Synthesis and Characterization of Macroinitiators Based on Polyorganophosphazenes for the Ring Opening Polymerization of N-Carboxyanhydrides
Abstract
1. Introduction
2. Materials and Methods
2.1. Materials
2.2. Instrumentation
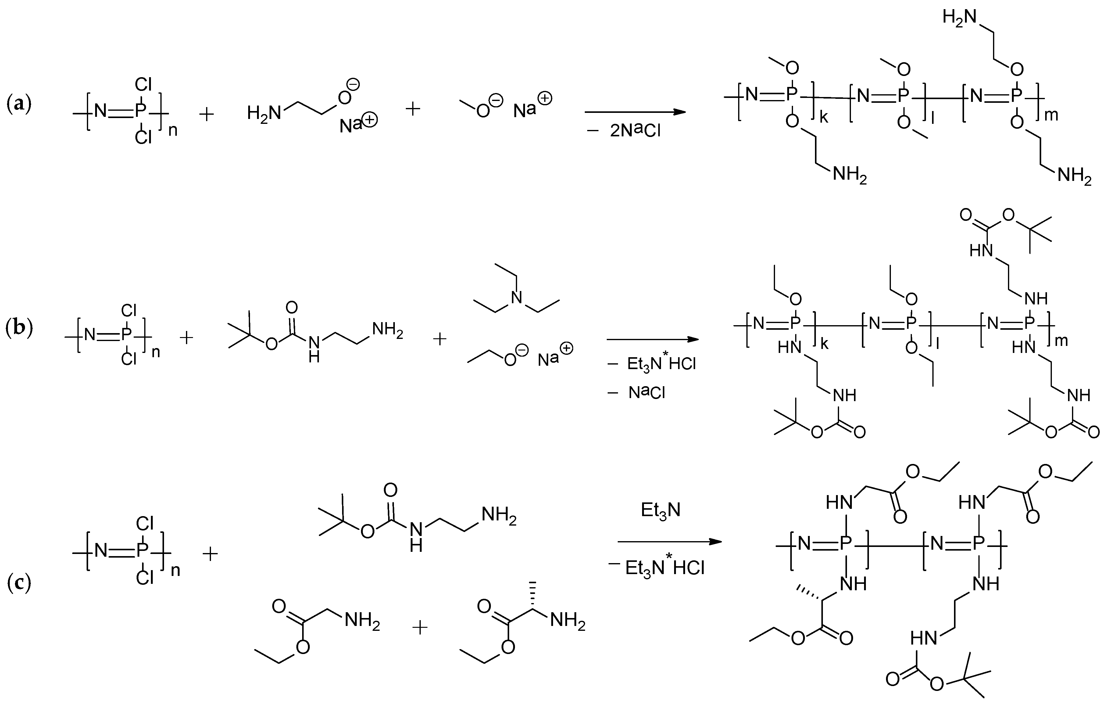
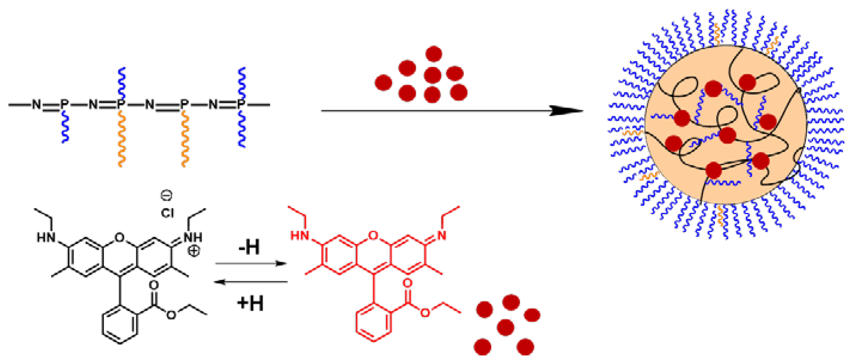
2.3. Synthesis of Polyorganophosphazenes
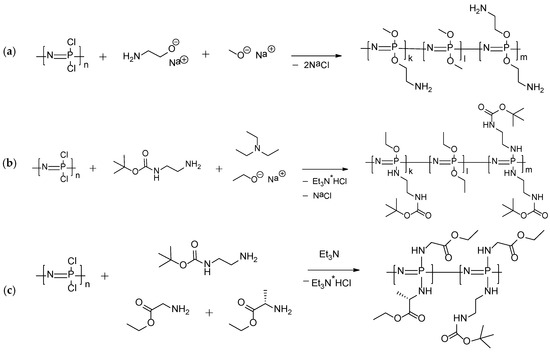
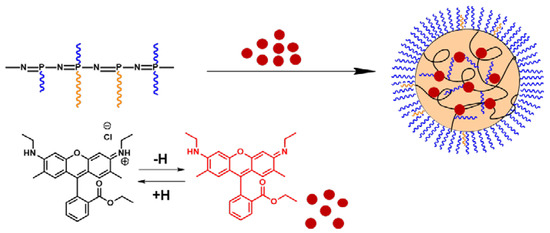
2.4. Preparation and Characterization of Nanoparticles
2.5. Dye Encapsulation and Release
2.6. Cell Culture Experiments
3. Results and Discussion
3.1. Synthesis of Polyorganophosphazenes
3.2. Preparation and Characterization of Nanoparticles
3.3. Dye Encapsulation and Release Study
3.4. Cytotoxicity Study
4. Conclusions
Supplementary Materials
Author Contributions
Funding
Institutional Review Board Statement
Informed Consent Statement
Data Availability Statement
Conflicts of Interest
References
- Baillargeon, A.L.; Mequanint, K. Biodegradable polyphosphazene biomaterials for tissue engineering and delivery of therapeutics. Biomed Res. Int. 2014, 2014, 1–16. [Google Scholar] [CrossRef]
- Wilfert, S.; Iturmendi, A.; Schoefberger, W.; Kryeziu, K.; Heffeter, P.; Berger, W.; Brüggemann, O.; Teasdale, I. Water-soluble, biocompatible polyphosphazenes with controllable and pH-promoted degradation behavior. J. Polym. Sci. Part A Polym. Chem. 2014, 52, 287–294. [Google Scholar] [CrossRef] [PubMed]
- Huang, Y.; Huang, Z.; Liu, H.; Zhang, X.; Cai, Q.; Yang, X. Photoluminescent biodegradable polyorganophosphazene: A promising scaffold material for in vivo application to promote bone regeneration. Bioact. Mater. 2020, 5, 102–109. [Google Scholar] [CrossRef]
- Sivaraj, M.; Mukherjee, A.; Mariappan, R.; Mariadoss, A.V.; Jeyaraj, M. Polyorganophosphazene stabilized gold nanoparticles for intracellular drug delivery in breast carcinoma cells. Process Biochem. 2018, 72, 152–161. [Google Scholar] [CrossRef]
- Kumar, S.; Singh, R.K.; Prasad, D.N.; Bhardwaj, T.R. Synthesis and in vitro degradation studies of substituted poly(organophosphazenes) for drug delivery applications. J. Drug Deliv. Sci. Technol. 2017, 38, 135–142. [Google Scholar] [CrossRef]
- Ullah, R.S.; Wang, L.; Yu, H.; Abbasi, N.M.; Akram, M.; Ul-Abdin, Z.; Saleem, M.; Haroon, M.; Khan, R.U. Synthesis of polyphosphazenes with different side groups and various tactics for drug delivery. RSC Adv. 2017, 7, 23363–23391. [Google Scholar] [CrossRef]
- Ni, Z.; Yu, H.; Wang, L.; Shen, D.; Elshaarani, T.; Fahad, S.; Khan, A.; Haq, F.; Teng, L. Recent research progress on polyphosphazene-based drug delivery systems. J. Mater. Chem. B 2020, 8, 1555–1575. [Google Scholar] [CrossRef]
- Chun, C.J.; Lee, S.M.; Kim, C.W.; Hong, K.Y.; Kim, S.Y.; Yang, H.K.; Song, S.C. Doxorubicin-polyphosphazene conjugate hydrogels for locally controlled delivery of cancer therapeutics. Biomaterials 2009, 30, 4752–4762. [Google Scholar] [CrossRef] [PubMed]
- Gudasi, K.B.; Vadavi, R.S.; Shelke, N.B.; Sairam, M.; Aminahbavi, T.M. Synthesis and characterization of novel polyorganophosphazenes substituted with 4-methoxybenzylamine and 4-methoxyphenethylamine for in vitro release of indomethacin and 5-fluorouracil. React. Funct. Polym. 2006, 66, 1149–1157. [Google Scholar] [CrossRef]
- Zheng, C.; Qiu, L.; Zhu, K. Novel polymersomes based on amphiphilic graft polyphosphazenes and their encapsulation of water-soluble anti-cancer drug. Polymer (Guildf) 2009, 50, 1173–1177. [Google Scholar] [CrossRef]
- Xu, J.; Zhu, X.; Qiu, L. Polyphosphazene vesicles for co-delivery of doxorubicin and chloroquine with enhanced anticancer efficacy by drug resistance reversal. Int. J. Pharm. 2016, 498, 70–81. [Google Scholar] [CrossRef]
- Jun, Y.J.; Park, J.H.; Park, K.S.; Avaji, P.G.; Lee, K.E.; Lee, H.J.; Sohn, Y.S. Design of theranostic nanomedicine (Ii): Synthesis and physicochemical properties of a biocompatible polyphosphazene–docetaxel conjugate. Int. J. Nanomed. 2017, 12, 5373–5386. [Google Scholar] [CrossRef] [PubMed]
- Chun, C.; Lee, S.M.; Kim, S.Y.; Yang, H.K.; Song, S.-C. Thermosensitive poly(organophosphazene)–paclitaxel conjugate gels for antitumor applications. Biomaterials 2009, 30, 2349–2360. [Google Scholar] [CrossRef]
- Sharma, R.; Rawal, R.K.; Malhotra, M.; Sharma, A.K.; Bhardwaj, T.R. Design, synthesis and ex-vivo release studies of colon-specific polyphosphazene-anticancer drug conjugates. Bioorganic Med. Chem. 2014, 22, 1104–1114. [Google Scholar] [CrossRef]
- Pang, X.; Chu, C.C. Synthesis, characterization and biodegradation of functionalized amino acid-based poly(ester amide)s. Biomaterials 2010, 31, 3745–3754. [Google Scholar] [CrossRef]
- Allcock, H.R. A perspective of polyphosphazene research. J. Inorg. Organomet. Polym. Mater. 2006, 16, 277–294. [Google Scholar] [CrossRef]
- Linhardt, A.; König, M.; Schöfberger, W.; Brüggemann, O.; Andrianov, A.K.; Teasdale, I. Biodegradable polyphosphazene based peptide-polymer hybrids. Polymers 2016, 8, 161. [Google Scholar] [CrossRef]
- El-amin, S.F.; Kwon, M.S.; Starnes, T.; Allcock, H.R. The Biocompatibility of Biodegradable Glycine Containing Polyphosphazenes: A Comparative Study in Bone. J. Inorg. Organomet. Polym. Mater. 2007, 16, 387–396. [Google Scholar] [CrossRef]
- Nichol, J.L.; Morozowich, N.L.; Allcock, H.R. Biodegradable alanine and phenylalanine alkyl ester polyphosphazenes as potential ligament and tendon tissue scaffolds. Polym. Chem. 2013, 4, 600–606. [Google Scholar] [CrossRef]
- Deng, C.; Wu, J.; Cheng, R.; Meng, F.; Klok, H.A.; Zhong, Z. Functional polypeptide and hybrid materials: Precision synthesis via α-amino acid N-carboxyanhydride polymerization and emerging biomedical applications. Prog. Polym. Sci. 2014, 39, 330–364. [Google Scholar] [CrossRef]
- Liarou, E.; Varlas, S.; Skoulas, D.; Tsimblouli, C.; Sereti, E.; Dimas, K.; Iatrou, H. Smart polymersomes and hydrogels from polypeptide-based polymer systems through α-amino acid N-carboxyanhydride ring-opening polymerization. From chemistry to biomedical applications. Prog. Polym. Sci. 2018, 83, 28–78. [Google Scholar] [CrossRef]
- Cheng, J.; Deming, T.J. Synthesis of Polypeptides by Ring-Opening Polymerization of α-Amino Acid N-Carboxyanhydrides. In Topics in Current Chemistry; Springer: Berlin/Heidelberg, Germany, 2012; Volume 310, pp. 1–26. [Google Scholar]
- Zashikhina, N.N.; Volokitina, M.V.; Korzhikov-Vlakh, V.A.; Tarasenko, I.I.; Lavrentieva, A.; Scheper, T.; Rühl, E.; Orlova, R.V.; Tennikova, T.B.; Korzhikova-Vlakh, E.G. Self-assembled polypeptide nanoparticles for intracellular irinotecan delivery. Eur. J. Pharm. Sci. 2017, 109, 1–12. [Google Scholar] [CrossRef]
- Levit, M.; Zashikhina, N.; Dobrodumov, A.; Kashina, A.; Tarasenko, I.; Panarin, E.; Fiorucci, S.; Korzhikova-Vlakh, E.; Tennikova, T. Synthesis and characterization of well-defined poly(2-deoxy-2-methacrylamido-D-glucose) and its biopotential block copolymers via RAFT and ROP polymerization. Eur. Polym. J. 2018, 105, 26–37. [Google Scholar] [CrossRef]
- Rothemund, S.; Teasdale, I. Preparation of polyphosphazenes: A tutorial review. Chem. Soc. Rev. 2016, 45, 5200–5215. [Google Scholar] [CrossRef]
- Zhang, S.; Ali, S.; Ma, H.; Zhang, L.; Wu, Z.; Wu, D.; Hu, T.S. Preparation of Poly(bis(phenoxy)phosphazene) and 31P NMR Analysis of Its Structural Defects under Various Synthesis Conditions. J. Phys. Chem. B 2016, 120, 11307–11316. [Google Scholar] [CrossRef] [PubMed]
- Tambe, P.; Sayed, N.; Paknikar, K.M.; Gajbhiye, V. Poly(Phospho Ester) and Poly(Phosphazene) Nanoparticles as a Promising Tool for Anticancer Therapeutics; Elsevier Inc.: Amsterdam, The Netherlands, 2019. [Google Scholar]
- Crucho, C.I.C.; Barros, M.T. Polymeric nanoparticles: A study on the preparation variables and characterization methods. Mater. Sci. Eng. C 2017, 80, 771–784. [Google Scholar] [CrossRef] [PubMed]
- Gomri, F.; Finqueneisel, G.; Zimny, T.; Korili, S.A.; Gil, A.; Boutahala, M. Adsorption of Rhodamine 6G and humic acids on composite bentonite–alginate in single and binary systems. Appl. Water Sci. 2018, 8, 156. [Google Scholar] [CrossRef]
- Zhao, Y.Z.; Sun, C.Z.; Lu, C.T.; Dai, D.D.; Lv, H.F.; Wu, Y.; Wan, C.W.; Chen, L.J.; Lin, M.; Li, X.K. Characterization and anti-tumor activity of chemical conjugation of doxorubicin in polymeric micelles (DOX-P) in vitro. Cancer Lett. 2011, 311, 187–194. [Google Scholar] [CrossRef]
- Hou, J.; Sun, E.; Zhang, Z.-H.; Wang, J.; Yang, L.; Cui, L.; Ke, Z.-C.; Tan, X.-B.; Jia, X.-B.; Lv, H. Improved oral absorption and anti-lung cancer activity of paclitaxel-loaded mixed micelles. Drug Deliv. 2017, 24, 261–269. [Google Scholar] [CrossRef]
- Ozay, H.; Ozay, O. Synthesis and characterization of drug microspheres containing phosphazene for biomedical applications. Colloids Surf. A Physicochem. Eng. Asp. 2014, 450, 99–105. [Google Scholar] [CrossRef]
- Onder, A.; Ozay, H. Synthesis and characterization of biodegradable and antioxidant phosphazene-tannic acid nanospheres and their utilization as drug carrier material. Mater. Sci. Eng. C 2021, 120, 111723. [Google Scholar] [CrossRef]
- Ozay, H.; Sahin, O.; Koc, O.K.; Ozay, O. The preparation and applications of novel phosphazene crosslinked thermo and pH responsive hydrogels. J. Ind. Eng. Chem. 2016, 43, 28–35. [Google Scholar] [CrossRef]








| Sample | Nucleophilic Reagents 1, eqv. to Chlorine Atoms | Nucleophilic Reagents 2, eqv. to Chlorine Atoms |
|---|---|---|
| [NaOCH3]:[NaOCH2CH2NH2] | ||
| POPh 1 | 4.5:1.5 | – |
| [NH2–CH2–CH2–NH-Boc] | [NaO–CH2–CH3] | |
| POPh 2 | 0.5 | 3.0 |
| [NH2–CH2–CH2–NH-Boc] | [GlyOEt]:[AlaOEt] | |
| POPh 3 | 0.15 | 0.75:0.60 |
| POPh 4 | 0.15 | 1.125:0.225 |
| [NH2–CH2–CH2–NH-Boc] | [GlyOEt]:[PheOEt] | |
| POPh 5 | 0.15 | 0.75:0.60 |
| POPh 6 | 0.15 | 0.975:0.375 |
| POPh 7 | 0.15 | 1.20:0.23 |
| Sample | Mn | Ð | Composition of Substituents in Final Polymer, % |
|---|---|---|---|
| [–OCH3]:[–OCH2–CH2–NH2] | |||
| POPh 1 | 7700 | 1.14 | 75:25 |
| [–OCH2–CH3]:[–NH–CH2–CH2–NH-Boc] | |||
| POPh 2 | 11,300 | 1.16 | 57:43 |
| [–GlyOEt]:[–AlaOEt]:[–NH–CH2–CH2–NH-Boc] | |||
| POPh 3 | 22,200 | 1.35 | 80:13:7 |
| POPh 4 | 21,200 | 1.32 | 84:10:6 |
| [–GlyOEt]:[–PheOEt]:[–NH–CH2–CH2–NH-Boc] | |||
| POPh 5 | 19,300 | 1.37 | 66:9:25 |
| POPh 6 | 20,100 | 1.31 | 65:7:28 |
| POPh 7 | 19,200 | 1.27 | 69:5:26 |
| Sample | Dh | PDI | ζ-Potential |
|---|---|---|---|
| POPh 1 | 430 ± 50 | 0.28 ± 0.02 | −3 ± 1 |
| POPh 2 | 240 ± 30 | 0.27 ± 0.06 | −11 ± 2 |
| POPh 3 | 90 ± 10 | 0.29 ± 0.01 | −36 ± 2 |
| POPh 4 | 105 ± 2 | 0.28 ± 0.02 | −20 ± 3 |
| POPh 5 | 160 ± 20 | 0.35 ± 0.06 | −20 ± 1 |
| POPh 6 | 190 ± 10 | 0.24 ± 0.01 | −19 ± 2 |
| POPh 7 | 230 ± 10 | 0.32 ± 0.01 | −30 ± 2 |
Publisher’s Note: MDPI stays neutral with regard to jurisdictional claims in published maps and institutional affiliations. |
© 2021 by the authors. Licensee MDPI, Basel, Switzerland. This article is an open access article distributed under the terms and conditions of the Creative Commons Attribution (CC BY) license (https://creativecommons.org/licenses/by/4.0/).
Share and Cite
Zashikhina, N.; Vasileva, M.; Perevedentseva, O.; Tarasenko, I.; Tennikova, T.; Korzhikova-Vlakh, E. Synthesis and Characterization of Macroinitiators Based on Polyorganophosphazenes for the Ring Opening Polymerization of N-Carboxyanhydrides. Polymers 2021, 13, 1446. https://doi.org/10.3390/polym13091446
Zashikhina N, Vasileva M, Perevedentseva O, Tarasenko I, Tennikova T, Korzhikova-Vlakh E. Synthesis and Characterization of Macroinitiators Based on Polyorganophosphazenes for the Ring Opening Polymerization of N-Carboxyanhydrides. Polymers. 2021; 13(9):1446. https://doi.org/10.3390/polym13091446
Chicago/Turabian StyleZashikhina, Natalia, Marina Vasileva, Olga Perevedentseva, Irina Tarasenko, Tatiana Tennikova, and Evgenia Korzhikova-Vlakh. 2021. "Synthesis and Characterization of Macroinitiators Based on Polyorganophosphazenes for the Ring Opening Polymerization of N-Carboxyanhydrides" Polymers 13, no. 9: 1446. https://doi.org/10.3390/polym13091446
APA StyleZashikhina, N., Vasileva, M., Perevedentseva, O., Tarasenko, I., Tennikova, T., & Korzhikova-Vlakh, E. (2021). Synthesis and Characterization of Macroinitiators Based on Polyorganophosphazenes for the Ring Opening Polymerization of N-Carboxyanhydrides. Polymers, 13(9), 1446. https://doi.org/10.3390/polym13091446

