Crosslinked Sulfonated Polyphenylsulfone-Vinylon (CSPPSU-vinylon) Membranes for PEM Fuel Cells from SPPSU and Polyvinyl Alcohol (PVA)
Abstract
1. Introduction
2. Experimental
2.1. Materials
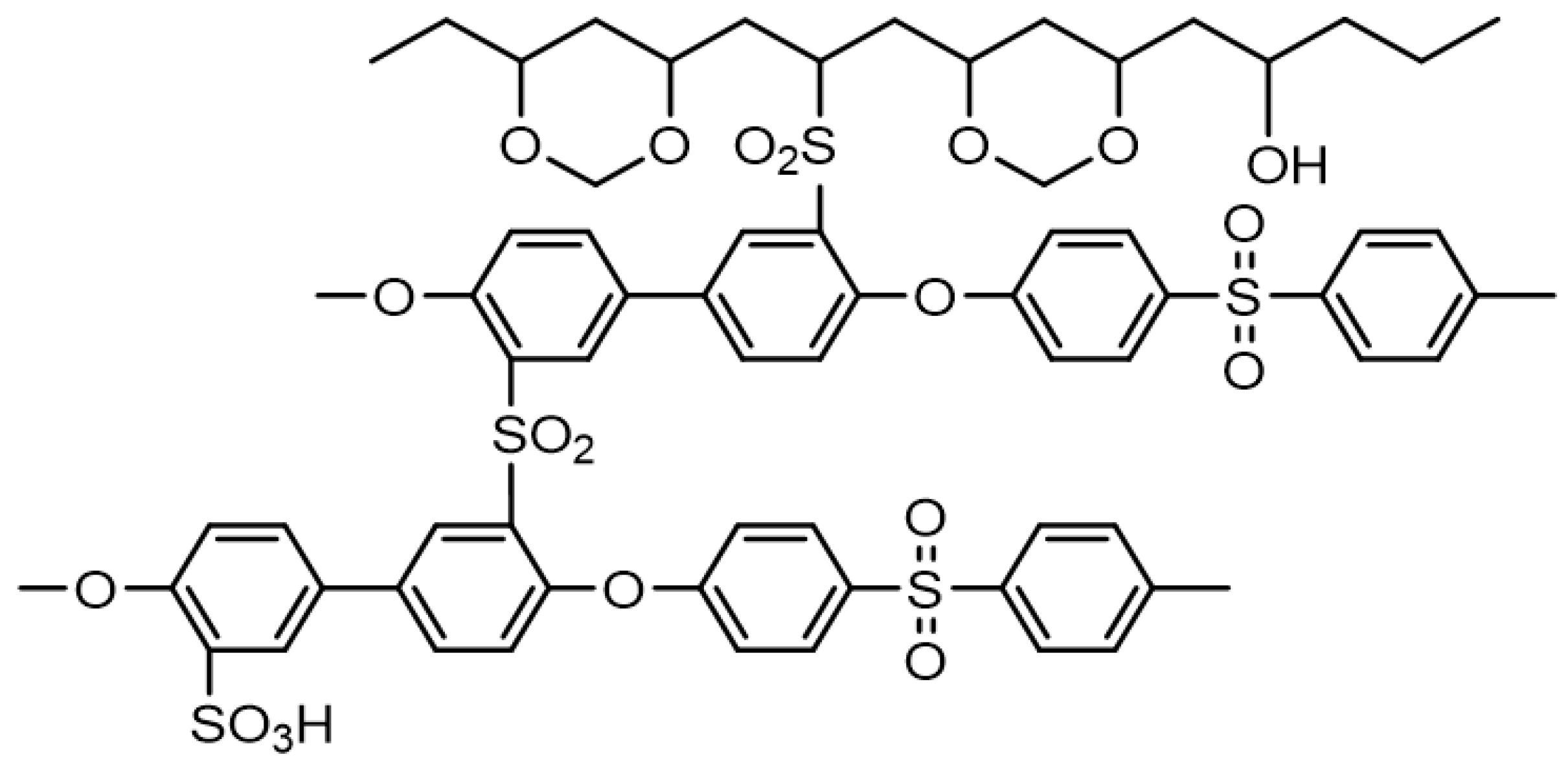
2.2. Synthesis of SPPSU and PVA, and Preparation of CSPPSU-vinylon Membranes
2.3. Iron-Exchange Chromotography (IEC), D.S. (Degree of Sulfonation), Water-Uptake (W.U.), λ, and Crosslink Rates (Dcrosslink)
2.4. Oxidative Stability (Fenton’s Test)
2.5. Chemical Structure of the Samples
2.6. Mechanical and Thermal Behavior of the Samples
2.7. Conductivity and Single Cell Measurements of the Samples
3. Results and Discussion
3.1. CSPPSU-vinylon Membranes
3.2. Thermal and Mechanical Properties of the CSPPSU-vinylon Membranes
3.3. Proton Conductivities of the CSPPSU-vinylon Membranes
3.4. Fuel Cell Properties using CSPPSU-vinylon Membranes
4. Conclusions
Author Contributions
Funding
Acknowledgments
Conflicts of Interest
References
- Mauritz, K.A.; Moore, R.B. State of Understanding of Nafion. Chem. Rev. 2004, 104, 4535–4585. [Google Scholar] [CrossRef]
- Yandrasits, M.; Lindell, M.; Schaberg, M.; Kurkowski, M. Increasing Fuel Cell Efficiency by Using Ultra-Low Equivalent Weight Ionomers. Electrochem. Soc. Interface 2017, 26, 49–53. [Google Scholar] [CrossRef]
- Matsushita, S.; Kim, J.-D. Organic solvent-free preparation of electrolyte membranes with high proton conductivity using aromatic hydrocarbon polymers and small cross-linker molecules. Solid State Ionics 2018, 316, 102–109. [Google Scholar] [CrossRef]
- Tashvigh, A.A.; Luo, L.; Chung, T.-S.; Weber, M.; Maletzko, C. A novel ionically cross-linked sulfonated polyphenylsulfone (sPPSU) membrane for organic solvent nanofiltration (OSN). J. Membr. Sci. 2018, 545, 221–228. [Google Scholar] [CrossRef]
- Zhang, Y.; Kim, J.-D.; Miyatake, K. Effect of thermal crosslinking on the properties of sulfonated poly(phenylene sulfone)s as proton conductive membranes. J. Appl. Polym. Sci. 2016, 133, 1–8. [Google Scholar] [CrossRef]
- Kim, J.-D.; Ghil, L.-J. Annealing effect of highly sulfonated polyphenylsulfone polymer. Int. J. Hydrog. Energy 2016, 41, 11794–11800. [Google Scholar] [CrossRef]
- Lee, H.; Han, M.; Choi, Y.-W.; Bae, B. Hydrocarbon-based polymer electrolyte cerium composite membranes for improved proton exchange membrane fuel cell durability. J. Power Sources 2015, 295, 221–227. [Google Scholar] [CrossRef]
- Takamuku, S.; Wohlfarth, A.; Manhart, A.; Räder, P.; Jannasch, P. Hypersulfonated polyelectrolytes: Preparation, stability and conductivity. Polym. Chem. 2015, 6, 1267–1274. [Google Scholar] [CrossRef]
- Krishnan, N.N.; Henkensmeier, D.; Jang, J.H.; Hink, S.; Kim, H.-J.; Nam, S.W.; Lim, T.-H. Locally confined membrane modification of sulfonated membranes for fuel cell application. J. Membr. Sci. 2014, 454, 174–183. [Google Scholar] [CrossRef]
- Yu, D.M.; Yoon, S.; Kim, T.H.; Lee, J.Y.; Lee, J.; Hong, Y.T. Properties of sulfonated poly(arylene ether sulfone)/electrospun nonwonen polyacrylonitrile composite membrane for proton exchange membrane fuel cells. J. Membr. Sci. 2013, 446, 212–219. [Google Scholar] [CrossRef]
- Takamuku, S.; Jannasch, P. Properties and degradation of hydrocarbon fuel cell membranes: A comparative study of sulfonated poly(arylene ether sulfone)s with different positions of the acid groups. Polym. Chem. 2012, 3, 1202–1214. [Google Scholar] [CrossRef]
- Wen, P.; Zhong, Z.; Li, L.; Zhang, A.; Li, X.; Lee, M.-H. Photocrosslinking of sulfonated poly(arylene ether sulfone) in a swollen state. J. Mater. Chem. 2012, 22, 22242–22249. [Google Scholar] [CrossRef]
- Chen, S.; Zhang, X.; Chen, K.; Endo, N.; Higa, M.; Okamoto, K.-I.; Wang, L. Cross-linked miscible blend membranes of sulfonated poly(arylene ether sulfone) and sulfonated polyimide for polymer electrolyte fuel cell applications. J. Power Sources 2011, 196, 9946–9954. [Google Scholar] [CrossRef]
- Feng, S.; Shang, Y.; Xie, X.; Wang, Y.; Xu, J. Synthesis and characterization of crosslinked sulfonated poly(arylene ether sulfone) membranes for DMFC applications. J. Membr. Sci. 2009, 335, 13–20. [Google Scholar] [CrossRef]
- Di Vona, M.L.; Luchetti, L.; Spera, G.P.; Sgreccia, E.; Knauth, P. Synthetic strategies for the preparation of proton-conducting hybrid polymers based on PEEK and PPSU for PEM fuel cells. Comptes Rendus Chim. 2008, 11, 1074–1081. [Google Scholar] [CrossRef]
- Xing, D.; Kerres, J.A. Improved performance of sulfonated polyarylene ethers for proton exchange membrane fuel cells. Polym. Adv. Technol. 2006, 17, 591–597. [Google Scholar] [CrossRef]
- Karlsson, L.E.; Jannasch, P. Polysulfone ionomers for proton-conducting fuel cell membranes. Electrochim. Acta 2005, 50, 1939–1946. [Google Scholar] [CrossRef]
- Dyck, A.; Fritsch, D.; Nunes, S.P. Proton-conductive membranes of sulfonated polyphenylsulfone. J. Appl. Polym. Sci. 2002, 86, 2820–2827. [Google Scholar] [CrossRef]
- Kim, J.-D.; Ohira, A.; Nakao, H. Chemically Crosslinked Sulfonated Polyphenylsulfone (CSPPSU) Membranes for PEM Fuel Cells. Membranes 2020, 10, 31. [Google Scholar] [CrossRef]
- Nor, N.A.M.; Nakao, H.; Othman, M.H.D.; Kim, J.-D. Crosslinked carbon nanodots with highly sulfonated polyphenylsulfone as proton exchange membrane for fuel cell applications. Int. J. Hydrog. Energy 2020, 45, 9979–9988. [Google Scholar] [CrossRef]
- Di Vona, M.L.; Alberti, G.; Sgreccia, E.; Casciola, M.; Knauth, P. High performance sulfonated aromatic ionomers by solvothermal macromolecular synthesis. Int. J. Hydrog. Energy 2012, 37, 8672–8680. [Google Scholar] [CrossRef]
- Chen, J.; Zhai, M.; Asano, M.; Huang, L.; Maekawa, Y. Long-term performance of polyetheretherketone-based polymer electrolyte membrane in fuel cells at 95 °C. J. Mater. Sci. 2009, 44, 3674–3681. [Google Scholar] [CrossRef]
- Goto, K.; Rozhanskii, I.; Yamakawa, Y.; Ohtsuki, T.; Naito, Y. Development of aromatic polymer electrolyte membrane with high conductivity and durability for fuel cell. JSR Tech. Rev. 2009, 116, 1–11. [Google Scholar] [CrossRef]
- Di Vona, M.L.; Sgreccia, E.; Licoccia, S.; Alberti, G.; Tortet, L.; Knauth, P. Analysis of temperature-promoted and solvent-assisted cross-linking in sulfonated poly (ether ether ketone)(SPEEK) proton-conducting membranes. J. Phys. Chem. B 2009, 113, 7505–7512. [Google Scholar] [CrossRef]
- Vona, M.L.D.; Sgreccia, E.; Licoccia, S.; Khadhraoui, M.; Denoyel, R.; Knauth, P. Composite proton-conducting hybrid polymers: Water sorption isotherms and mechanical properties of blends of sulfonated PEEK and substituted PPSU. Chem. Mater. 2008, 20, 4327–4334. [Google Scholar] [CrossRef]
- Di Vona, M.L.; Marani, D.; D’Ottavi, C.; Trombetta, M.; Traversa, E.; Beaurroies, I.; Knauth, P.; Lioccia, S. A simple new route to covalent organic/inorganic hybrid proton exchange polymer membranes. Chem. Mater. 2006, 18, 69–75. [Google Scholar] [CrossRef][Green Version]
- Harrison, W.L.; Hickner, M.; Kim, Y.S.; McGrath, J.E. Poly(Arylene Ether Sulfone) Copolymers and Related Systems from Disulfonated Monomer Building Blocks: Synthesis, Characterization, and Performance—A Topical Review. Fuel Cells 2005, 5, 201–212. [Google Scholar] [CrossRef]
- Xing, D.M.; Yi, B.L.; Liu, F.Q.; Fu, Y.Z.; Zhang, H.M. Characterization of sulfonated poly(etheretherketone)/polytetrafluoroethylene composite membranes for fuel cell applications. Fuel Cells 2005, 5, 406–411. [Google Scholar] [CrossRef]
- Xing, P.; Robertson, G.P.; Guiver, M.D.; Mikhailenko, S.D.; Wang, K.; Kaliaguine, S. Synthesis and characterization of sulfonated poly(etheretherketone) for proton exchange membranes. J. Membr. Sci. 2004, 229, 95–106. [Google Scholar] [CrossRef]
- Mikhailenko, S.D.; Wang, K.; Kaliaguine, S.; Xing, P.; Robertson, G.P.; Guiver, M.D. Proton conducting membranes based on cross-linked sulfonated poly(etheretherketone) (SPEEK). J. Membr. Sci. 2004, 233, 93–99. [Google Scholar] [CrossRef]
- Li, L.; Zhang, J.; Wang, Y. Sulfonated poly(etheretherketon) membranes for direct methanol fuel cell. J. Membr. Sci. 2003, 226, 159–167. [Google Scholar] [CrossRef]
- Feng, S.; Pang, J.; Yu, X.; Wang, G.; Manthiram, A. High-Performance Semicrystalline Poly(ether ketone)-Based Proton Exchange Membrane. ACS Appl. Mater. Interfaces 2017, 9, 24527–24537. [Google Scholar] [CrossRef] [PubMed]
- Ding, X.; Liu, Z.; Hua, M.; Kang, T.; Li, X.; Zhang, Y. Poly(ethylene glycol) crosslinked sulfonated polysulfone composite membranes for forward osmosis. J. Appl. Polym. Sci. 2016, 133, 1–8. [Google Scholar] [CrossRef]
- Yu, J.; Dong, C.; Liu, J.; Li, C.; Fang, J.; Guan, R. Crosslinked sulfonated poly (bis-A)-sulfones as proton exchange membrane for PEM fuel cell application. J. Mater. Sci. 2010, 45, 1017–1024. [Google Scholar] [CrossRef]
- Lafitte, B.; Karlsson, L.E.; Jannasch, P. Sulfophenylation of Polysulfones for Proton-Conducting Fuel Cell Membranes. Macromol. Rapid Commun. 2002, 23, 896–900. [Google Scholar] [CrossRef]
- Lufrano, F.; Gatto, I.; Staiti, P.; Antonucci, V.; Passalacqua, E. Sulfonated polysulfone ionomer membranes for fuel cells. Solid State Ionics 2001, 145, 47–51. [Google Scholar] [CrossRef]
- Kerres, J. Development of ionomer membranes for fuel cells. J. Membr. Sci. 2001, 185, 3–27. [Google Scholar] [CrossRef]
- Lufrano, F.; Squadrito, G.; Patti, A.; Passalacqua, E. Sulfonated polysulfone as promising membranes for polymer electrolyte fuel cells. J. Appl. Polym. Sci. 2000, 77, 1250–1257. [Google Scholar] [CrossRef]
- Schuster, M.; Kreuer, K.-D.; Andersen, H.T.; Maier, J. Sulfonated Poly(phenylene sulfone) Polymers as Hydrolytically and Thermooxidatively Stable Proton Conducting Ionomers. Macromolecules 2007, 40, 598–607. [Google Scholar] [CrossRef]
- Miyake, J.; Taki, R.; Mochizuki, T.; Shimizu, R.; Akiyama, R.; Uchida, M.; Miyatake, K. Design of flexible polyphenylene proton-conducting membrane for next-generation fuel cells. Sci. Adv. 2017, 3, eaao0476. [Google Scholar] [CrossRef]
- Donnadio, A.; Casciola, M.; Di Vona, M.L.; Tamilvanan, M. Conductivity and hydration of sulfonated polyethersulfone in the range 70–120 °C: Effect of temperature and relative humidity cycling. J. Power Sources 2012, 205, 145–150. [Google Scholar] [CrossRef]
- Kim, J.-D.; Donnadio, A.; Jun, M.-S.; Di Vona, M.L. Crosslinked SPES-SPPSU membranes for high temperature PEMFCs. Int. J. Hydrog. Energy 2013, 38, 1517–1523. [Google Scholar] [CrossRef]
- Yin, Y.; Suto, Y.; Sakabe, T.; Chen, S.; Hayashi, S.; Mishima, T.; Yamada, O.; Tanaka, K.; Kita, H.; Okamoto, K.-I. Water Stability of Sulfonated Polyimide Membranes. Macromolecules 2006, 39, 1189–1198. [Google Scholar] [CrossRef]
- Asano, N.; Aoki, M.; Suzuki, S.; Miyatake, K.; Uchida, H.; Watanabe, M. Aliphatic/Aromatic Polyimide Ionomers as a Proton Conductive Membrane for Fuel Cell Applications. J. Am. Chem. Soc. 2006, 128, 1762–1769. [Google Scholar] [CrossRef] [PubMed]
- Aoki, M.; Asano, N.; Miyatake, K.; Uchida, H.; Watanabe, M. Durability of Sulfonated Polyimide Membrane Evaluated by Long-Term Polymer Electrolyte Fuel Cell Operation. J. Electrochem. Soc. 2006, 153, A1154–A1158. [Google Scholar] [CrossRef]
- Wu, D.; Wu, L.; Woo, J.-J.; Yun, S.-H.; Seo, S.-J.; Xu, T.; Moon, S.-H. A simple heat treatment to prepare covalently crosslinked membranes from sulfonated poly(2,6-dimethyl-1,4-phenylene oxide) for application in fuel cells. J. Membr. Sci. 2010, 348, 167–173. [Google Scholar] [CrossRef]
- Robert, F.S.; Litt, M.H. Proton Conducting Polymers Used as Membranes. US Patent Number 5525436, 11 June 1996. [Google Scholar]
- Kerres, J.; Ullrich, A.; Meier, F.; Häring, T. Synthesis and characterization of novel acid—base polymer blends for application in membrane fuel cells. Solid State Ionics 1999, 125, 243–249. [Google Scholar] [CrossRef]
- Lee, H.-F.; Killer, M.; Britton, B.; Wu, Y.; Nguyen, H.-D.; Iojoiu, C.; Holdcroft, S. Fuel Cell Catalyst Layers and Membrane-Electrode Assemblies Containing Multiblock Poly(arylene ether sulfones) Bearing Perfluorosulfonic Acid Side Chains. J. Electrochem. Soc. 2018, 165, F891–F897. [Google Scholar] [CrossRef]







| Varied Parameter | Variable Parameter | Membrane Classification |
|---|---|---|
| PVA loading (wt%) | 0 | CSPPSU |
| 5 | CSPPSU-5vinylon | |
| 10 | CSPPSU-10vinylon | |
| 20 | CSPPSU-20vinylon |
| Polymer | PVAc | PVA | CSPPSU-vinylon |
|---|---|---|---|
| vH-O-H (cm−1) | 3272 | 3421 | |
| Aromatic vC-H (cm−1) | 3093, 3074, 3038 | ||
| Aliphatic vC-H (cm−1) | 2974, 2928, 2852, 1431, 1367 | 2932, 2898, 1424 | 2920, 2846 |
| δs, H-O-H (cm−1) | 1655 | 1714, 1665 | |
| Aromatic vC=C (cm−1) | 1584, 1469 | ||
| vC=O (cm−1) | 1728 | ||
| δs, C-O-H (cm−1) | 1324 | 1324 | |
| vas, C-O-C (cm−1) | 1232 | ||
| Aliphatic vC-O (cm−1) | 1220, 1116, 1016, 939 | 1568, 1083 | |
| vs, O=S=O (cm−1) | 1142 |
| Sample Name | Evaporation of H2O Interacting with –SO3H or -OH Group | Desubstitution of –SO3H Group | Thermal Decomposition of Polymer Backbone | ||
|---|---|---|---|---|---|
| ΔT (°C) | ΔWt. Loss (%) | ΔT (°C) | ΔWt. Loss (%) | Peak of Exothermic (°C) | |
| CSPPSU | 61–210 | 4.5 | 210–453 | 19.1 | 548 |
| CSPPSU-5vinylon | 61–212 | 4.9 | 212–403 | 17.5 | 532 |
| CSPPSU-10vinylon | 61–197 | 5.0 | 197–389 | 19.5 | 534 |
| CSPPSU-20vinylon | 61–197 | 5.0 | 197–400 | 19.8 | 528 |
| CSPPSU | CSPPSU -5vinylon | CSPPSU -10vinylon | CSPPSU -20vinylon | |
|---|---|---|---|---|
| Tensile strength (MPa) | 48 | 27 | 45 | 40 |
| Tensile elongation (%) (break) | 74 | 26 | 48 | 55 |
| Flexural modulus (MPa) * | 757 | 781 | 759 | 548 |
| Sample Name | CSPPSU | CSPPSU -5vinylon | CSPPSU -10vinylon | CSPPSU -20vinylon | ||
|---|---|---|---|---|---|---|
| IEC (meq/g) | 2 | 2.2 | 2.1 | 2.1 | ||
| W.U. (%) | 43 | 38 | 66 | 36 | ||
| λ | 11.9 | 9.6 | 17.5 | 9.5 | ||
| Dcrosslink (%) | 47.3 | 42.1 | 44.7 | 44.7 | ||
| Roxidation (%) | 91–99 | _a | 81–99 | _a | ||
| Conductivity (mS/cm) | 40 °C | 20% RH | 0.43 | 0.31 | 0.52 | 0.57 |
| 90% RH | 7.23 | 10.12 | 15.23 | 12.43 | ||
| 80 °C | 20% RH | 0.7 | 0.7 | 0.9 | 1.1 | |
| 90% RH | 18 | 36 | 56 | 55 | ||
| 120 °C | 20% RH | 0.6 | 1.3 | 2.2 | 1.0 | |
| 90% RH | 22 | 34 | 66 | 65 | ||
| 80 °C, 100% RH | 80 °C, 60% RH | ||||
|---|---|---|---|---|---|
| OCV (V) | iR Loss (mohm) @ 1 A/cm2 | H2 Crossover (mA/cm2) @ 0.4 V | OCV (V) | iR Loss (mohm) @ 1 A/cm2 | |
| CSPPSU | 1.020 | 73 | 0.085 | 1.018 | 161 |
| CSPPSU-10vinylon | 1.010 | 69 | 0.245 | 1.008 | 119 |
| Nafion212 | 1.005 | 24 | 1.24 | 1.029 | 42 |
© 2020 by the authors. Licensee MDPI, Basel, Switzerland. This article is an open access article distributed under the terms and conditions of the Creative Commons Attribution (CC BY) license (http://creativecommons.org/licenses/by/4.0/).
Share and Cite
Kim, J.-D.; Matsushita, S.; Tamura, K. Crosslinked Sulfonated Polyphenylsulfone-Vinylon (CSPPSU-vinylon) Membranes for PEM Fuel Cells from SPPSU and Polyvinyl Alcohol (PVA). Polymers 2020, 12, 1354. https://doi.org/10.3390/polym12061354
Kim J-D, Matsushita S, Tamura K. Crosslinked Sulfonated Polyphenylsulfone-Vinylon (CSPPSU-vinylon) Membranes for PEM Fuel Cells from SPPSU and Polyvinyl Alcohol (PVA). Polymers. 2020; 12(6):1354. https://doi.org/10.3390/polym12061354
Chicago/Turabian StyleKim, Je-Deok, Satoshi Matsushita, and Kenji Tamura. 2020. "Crosslinked Sulfonated Polyphenylsulfone-Vinylon (CSPPSU-vinylon) Membranes for PEM Fuel Cells from SPPSU and Polyvinyl Alcohol (PVA)" Polymers 12, no. 6: 1354. https://doi.org/10.3390/polym12061354
APA StyleKim, J.-D., Matsushita, S., & Tamura, K. (2020). Crosslinked Sulfonated Polyphenylsulfone-Vinylon (CSPPSU-vinylon) Membranes for PEM Fuel Cells from SPPSU and Polyvinyl Alcohol (PVA). Polymers, 12(6), 1354. https://doi.org/10.3390/polym12061354

