Hydrogel Based on Tricarboxi-Cellulose and Poly(Vinyl Alcohol) Used as Biosorbent for Cobalt Ions Retention
Abstract
1. Introduction
2. Experimental
2.1. Materials
2.2. Methods
2.2.1. Preparation and Physico-Chemical Characterization of Hybrid Hydrogel
2.2.2. Batch Biosorption Methodology
2.3. Fourier Transform Infrared (FTIR) Spectroscopy
2.4. Kinetic Modeling of the Biosorption Process
- Pseudo-first order (Lagergreen model) is well fitted for modeling of kinetic data if the plot lg (qe −qt) versus t gives straight lines which pass through the origin of axes, and the qe exp values agree with the calculated qe,exp. Its general equation is:And the linearized form is:where: k1- the rate constant of pseudo-first order model, 1/min; qt and qe—the amount of dye adsorbed at t time and at equilibrium (24 h), mg/g, respectively.
- Pseudo-second order model (Ho model) suggests that the biosorption processes can be controlled by chemical biosorption, or chemo-sorption involving valence forces through sharing or exchanging of electrons between the two phases involved, if it can observe a linearity of plots for t/qt versus t, and the values of qt calculated are much closer to the experimental values. The general equation and its linearized form are:where: k2—the rate constant of pseudo-second order model, g/(mg min); k2qe2 = h—the initial adsorption rate, mg/(g min).
- Elovich model is applied in an adsorption system in which the adsorbent surface is heterogeneous. The studied processes can be described as a chemical adsorption if the representation qt versus ln t is linear and intersects with the origin of the axes. The characteristic equation is:where: α—a constant about the initial adsorption rate, mg/(g min); β—a constant that refers to the extent of surface coverage and the activation energy for chemo-sorption, g/mg.
- Intraparticle diffusion model (Webber–Morris model) supposes diffusion-controlled kinetics; pore diffusion is the rate-limiting step if the plot qt vs. t1/2 is linear and passes through the origin:where kd is the rate constant for intraparticle diffusion, mg/(gmin1/2); c is the intercept to the Y axis.
- Film diffusion model (McKay model): the film diffusion is involved in the adsorption process if the plot ln (1-F) vs. t is linear, and it is the rate-limiting step if the line passes through theoriginwhere kf is the rate constant for film diffusion, 1/min, and F is the fractional attainment.
3. Results and Discussion
3.1. Biosorbent Characterization: Initial and After Co2+ Biosorption
3.2. Biosorption Studies
3.2.1. Evaluation of Some Operational Parameters Influencing the Biosorption Process
3.2.2. Influence of Solution pH
3.2.3. Influence of the Biosorbent Concentration
3.2.4. Influence of Initial Co(II) Ions Concentration and Temperature
3.2.5. Influence of Phases Contact Time
3.3. Kinetic Modeling
- (1)
- the diffusion of the adsorbate molecules from aqueous medium to the biosorbent surface through the boundary layer (film diffusion),
- (2)
- the diffusion of adsorbate molecules from the surface into the pores of the solid particles (pore diffusion, or intraparticle diffusion),
- (3)
- the interaction of adsorbate with the active sites on the surface of the biosorbent.
- It can observed that the biosorption process took place in the most adequate/efficient conditions at a moderate concentration of Co(II) ions.
- Because the plot ln (qe-qt) versus t for both initial Co(II) concentrations does not give a straight line (Figure 6a,b) and the R2 is lower than 0.95, the viable suggestion is that the pseudo-first order model is not well fitted for the modeling of kinetic data.
- Due to the linearity of plots t/qt versus t for both initial Co2+ dications concentration and the highest values of the correlation coefficient, R2, we could suggest that the biosorption kinetics of Co2+ ions onto OxC25 hydrogel follow a pseudo-second order kinetic model, and the biosorption process can be controlled by chemical adsorption, or chemo-sorption involving valence forces through sharing or exchange of cations and electrons between the two phases involved and also coordination/chelation.
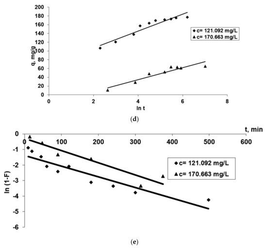
- R2 values less than 0.95 for this studied adsorption system (Table 1) and the fact that the linear representations qt versus ln t, for both initial concentrations of Co2+ (Figure 7d), do not intersect with the origin of the axes, suggest that the data do not fit well with the Elovich equation, emphasizing that chemo-adsorption may not be the only step that controls the studied (bio)sorption process. The hypothesis remains that the diffusion process is the stage that could control the biosorption.
- Taking into account these three conclusions, it could be assumed that the biosorption rate can be governed by either liquid phase mass transport, or by intraparticle mass transport. In order to obtain more accurate information about the diffusion mechanism, the kinetic data were analyzed by the intra-particle diffusion model (by the Webber–Morris model) (Figure 7c) and film diffusion model (by McKay model) (Figure 7e) [37,43]. In Figure 7c the experimental points associated with the Webber–Morris model are positioned on a straight line, then intra-particle diffusion occurs, but since neither passes through the origins, it is suggested that both diffusion mechanisms (intra-particle and film) could be involved in the biosorption process and could be the determining rate stage of the process. The fact that the graphic representation consists of two right segments indicates that two or more stages controlled the biosorption process [37,43]: (a) the first part could be regularly associated with film diffusion (external mass transfer) [39]; (b) the second linear part suggests there is intra-particles diffusion (in the porous structure of the adsorbent) [44].
- The graphical representation of the McKay model (Figure 7e) shows that the diffusion of the film is not involved in the biosorption process because the graph ln (1-F) vs. t is not linear, and the fact that the line does not pass through the origin indicates that it is not the step that limits the (bio)sorption process rate. Consequently, the rate-limiting step would be in the first minutes the mass transfer of Co2+ ions at the external surface of OxC25 hydrogel associated after with film diffusion and followed by intraparticle diffusion.
4. Conclusions
Author Contributions
Funding
Institutional Review Board Statement
Informed Consent Statement
Data Availability Statement
Conflicts of Interest
References
- Zaharia, C. Comparative overview of primary sedimentation-based mechanical stage in some wastewater treatment systems. J. Phys. IOP Conf. Ser. Mater. Sci. Eng. 2017, 227, 1–18. [Google Scholar] [CrossRef]
- Zaharia, C. Decentralized wastewater treatment systems: Efficiency and its estimated impact against onsite natural water pollution status. A Romanian case study. Proc. Saf. Environ. Prot. 2017, 108, 74–88. [Google Scholar] [CrossRef]
- Van Loon, G.W.; Duffy, S.J. Environmental Chemistry—A Global Perspective, 3rd ed.; Oxford University Press Inc.: New York, NY, USA, 2010. [Google Scholar]
- Van Loosdrecht, C.M.; Nielsen, P.H.; Lopez-Vazquez, C.M.; Brdjanovic, D. (Eds.) Experimental Methods in Wastewater Treatment; IWA Publishing: London, UK, 2016. [Google Scholar]
- Zaharia, C.; Suteu, D. Industrial wasted materials as ‘low cost’ sorbents for effluent treatment. In Current Topics, Concepts and Research Priorities in Environmental Chemistry; Zaharia, C., Ed.; “Al.I. Cuza” University Press: Iasi, Romania, 2013; Volume 2, pp. 189–212. [Google Scholar]
- Zaharia, C. Application of Waste Materials as ‘Low Cost’ Sorbents for Industrial Effluent Treatment. A Comparative Overview. Int. J. Mater. Prod. Technol. 2015, 50, 196–220. [Google Scholar] [CrossRef]
- Zaharia, C. Elements of Aquatic Environment Chemistry; Performantica Publishing House: Iasi, Romania, 2011. (In Romanian) [Google Scholar]
- Sunel, V. Technical and Toxicological Characteristics of the Principal Chemical Reagents; Rotaprint Publishing House of ‘Gheorghe Asachi’ Technical University: Iasi, Romania, 1993. (In Romanian) [Google Scholar]
- Zaharia, C. Juridical Protection of the Environment; Performantica Publishing House: Iasi, Romania, 2008. (In Romanian) [Google Scholar]
- Crini, G. Recent developments in polysaccharide-based materials used as adsorbents in wastewater treatment. Prog. Polym. Sci. 2005, 30, 38–70. [Google Scholar] [CrossRef]
- Opeolu, B.O.; Bamgbose, O.; Arowolo, T.A.; Adetunji, M.T. Utilization of biomaterials as adsorbent for heavy metals removal from aqueous matrices. Sci. Res. Essays 2010, 5, 1780–1787. [Google Scholar]
- Kyzas, G.Z.; Kostoglon, M. Green adsorbents for wastewaters: A critical review. Materials 2014, 7, 333–364. [Google Scholar] [CrossRef]
- Bajpai, A.; Tripathi, N. A Hybrid Material for Sustainable Environmental Protection. Procedia Eng. 2014, 75, 56–60. [Google Scholar] [CrossRef]
- Ojedokun, A.T.; Bello, I.S. An overview of low cost adsorbents for copper (II) ions removal. J. Biotechnol. Biomater. 2015, 5, 1–13. [Google Scholar]
- Hubbe, M.A.; Park, J.; Park, S. Cellulosic substrates for removal of pollutants from aqueous systems: A review. Part 4. Dissolved petrochemical compounds. BioResources 2014, 9, 7782–7925. [Google Scholar] [CrossRef]
- Wang, J.; Chen, C. Chitosan-based biosorbents: Modification and application for biosorption of heavy metals and radionuclides. Bioresour. Technol. 2014, 160, 129–141. [Google Scholar] [CrossRef]
- Kyzas, G.Z.; Bikiaris, D.N. Recent Modifications of Chitosan for Adsorption Applications: A Critical and Systematic Review. Mar. Drugs 2015, 13, 312–337. [Google Scholar] [CrossRef]
- Nasrullah, A.; Bhat, A.H.; Isa, M.H. Lignin: A sustainable biosorbent for heavy metal adsorption from wastewater: A review. AIP Conf. Proc. 2016, 1787, 40001. [Google Scholar] [CrossRef]
- Kumar, R.; Sharma, R.K.; Singh, A.P. Cellulose based grafted biosorbents—Journey from lignocellulose biomass to toxic metal ions sorption applications—A review. J. Mol. Liq. 2017, 232, 62–93. [Google Scholar] [CrossRef]
- Crini, G.; Lichtfouse, E. (Eds.) Green Adsorbent for Pollutant Removal. Fundamental and Design; Springer: Berlin/Heidelberg, Germany, 2018. [Google Scholar]
- Yue, X.; Huang, J.; Jiang, F.; Lin, H.; Chen, Y. Synthesis and characterization of cellulose-based adsorbent for removal of anionic and cationic dyes. J. Eng. Fibers Fabr. 2019, 14, 1–10. [Google Scholar] [CrossRef]
- Wang, B.; Sun, Y.-C.; Sun, R.-C. Fractionational and structural characterization of lignin and its modification as biosorbents for efficient removal of chromium from wastewater: A review. J. Leather Sci. Eng. 2019, 1, 1–25. [Google Scholar] [CrossRef]
- Coseri, S. Insights on cellulose research in the las two decades in Romania. Polymers 2021, 13, 689. [Google Scholar] [CrossRef] [PubMed]
- Kurecic, M.; Smole, M.S. Polymer Nanocomposite Hydrogel for Water Purification. In Nanocomposites—New Trends and Developments; Ebrahimi, F., Ed.; InTech: London, UK, 2012; pp. 161–185. [Google Scholar]
- Shalla, A.H.; Yaseen, Z.; Bhat, M.A.; Rangreez, T.A.; Maswal, M. Recent review for removal of metal ions by hydrogels. Sep. Sci. Technol. 2018, 54, 1–12. [Google Scholar] [CrossRef]
- Akter, M.; Bhattacharjee, M.; Kumar Dhar, A.; Rahman, F.B.A.; Haque, S.; Raschid, T.U.; Kabir, S.M.F. Cellulose based hydrogel for wastewater treatment: A concise review. Gels 2021, 7, 30. [Google Scholar] [CrossRef]
- Baron, R.I.; Culica, M.E.; Biliuta, G.; Bercea, M.; Gherman, S.; Zavastin, D.; Ochiuz, L.; Avadanei, M.; Coseri, S. Physical hydrogels of oxidized polysacharides and poly(vinul alcohol) for wound dressing applications. Materials 2019, 12, 1569. [Google Scholar] [CrossRef]
- Chen, Q.; Zhu, L.; Zhao, C.; Zheng, J. Hydrogels for Removal of Heavy Metals from Aqueous Solution. J. Environ. Anal. Toxicol. 2012, S2, 1–4. [Google Scholar] [CrossRef]
- Ullah, F.; Othman, M.B.; Javed, F.; Ahmad, Z.; Akil, H.M. Classification, processing and application of hydrogels: A review. Mater. Sci. Eng. C 2015, 57, 414–433. [Google Scholar] [CrossRef]
- Varaprasad, K.; Raghavendra, G.M.; Jayaramudu, T.; Yallapu, M.M.; Sadiku, R.E. A mini review on hydrogels classification and recent developments in miscellaneous applications. Mater. Sci. Eng. C 2017, 79, 958–971. [Google Scholar] [CrossRef] [PubMed]
- Karoyo, A.H.; Wilson, L.D. A Review on the Design and Hydration Properties of Natural Polymer-Based Hydrogels. Materials 2021, 14, 1095. [Google Scholar] [CrossRef] [PubMed]
- Baron, R.I.; Bercea, M.; Avadanei, M.; Lisa, G.; Biliuta, G.; Coseri, S. Green route for the fabrication of self-healable hydrogels based on tricarboxy cellulose and poly(vinyl aclcohol). Int. J. Biol. Macromol. 2019, 123, 744–751. [Google Scholar] [CrossRef]
- Nica, I.; Zaharia, C.; Baron, R.I.; Coseri, S.; Suteu, D. Adsorptive materials based on cellulose: Preparation, characterization and applications for Cooper ions retention. Cellul. Chem. Technol. 2020, 54, 579–590. [Google Scholar] [CrossRef]
- Nica, I.; Baron, R.I.; Biliuta, G.; Coseri, S.; Suteu, D. Preliminary assessments about the sorbtive properties of new types of TEMPO-oxidized cellulose and Pullulan-PVA hybrid hydrogels: Organic dyes and metallic ions retentions. Bull. IPI 2018, 64, 33–42. [Google Scholar]
- Wang, X.; Hou, H.; Li, Y.; Wang, Y.; Hao, C.; Ge, C. A novel semi-IPN hydrogel: Preparation, swelling properties and adsorption studies of Co (II). J. Ind. Eng. Chem. 2016, 41, 82–90. [Google Scholar] [CrossRef]
- Fornea, V.; Trupina, S.; Iosub, A.V.; Bulgariu, L. Spectrophotometric determination of Cu(II), Co(II) and Ni(II) ions in mono and multi-component systems. Bull. Inst. Polit. 2017, 62, 9–20. [Google Scholar]
- Crini, G.; Badot, P.M. Application of chitosan, a natural aminopolysaccharide, for dye removal from aqueous solutions by adsorption processes using batch studies: A review of recent literature. Prog. Polym. Sci. 2008, 33, 399–447. [Google Scholar] [CrossRef]
- Chowdhury, S.; Saha, P. Adsorption Kinetic Modeling of Safranin onto Rice Husk Biomatrix Using Pseudo-first- and Pseudo-second-order Kinetic Models: Comparison of Linear and Non-linear Methods. Clean–Soil Air Water 2011, 39, 274–282. [Google Scholar] [CrossRef]
- Walker, G.M.; Hansen, L.; Hanna, J.A.; Allen, S.J. Kinetics of a reactive dye adsorption onto dolomitic sorbents. Water Res. 2003, 37, 2081–2089. [Google Scholar] [CrossRef]
- Nouri, S.; Haghseresht, F. Adsorption of p-nitrophenol in untreated and treated activated carbon. Adsorption 2004, 10, 79–86. [Google Scholar] [CrossRef]
- Giles, C.H.; MacEwan, T.H.; Nakhwa, S.; Smith, D. Studies in adsorption. Part XI. A system of classification of solution adsorption isotherms, and its use in diagnosis of adsorption mechanisms and in measurement of specific surface areas of solids. J. Chem. Soc. 1960, 3973–3993. [Google Scholar] [CrossRef]
- Suteu, D.; Coseri, S.; Rusu, L. Kinetics studies on the adsorption behaviour of Basic Blue 9 dye on macroporous ion exchanger resins. Des. Water Treat. 2015, 57, 14665–14673. [Google Scholar] [CrossRef]
- Doke, K.M.; Khan, E.M. Adsorption thermodynamics to clean up wastewater; critical review. Rev. Environ. Sci. Biotechnol. 2012, 12, 25–44. [Google Scholar] [CrossRef]
- Srivastava, V.C.; Swamy, M.M.; Mall, I.D.; Prasad, B.; Mishra, I.M. Adsorptive removal of phenol by bagasse fly ash and activated carbon: Equilibrium, kinetics and thermodynamics. Colloids Surf. A Physicochem. Eng. Asp. 2006, 272, 89–104. [Google Scholar] [CrossRef]
- Zhao, L.; Mitomo, H. Adsorption of heavymetal ions from aqueous solution onto chitosan Entrapped CM-cellulose hydrogels synthesised by irradiation. J. Appl. Polym. Sci. 2008, 110, 1388–1395. [Google Scholar] [CrossRef]
- Tang, Q.; Sun, X.; Li, Q.; Jihuai, W.; Lin, J. Synthesis of Polyacryalate/polyethylene glycol interpenetrating network hydrogel and its sorption of heavymetal ions. Sci. Technol. Adv. Mater. 2009, 10, 015002. [Google Scholar] [CrossRef]
- Zheng, Y.; Hua, S.; Wang, A. Adsorption Behavior of Cu2+ from aqueous solutions onto starchg-poly(acrylic acid)/sodium humate hydrogels. Desalination 2010, 263, 170–175. [Google Scholar] [CrossRef]
- Chauhan, K.; Chauhan, G.S.; Ahn, J.H. Novel polycarboxylated starch-based sorbents for Cu2+ ions. J. Ind. Eng. Chem. Res. 2010, 49, 2548–2556. [Google Scholar] [CrossRef]
- Zhang, F.M.; Çubuk, S.; Yetimoğlu, E.K.; Kahraman, M.V. Uptake of Pb2+ Using N-vinyl Imidazole based uniform porous hydrogels. Sep. Sci. Technol. 2011, 46, 1984–1993. [Google Scholar]
- Zhang, W.; Hu, L.; Hu, S.; Liu, Y. Optimized synthesis of novel hydrogel for the adsorption of copper and cobalt ions in wastewater. RCS Adv. 2019, 9, 16058–16068. [Google Scholar] [CrossRef]
- Pavithra, S.; Thandapani, G.; Sugashini, S.; Sudha, P.N.; Alkhamis, H.H.; Alrefaei, A.F.; Almutairi, M.H. Batch adsorption studies on surface tailored chitosan/orange peel hydrogel composite for the removal of Cr(VI) and Cu(II) ions from synthetic wastewater. Chemosphere 2021, 271, 129415. [Google Scholar] [CrossRef] [PubMed]








| Kinetic Model/Characteristic Parameters | Initial Co2+ Concentration, mg/L | |
|---|---|---|
| 121.902 | 170.663 | |
| Pseudo First Order Kinetic | ||
| k1, (1/min) | 3.684 | 4.096 |
| qe, (mg/g) *—* Biosorption capacity cannot be calculated using the experimental data from graphical representations because, according to the value of R2, the data do not enable use of this kinetic model. | ||
| R2 | 0.8234 | 0.8929 |
| Pseudo Second Order Kinetic | ||
| k2, [g/(mg min)] | 0.000293 | 0.01996 |
| qe, (mg/g) | 181.82 | 68.965 |
| R2 | 1.000 | 0.9971 |
| ElovichModel | ||
| α, [mg/(g min)] | 3.502 | 4.362 |
| β, (g/mg) | 0.0516 | 0.07302 |
| R2 | 0.9143 | 0.8904 |
| Webber—Intra-Particle Diffusion | ||
| kd1, [mg/(g min0.5)] | 10.402 | 4.2613 |
| R2 | 0.9732 | 0.9392 |
| kd2, [mg/(g min0.5)] | 1.2394 | 0.1438 |
| R2 | 0.803 | 0.4318 |
| McKay | ||
| R2 | 0.8955 | 0.8639 |
Publisher’s Note: MDPI stays neutral with regard to jurisdictional claims in published maps and institutional affiliations. |
© 2021 by the authors. Licensee MDPI, Basel, Switzerland. This article is an open access article distributed under the terms and conditions of the Creative Commons Attribution (CC BY) license (https://creativecommons.org/licenses/by/4.0/).
Share and Cite
Nica, I.; Zaharia, C.; Suteu, D. Hydrogel Based on Tricarboxi-Cellulose and Poly(Vinyl Alcohol) Used as Biosorbent for Cobalt Ions Retention. Polymers 2021, 13, 1444. https://doi.org/10.3390/polym13091444
Nica I, Zaharia C, Suteu D. Hydrogel Based on Tricarboxi-Cellulose and Poly(Vinyl Alcohol) Used as Biosorbent for Cobalt Ions Retention. Polymers. 2021; 13(9):1444. https://doi.org/10.3390/polym13091444
Chicago/Turabian StyleNica, Iulia, Carmen Zaharia, and Daniela Suteu. 2021. "Hydrogel Based on Tricarboxi-Cellulose and Poly(Vinyl Alcohol) Used as Biosorbent for Cobalt Ions Retention" Polymers 13, no. 9: 1444. https://doi.org/10.3390/polym13091444
APA StyleNica, I., Zaharia, C., & Suteu, D. (2021). Hydrogel Based on Tricarboxi-Cellulose and Poly(Vinyl Alcohol) Used as Biosorbent for Cobalt Ions Retention. Polymers, 13(9), 1444. https://doi.org/10.3390/polym13091444

