Preparation of a Novel Resin Based Covalent Framework Material and Its Application in the Determination of Phenolic Endocrine Disruptors in Beverages by SPE-HPLC
Abstract
:1. Introduction
2. Materials and Methods
2.1. Reagents and Instruments
2.2. Experimental Methods
2.2.1. Preparation of TpBD COF Material
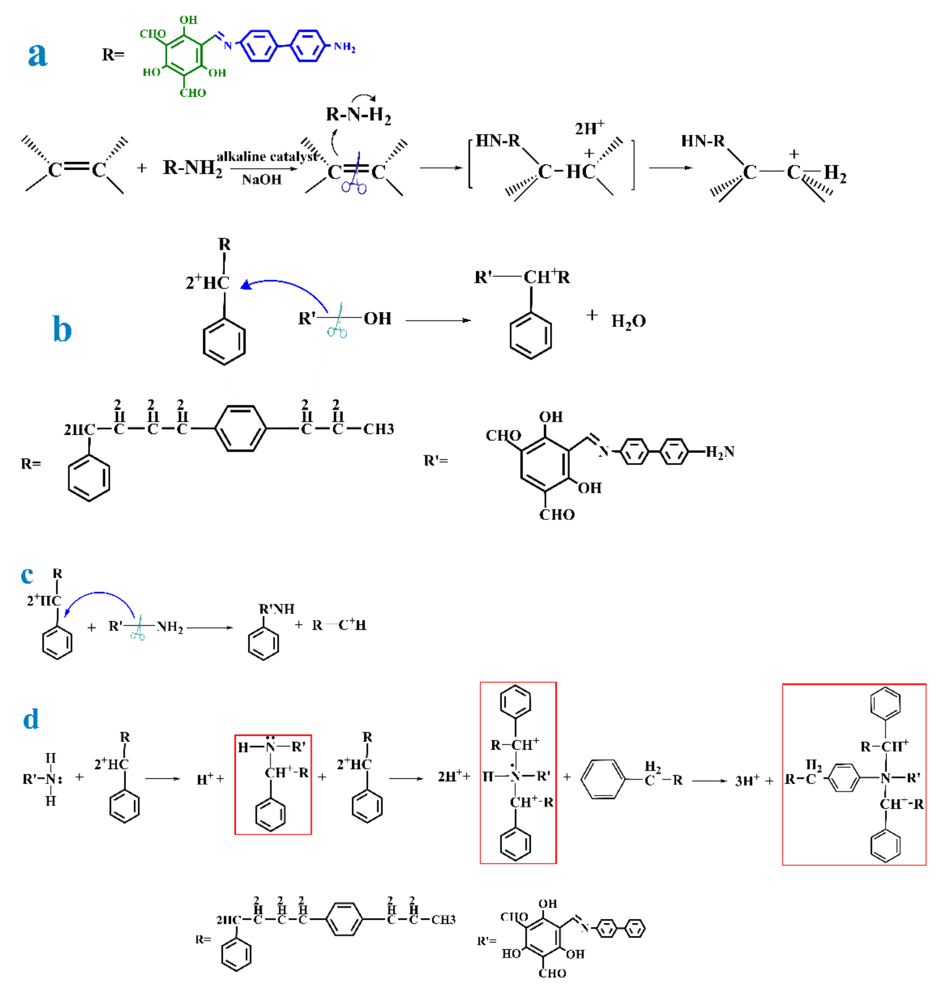
2.2.2. Synthesis Mechanism of TpBD COF Material
2.2.3. Preparation of Resin Based COF Material
2.2.4. Synthesis Mechanism of Resin Based COF Material
2.2.5. Solid Phase Extraction Experiment
- 0–3 min, the ratio of B in mobile phase was 60%;
- 3–10 min, the proportion of B in the mobile phase increased to 70%;
- 10–20 min, the proportion of B in the mobile phase increased to 80% and kept for 5 min;
- After 25–30 min, the proportion of B in the mobile phase was reduced to 60% and kept for 30–40 min.
2.2.6. Characterization of Materials
3. Results and Discussion
3.1. Morphology Analysis of Materials
3.2. Thermogravimetric Analysis of COF Materials
3.3. Infrared Analysis of Materials
3.4. X-ray Diffraction Analysis of Materials
3.5. Comparison of Solid Phase Extraction Performance
3.5.1. Determination of Detection Limits of Phenolic Substances
3.5.2. Comparison of Material Properties
3.5.3. Precision Analysis of Four EDCs by Solid Phase Extraction
3.5.4. Feasibility Analysis of Solid Phase Extraction of COF Materials
3.5.5. Analysis of the Results of Solid Phase Extraction of Phenols in Beverages
3.5.6. Reusability of Materials
4. Conclusions
Author Contributions
Funding
Institutional Review Board Statement
Informed Consent Statement
Data Availability Statement
Conflicts of Interest
References
- Snyder, S.A.; Westerhoff, P.; Yoon, Y.; Sedlak, D.L. Pharmaceuticals, personal care products, and endocrine disruptors in water: Implications for the water industry. Environ. Eng. Sci. 2003, 20, 449–469. [Google Scholar] [CrossRef]
- Crisp, T.M.; Clegg, E.D.; Cooper, R.L. Environmental endocrine disruption: An effects assessment and analysis. Environ. Health Perspect. 1998, 106, 11–56. [Google Scholar] [CrossRef] [Green Version]
- Wisesa, I.B.G.R.; Sukoco, H.; Siswanto, F.M. The Oxidant Effect of Bisphenol A (BPA) Can be Decoupled from its Endocrine Disruptor Property. J. Phys. Conf. Ser. 2020, 1430, 012007. [Google Scholar] [CrossRef]
- Goodson, A.; Summerfield, W.; Cooper, I. Survey of bisphenol A and bisphenol F in canned foods. Food Addit. Contam. 2002, 19, 796–802. [Google Scholar] [CrossRef] [PubMed]
- Peng, Y.; Nicastro, K.H.; Epps, T.H.; Wu, C. Methoxy Groups Reduced the Estrogenic Activity of Lignin-Derivable Replacements Relative to Bisphenol A and Bisphenol F as studied through Two in vitro Assays. Food Chem. 2020, 338, 127656. [Google Scholar] [CrossRef]
- Vlchez, J.L.; Zafra, A.; González-Casado, A.; Hontoria, E.; Olmo, M.D. Determination of trace amounts of bisphenol F, bisphenol A and their diglycidyl ethers in wastewater by gas chromatography-mass spectrometry. Anal. Chim. Acta 2001, 431, 31–40. [Google Scholar] [CrossRef]
- Soares, A.; Guieysse, B.; Jefferson, B.; Cartmell, E.; Lester, J.N. Nonylphenol in the environment: A critical review on occurrence, fate, toxicity and treatment in wastewaters. Environ. Int. 2008, 34, 1033–1049. [Google Scholar] [CrossRef] [PubMed]
- Laws, S.C.; Carey, S.A.; Ferrell, J.M. Estrogenic Activity of Octylphenol, Nonylphenol, Bisphenol A and Methoxychlor in Rats. Tox. Sci. 2000, 54, 154–167. [Google Scholar] [CrossRef] [Green Version]
- Chen, H.J.; Tseng, D.H.; Huang, S.L. Biodegradation of octylphenol polyethoxylate surfactant Triton X-100 by selected microorganisms. Bioresour. Technol. 2005, 96, 1483–1491. [Google Scholar] [CrossRef]
- Hao, Z.; Xiao, Y.; Jiang, L.; Bai, W.; Huang, W.; Yuan, L. Simultaneous Determination of Bisphenol A, Bisphenol F, 4-Nonylphenol, 4-n-Nonylphenol, and Octylphenol in Grease-Rich Food by Carb/PSA Solid-Phase Extraction Combined with High-Performance Liquid Chromatography Tandem Mass Spectrometry. Food Anal. Methods 2018, 11, 589–597. [Google Scholar] [CrossRef]
- Fitzgerald, R.E. Perspective on Health Effects of Endocrine Disruptors with a Focus on Data Gaps. Chem. Res. Toxicol. 2020, 33, 1284–1291. [Google Scholar] [CrossRef]
- Chen, C.E.; Liu, Y.S.; Dunn, R.; Zhao, J.L.; Sweetman, A.J. A year-long passive sampling of phenolic endocrine disrupting chemicals in the East River, South China. Environ. Int. 2020, 143, 105936. [Google Scholar] [CrossRef]
- Tles, S.; Kartal, C. Solid-Phase Extraction (SPE): Principles and Applications in Food Samples. Acta Sci. Pol. Technol. Aliment. 2016, 15, 5–15. [Google Scholar] [CrossRef] [Green Version]
- Pollak, P.T.; Carruthers, S.G.; Freeman, D.J. Simplified liquid-chromatographic assay of amiodarone and desethylamiodarone after solid-phase extraction. Clin. Chem. 2020, 5, 890–893. [Google Scholar] [CrossRef]
- Xu, L.; Qiao, X.; Ma, Y.; Zhang, X.; Xu, Z. Preparation of a Hydrophilic Molecularly Imprinted Polymer and Its Application in Solid-Phase Extraction to Determine of Trace Acrylamide in Foods Coupled with High-Performance Liquid Chromatography. Food Anal. Methods 2013, 6, 838–844. [Google Scholar] [CrossRef]
- Hallaj, T.; Amjadi, M. A sensitive plasmonic probe based on in situ growth of a Ag shell on a Au@N-CD nanocomposite for detection of isoniazid in environmental and biological samples. New J. Chem. 2019, 43, 5980–5986. [Google Scholar] [CrossRef]
- Yaghi, O.M. Reticular chemistry-construction, properties, and precision reactions of frameworks. J. Am. Chem. Soc. 2016, 138, 15507–15509. [Google Scholar] [CrossRef] [PubMed] [Green Version]
- Ding, S.Y.; Wang, W. Covalent organic frameworks (COF): From design to applications. Chem. Soc. Rev. 2013, 42, 548–568. [Google Scholar] [CrossRef] [PubMed]
- Montoro, C.; Rodriguez-San-Miguel, D.; Polo, E.; Escudero-Cid, R.; Ruiz-Gonzalez, M.L.; Navarro, J.A.R.; Ocon, P.; Zamora, F. Ionic Conductivity and Potential Application for Fuel Cell of a Modified Imine-Based Covalent Organic Framework. J. Am. Chem. Soc. 2017, 139, 10079–10086. [Google Scholar] [CrossRef] [PubMed] [Green Version]
- Liu, J.M.; Yuan, J.L.X.Y.; Liu, H.L.; Fang, G.Z.; Wang, S. Spherical covalent organic frameworks as advanced adsorbents for preconcentration and separation of phenolic endocrine disruptors, followed by high performance liquid chromatography. RSC Adv. 2018, 8, 26880–26887. [Google Scholar] [CrossRef] [Green Version]
- Ma, Y.J.; Zhang, W.; Li, Q.; Wang, S.Y. Adsorption behavior of Cr (VI) on amino modified styrene resin. Funct. Mater. 2020, 51, 2101–2106. [Google Scholar] [CrossRef]
- Lambert, W.; André, D.L.; Benijts, T. Analysis of multiple endocrine disruptors in environmental waters via wide-spectrum solid-phase extraction and dual-polarity ionization LC-ion trap-MS/MS. Anal. Chem. 2004, 76, 704–711. [Google Scholar] [CrossRef]
- Dezhi, Y.; Wang, Y.D.; Li, H.; Yang, Y.L. Acid-base-governed deep eutectic solvent-based microextraction combined with magnetic solid-phase extraction for determination of phenolic compounds. Microchim. Acta 2020, 187, 1–9. [Google Scholar] [CrossRef]
- Li, G.; Qiu, Y.; Ruan, Y.; Long, M.; Xia, Z. Rapid determination of bisphenol A in environmental water by solid phase extraction-ultra performance convergence chromatography. IOP Confer. Ser. Earth Environ. Sci. 2020, 446, 032081. [Google Scholar] [CrossRef]
- Du, Z.D.; Cui, Y.Y.; Yang, C.X.; Yan, X.P. Synthesis of magnetic amino-functionalized microporous organic network composites for magnetic solid phase extraction of endocrine disrupting chemicals from water, beverage bottle and juice samples. Talanta 2020, 206, 120179–120188. [Google Scholar] [CrossRef] [PubMed]















| Model | Active | Load | Wash | Elute | Elute |
|---|---|---|---|---|---|
| X | 1 mL methanol | 1 mL diluted mixed sample | 1 mL 50% methanol | -- | 2 × 500 μL methanol containing 2% formic acid |
| TpBD COF | |||||
| Resin based COF material | |||||
| X-CW | 1 mL water | 1 mL methanol | 2 × 500 μL methanol containing 5% formic acid | ||
| TpBD COF | |||||
| Resin based COF material | |||||
| X-A | 1 mL methanol containing 25 mM ammonium acetate | 1 mL methanol | 2 × 500 μL methanol containing 5% formic acid | ||
| TpBD COF | |||||
| Resin based COF material | |||||
| X-C | 1 mL methanol containing 0.1 N hydrochloric acid | 1 mL water containing 0.1 mol/L HCl | 2 × 500 μL methanol containing 5% ammonia | ||
| TpBD COF | |||||
| Resin based COF material |
| COF | Specific Surface Area a (m2g−1) | Pore Size b (nm) | Pore Volume c (mL g−1) |
|---|---|---|---|
| TpBD COF | 814.6 | 8.2 | 0.20 |
| Resin based COF material | 623.9 | 25.4 | 0.14 |
| EDCs | Linear Regressive Equation | R2 | RSD(%) n = 5 |
|---|---|---|---|
| BPF | y = 1.78 × 107 × x + 4.16 × 105 | 0.9959 | 0.484 |
| BPA | y = 5.81 × 107 × x − 6.19 × 105 | 0.9926 | 0.148 |
| OP | y = 5.54 × 107 × x − 1.84 × 106 | 0.9989 | 0.365 |
| NP | y = 1.09 × 108 × x − 6.37 × 106 | 0.9924 | 0.561 |
| Sorbent | Method | Sample | Elution Solution | Recovery | Ref. |
|---|---|---|---|---|---|
| COF | SPE-HPLC | Beverage and milk | acetonitrile | 82.0–96.3% | 20 |
| Oasis HLB | LC-MS | River water and industrial effluents | ammonia-methanol | 83.1–108.4% | 22 |
| Fe3O4@MgAl-LDHs | MSPE-HPLC | Fruit juice, tea drink and soda | menthol | 84.4–101.3% | 23 |
| HLB | SPE-HPLC | Water | methanol | 89.7%~109.2% | 24 |
| Fe3O4@MON-NH2 | MSPE-HPLC | water, beverage bottle and juice | methanol | 80.3–109.5% | 25 |
| Self made materials | SPE-HPLC | beverage | methanol | 98.18–102.18% | This work |
| Analyte | Method | Peak Area (×106) | Average (×106) | SD (×106) | RSD(%) | |||||
|---|---|---|---|---|---|---|---|---|---|---|
| Mixture1 | X–C | BPF | 3.13 | 2.96 | 3.03 | 3.04 | 3.04 | 3.040 | 0.0604 | 1.99 |
| BPA | 1.23 | 1.18 | 1.18 | 1.20 | 1.19 | 1.195 | 0.0208 | 1.74 | ||
| OP | 1.95 | 2.00 | 1.98 | 2.02 | 2.03 | 1.996 | 0.0321 | 1.61 | ||
| NP | 5.19 | 4.94 | 5.19 | 5.04 | 5.05 | 5.082 | 0.1076 | 2.12 | ||
| X–A | BPF | 2.74 | 2.62 | 2.68 | 2.71 | 2.80 | 2.710 | 0.0671 | 2.48 | |
| BPA | 1.34 | 1.31 | 1.32 | 1.32 | 1.32 | 1.320 | 0.0112 | 0.85 | ||
| OP | 3.60 | 3.67 | 3.73 | 3.51 | 3.70 | 3.642 | 0.0881 | 2.42 | ||
| NP | 5.09 | 4.72 | 4.92 | 4.86 | 4.86 | 4.89 | 0.1338 | 2.74 | ||
| Mixture2 | X–C | BPF | 5.42 | 5.33 | 5.40 | 5.36 | 5.40 | 5.384 | 0.0364 | 0.68 |
| BPA | 3.18 | 3.27 | 3.22 | 3.26 | 3.30 | 3.243 | 0.0468 | 1.44 | ||
| OP | 6.27 | 6.15 | 6.14 | 6.20 | 6.17 | 6.186 | 0.0522 | 0.84 | ||
| NP | 11.34 | 11.50 | 11.14 | 11.06 | 10.99 | 11.206 | 0.2073 | 1.85 | ||
| X–A | BPF | 4.96 | 4.80 | 4.98 | 4.91 | 4.89 | 4.908 | 0.0706 | 1.44 | |
| BPA | 3.04 | 3.22 | 3.08 | 3.13 | 3.16 | 3.124 | 0.0699 | 2.24 | ||
| OP | 7.91 | 7.90 | 7.68 | 7.81 | 7.87 | 7.830 | 0.0946 | 1.21 | ||
| NP | 14.25 | 14.14 | 13.51 | 13.99 | 14.06 | 13.989 | 0.2852 | 2.04 | ||
| Sample | Method | Material | Targets | Spiked (μg/L) | Recovery (%, n = 3) |
|---|---|---|---|---|---|
| Carbonate beverage | X-A method | TpBD COF | BPF | 10 | 99.67 |
| 20 | 102.18 | ||||
| 30 | 98.83 | ||||
| 40 | 99.39 | ||||
| BPA | 10 | 99.63 | |||
| 20 | 99.29 | ||||
| 30 | 100.27 | ||||
| 40 | 101.21 | ||||
| OP | 10 | 100.38 | |||
| 20 | 99.44 | ||||
| 30 | 98.51 | ||||
| 40 | 99.28 | ||||
| NP | 10 | 99.45 | |||
| 20 | 100.75 | ||||
| 30 | 99.58 | ||||
| 40 | 101.78 | ||||
| Resin based COF material | BPF | 10 | 99.63 | ||
| 20 | 99.29 | ||||
| 30 | 100.27 | ||||
| 40 | 101.21 | ||||
| BPA | 10 | 100.38 | |||
| 20 | 99.44 | ||||
| 30 | 98.51 | ||||
| 40 | 99.28 | ||||
| OP | 10 | 99.45 | |||
| 20 | 100.75 | ||||
| 30 | 99.58 | ||||
| 40 | 101.78 | ||||
| NP | 10 | 99.92 | |||
| 20 | 99.44 | ||||
| 30 | 100.73 | ||||
| 40 | 98.56 | ||||
| X-C method | TpBD COF | BPF | 10 | 98.24 | |
| 20 | 98.8 | ||||
| 30 | 98.9 | ||||
| 40 | 98.18 | ||||
| BPA | 10 | 100.01 | |||
| 20 | 99.59 | ||||
| 30 | 100.29 | ||||
| 40 | 99.94 | ||||
| OP | 10 | 99.9 | |||
| 20 | 93.12 | ||||
| 30 | 98.24 | ||||
| 40 | 99.17 | ||||
| NP | 10 | 98.52 | |||
| 20 | 101.42 | ||||
| 30 | 98.36 | ||||
| 40 | 99.61 | ||||
| Resin based COF material | BPF | 10 | 98.9 | ||
| 20 | 100.2 | ||||
| 30 | 98.65 | ||||
| 40 | 99.08 | ||||
| BPA | 10 | 100.38 | |||
| 20 | 98.35 | ||||
| 30 | 98.71 | ||||
| 40 | 99.33 | ||||
| OP | 10 | 98.73 | |||
| 20 | 99.83 | ||||
| 30 | 98.51 | ||||
| 40 | 99.26 | ||||
| NP | 10 | 100.6 | |||
| 20 | 99.64 | ||||
| 30 | 98.18 | ||||
| 40 | 99.48 | ||||
| Vitamin beverage | X-A method | TpBD COF | BPF | 10 | 101.79 |
| 20 | 98.97 | ||||
| 30 | 100.79 | ||||
| 40 | 99.70 | ||||
| BPA | 10 | 99.53 | |||
| 20 | 99.75 | ||||
| 30 | 101.28 | ||||
| 40 | 100.59 | ||||
| OP | 10 | 99.35 | |||
| 20 | 99.23 | ||||
| 30 | 99.12 | ||||
| 40 | 100.41 | ||||
| NP | 10 | 99.41 | |||
| 20 | 101.17 | ||||
| 30 | 99.12 | ||||
| 40 | 101.32 | ||||
| Resin based COF material | BPF | 10 | 98.87 | ||
| 20 | 100.14 | ||||
| 30 | 99.22 | ||||
| 40 | 101.09 | ||||
| BPA | 10 | 99.65 | |||
| 20 | 98.52 | ||||
| 30 | 100.41 | ||||
| 40 | 101.14 | ||||
| OP | 10 | 99.77 | |||
| 20 | 100.38 | ||||
| 30 | 98.83 | ||||
| 40 | 98.79 | ||||
| NP | 10 | 100.30 | |||
| 20 | 99.00 | ||||
| 30 | 100.24 | ||||
| 40 | 101.31 | ||||
| X-C method | TpBD COF | BPF | 10 | 98.59 | |
| 20 | 99.1 | ||||
| 30 | 100.4 | ||||
| 40 | 98.9 | ||||
| BPA | 10 | 89.65 | |||
| 20 | 98.92 | ||||
| 30 | 100.26 | ||||
| 40 | 100.82 | ||||
| OP | 10 | 99.87 | |||
| 20 | 98.81 | ||||
| 30 | 99.6 | ||||
| 40 | 100.24 | ||||
| NP | 10 | 99.86 | |||
| 20 | 98.86 | ||||
| 30 | 99.63 | ||||
| 40 | 98.8 | ||||
| Resin based COF material | BPF | 10 | 99.32 | ||
| 20 | 100.95 | ||||
| 30 | 99.26 | ||||
| 40 | 98.67 | ||||
| BPA | 10 | 101.32 | |||
| 20 | 99.08 | ||||
| 30 | 100.92 | ||||
| 40 | 100.86 | ||||
| OP | 10 | 99.75 | |||
| 20 | 98.93 | ||||
| 30 | 99.81 | ||||
| 40 | 101.58 | ||||
| NP | 10 | 98.66 | |||
| 20 | 99.75 | ||||
| 30 | 98.7 | ||||
| 40 | 99.9 |
Publisher’s Note: MDPI stays neutral with regard to jurisdictional claims in published maps and institutional affiliations. |
© 2021 by the authors. Licensee MDPI, Basel, Switzerland. This article is an open access article distributed under the terms and conditions of the Creative Commons Attribution (CC BY) license (https://creativecommons.org/licenses/by/4.0/).
Share and Cite
Ma, Y.; Ruan, Y.; Gao, X.; Cui, H.; Zhang, W.; Wang, S. Preparation of a Novel Resin Based Covalent Framework Material and Its Application in the Determination of Phenolic Endocrine Disruptors in Beverages by SPE-HPLC. Polymers 2021, 13, 2935. https://doi.org/10.3390/polym13172935
Ma Y, Ruan Y, Gao X, Cui H, Zhang W, Wang S. Preparation of a Novel Resin Based Covalent Framework Material and Its Application in the Determination of Phenolic Endocrine Disruptors in Beverages by SPE-HPLC. Polymers. 2021; 13(17):2935. https://doi.org/10.3390/polym13172935
Chicago/Turabian StyleMa, Yunjie, Yang Ruan, Xin Gao, Hang Cui, Wei Zhang, and Shaoyan Wang. 2021. "Preparation of a Novel Resin Based Covalent Framework Material and Its Application in the Determination of Phenolic Endocrine Disruptors in Beverages by SPE-HPLC" Polymers 13, no. 17: 2935. https://doi.org/10.3390/polym13172935
APA StyleMa, Y., Ruan, Y., Gao, X., Cui, H., Zhang, W., & Wang, S. (2021). Preparation of a Novel Resin Based Covalent Framework Material and Its Application in the Determination of Phenolic Endocrine Disruptors in Beverages by SPE-HPLC. Polymers, 13(17), 2935. https://doi.org/10.3390/polym13172935

