Sign in to use this feature.

Years

Between: -

Subjects

remove_circle_outline
remove_circle_outline
remove_circle_outline
remove_circle_outline

Journals

Article Types

Countries / Regions

Search Results (2)

Search Parameters:
Keywords = resin based covalent organic framework materials

Order results
Result details
Results per page
Select all
Export citation of selected articles as:
16 pages, 8123 KB  
Article
Determination of Phthalate Esters in Beverages and Water Samples by Solid Phase Extraction with Resin Based COFs as Filler
by Yunjie Ma, Xin Gao, Yang Ruan, Hang Cui, Li Zhang, Wei Zhang and Shaoyan Wang
Water 2021, 13(23), 3338; https://doi.org/10.3390/w13233338 - 24 Nov 2021
Cited by 5 | Viewed by 3122
Abstract
Resin based covalent organic framework material was used as filler for solid phase extraction (SPE), and the solid phase extraction effect was compared with that of traditional COF material (TpBD COFs). The enrichment capacity of four phthalate esters (dimethyl phthalate, diethyl phthalate, dibutyl [...] Read more.
Resin based covalent organic framework material was used as filler for solid phase extraction (SPE), and the solid phase extraction effect was compared with that of traditional COF material (TpBD COFs). The enrichment capacity of four phthalate esters (dimethyl phthalate, diethyl phthalate, dibutyl phthalate, dioctyl phthalate) in beverage samples was investigated by SPE. Adsorption experiments showed that the kinetic adsorption behavior of COF materials for phthalate esters (PAEs) was more consistent with the quasi-second-order kinetic adsorption model, and the static adsorption behavior is more in line with the Freundlich isothermal adsorption model. Solid phase extraction experiments proved that the SPE column prepared with two COF materials as adsorbents had good adsorption effects, high recovery (water: 97.99–100.56% and beverage: 97.93–100.23%) and were reusable (50 cycles), which could meet the requirements for trace detection of phthalate ester. It was found that the solid phase extraction effect was better than the four types of commercial SPE columns. The new COF material reduced the cost of monomer use and provided the possibility for its industrial production. Meanwhile, it also provided a new feasible scheme for enriching trace phthalate esters in practical samples. Full article
(This article belongs to the Section Wastewater Treatment and Reuse)
Show Figures

Graphical abstract

20 pages, 10012 KB  
Article
Preparation of a Novel Resin Based Covalent Framework Material and Its Application in the Determination of Phenolic Endocrine Disruptors in Beverages by SPE-HPLC
by Yunjie Ma, Yang Ruan, Xin Gao, Hang Cui, Wei Zhang and Shaoyan Wang
Polymers 2021, 13(17), 2935; https://doi.org/10.3390/polym13172935 - 31 Aug 2021
Cited by 13 | Viewed by 2950
Abstract
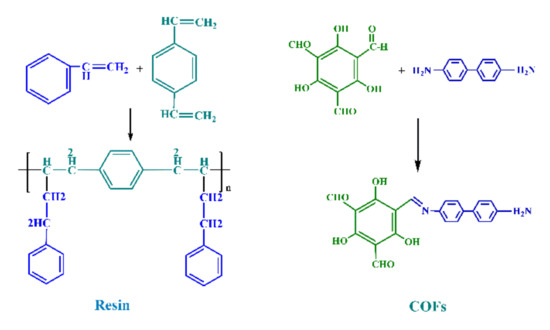
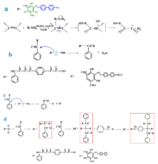
A new type of economical covalent organic framework material(COF), namely resin based covalent organic framework material, was prepared by combining resin and covalent organic framework material by hydrothermal synthesis, which was based on the preparation of traditional COF material(TpBD COF). The properties of [...] Read more.
A new type of economical covalent organic framework material(COF), namely resin based covalent organic framework material, was prepared by combining resin and covalent organic framework material by hydrothermal synthesis, which was based on the preparation of traditional COF material(TpBD COF). The properties of the material and covalent organic framework material were compared in the way of characterization, and the possible reaction mechanism was analyzed. The solid phase extraction separation (SPE) ability of this material for four kinds of phenolic endocrine disrupting compounds (bisphenol F, bisphenol A, octylphenol and nonylphenol) in beverage samples was investigated. The results showed that the prepared COF materials had abundant internal channels, ordered structure, large specific surface area (TpBD COF: 814.6 m2/g and resin based COF: 623.9 m2/g) and good thermal stability (pyrolysis temperature was 443 °C and 437 °C, respectively). Solid phase extraction experiments demonstrated that the two COF materials as adsorbent of solid phase extraction column had ideal adsorption separation effect and good anti-interference ability, and had strong anti-interference ability. The SPE effect was superior to the traditional solid phase extraction column. The precision RSD of this method was less than 3%. This SPE method had high recovery and could be reused (carbonated beverage: 98.18–102.18% and beverage: 98.52–101.79%), In addition, the recovery of the material did not change significantly in the 50 cycles of solid phase extraction, indicating that the material had good stability and could be reused, which could meet the requirements for the detection and analysis of trace pollutants in environmental samples. The resin based COF material prepared in this study could reduce the cost of monomer uses and provide a possibility for its industrial production. At the same time, as an efficient SPE adsorbent, it also provided a new research scheme for the enrichment of trace phenolic endocrine disruptors in beverage samples. Full article
(This article belongs to the Section Polymer Chemistry)
Show Figures

Figure 1

Back to TopTop