Development of Reinforced Polyester/Graphene Nanocomposite Showing Tailored Electrical Conductivity
Abstract
1. Introduction
2. Materials and Methods
2.1. Materials
2.2. Sample Preparation
2.3. Morphology
2.4. Electrical Characterization
2.5. Mechanical Tests
3. Results and Discussion
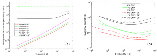
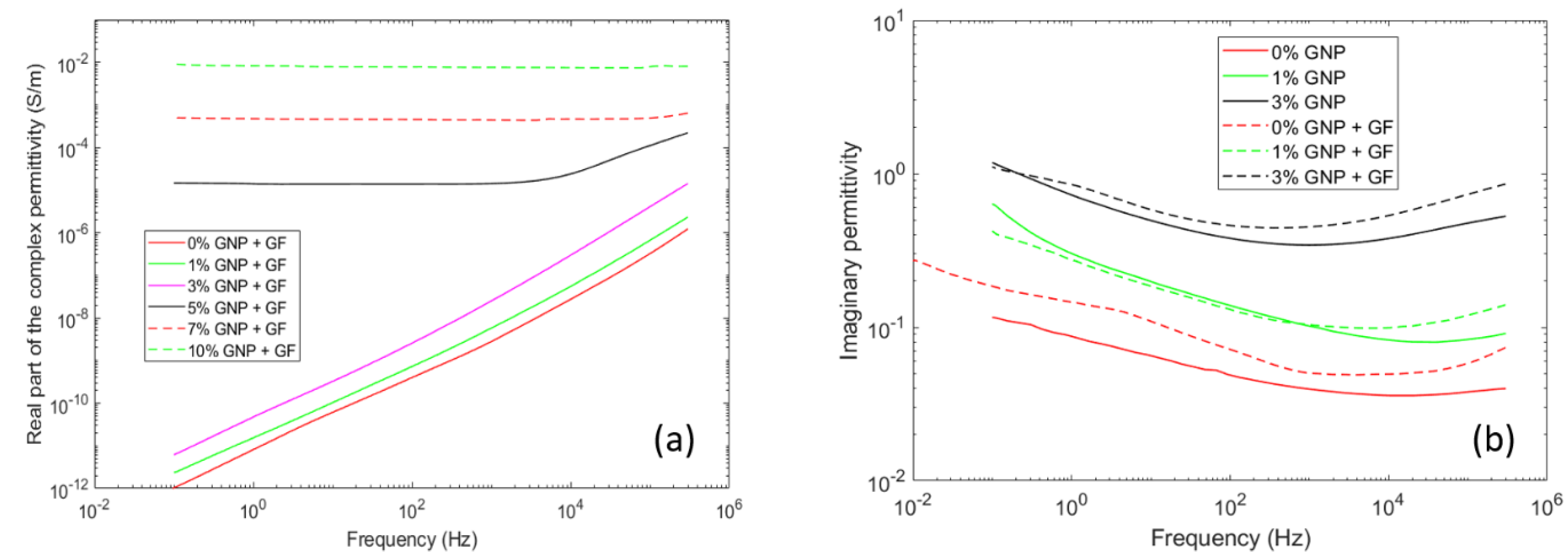
3.1. Electrical Properties
3.2. Mechanical Properties
4. Conclusions
Author Contributions
Funding
Acknowledgments
Conflicts of Interest
References
- Kim, A.R.; Vinothkannan, M.; Yoo, D.J. Sulfonated fluorinated multi-block copolymer hybrid containing sulfonated(poly ether ether ketone) and graphene oxide: A ternary hybrid membrane architecture for electrolyte applications in proton exchange membrane fuel cells. J. Energy Chem. 2018, 27, 1247–1260. [Google Scholar] [CrossRef]
- Chu, J.Y.; Lee, K.H.; Kim, A.R.; Yoo, D.J. Graphene-mediated organic-inorganic composites with improved hydroxide conductivity and outstanding alkaline stability for anion exchange membranes. Compos. Part B Eng. 2019, 164, 324–332. [Google Scholar] [CrossRef]
- Vinothkannan, M.; Kim, A.R.; Yoo, D.J. Sulfonated graphene oxide/Nafion composite membranes for high temperature and low humidity proton exchange membrane fuel cells. RSC Adv. 2018, 8, 7494–7508. [Google Scholar] [CrossRef]
- Tiwari, S.K.; Sahoo, S.; Wang, N.; Huczko, A. Graphene research and their outputs: Status and prospect. J. Sci. Adv. Mater. Devices 2020, 5, 10–29. [Google Scholar] [CrossRef]
- Stankovich, S.; Dikin, D.A.; Dommett, G.H.B.; Kohlhaas, K.M.; Zimney, E.J.; Stach, E.A.; Piner, R.D.; Nguyen, S.T.; Ruoff, R.S. Graphene-Based Composite Materials. Nat. Lett. 2006, 442, 282–286. [Google Scholar] [CrossRef] [PubMed]
- Prolongo, S.G.; Jimenez-Suarez, A.; Moriche, R.; Urena, A. In situ processing of epoxy composites reinforced with graphene nanoplatelets. Compos. Sci. Technol. 2013, 86, 185–191. [Google Scholar] [CrossRef]
- Helal, E.; Kurusu, R.S.; Moghimian, N.; Gutierrez, G.; David, E.; Demarquette, N.R. Correlation between morphology, rheological behavior, and electrical behavior of conductive cocontinuous LLDPE/EVA blends containing commercial graphene nanoplatelets. J. Rheol. 2019, 63, 961. [Google Scholar] [CrossRef]
- Wu, H.; Drzal, L.T. Graphene nanoplatelet paper as a light-weight composite with excellent electrical and thermal conductivity and good gas barrier properties. Carbon 2012, 50, 1135–1145. [Google Scholar] [CrossRef]
- Shtein, M.; Nadiv, R.; Buzaglo, M.; Kahil, K.; Regev, O. Thermally Conductive Graphene-Polymer Composites: Size, Percolation, and Synergy Effects. Chem. Mater. 2015, 27, 2100–2106. [Google Scholar] [CrossRef]
- Moghimian, N.; Nazarpour, S. The Future of Carbon: An Update on Graphene’sDermal, Inhalation, and Gene Toxicity. Crystals 2020, 10, 718. [Google Scholar] [CrossRef]
- Zhang, H.; Liu, Y.; Huo, S.; Briscoe, J.; Tu, W.; Picot, L.T.; Rezai, A.; Bilotti, E.; Peijs, T. Filtration effects of graphene nanoplatelets in resin infusion processes: Problems and possible solutions. Compos. Sci. Technol. 2017, 139, 138–145. [Google Scholar] [CrossRef]
- Moriche, R.; Sanchez, M.; Jimenez-Suarez, A.; Prolongo, S.G.; Urena, A. Electrically conductive functionalized GNP/epoxy based composites: From nanocomposite to multiscale glass fibre composite material. Compos. Part B 2016, 98, 49–55. [Google Scholar] [CrossRef]
- Batista, N.L.; Helal, E.; Kurusu, R.S.; Moghimian, N.; David, E.; Demarquette, N.R.; Hubert, P. Mass-Produced Graphene-HDPE Nanocomposites: Thermal, Rheological, Electrical, and Mechanical Properties. Polym. Eng. Sci. 2019, 59, 675–682. [Google Scholar] [CrossRef]
- Kurusu, R.S.; Helal, E.; Moghimian, N.; David, E.; Demarquette, N.R. The Role of Selectively Located Commercial Graphene Nanoplatelets in the Electrical Properties, Morphology, and Stability of EVA/LLDPE Blends. Macromol. Mater. Eng. 2018, 303, 1800187. [Google Scholar] [CrossRef]
- Kurusu, R.S.; Helal, E.; Demarquette, N.R.; David, E.; Moghimian, N. Electrical Properties of EVA/LLDPE Blends with Selectively Located Graphene Nanoplatelets. In Proceedings of the 2018 IEEE 2nd International Conference on Dielectrics, Budapest, Hungary, 1–5 July 2018; p. 8468530. [Google Scholar]
- Moghimian, N.; Saeidlou, S.; Lentzakis, H.; Rosi, G.F.; Song, N.; David, É. Electrical Conductivity of Commercial Graphene Polyethylene Nanocomposites. In Proceedings of the 17th IEEE International Conference on Nanotechnology, Pittsburgh, PA, USA, 25–28 July 2017; pp. 757–761. [Google Scholar]
- Schick, C.; Dobbertin, J.; Pötter, M.; Dehne, H.; Hensel, A.; Wurm, A.; Ghoneim, A.; Weyer, S. Separation of components of different molecular mobility by calorimetry, dynamic mechanical and dielectric spectroscopy. J. Therm. Anal. Calorim. 1997, 49, 499–511. [Google Scholar] [CrossRef]
Publisher’s Note: MDPI stays neutral with regard to jurisdictional claims in published maps and institutional affiliations. |









© 2020 by the authors. Licensee MDPI, Basel, Switzerland. This article is an open access article distributed under the terms and conditions of the Creative Commons Attribution (CC BY) license (http://creativecommons.org/licenses/by/4.0/).
Share and Cite
Serenari, F.; Madinehei, M.; Moghimian, N.; Fabiani, D.; David, E. Development of Reinforced Polyester/Graphene Nanocomposite Showing Tailored Electrical Conductivity. Polymers 2020, 12, 2358. https://doi.org/10.3390/polym12102358
Serenari F, Madinehei M, Moghimian N, Fabiani D, David E. Development of Reinforced Polyester/Graphene Nanocomposite Showing Tailored Electrical Conductivity. Polymers. 2020; 12(10):2358. https://doi.org/10.3390/polym12102358
Chicago/Turabian StyleSerenari, Federico, Milad Madinehei, Nima Moghimian, Davide Fabiani, and Eric David. 2020. "Development of Reinforced Polyester/Graphene Nanocomposite Showing Tailored Electrical Conductivity" Polymers 12, no. 10: 2358. https://doi.org/10.3390/polym12102358
APA StyleSerenari, F., Madinehei, M., Moghimian, N., Fabiani, D., & David, E. (2020). Development of Reinforced Polyester/Graphene Nanocomposite Showing Tailored Electrical Conductivity. Polymers, 12(10), 2358. https://doi.org/10.3390/polym12102358

