Preparation of Polyvinyl Alcohol (PVA)-Based Composite Membranes Using Carboxyl-Type Boronic Acid Copolymers for Alkaline Diffusion Dialysis
Abstract
1. Introduction
2. Materials and Methods
2.1. Materials
2.2. Synthesis of Boronic Acid Copolymers
2.3. Preparation of PVA-Based Composite Cationic Membranes
2.4. Characterizations and Diffusion Dialysis (DD) Testing
3. Results
3.1. Structure Characterization of BACs
3.2. IECs and WR of As-Prepared Membranes
3.3. Alkali Resistance Testing Results of As-Prepared Membranes
3.4. Mechanical Properties of As-Prepared Membranes
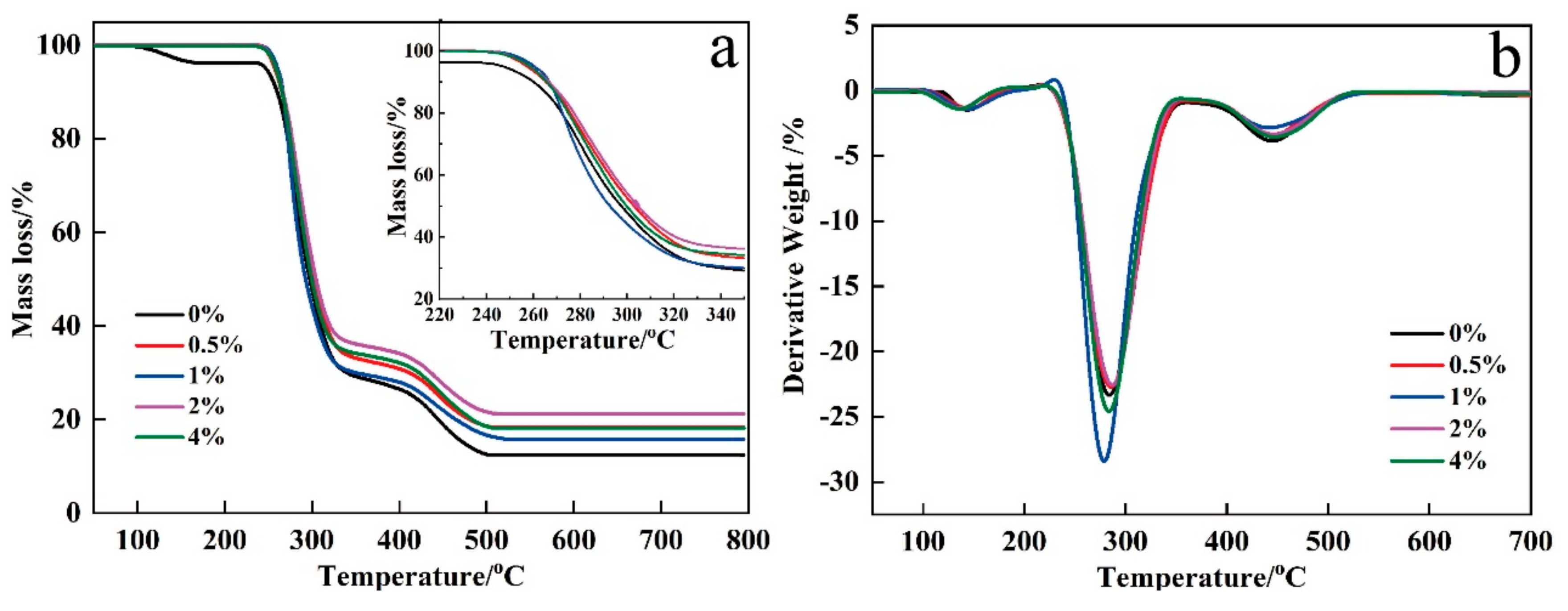
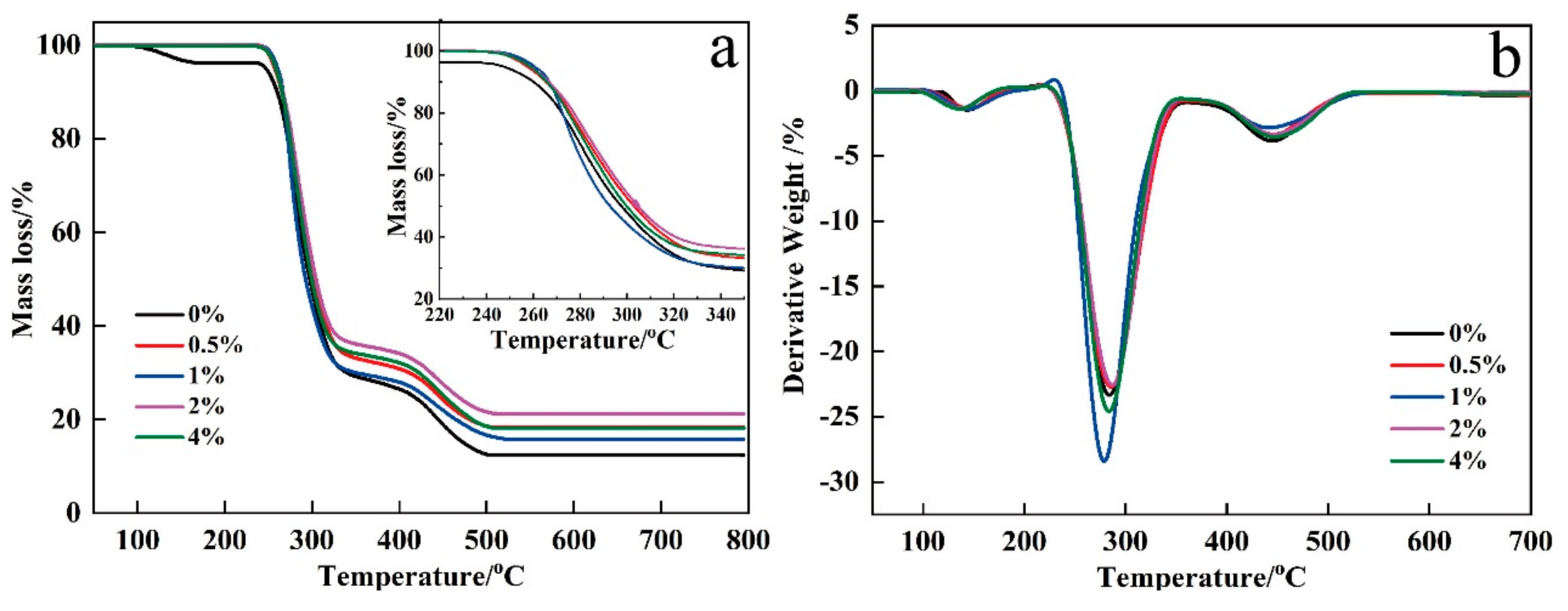
3.5. Thermal Stability Properties of As-Prepared Membranes
3.6. Microstructures of As-Prepared Membranes
3.7. Results of the DD Test
4. Conclusions
Author Contributions
Funding
Conflicts of Interest
References
- Ignacz, G.; Fan, F.; Szekely, G. Ion-stabilized membranes for demanding environments fabricated from polybenzimidazole and its blends with polymers of intrinsic microporosity. ACS Appl. Nano Mater. 2018, 1, 6349–6356. [Google Scholar] [CrossRef]
- Meringolo, C.; Poerio, T.; Fontananova, E.; Mastropietro, T.F.; Nicoletta, F.P.; Filpo, G.D.; Curcio, E.; Profio, G.D. Exploiting Fluoropolymers Immiscibility to Tune Surface Properties and Mass Transfer in Blend Membranes for Membrane Contactor Applications. ACS Appl. Polym. Mater. 2019, 1, 326–334. [Google Scholar] [CrossRef]
- Haragirimana, A.; Ingabire, P.B.; Zhu, Y.X.; Lu, Y.; Li, N.; Hu, Z.X.; Chen, S.W. Four-polymer blend proton exchange membranes derived from sulfonated poly(aryl ether sulfone)s with various sulfonation degrees for application in fuel cells. J. Membr. Sci. 2019, 583, 209–219. [Google Scholar] [CrossRef]
- Jienkulsawad, P.; Chen, Y.S.; Amornchai, A. Modifying the catalyst layer using polyvinyl alcohol for the performance improvement of proton exchange membrane fuel cells under low humidity operations. Polymers 2020, 12, 1865. [Google Scholar] [CrossRef] [PubMed]
- Ates, B.; Koytepe, S.; Ulu, A.; Gurses, C.; Thakur, V.K. Chemistry, structures, and advanced applications of nanocomposites from biorenewable resources. Chem. Rev. 2020, 120, 9304–9362. [Google Scholar] [CrossRef]
- McNair, R.; Cseri, L.; Szekely, G.; Dryfe, R.A.W. Asymmetric membrane capacitive deionization using anion-exchange membranes based on quaternized polymer blends. ACS Appl. Polym. Mater. 2020, 2, 2946–2956. [Google Scholar] [CrossRef]
- Xu, C.Q.; Xue, S.; Wang, P.; Wu, C.M.; Wu, Y.H. Diffusion dialysis for NaCl and NaAc recovery using polyelectrolyte complexes/PVA membranes. Sep. Purif. Technol. 2017, 172, 140–146. [Google Scholar] [CrossRef]
- Liu, L.; Xue, S.; Wu, C.M.; Wu, Y.H.; Wang, S. PVA–PSSS membranes for alkali recovery through diffusion dialysis: Effect of alkoxysilanes. Desalin. Water Treat. 2015, 57, 6901–6909. [Google Scholar] [CrossRef]
- Xiao, X.; Wu, C.M.; Cui, P.; Luo, J.Y.; Wu, Y.H.; Xu, T.W. Cation exchange hybrid membranes from SPPO and multi-alkoxy silicon copolymer: Preparation, properties and diffusion dialysis performances for sodium hydroxide recovery. J. Membr. Sci. 2011, 379, 112–120. [Google Scholar] [CrossRef]
- Wang, H.; Wu, C.M.; Wu, Y.H.; Luo, J.Y.; Xu, T.W. Cation exchange hybrid membranes based on PVA for alkali recovery through diffusion dialysis. J. Membr. Sci. 2011, 376, 233–240. [Google Scholar] [CrossRef]
- Luo, J.Y.; Wu, C.M.; Wu, Y.H.; Xu, T.W. Diffusion dialysis of hydrochloride acid at different temperatures using PPO-SiO2 hybrid anion exchange membranes. J. Membr. Sci. 2010, 347, 240–249. [Google Scholar] [CrossRef]
- He, Y.B.; Pan, J.F.; Wu, L.; Ge, L.; Xu, T.W. Facile preparation of 1, 8-diazabicyclo [5.4.0] undec-7-ene based high performance anion exchange membranes for diffusion dialysis applications. J. Membr. Sci. 2015, 49, 145–152. [Google Scholar] [CrossRef]
- Luo, J.Y.; Wu, C.M.; Xu, T.W.; Wu, Y.H. Diffusion dialysis—Concept, principle and applications. J. Membr. Sci. 2011, 366, 1–16. [Google Scholar] [CrossRef]
- Wang, H.; Xia, Y.; Liu, J.; Ma, Z.; Shi, Q.; Yin, J. Programmable release of 2-O-D-glucopyranosyl-L-ascorbic acid and heparin from PCL-based nanofifiber scaffold for reduction of inflammation and thrombosis. Mater. Today 2020, 100303, 2468–5194. [Google Scholar]
- Lin, X.C.; Varcoe, J.R.; Poynton, S.D.; Liang, X.H.; Wu, Y.H.; Xu, T.W. Alkaline polymer electrolytes containing pendant dimethylimidazolium groups for alkaline membrane fuel cells. J. Mater. Chem. 2013, 24, 7262. [Google Scholar] [CrossRef]
- Miao, J.B.; Li, X.Y.; Yang, Z.J.; Jiang, C.X.; Qian, J.S.; Xu, T.W. Hybrid membranes from sulphonated poly(2,6-dimethyl-1,4-phenylene oxide) and sulphonated nano silica for alkali recovery. J. Membr. Sci. 2016, 498, 201–207. [Google Scholar] [CrossRef]
- Liu, M.H.; Zhou, C.M.; Dong, B.Y.; Wu, Z.F.; Wang, L.Z. Enhancing the permselectivity of thin-film composite poly (vinyl alcohol) (PVA) nanofiltration membrane by incorporating poly (sodium-p-styrene-sulfonate) (PSSNa). J. Membr. Sci. 2014, 463, 173–182. [Google Scholar] [CrossRef]
- Dai, C.H.; Mondal, A.N.; Wu, L.; Xu, T.W.; Wu, Y.H. Cross-linked PVA-based hybrid membranes containing di-sulfonic acid groups for alkali recovery. Sep. Purif. Technol. 2017, 184, 1–11. [Google Scholar] [CrossRef]
- Wu, C.M.; Gu, J.J.; Wu, Y.H.; Luo, J.Y.; Xu, T.W.; Ping, Z.Y. Carboxylic acid type PVA-based hybrid membranes for alkali recovery using diffusion dialysis. Sep. Purif. Technol. 2012, 92, 21–29. [Google Scholar] [CrossRef]
- Shi, F.M.; Ma, Y.X.; Ma, J.; Wang, P.P.; Sun, W.X. Preparation and characterization of PVDF/TiO2 hybrid membranes with ionic liquid modified nano-TiO2 particles. J. Membr. Sci. 2013, 427, 259–26921. [Google Scholar] [CrossRef]
- Zhang, J.; Wang, Z.W.; Liu, M.X.; Zhao, F.L.; Wu, Z.C. In-situ, modification of PVDF membrane during phase-inversion process using carbon nanosphere sol as coagulation bath for enhancing anti-fouling ability. J. Membr. Sci. 2017, 526, 272–280. [Google Scholar] [CrossRef]
- Xu, Z.W.; Wu, T.F.; Shi, J.; Teng, K.Y.; Wei, W. Photocatalytic antifouling PVDF ultrafiltration membranes based on synergy of graphene oxide and TiO2 for water treatment. J. Membr. Sci. 2016, 520, 281–293. [Google Scholar] [CrossRef]
- Pan, Y.; Yu, Z.X.; Shi, H.; Chen, Q.; Ren, X.Q. A novel antifouling and antibacterial surface-functionalized PVDF ultrafiltration membrane via binding Ag/SiO2 nanocomposites. J. Chem. Technol. Biotechnol. 2016, 92, 562–572. [Google Scholar] [CrossRef]
- Chikh, L.; Delhorbe, V.; Fichet, O. (Semi-) Interpenetrating polymer networks as fuel cell membranes. J. Membr. Sci. 2011, 368, 1–17. [Google Scholar] [CrossRef]
- Hao, J.W.; Wu, Y.H.; Ran, J.; Wu, B.; Xu, T.W. A simple and green preparation of PVA-based cation exchange hybrid membranes for alkali recovery. J. Membr. Sci. 2012, 433, 10–16. [Google Scholar] [CrossRef]
- Liu, D.D.; Wei, W.C.; Miao, J.B.; Ru, X.; Qian, J.S. Composite cationic exchange membranes prepared from polyvinyl alcohol (PVA) and boronic acid copolymers for alkaline diffusion dialysis. Materials 2018, 11, 1354. [Google Scholar] [CrossRef]
- Hao, J.W.; Wu, Y.H.; Xu, T.W. Cation exchange hybrid membranes prepared from PVA and multisilicon copolymer for application in alkali recovery. J. Membr. Sci. 2013, 426, 156–162. [Google Scholar] [CrossRef]
- Li, X.Y.; Miao, J.B.; Ru, X.; Yang, B.; Qian, J.S. Preparation and properties of sulfonated poly(2,6-dimethyl-1,4-phenyleneoxide)/mesoporous silica hybrid membranes for alkali recovery. Micropor. Mesopor. Mater. 2016, 236, 48–53. [Google Scholar] [CrossRef]
- Miao, J.B.; Yao, L.Z.; Yang, Z.J.; Pan, J.F.; Qian, J.S.; Xu, T.W. Sulfonated poly(2,6-dimethyl-1,4-phenyleneoxide)/nano silica hybrid membranes for alkali recovery via diffusion dialysis. Sep. Purif. Technol. 2015, 141, 307–313. [Google Scholar] [CrossRef]
- Hao, J.W.; Gong, M.; Wu, Y.H.; Wu, C.M.; Luo, J.Y.; Xu, T.W. Alkali recovery using PVA/SiO2 cation exchange membranes with different -COOH content. J. Hazard. Mater. 2013, 245, 348–356. [Google Scholar] [CrossRef]
- Lin, X.C.; Shamsaei, E.; Kong, B.; Liu, J.Z.; Hu, Y.X.; Xu, T.W. Porous diffusion dialysis membranes for rapid acid recovery. J. Membr. Sci. 2016, 502, 76–83. [Google Scholar] [CrossRef]
- Liu, R.; Wu, L.; Pan, J.F.; Jiang, C.X.; Xu, T.W. Diffusion dialysis membranes with semi-interpenetrating network for alkali recovery. J. Membr. Sci. 2014, 451, 18–23. [Google Scholar] [CrossRef]
- Wu, Y.H.; Hao, J.W.; Wu, C.M.; Mao, F.; Xu, T.W. Cation exchange PVA/SPPO/SiO2 membranes with double organic phases for alkali recovery. J. Membr. Sci. 2012, 442, 383–391. [Google Scholar] [CrossRef]
- Chong, F.R.; Wang, C.W.; Miao, J.B.; Xia, R.; Cao, M.; Chen, P.; Yang, B.; Zhou, W.B.; Qian, J.S. Preparation and properties of cation-exchange membranes based on commercial chlorosulfonated polyethylene (CSM) for diffusion dialysis. J. Taiwan Inst. Chem. Eng. 2017, 78, 561–565. [Google Scholar] [CrossRef]
- Wang, C.W.; Liang, Y.X.; Miao, J.B.; Wu, B.; Hossain, M.d.M.; Cao, M.; Ge, Q.Q.; Su, L.F.; Zheng, Z.Z.; Yang, B.; et al. Preparation and properties of polyvinyl alcohol (PVA)/mesoporous silica supported phosphotungstic acid (MS-HPW) hybrid membranes for alkali recovery. J. Membr. Sci. 2019, 592, 117–388. [Google Scholar] [CrossRef]









| BAC Dosage | WR (%) | IEC (mmol/g) | Thickness (µm) |
|---|---|---|---|
| 0% | 92.2 ± 1.2 | / | 51 ± 2 |
| 0.5% | 122.7 ± 0.9 | 0.015 | 77 ± 1 |
| 1% | 129.7 ± 0.9 | 0.026 | 86 ± 1 |
| 2% | 150.0 ± 0.8 | 0.038 | 73 ± 2 |
| 4% | 137.5 ± 0.7 | 0.052 | 85 ± 1 |
| Membranes | IEC/mmol g−1 | UOH/m h−1 | S | References |
|---|---|---|---|---|
| PVA-P(AA-co-γ-MPS) | 0.76–0.9 | 0.01–0.042 | 25.5–95.7 | [10] |
| PVA-BADSANa-MPTES | 0.98–1.36 | 0.0028–0.0234 | 4.6–20.0 | [18] |
| PVA-P(AA-co-γ-MPS) | 1.39–1.78 | 0.0095–0.0123 | 28.4–54.4 | [19] |
| PVA-P(THOPS-Na) | 0.7–1.56 | 0.011–0.022 | 11.6–20.6 | [25] |
| PVA-P(AAPBA-AMPS) | 0.79–1.17 | 0.008–0.015 | 15–55 | [26] |
| PVA-P(SAS-co-VTMS) | 0.14–0.45 | 0.0065–0.0086 | 24.4–51.6 | [27] |
| PVA/SPPO/SiO2 | 0.44–1.34 | 0.007–0.013 | 12.5–181 | [30] |
| PVA-(MS-HPW) | 0.015–0.03 | 0.00767–0.0115 | 21.5–88.8 | [31] |
| PVA-BAC | 0.0147–0.0518 | 0.0147–0.0347 | 29.5–62.6 | This Work |
| BACs Dosage | TS (MPa) | Eb (%) |
|---|---|---|
| 0% | 45.1 ± 2.4 | 131.3 ± 6.9 |
| 0.5% | 38.7 ± 2.0 | 103.8 ± 3.0 |
| 1% | 42.2 ± 2.6 | 108.1 ± 7.3 |
| 2% | 58.6 ± 2.4 | 112.2 ± 3.6 |
| 4% | 52.6 ± 2.3 | 148.4 ± 2.9 |
| Dosage of Boronic Acid Copolymer | 0% | 0.5% | 1% | 2% | 4% |
|---|---|---|---|---|---|
| IDT a (°C) | 209 | 219 | 220 | 238 | 229 |
| Td b (°C) | 247 | 257 | 260 | 259 | 258 |
| Membrane Matrix | Separation System | UOH/m·h−1 (25 °C) | S (25 °C) | Ref. |
|---|---|---|---|---|
| PVA | NaOH/Na2WO4 | 0.011–0.022 | 11.6–20.6 | [26] |
| PVA | 0.0079–0.0150 | 26.6–53.2 | [27] | |
| PVA | 0.0065–0.0086 | 24.4–51.6 | [28] | |
| SPPO | 0.0035–0.0061 | 31.6–37.5 | [29] | |
| SPPO | 0.002–0.0038 | 98–175 | [30] | |
| PVA | 0.006–0.032 | 12.2–36.2 | [31] | |
| PVDF | 0.0008–0.0061 | 12.0–90.3 | [32] | |
| PVA/SPPO | 0.007–0.013 | 111–181 | [33] | |
| CSM | 0.0018–0.009 | 9.0–32.3 | [34] | |
| PVA | 0.0077–0.0175 | 21.5–88.8 | [35] | |
| PVA | 0.0147–0.0347 | 29.5–62.6 | This research |
© 2020 by the authors. Licensee MDPI, Basel, Switzerland. This article is an open access article distributed under the terms and conditions of the Creative Commons Attribution (CC BY) license (http://creativecommons.org/licenses/by/4.0/).
Share and Cite
Peng, L.; Huang, X.; Liu, D.; Miao, J.; Wu, B.; Cao, M.; Ge, Q.; Yang, B.; Su, L.; Xia, R.; et al. Preparation of Polyvinyl Alcohol (PVA)-Based Composite Membranes Using Carboxyl-Type Boronic Acid Copolymers for Alkaline Diffusion Dialysis. Polymers 2020, 12, 2360. https://doi.org/10.3390/polym12102360
Peng L, Huang X, Liu D, Miao J, Wu B, Cao M, Ge Q, Yang B, Su L, Xia R, et al. Preparation of Polyvinyl Alcohol (PVA)-Based Composite Membranes Using Carboxyl-Type Boronic Acid Copolymers for Alkaline Diffusion Dialysis. Polymers. 2020; 12(10):2360. https://doi.org/10.3390/polym12102360
Chicago/Turabian StylePeng, Lizhen, Xiaonan Huang, Dandan Liu, Jibin Miao, Bin Wu, Ming Cao, Qianqian Ge, Bin Yang, Lifen Su, Ru Xia, and et al. 2020. "Preparation of Polyvinyl Alcohol (PVA)-Based Composite Membranes Using Carboxyl-Type Boronic Acid Copolymers for Alkaline Diffusion Dialysis" Polymers 12, no. 10: 2360. https://doi.org/10.3390/polym12102360
APA StylePeng, L., Huang, X., Liu, D., Miao, J., Wu, B., Cao, M., Ge, Q., Yang, B., Su, L., Xia, R., Zheng, Z., Chen, P., & Qian, J. (2020). Preparation of Polyvinyl Alcohol (PVA)-Based Composite Membranes Using Carboxyl-Type Boronic Acid Copolymers for Alkaline Diffusion Dialysis. Polymers, 12(10), 2360. https://doi.org/10.3390/polym12102360
