Abstract
In this study, a phosphorous-containing polyol (P-polyol) was synthesized and reacted with isophorone diisocyanate (IPDI) to produce water-dispersed polyurethane. To synthesize waterborne polyurethanes (WPUs), mixtures of P-polyol and polycarbonate diol (PCD) were reacted with IPDI, followed by the addition of dimethylol propionic acid, to confer hydrophilicity to the produced polyurethane. An excess amount of water was used to disperse polyurethane in water, and the terminal isocyanate groups of the resulting WPUs were capped with ethylene diamine. P-polyol:PCD molar ratios of 0.1:0.9, 0.2:0.8, and 0.3:0.7 were used to synthesize WPUs. The films prepared by casting and drying the synthesized WPUs in plastic Petri dishes were used to test the changes in physical properties induced by changing the P-polyol:PCD molar ratio. The experimental results revealed that the tensile strength of PU-10, the WPU with a P-polyol:PCD molar ratio of 0.1:0.9, was 16% higher than that of the reference P-polyol–free WPU sample. Moreover, the thermal decomposition temperature of PU-10 was 27 °C higher than that of the reference sample.
1. Introduction
Polyurethane, which is a multipurpose polymer with good chemical resistance and high thermal and mechanical properties, is used for industrial applications, such as coatings, adhesives, textiles, and paints, and in the automotive industry [1,2,3]. However, the use of volatile organic compound-dissolving polymers causes environmental problems [4]. Therefore, eco-friendly water-dispersed polyurethane adhesives or coatings are required for the surface treatment of leather, paper, or plastics [5,6,7,8,9]. The hydrophilicity of waterborne polyurethanes (WPUs) is different from that of elastomeric polyurethane because WPUs contain hydrophilic polyols, such as dimethylol propionic acid (DMPA). Although hydrophilic polyols plays an important role in the dispersibility of WPUs in water, polyols decrease the water resistance and storage stability of WPUs [10,11,12,13,14]. These drawbacks can be compensated by adding cationic or anionic functional groups to the main polyol backbone of polyurethane [15,16]. However, the poor mechanical properties and low thermal stability of WPUs are still shortcomings for their practical applications [17,18]. Therefore, the modification of the physical properties of WPUs via the addition of nanofillers to WPU solutions to form robust composites [19,20] or via the incorporation of functional materials as chain extenders during WPU preparation has been widely studied [21].
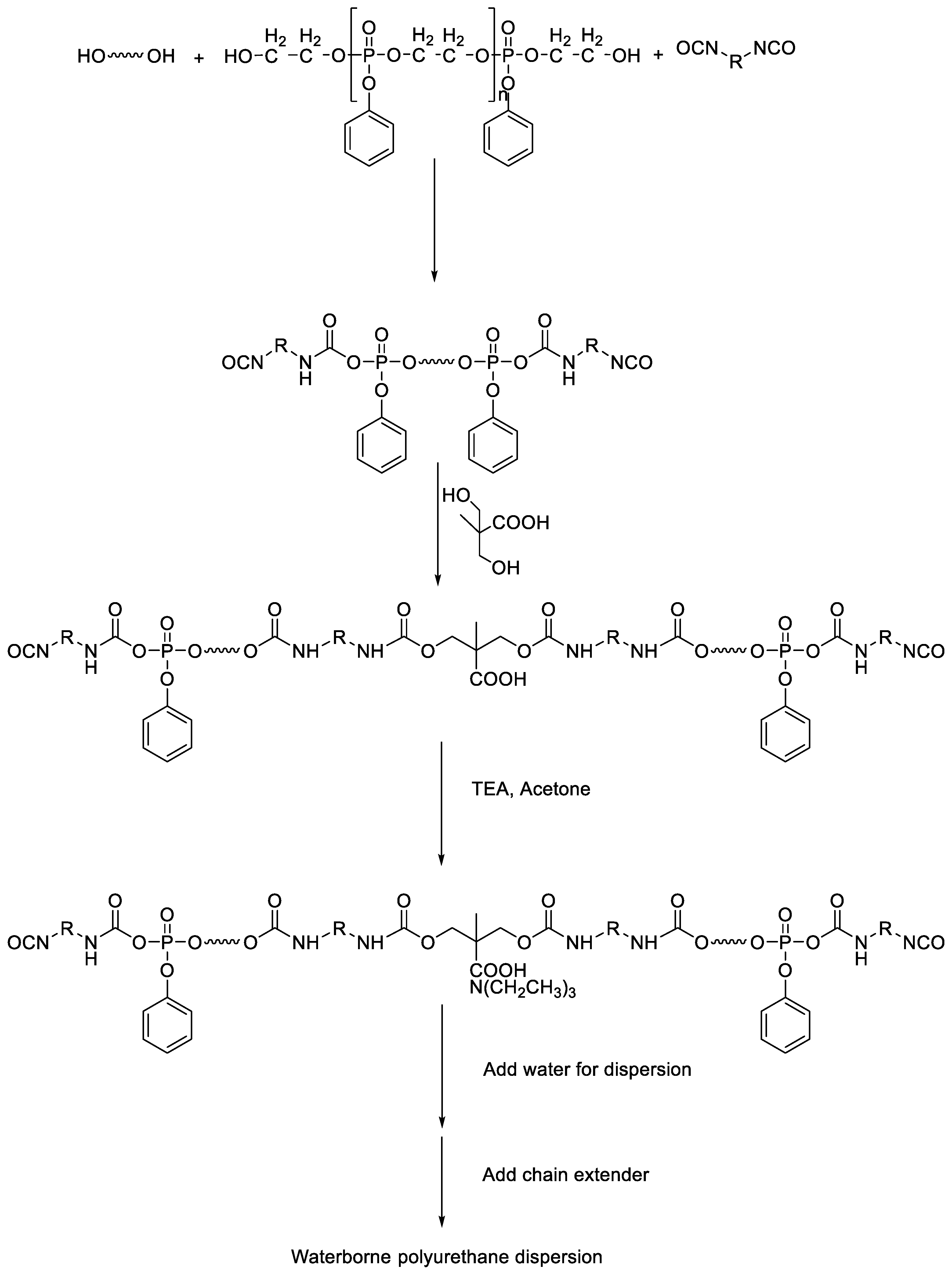
We previously synthesized an aromatic group-rich phosphorous-containing polyol (P-polyol) by reacting ethylene glycol with phenylphosphonic dichloride, followed by the addition of epoxy to prepare elastomeric polyurethane and determined that the storage modulus of elastomeric polyurethane was 39% higher than that of P-polyol. [22] In this study, we synthesized WPU with remarkable mechanical and thermal properties by reacting mixtures of different amounts of P-polyol and polycarbonate diol (PCD) with isophorone diisocyanate (IPDI) (Figure 1). The mechanical properties of the obtained WPU films were measured using a universal testing machine (UTM) and dynamic mechanical analysis (DMA), and the thermal properties were tested using differential scanning calorimetry (DSC) and thermogravimetric analysis (TGA). The experimental data were used to analyze the effects of the amount of added P-polyol on the properties of WPUs.
Figure 1.
Schematic diagram of waterborne polyurethane synthesis; triethylamine (TEA).
2. Experimental
2.1. Materials
PCD (number average molecular weight (Mn) of 2000 g/mol) was obtained from Asahi Kasei Chemicals Corporation (Tokyo, Japan). IPDI (98% purity), 1-methyl-2-pyrolidone (NMP, 99% purity), DMPA (98% purity), dibutyltin dilaurate (DBTDL, 95% purity), triethylamine (TEA, 99.5% purity), and ethylene diamine (ED, 98.5% purity) were purchased from Sigma-Aldrich (St. Louis, MO, USA) and were used as received without further purification. Ethylene glycol and phenylphosphonic dichloride (PPD) were also obtained from Sigma-Aldrich (St. Louis, MO, USA). Acetone (99.5% purity) and methylene chloride (99.5% purity) were acquired from Samchun Chemicals (Seoul, Korea).
2.2. Synthesis of P-Polyol
P-polyol was synthesized using a previously reported method [22]. For a typical synthesis, trimethylamine (30 g), ethylene glycol (10 g), and methylene chloride (30 mL) were added to a 250 mL three-neck flask. A solution of PPD (27.5 g) in methylene chloride (50 mL) was added to the flask using a dropping funnel for 24 h at 25 °C. After filtering to separate the solids, the solution was washed three times with deionized water in a separation funnel and the filtrate was dried in an oven at 40 °C. The hydroxyl value of P-polyol was measured using the titration method, and the synthesized P-polyol was used without further purification.
2.3. Synthesis of WPUs
The reaction scheme for the synthesis of WPUs is presented in Figure 1. PCD and P-polyol were added to a 500 mL three-neck flask equipped with a mechanical stirrer. The flask was stirred and heated to 80 °C until PCD dissolved completely. Thereafter, IPDI (26 mL) was injected into the flask, followed by the addition of DBTDL (0.8 μg), and the reactants were stirred for 10 min. Next, DMPA dissolved in NMP (20 mL) was added to the flask and the reactants were stirred for 20 min. After the temperature of the solution was lowered to 50 °C, acetone (77 g) was added. A solution of TEA (4.3 g in 30 mL of acetone) in acetone was subsequently added for 1 h. Deionized water (200 g) was slowly added for 40 min using a dropping funnel under stirring at 1000 rpm to prepare WPUs. The terminal –NCO groups of polyurethane were capped by adding a solution of ED (10 g) in water for 20 min. The reaction mixture was stirred for 1 h and stored in a wide-mouth bottle. The P-polyol:PCD molar ratio was adjusted from 0.1:0.9 to 0.2:0.8 and 0.3:0.7 to prepare PU-10, PU-20, and PU-30 WPUs, respectively, with different physical properties; in addition, a P-polyol–free WPU (hereinafter, Ref) was synthesized and used as a reference (Table 1).
Table 1.
Composition of waterborne polyurethanes (WPUs); P-polyol–free WPU (Ref); PU-10, PU-20, and PU-30 denote WPUs with P-polyol:PCD molar ratios of 0.1:0.9, 0.2:0.8, and 0.3:0.7, respectively; phosphorus-containing polyol (P-polyol), polycarbonate diol (PCD), dimethylol propionic acid (DMPA), triethylamine (TEA), and ethylene diamine (ED).
2.4. Preparation of WPU Films
The prepared WPUs (10 g) were poured into Petri dishes (90 mm of diameter) and dried for 15 h at 50 °C and 5 h at 70 °C in a dry oven to fabricate WPU films. The prepared films were used for mechanical and thermal analyses.
2.5. Characterization
The molecular weight of P-polyol was measured by determining its hydroxyl value, according to the ASTM E1899-08 method, using a Metrohm 888 Titrando (Metrohm AG, Herisau, Switzerland) instrument. The synthesis of WPUs was monitored using a Fourier-transform infrared spectroscopy (FT-IR; Nicolet 6700/Nicolet Continuum; Thermo Fisher Scientific Inc., Waltham, MA, USA) system. The molecular weight of WPU was measured using a liquid chromatography (1260 Infinity II, Agilent Technologies, Santa Clara, CA, USA) apparatus in tetrahydrofuran solvent with a constant flow rate of 1 mL/min. The particle size of WPUs was measured using a particle size analyzer (PSA; Mastersizer 3000, Malvern PANalytical, Malvern, UK) in deionized water. Dog bone test samples were prepared to evaluate the tensile strength of the films, which was measured five times using a UTM (Lloyd LF plus, TangentLABs, Indianapolis, IN, USA) and the ISO 37 Type-4 method. The load cell and crosshead speed of the UTM were 10 N and 100 mm/min, respectively. Kinetic data on the WPU films were collected using a DSC (Q2000, TA Instruments, New Castle, DE, USA) apparatus at a heating rate of 10℃/min and in the temperature range of −80 to 250 °C. The viscoelastic properties of the WPU films were tested using a DMA (Q800, TA Instruments, New Castle, DE, USA) unit and 60 mm × 12 mm × 3 mm samples at a frequency of 1 Hz with 10 μm oscillation amplitude and heating rate of 5 °C/min in the temperature range of −80 to 80 °C under a tension clamp. The thermal stability of the films was measured using a TGA (Q500, TA Instruments, New Castle, DE, USA) instrument in the temperature range of 25–800 °C at a heating rate of 10 °C/min under N2.
3. Results and Discussion
Characterization of WPUs
The measured hydroxyl value of P-polyol was determined to be 62.3 mg KOH (the amount of KOH (in mg) to neutralize any acid) using the titration method. The molecular weight of P-polyol was calculated to be 450 g/mol by dividing 56.11 g/mol by the hydroxyl value (62.3 mg KOH/g) and the number of –OH groups (2) of P-polyol. The structure of the synthesized WPU samples was confirmed using FT-IR spectrometry (Figure 2). After IPDI was added to the P-polyol–PCD mixture, a typical –NCO peak at 2275 cm−1 emerged in the FT-IR spectrum. The terminal –NCO peak disappeared when ED, which served as the chain extender, was added to the reaction mixture (Figure 2). The characteristic N–H peaks of ED appeared at 3200 and 1660 cm−1, and the –OH peak of water was detected at 3400 cm−1 and was ascribed to the addition of water to prepare WPUs.
Figure 2.
FT-IR data of WPU and polyol mixture.
The molecular weight of WPUs was measured using liquid chromatography, and the results are summarized in Table 2. The Mn values of the WPUs samples ranged between 17,540 and 20,095 g/mol.
Table 2.
Molecular weight of waterborne polyurethane (WPU) samples; here, Mn, Mw, and D denote the number average molecular weight, mass average molecular weight, and polydispersity, respectively; Ref denotes P-polyol–free WPU; and PU-10, PU-20, and PU-30 denote WPUs with P-polyol:PCD molar ratios of 0.1:0.9, 0.2:0.8, and 0.3:0.7, respectively.
The average size (Sauter mean diameter) of WPU particles in water was determined using the aforementioned PSA, and the results showing the trimodal distribution pattern are presented in Figure 3. The particle size of Ref was 1.21 μm, and it decreased to 0.70, 0.68, and 0.49 μm for the PU-10, PU-20 and PU-30 samples, respectively, with increasing P-polyol amount. It has been reported that smaller WPU particles are correlated with higher hydrophilicity [23,24]. The decrease in particle size with increasing P-polyol amount suggested that P-polyol presented hydrophilic properties. The hydrophilic properties of phosphate monomers were reported by Puri et al. [25], who indicated that the addition of ethylene glycol methacrylate phosphate to polymethyl methacrylate resin leads to hydrophilicity, increasing proportionally to the amount of phosphate monomer.
Figure 3.
Particle size distribution of waterborne polyurethane (WPU) samples determined using a particle size analyzer. Here, Ref denotes P-polyol–free WPU and PU-10, PU-20, and PU-30 denote WPUs with P-polyol:PCD molar ratios of 0.1:0.9, 0.2:0.8, and 0.3:0.7, respectively.
Tensile strength measurements were performed to analyze the mechanical properties of the WPU film, and the results are illustrated in Figure 4. The addition of P-polyol increased the tensile strength by 16% (from 14.7 (±0.6) MPa for Ref to 17.1 (±0.2) MPa for PU-10). However, the tensile strength of the WPU films with higher P-polyol contents decreased abruptly.
Figure 4.
Tensile strength measurements: (a) Photographs of dog bone test samples and (b) stress–strain curves of waterborne polyurethane (WPU) samples. Here, Ref denotes P-polyol–free WPU and PU-10, PU-20, and PU-30 denote WPUs with P-polyol:PCD molar ratios of 0.1:0.9, 0.2:0.8, and 0.3:0.7, respectively.
Polyurethanes present two glass transition temperatures (Tg), one for the soft segment and another for the hard segment. The Tg of the soft segment of Ref was determined to be −36.31 °C by averaging the results of two DSC runs (Figure 5a). The Tg values of the other analyzed WPUs were similar. However, the Tg values obtained using DMA (tan δ) were different depending on the amount of P-polyol (Figure 5b and Table 3). The Tg of PU-10 (−5.4 °C) was 2.6 °C higher than that of Ref (−8.0 °C). The difference in the Tg values of PU-20 (−3.0 °C) and PU-30 (−0.8 °C) was similar (2.2 °C). The addition of P-polyol to PCD caused the storage modulus of the WPU samples to change from 700 MPa for Ref to 3042 MPa for PU-10 (Figure 5c), owing to the rigid structure of P-polyol. However, when the amount of P-polyol was further increased, the storage modulus of the WPU samples decreased. The increase in loss modulus with increasing P-polyol amount followed a similar trend to Tg (Figure 5d).
Figure 5.
(a) Differential scanning calorimetry data obtained as averages of two runs. (b) Tan δ, (c) storage modulus, and (d) loss modulus of waterborne polyurethanes (WPUs). Here, Ref denotes P-polyol–free WPU and PU-10, PU-20, and PU-30 denote WPUs with P-polyol:PCD molar ratios of 0.1:0.9, 0.2:0.8, and 0.3:0.7, respectively.
Table 3.
Dynamic mechanical analysis data of waterborne polyurethanes (WPUs); here, Ref denotes P-polyol–free WPU and PU-10, PU-20, and PU-30 denote WPUs with P-polyol:PCD molar ratios of 0.1:0.9, 0.2:0.8, and 0.3:0.7, respectively.
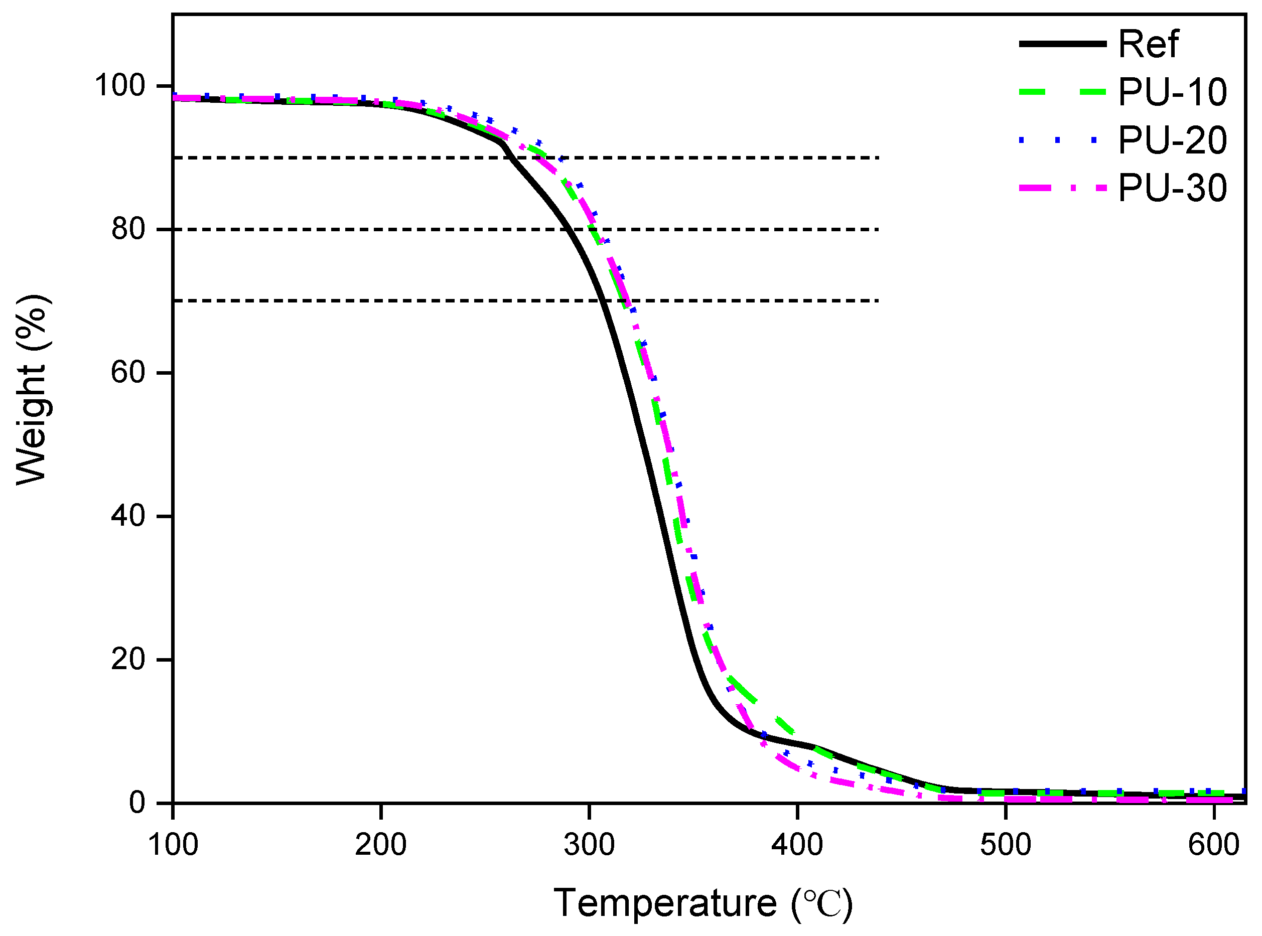
The thermal stability of WPUs was tested using TGA, and the results are presented in Figure 6 and Table 4. The decomposition temperatures (Td) of Ref and PU-10 at 10% of weight loss were 252 and 279 °C, respectively, and Td of PU-20 (286 °C) was 34 °C higher than that of Ref. This indicated that the addition of P-polyol to PCD enhanced the thermal stability of the WPU samples. The differences in Td values at 20% and 30% of weight loss of all samples were on average 10 °C lower than the differences in Td values at 10% and 20% of weight loss; however, the addition of P-polyol to PCD effectively improved the thermal stability of the analyzed WPU samples.
Figure 6.
Thermogravimetric analysis curves of waterborne polyurethanes (WPUs). Here, Ref denotes P-polyol–free WPU and PU-10, PU-20, and PU-30 denote WPUs with P-polyol:PCD molar ratios of 0.1:0.9, 0.2:0.8, and 0.3:0.7, respectively.
Table 4.
Decomposition temperatures (Td) of waterborne polyurethanes (WPUs) at different weight losses determined using thermogravimetric analysis measurements; here, Ref denotes P-polyol–free WPU and PU-10, PU-20, and PU-30 denote WPUs with P-polyol:PCD molar ratios of 0.1:0.9, 0.2:0.8, and 0.3:0.7, respectively.
4. Conclusions
P-polyol, which contained phosphorous and a rigid aromatic group, was synthesized and subsequently used to fabricate WPUs. The particle size of the prepared WPUs decreased with increasing P-polyol content; however, the Mn values of the prepared WPU sampled were similar and ranged between 17,000 and 20,000 g/mol. Tensile testing revealed that the tensile strength of PU-10 (17 MPa) was higher than that of Ref (14 MPa). However, when the P-polyol content was increased to over 20%, the tensile strength decreased abruptly. DMA experiments indicated that Tg of the WPU samples increased by approximately 2 °C with increasing P-polyol content by 10%. Furthermore, the addition of P-polyol to PCD increased the thermal stability of the synthesized WPUs, leading to the Td of PU-10 at 10% of weight loss, being 27 °C higher than that of Ref. Therefore, it was concluded that the addition of 10% P-polyol to PCD during the synthesis of WPU increased tensile strength and thermal decomposition temperature by 16% and 27 °C, respectively.
Author Contributions
Conceptualization, W.B.K., B.S., and C.-S.L.; methodology, J.B.J.; formal analysis, T.H.K., W.L. and H.J.K.; investigation, T.J.; writing—original draft preparation, C.-S.L.; writing—review and editing, W.B.K. All authors have read and agreed to the published version of the manuscript.
Funding
This research (No. SS2041-10; Development of specialty chemicals for the automobile industry) was funded by the Korea Research Institute of Chemical Technology (KRICT).
Institutional Review Board Statement
Not applicable.
Informed Consent Statement
Not applicable.
Data Availability Statement
The data presented in this study are available in article.
Conflicts of Interest
The authors declare no conflict of interest. The funders had no role in the design of the study; in the collection, analyses, or interpretation of data; in the writing of the manuscript, or in the decision to publish the results.
References
- Potts, J.R.; Dreyer, D.R.; Bielawski, C.W.; Ruoff, R.S. Graphene-Based Polymer Nanocomposites. Polymer 2011, 52, 5–25. [Google Scholar] [CrossRef]
- Wang, X.; Hu, Y.; Song, L.; Yang, H.; Xing, W.; Lu, H. In Situ Polymerization of Graphenenanosheets and Polyurethane with Enhanced Mechanical and Thermal Properties. J. Mater. Chem. 2011, 21, 4222. [Google Scholar] [CrossRef]
- Chen, Z.; Lu, H. Constructing Sacrificial Bonds and Hidden Lengths for Ductile Graphene/Polyurethane Elastomers with Improved Strength and Toughness. J. Mater. Chem. 2012, 22, 12479. [Google Scholar] [CrossRef]
- Tsai, W.-T. Toxic Volatile Organic Compounds (VOCs) in the Atmospheric Environment: Regulatory Aspects and Monitoring in Japan and Korea. Environments 2016, 3, 23. [Google Scholar] [CrossRef]
- Fu, H.; Wang, Y.; Chen, W.; Zhou, W.; Xiao, J. A Novel Silanized CoFe2O4/fluorinated Waterborne Polyurethanepressure Sensitive Adhesive. Appl. Surf. Sci. 2015, 351, 1204–1212. [Google Scholar] [CrossRef]
- Lei, L.; Zhong, L.; Lin, X.; Li, Y.; Xia, Z. Synthesis and Characterization of Waterborne Polyurethane Dispersions with Different Chain Extenders for Potential Application in Waterborne Ink. Chem. Eng. J. 2014, 253, 518–525. [Google Scholar] [CrossRef]
- Heck, C.A.; dos Santos, J.H.Z.; Wolf, C.R. Waterborne Polyurethane: The Effect of the Addition or In Situ Formation of Silica on Mechanical Properties and Adhesion. Int. J. Adhes. Adhes. 2015, 58, 13–20. [Google Scholar] [CrossRef]
- Kargarzadeh, H.; Mariano, M.; Huang, J.; Lin, N.; Ahmad, I.; Dufresne, A.; Thomas, S. Recent Developments on Nanocellulose Reinforced Polymer Nanocomposites: A Review. Polymer 2017, 132, 368–393. [Google Scholar]
- Zhao, J.; Zhou, T.; Zhang, J.H.; Chen, H.M.; Yuan, C.Y.; Zhang, W.D.; Zhang, A.M. Synthesis of a Waterborne Polyurethane-Fluorinated Emulsion and Its Hydrophobic Properties of Coating Films. Ind. Eng. Chem. Res. 2014, 53, 19257–19264. [Google Scholar] [CrossRef]
- Santamaria-Echart, A.; Fernandes, I.; Saralegi, A.; Costa, M.R.P.F.N.; Barreiro, F.; Corcuera, M.A.; Eceiza, A. Synthesis of Waterborne Polyurethane-Urea Dispersions with Chain Extension Step in Homogeneous and Heterogeneous Media. J. Colloid Interface Sci. 2016, 476, 184–192. [Google Scholar] [CrossRef]
- Saalah, S.; Abdullah, L.C.; Aung, M.M.; Salleh, M.Z.; Awang Biak, D.R.A.; Basri, M.; Jusoh, E.R. Waterborne Polyurethane Dispersions Synthesized from Jatropha Oil. Ind. Crop. Prod. 2015, 64, 194–200. [Google Scholar] [CrossRef]
- Muzaffar, S.; Bhatti, I.A.; Zuber, M.; Bhatti, H.N.; Shahid, M. Study of the UV Protective and Antibacterial Properties of Aqueous Polyurethane Dispersions Extended with Low Molecular Weight Chitosan. Int. J. Biol. Macromol. 2017, 94, 51–60. [Google Scholar] [CrossRef] [PubMed]
- García-Pacios, V.; Jofre-Reche, J.A.; Costa, V.; Colera, M.; Martín-Martínez, J.M. Coatings Prepared from Waterborne Polyurethane Dispersions Obtained with Polycarbonates of 1,6-Hexanediol of Different Molecular Weights. Prog. Org. Coat. 2013, 76, 1484–1493. [Google Scholar] [CrossRef]
- Cakić, S.M.; Ristić, I.S.; Cincović, M.M.; Nikolić, N.Č.; Nikolić, L.B.; Cvetinov, M.J. Synthesis and Properties Biobased Waterborne Polyurethanes from Glycolysis Product of PET Waste and Poly (Caprolactone) Diol. Prog. Org. Coat. 2017, 105, 111–122. [Google Scholar] [CrossRef]
- Vogt-Birnbrich, B.V. Novel Synthesis of Low VOC Polymeric Dispersions and Their Application in Waterborne Coatings. Prog. Org. Coat. 1996, 29, 31–38. [Google Scholar] [CrossRef]
- Park, C.; Wu, J.; Park, H.J. Syntheses and characterizations of two-component polyurethane flame retardant coatings using 2, 4-dichloro modified polyesters. Coat. Technol. 1997, 69, 41. [Google Scholar] [CrossRef]
- Kim, B.K.; Seo, J.W.; Jeong, H.M. Morphology and Properties of Waterborne Polyurethane/Clay Nanocomposites. Eur. Polym. J. 2003, 39, 85–91. [Google Scholar] [CrossRef]
- Zhou, H.; Wang, H.; Tian, X.; Zheng, K.; Cheng, Q. Effect of 3-aminopropyltriethox-ysilane on Polycarbonate Based Waterborne Polyurethane Transparent Coatings. Prog. Org. Coat. 2014, 77, 1073–1078. [Google Scholar] [CrossRef]
- Kale, M.B.; Divakaran, N.; Mubarak, S.; Dhamodharan, D.; Senthil, T.; Wu, L. Waterborne Polyurethane Nanocomposite Reinforced with Amine Intercalated α-Zirconium Phosphate—Study of Thermal and Mechanical Properties. Polymer 2020, 186, 122008. [Google Scholar]
- Kim, H.J.; Han, J.; Son, Y. Effect of a Monomer Composition on the Mechanical Properties and Glass Transition Temperature of a Waterborne Polyurethane/Graphene Oxide and Waterborne Polyurethane/MWCNT Nanocomposite. Polymers 2020, 12, 2013. [Google Scholar] [CrossRef]
- Lee, D.I.; Kim, S.H.; Lee, D.S. Synthesis of Self-Healing Waterborne Polyurethane Systems Chain Extended with Chitosan. Polymers 2019, 11, 503. [Google Scholar] [CrossRef] [PubMed]
- Jang, J.B.; Kim, T.H.; Kim, T.; Kim, H.J.; Seo, B.; Lim, C.S.; Lee, W. Modified Epoxy Resin Synthesis from Phosphorus—Containing Polyol and Physical Changes Studies in the Synthesized Products. Polymers 2019, 11, 2116. [Google Scholar] [CrossRef]
- Xu, J.; Li, T.; Zhao, W.; Li, P.; Wu, Y. Synthesis and Characterization of Waterborne Polyurethane Emulsions Based on Poly(Butyleneitaconate) ester. Designed Monomers Polym. 2016, 19, 309–318. [Google Scholar] [CrossRef]
- Hou, J.; Ma, Y.; Zhang, Z.; Yang, X.; Huang, M.; Chai, C. The Relationship between Solid Content and Particle Size Ratio of Waterborne Polyurethane. Coatings 2019, 9, 401. [Google Scholar] [CrossRef]
- Puri, G.; Berzins, D.W.; Dhuru, V.B.; Raj, P.A.; Rambhia, S.K.; Dhir, G.; Dentino, A.R. Effect of Phosphate Group Addition on the Properties of Denture Base Resins. J. Prosthet. Dent. 2008, 100, 302–308. [Google Scholar] [CrossRef]
Publisher’s Note: MDPI stays neutral with regard to jurisdictional claims in published maps and institutional affiliations. |
© 2021 by the authors. Licensee MDPI, Basel, Switzerland. This article is an open access article distributed under the terms and conditions of the Creative Commons Attribution (CC BY) license (http://creativecommons.org/licenses/by/4.0/).





