PES-Ag3PO4/g-C3N4 Mixed Matrix Film Photocatalyst for Degradation of Methyl Orange Dye
Abstract
1. Introduction
2. Materials and Methods
2.1. Materials
2.2. Ag3PO4/g-C3N4 Photocatalyst Preparation
2.3. PES/Ag3PO4-g-C3N4 (P-AgC) Composite Film Preparation
2.4. PES/Ag3PO4-g-C3N4 (P-AgC) Composite Film Characterization
2.5. Photocatalytic Studies
3. Results and Discussion
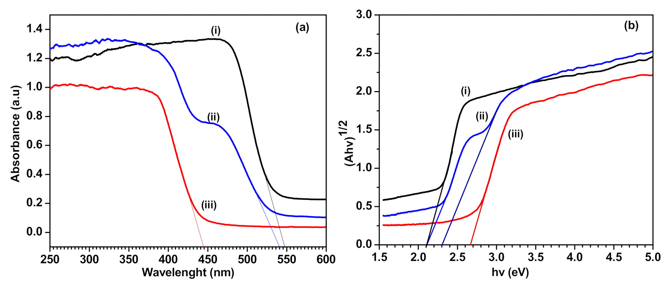
3.1. Characterization of P-AgC Composite Films
3.2. The Photocatalytic Activity of the P-AgC Film Photocatalysts
3.3. Reusability of P-AgC (13%)
3.4. Mechanism of Photodegradation of MO and Effect of Scavengers
4. Conclusions
Supplementary Materials
Author Contributions
Funding
Institutional Review Board Statement
Informed Consent Statement
Data Availability Statement
Acknowledgments
Conflicts of Interest
References
- Kumar, J.; Bansal, A. A comparative study of immobilization techniques for photocatalytic degradation of Rhodamine B using nanoparticles of titanium dioxide. Water Air Soil Pollut. 2013, 224, 1–11. [Google Scholar] [CrossRef]
- Yang, T.; Yu, D.; Wang, D.; Yang, T.; Li, Z.; Wu, M.; Petru, M.; Crittenden, J. Accelerating Fe(III)/Fe(II) cycle via Fe(II) substitution for enhancing Fenton-like performance of Fe-MOFs. Appl. Catal. B Environ. 2021, 286, 119859. [Google Scholar] [CrossRef]
- Yu, D.; Li, L.; Wu, M.; Crittenden, J.C. Enhanced photocatalytic ozonation of organic pollutants using an iron-based metal-organic framework. Appl. Catal. B Environ. 2019, 251, 66–75. [Google Scholar] [CrossRef]
- Idris, A.M.; Shinger, M.I.; Qin, D.D.; Baballa, H.; Lu, X. An in-situ anion exchange method synthesized of Ag3PO4 functionalized with Fe3O4 and AgI for photocatalytic degradation of methyl orange under visible light irradiation. IJMSA 2014, 3, 303–308. [Google Scholar] [CrossRef]
- Zhou, L.; Zhang, W.; Chen, L.; Deng, H. Z-scheme mechanism of photogenerated carriers for hybrid photocatalyst Ag3PO4/g-C3N4 in degradation of sulfamethoxazole. J. Colloid Interface Sci. 2017, 487, 410–417. [Google Scholar] [CrossRef] [PubMed]
- You, M.; Pan, J.; Chi, C.; Wang, B.; Zhao, W.; Song, C.; Zheng, Y.; Li, C. The visible light hydrogen production of the Z-Scheme Ag3PO4/Ag/g-C3N4 nanosheets composites. J. Mater. Sci. 2018, 53, 1978–1986. [Google Scholar] [CrossRef]
- Cui, X.; Tian, L.; Xian, X.; Tang, H.; Yang, X. Solar photocatalytic water oxidation over Ag3PO4/g-C3N4composite materials mediated by metallic Ag and graphene. Appl. Surf. Sci. 2018, 430, 108–115. [Google Scholar] [CrossRef]
- Meng, S.; Ning, X.; Zhang, T.; Chen, S.-F.; Fu, X. What is the transfer mechanism of photogenerated carriers for the nanocomposite photocatalyst Ag3PO4/g-C3N4, band–band transfer or a direct Z-scheme? Phys. Chem. Chem. Phys. 2015, 17, 11577–11585. [Google Scholar] [CrossRef]
- Shi, F.; Ma, Y.; Ma, J.; Wang, P.; Sun, W. Preparation and characterization of PVDF/TiO2 hybrid membranes with different dosage of nano-TiO2. J. Memb. Sci. 2012, 389, 522–531. [Google Scholar] [CrossRef]
- Moslehyani, A.; Ismail, A.F.; Othman, M.H.D.; Matsuura, T. Design and performance study of hybrid photocatalytic reactor-PVDF/MWCNT nanocomposite membrane system for treatment of petroleum refinery wastewater. Desalination 2015, 363, 99–111. [Google Scholar] [CrossRef]
- Cui, Y.; Yang, L.; Meng, M.; Zhang, Q.; Li, B.; Wu, Y.; Zhang, Y.; Lang, J.; Li, C. Facile preparation of antifouling g-C3N4/Ag3PO4 nanocomposite photocatalytic polyvinylidene fluoride membranes for effective removal of rhodamine B. Korean J. Chem. Eng. 2019, 36, 236–247. [Google Scholar] [CrossRef]
- Kuvarega, A.T.; Khumalo, N.; Dlamini, D.; Mamba, B.B. Polysulfone/N,Pd co-doped TiO2 composite membranes for photocatalytic dye degradation. Sep. Purif. Technol. 2018, 191, 122–133. [Google Scholar] [CrossRef]
- Chen, X.; Zhou, W.; Chen, Z.; Yao, L. Study of the Photocatalytic Property of Polysulfone Membrane Incorporating TiO2 Nanoparticles. J. Mol. Eng. Mater. 2017, 5, 1750005. [Google Scholar] [CrossRef]
- Adlan, Z.; Hir, M.; Moradihamedani, P.; Abdullah, A.H.; Mohamed, M.A. Immobilization of TiO2 into polyethersulfone matrix as hybrid film photocatalyst for effective degradation of methyl orange dye. Mater. Sci. Semicond. Process. 2017, 57, 157–165. [Google Scholar]
- Mohd Hir, Z.; Abdullah, A.; Zainal, Z.; Lim, H. Photoactive Hybrid Film Photocatalyst of Polyethersulfone-ZnO for the Degradation of Methyl Orange Dye: Kinetic Study and Operational Parameters. Catalysts 2017, 7, 313. [Google Scholar] [CrossRef]
- Rajeswari, A.; Vismaiya, S.; Pius, A. Preparation, characterization of nano ZnO-blended cellulose acetate-polyurethane membrane for photocatalytic degradation of dyes from water. Chem. Eng. J. 2017, 313, 928–937. [Google Scholar] [CrossRef]
- Kanjwal, M.A.; Barakat, N.A.M.; Chronakis, I.S. Photocatalytic degradation of dairy effluent using AgTiO2 nanostructures/polyurethane nanofiber membrane. Ceram. Int. 2015, 41, 9615–9621. [Google Scholar] [CrossRef]
- Saeed, K.; Khan, I.; Shah, T.; Park, S.Y. Synthesis, characterization and photocatalytic activity of silver nanoparticles/amidoxime-modified polyacrylonitrile nanofibers. Fibers Polym. 2015, 16, 1870–1875. [Google Scholar] [CrossRef]
- Luo, Q.; Yang, X.; Zhao, X.; Wang, D.; Yin, R.; Li, X.; An, J. Facile preparation of well-dispersed ZnO/cyclized polyacrylonitrile nanocomposites with highly enhanced visible-light photocatalytic activity. Appl. Catal. B Environ. 2017, 204, 304–315. [Google Scholar] [CrossRef]
- Yu, D.; Bai, J.; Liang, H.; Wang, J.; Li, C. A new fabrication of AgX (X = Br, I)-TiO2 nanoparticles immobilized on polyacrylonitrile (PAN) nanofibers with high photocatalytic activity and renewable property. RSC Adv. 2015, 5, 91457–91465. [Google Scholar] [CrossRef]
- Mozia, S.; Darowna, D.; Wróbel, R.; Morawski, A.W. A study on the stability of polyethersulfone ultrafiltration membranes in a photocatalytic membrane reactor. J. Memb. Sci. 2015, 495, 176–186. [Google Scholar] [CrossRef]
- Fischer, K.; Kühnert, M.; Gläser, R.; Schulze, A. Photocatalytic degradation and toxicity evaluation of diclofenac by nanotubular titanium dioxide-PES membrane in a static and continuous setup. RSC Adv. 2015, 5, 16340–16348. [Google Scholar] [CrossRef]
- Fischer, K.; Gläser, R.; Schulze, A. Nanoneedle and nanotubular titanium dioxide–PES mixed matrix membrane for photocatalysis. Appl. Catal. B Environ. 2014, 160–161, 456–464. [Google Scholar] [CrossRef]
- Zhang, M.; Liu, Z.; Gao, Y.; Shu, L. Ag modified g-C3N4 composite entrapped PES UF membrane with visible-light-driven photocatalytic antifouling performance. RSC Adv. 2017, 7, 42919–42928. [Google Scholar] [CrossRef]
- Ghalamchi, L.; Aber, S.; Vatanpour, V.; Kian, M. A novel antibacterial mixed matrixed PES membrane fabricated from embedding aminated Ag3PO4/g-C3N4 nanocomposite for use in the membrane bioreactor. J. Ind. Eng. Chem. 2019, 70, 412–426. [Google Scholar] [CrossRef]
- Zhang, W.; Zhou, L.; Deng, H. Ag modified g-C3N4 composites with enhanced visible-light photocatalytic activity for diclofenac degradation. J. Mol. Catal. A Chem. 2016, 423, 270–276. [Google Scholar] [CrossRef]
- Zheng, R.; Lin, L.; Xie, J.; Zhu, Y.; Xie, Y. State of doped phosphorus and its influence on the physicochemical and photocatalytic properties of P-doped titania. J. Phys. Chem. C 2008, 112, 15502–15509. [Google Scholar] [CrossRef]
- Yang, X.; Chen, Z.; Xu, J.; Tang, H.; Chen, K.; Jiang, Y. Tuning the Morphology of g-C3N4 for Improvement of Z-Scheme Photocatalytic Water Oxidation. ACS Appl. Mater. Interfaces 2015, 7, 15285–15293. [Google Scholar] [CrossRef]
- Liu, M.; Xu, K.; Zhu, J.; Yue, X.; Ji, Z.; Kong, L.; Miao, X.; Zhou, H.; Zhu, G.; Shah, S.A.; et al. Nitrogen-doped carbon dots decorated on g-C3N4/Ag3PO4 photocatalyst with improved visible light photocatalytic activity and mechanism insight. Appl. Catal. B Environ. 2018, 227, 459–469. [Google Scholar] [CrossRef]
- Koe, W.S.; Lee, J.W.; Chong, W.C.; Pang, Y.L.; Sim, L.C. An overview of photocatalytic degradation: Photocatalysts, mechanisms, and development of photocatalytic membrane. Environ. Sci. Pollut. Res. 2020, 27, 2522–2565. [Google Scholar] [CrossRef]
- Das, L.; Barodia, S.K.; Sengupta, S.; Basu, J.K. Aqueous degradation kinetics of pharmaceutical drug diclofenac by photocatalysis using nanostructured titania–zirconia composite catalyst. Int. J. Environ. Sci. Technol. 2015, 12, 317–326. [Google Scholar] [CrossRef][Green Version]
- Yao, X.; Liu, X.; Zhu, D.; Zhao, C.; Lu, L. Synthesis of cube-like Ag/AgCl plasmonic photocatalyst with enhanced visible light photocatalytic activity. Catal. Commun. 2014, 59, 151–155. [Google Scholar] [CrossRef]
- Li, H.; Li, C.; Li, N.; Zhu, L.; Zhuo, Y.; Xiong, D. One-step synthesis of novel Ag/AgCl-glass with remarkably stable photocatalytic activity. J. Non. Cryst. Solids 2019, 506, 21–27. [Google Scholar] [CrossRef]
- Asadzadeh-Khaneghah, S.; Habibi-Yangjeh, A.; Abedi, M. Decoration of carbon dots and AgCl over g-C3N4 nanosheets: Novel photocatalysts with substantially improved activity under visible light. Sep. Purif. Technol. 2018, 199, 64–77. [Google Scholar] [CrossRef]
- Amornpitoksuk, P.; Intarasuwan, K.; Suwanboon, S.; Baltrusaitis, J. Effect of Phosphate Salts (Na3PO4, Na2HPO4, and NaH2PO4) on Ag3PO4 Morphology for Photocatalytic Dye Degradation under Visible Light and Toxicity of the Degraded Dye Products. Ind. Eng. Chem. Res. 2013, 52, 17369–17375. [Google Scholar] [CrossRef]
- Cui, X.; Zheng, Y.F.; Zhou, H.; Yin, H.Y.; Song, X.C. The effect of synthesis temperature on the morphologies and visible light photocatalytic performance of Ag3PO4. J. Taiwan Inst. Chem. Eng. 2016, 60, 328–334. [Google Scholar] [CrossRef]
- Mousavi, M.; Habibi-Yangjeh, A.; Abitorabi, M. Fabrication of novel magnetically separable nanocomposites using graphitic carbon nitride, silver phosphate and silver chloride and their applications in photocatalytic removal of different pollutants using visible-light irradiation. J. Colloid Interface Sci. 2016, 480, 218–231. [Google Scholar] [CrossRef] [PubMed]
- Cui, L.; Ding, X.; Wang, Y.; Shi, H.; Huang, L.; Zuo, Y.; Kang, S. Facile preparation of Z-scheme WO3/g-C3N4 composite photocatalyst with enhanced photocatalytic performance under visible light. Appl. Surf. Sci. 2017, 391, 202–210. [Google Scholar] [CrossRef]
- Liu, J. Origin of High Photocatalytic Efficiency in Monolayer g-C3N4/CdS Heterostructure: A Hybrid DFT Study. J. Phys. Chem. C 2015, 119, 28417–28423. [Google Scholar] [CrossRef]
- Meng, J.; Pei, J.; He, Z.; Wu, S.; Lin, Q.; Wei, X.; Li, J.; Zhang, Z. Facile synthesis of g-C3N4 nanosheets loaded with WO3 nanoparticles with enhanced photocatalytic performance under visible light irradiation. RSC Adv. 2017, 7, 24097–24104. [Google Scholar] [CrossRef]
- Xu, H.; Zhao, H.; Song, Y.; Yan, W.; Xu, Y.; Li, H.; Huang, L.; Yin, S.; Li, Y.; Zhang, Q.; et al. g-C3N4/Ag3PO4 composites with synergistic effect for increased photocatalytic activity under the visible light irradiation. Mater. Sci. Semicond. Process. 2015, 39, 726–734. [Google Scholar] [CrossRef]
- Katsumata, H.; Sakai, T.; Suzuki, T.; Kaneco, S. Highly Efficient Photocatalytic Activity of g-C3N4/Ag3PO4 Hybrid Photocatalysts through Z-Scheme Photocatalytic Mechanism under Visible Light. Ind. Eng. Chem. Res. 2014, 53, 8018–8025. [Google Scholar] [CrossRef]













| PES (wt %) | Ag3PO4/g-C3N4 (wt %) | NMP (wt %) | Label |
|---|---|---|---|
| 15 | 0 | 85 | PES |
| 15 | 9 | 76 | P-AgC (9%) |
| 15 | 11 | 74 | P-AgC (11%) |
| 15 | 13 | 72 | P-AgC (13%) |
| 15 | 15 | 70 | P-AgC (15%) |
| Sample | Degradation Efficiency (%) | kobs (min−1) | Rate (mg/Lmin) | Correlation Factor (R2) |
|---|---|---|---|---|
| P-Ag3PO4 (13%) | 68.69 | 0.007 | 0.067 | 0.994 |
| P-AgC (9%) | 89.01 | 0.013 | 0.126 | 0.994 |
| P-AgC (11%) | 96.50 | 0.020 | 0.193 | 0.996 |
| P-AgC (13%) | 96.58 | 0.028 | 0.277 | 0.991 |
| P-AgC (15%) | 95.50 | 0.022 | 0.215 | 0.998 |
| MO Concentration (mg/L) | Degradation Efficiency (%) | kobs (min−1) | Rate (mg/Lmin) | Amount Degraded (mg/g) | Correlation Factor (R2) |
|---|---|---|---|---|---|
| 5 | 98.61 | 0.0207 | 0.103 | 3.101 | 0.997 |
| 10 | 96.95 | 0.0198 | 0.198 | 5.952 | 0.989 |
| 15 | 91.45 | 0.0146 | 0.219 | 7.435 | 0.995 |
| 20 | 91.89 | 0.0119 | 0.240 | 11.675 | 0.999 |
| 25 | 89.93 | 0.0104 | 0.259 | 14.336 | 0.996 |
Publisher’s Note: MDPI stays neutral with regard to jurisdictional claims in published maps and institutional affiliations. |
© 2021 by the authors. Licensee MDPI, Basel, Switzerland. This article is an open access article distributed under the terms and conditions of the Creative Commons Attribution (CC BY) license (https://creativecommons.org/licenses/by/4.0/).
Share and Cite
Mukhair, H.M.; Abdullah, A.H.; Zainal, Z.; Lim, H.N. PES-Ag3PO4/g-C3N4 Mixed Matrix Film Photocatalyst for Degradation of Methyl Orange Dye. Polymers 2021, 13, 1746. https://doi.org/10.3390/polym13111746
Mukhair HM, Abdullah AH, Zainal Z, Lim HN. PES-Ag3PO4/g-C3N4 Mixed Matrix Film Photocatalyst for Degradation of Methyl Orange Dye. Polymers. 2021; 13(11):1746. https://doi.org/10.3390/polym13111746
Chicago/Turabian StyleMukhair, Hayati Mohamad, Abdul Halim Abdullah, Zulkarnain Zainal, and Hong Ngee Lim. 2021. "PES-Ag3PO4/g-C3N4 Mixed Matrix Film Photocatalyst for Degradation of Methyl Orange Dye" Polymers 13, no. 11: 1746. https://doi.org/10.3390/polym13111746
APA StyleMukhair, H. M., Abdullah, A. H., Zainal, Z., & Lim, H. N. (2021). PES-Ag3PO4/g-C3N4 Mixed Matrix Film Photocatalyst for Degradation of Methyl Orange Dye. Polymers, 13(11), 1746. https://doi.org/10.3390/polym13111746

