135. [Google Scholar] [CrossRef]
- Weng, Z.X.; Senthil, T.; Zhuo, D.X.; Song, L.J.; Wu, L.X. Flame retardancy and thermal properties of organoclay and phosphorous compound synergistically modified epoxy resin. J. Appl. Polym. Sci. 2016, 133, 43367–43378. [Google Scholar] [CrossRef]
- Zhang, S.; Zhang, F.F.; Zhang, X.Y.; Ren, Q.L.; Xia, Y.; Guo, J. Synthesis of a novel flame retardant and its synergistic effect with a phosphapheanthrene flame retardant in polypropylene/polyethylene vinyl acetate blends. J. Macromol. Sci. B. 2018, 57, 31–43. [Google Scholar]
- Ronkay, F.; Molnár, B.; Szalay, F.; Nagy, D.; Bodzay, B.; Sajó, I.E.; Bocz, K. Development of flame-retarded nanocomposites from recycled PET bottles for the electronics industry. Polymers 2019, 11, 233. [Google Scholar] [CrossRef] [Green Version]
- Vadas, D.; Igricz, T.; Sarazin, J.; Bourbigot, S.; Marosi, G.; Bocz, K. Flame retardancy of microcellular poly(lactic acid) foams prepared by supercritical CO2-assisted extrusion. Polym. Degrad. Stabil. 2018, 153, 100–108. [Google Scholar] [CrossRef] [Green Version]
- Long, Y.; Xu, Z.S.; Wang, X.H. Synergistic effects of organically modified montmorillonite on the flame-retardant and smoke suppression properties of transparent intumescent fire-retardant coatings. Prog. Org. Coat. 2018, 122, 107–118. [Google Scholar]
- Chen, X.S.; Ma, Y.H.; Cheng, Y.J.; Zhang, A.Q.; Liu, W.; Zhou, H.F. Synergistic effect between a novel silane-containing hyperbranched polyphosphamide and ammonium polyphosphate on the flame retardancy and smoke suppression of polypropylene composites. Polym. Degrad. Stabil. 2020, 181, 109348–109364. [Google Scholar] [CrossRef]
- Liu, P.; Bai, S.; Wang, Q. Preparation of aluminum hydroxide/aluminum phosphinate flame-retardant poly(vinyl alcohol) foam through thermal processing. J. Appl. Polym. Sci. 2015, 132, 367–378. [Google Scholar] [CrossRef]
- Zhong, Y.; Jiang, C.; Ruan, M.; Chen, Y.; Wu, W. Preparation, Thermal and Flammability of Halogen-Free Flame Retarding Thermoplastic Poly(Ether-Ester) Elastomer/Montmorillonite Nanocomposites. Polym. Compos. 2016, 37, 699–708. [Google Scholar] [CrossRef]
- Zhu, F.; Yasin, S.; Hussain, M. Viscoelastic Rheological Behaviors of Polypropylene and LMPP Blends. Polymers 2021, 13, 3485. [Google Scholar] [CrossRef]
- Hussain, M.; Zhu, F.; Yu, B.; Han, J.; Memon, H.; Yasin, S. LMPP Effects on Morphology, Crystallization, Thermal and Mechanical Properties of iPP/LMPP Blend Fibres. Fibers Text. East. Eur. 2018, 26, 26–31. [Google Scholar] [CrossRef] [Green Version]
- Yasin, S.; Sun, D.; Memon, H.; Zhu, F.; Han, J.; Yu, B.; Ma, M.; Hussain, M. Optimization of mechanical and thermal properties of iPP and LMPP blend fibres by surface response methodology. Polymers 2018, 10, 1135. [Google Scholar] [CrossRef] [Green Version]
- Galgali, G.; Ramesh, C.; Lele, A. A Rheological Study on the Kinetics of Hybrid Formation in Polypropylene Nanocomposites. Macromolecules 2001, 34, 852–858. [Google Scholar] [CrossRef]
- Pluta, M.; Jeszka, J.K.; Boiteux, G. Polylactide/montmorillonite nanocomposites: Structure, dielectric, viscoelastic and thermal properties. Eur. Polym. J. 2007, 43, 2819–2835. [Google Scholar] [CrossRef]
- Dou, Y.; Li, X.; Zhang, T.; Xu, H. An intumescent flame-retardant layer with β-cyclodextrin as charring agent and its flame retardancy in jute/polypropylene composites. Polym. Bull. 2020, 77, 3315–3322. [Google Scholar] [CrossRef]
- Hong, X.; Zhang, S.; Tian, Z.; Qin, S.; Yang, L.; Liu, D.; Gu, Z.; Chen, J. Preparation of Exfoliated Organo-Montmorillonite and Its Effect on Flame Retardancy and Mechanical Properties of Polypropylene. ChemistrySelect 2022, 7, 219–229. [Google Scholar] [CrossRef]











| Samples | pHRR (W/g) | THR (kJ/g) | TpHRR (°C) |
|---|---|---|---|
| PP | 1260.1 | 49.1 | 468.6 |
| PP-3 | 1162.3 | 46.7 | 467.9 |
| PP-5 | 1037.7 | 44.6 | 477.2 |
| PP-6 | 914.0 | 42.7 | 485.1 |
| PP-7 | 976.4 | 43.1 | 482.4 |
| PP-8 | 1118.3 | 43.9 | 481.5 |
| PP-9 | 1296.2 | 47.3 | 440.5 |
| Samples | T5% (°C) | Tmax-1 (°C) | The Char Residues at 700 °C (wt%) |
|---|---|---|---|
| PP | 410.7 | 455.3 | 0.05 |
| PP-3 | 367.8 | 459.2 | 0.16 |
| PP-5 | 371.0 | 460.1 | 0.97 |
| PP-6 | 378.3 | 468.2 | 2.21 |
| PP-7 | 374.2 | 464.0 | 3.70 |
| PP-8 | 369.3 | 462.9 | 5.34 |
| PP-9 | 413.9 | 432.7 | 2.96 |
| Samples | Elemental Content (wt%) | |||||
|---|---|---|---|---|---|---|
| C | O | Si | Al | P | Mg | |
| PP/20%PN-DOPO | 67.6 | 23.1 | 0.3 | 0.1 | 8.5 | 0.4 |
| PP/17%PN-DOPO/3%OMMT | 73.1 | 11.3 | 5.2 | 2.1 | 6.0 | 2.3 |
| PP/13%PN-DOPO/7%OMMT | 76.8 | 10.2 | 5.6 | 2.5 | 3.1 | 1.8 |
| PP/7%OMMT | 43.4 | 32.9 | 12.7 | 6.2 | 0.3 | 4.5 |
| Elements | Binding Energy (eV) | PP/20%PN-DOPO (at%) | PP/17%PN-DOPO/ 3%OMMT (at%) | PP/7%OMMT (at%) |
|---|---|---|---|---|
| C1s | 284.6 | 68.7 | 52.5 | 45.9 |
| 285.7 | 4.6 | 22.9 | 6.2 | |
| 288.1 | - | 5.3 | - | |
| O1s | 532.2 | 17.1 | 9.1 | 23.2 |
| 533.7 | 2.5 | 2.4 | 4.9 | |
| P2p | 133.1 | 5.6 | 3.2 | - |
| 134.6 | 1.5 | 1.1 | - | |
| Al2p | 74.5 | - | 1.2 | 8.3 |
| Si2p | 102.8 | - | 2.3 | 11.5 |
| Samples | Tensile Strength (MPa) | Elongation at Break (%) | Flexural Strength (MPa) | Flexural Modulus (GPa) | Impact Strength (kJ/m2) |
|---|---|---|---|---|---|
| PP | 32.7 ± 0.6 | 133.8 ± 2.9 | 33.3 ± 0.4 | 0.93 ± 0.04 | 0.55 ± 0.03 |
| PP-3 | 37.3 ± 1.1 | 121.7 ± 4.5 | 40.3 ± 0.3 | 1.15 ± 0.08 | 0.46 ± 0.02 |
| PP-5 | 38.0 ± 1.3 | 75.4 ± 1.6 | 36.9 ± 0.2 | 1.17 ± 0.10 | 0.53 ± 0.05 |
| PP-6 | 39.8 ± 0.7 | 88.0 ± 1.2 | 41.6 ± 0.9 | 1.45 ± 0.08 | 0.64 ± 0.06 |
| PP-7 | 44.9 ± 1.2 | 112.8 ± 3.4 | 44.7 ± 0.6 | 1.57 ± 0.09 | 0.75 ± 0.03 |
| PP-8 | 41.6 ± 0.4 | 78.9 ± 1.0 | 42.1 ± 0.5 | 1.51 ± 0.12 | 0.51 ± 0.04 |
| PP-9 | 29.1 ± 1.6 | 99.6 ± 2.1 | 31.8 ± 0.7 | 0.91 ± 0.06 | 0.49 ± 0.04 |
Publisher’s Note: MDPI stays neutral with regard to jurisdictional claims in published maps and institutional affiliations. |
© 2022 by the authors. Licensee MDPI, Basel, Switzerland. This article is an open access article distributed under the terms and conditions of the Creative Commons Attribution (CC BY) license (https://creativecommons.org/licenses/by/4.0/).
Share and Cite
Huang, W.; Wang, K.; Tu, C.; Xu, X.; Tian, Q.; Ma, C.; Fu, Q.; Yan, W. Synergistic Effects of DOPO-Based Derivative and Organo-Montmorillonite on Flame Retardancy, Thermal Stability and Mechanical Properties of Polypropylene. Polymers 2022, 14, 2372. https://doi.org/10.3390/polym14122372
Huang W, Wang K, Tu C, Xu X, Tian Q, Ma C, Fu Q, Yan W. Synergistic Effects of DOPO-Based Derivative and Organo-Montmorillonite on Flame Retardancy, Thermal Stability and Mechanical Properties of Polypropylene. Polymers. 2022; 14(12):2372. https://doi.org/10.3390/polym14122372
Chicago/Turabian StyleHuang, Weijiang, Kui Wang, Chunyun Tu, Xiaolu Xu, Qin Tian, Chao Ma, Qiuping Fu, and Wei Yan. 2022. "Synergistic Effects of DOPO-Based Derivative and Organo-Montmorillonite on Flame Retardancy, Thermal Stability and Mechanical Properties of Polypropylene" Polymers 14, no. 12: 2372. https://doi.org/10.3390/polym14122372
APA StyleHuang, W., Wang, K., Tu, C., Xu, X., Tian, Q., Ma, C., Fu, Q., & Yan, W. (2022). Synergistic Effects of DOPO-Based Derivative and Organo-Montmorillonite on Flame Retardancy, Thermal Stability and Mechanical Properties of Polypropylene. Polymers, 14(12), 2372. https://doi.org/10.3390/polym14122372

