Polymeric Self-Assemblies Based on tetra-ortho-Substituted Azobenzene as Visible Light Responsive Nanocarriers
Abstract
1. Introduction
2. Materials and Methods
2.1. General Synthetic Procedures
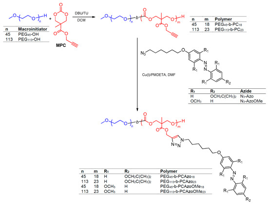
2.1.1. General Procedure for the Synthesis of PEGn-b-PCn Block Copolymers
2.1.2. General Procedure for the Side Chain Functionalization by CuAAC
2.2. Preparation of Self-Assemblies in Water
2.2.1. Self-Assembly Procedure
2.2.2. Determination of the Critical Aggregation Concentration and loading of Nile Red
2.2.3. Preparation of Rhodamine B loaded Vesicles
2.3. Irradiation Experiments
2.3.1. Irradiation Experiments with UV Light
2.3.2. Irradiation Experiments with Visible Light
2.4. Characterization Techniques and Instrumentation
3. Results
3.1. Synthesis and Characterization of the Amphiphilic Diblock Copolymers
3.2. Self-Assembly in Water and Morphological Analysis
3.3. Light Responsiveness of PEGn-b-PCAzom Self-Assemblies
3.4. Light Responsiveness of PEGn-b-PCAzoOMem Self-Assemblies
3.5. Encapsulation and Light-Induced Release of Molecular Probes
4. Conclusions
Supplementary Materials
Author Contributions
Funding
Acknowledgments
Conflicts of Interest
References
- Cabral, H.; Miyata, K.; Osada, K.; Kataoka, K. Block Copolymer Micelles in Nanomedicine Applications. Chem. Rev. 2018, 118, 6844–6892. [Google Scholar] [CrossRef] [PubMed]
- Brinkhuis, R.P.; Rutjes, F.P.J.T.; van Hest, J.C.M. Polymeric vesicles in biomedical applications. Polym. Chem. 2011, 2, 1449–1462. [Google Scholar] [CrossRef]
- Tritschler, U.; Pearce, S.; Gwyther, J.; Whittell, G.R.; Manners, I. 50th Anniversary Perspective: Functional Nanoparticles from the Solution Self-Assembly of Block Copolymers. Macromolecules 2017, 50, 3439–3463. [Google Scholar] [CrossRef]
- Figg, C.A.; Carmean, R.N.; Bentz, K.C.; Mukherjee, S.; Savin, D.A.; Sumerlin, B.S. Tuning Hydrophobicity to Program Block Copolymer Assemblies from the Inside Out. Macromolecules 2017, 50, 935–943. [Google Scholar] [CrossRef]
- Gu, F.; Zhang, L.; Teply, B.A.; Mann, N.; Wang, A.; Radovic-Moreno, A.F.; Langer, R.; Farokhzad, O.C. Precise engineering of targeted nanoparticles by using self-assembled biointegrated block copolymers. Proc. Natl. Acad. Sci. USA 2008, 105, 2586–2591. [Google Scholar] [CrossRef] [PubMed]
- Deshmukh, A.S.; Chauhan, P.N.; Noolvi, M.N.; Chaturvedi, K.; Ganguly, K.; Shukla, S.S.; Nadagouda, M.N.; Aminabhavi, T.M. Polymeric micelles: Basic research to clinical practice. Int. J. Pharm. 2017, 532, 249–268. [Google Scholar] [CrossRef] [PubMed]
- Panyam, J.; Labhasetwar, V. Biodegradable nanoparticles for drug and gene delivery to cells and tissue. Adv. Drug Deliv. Rev. 2003, 55, 329–347. [Google Scholar] [CrossRef]
- Chen, G.; Roy, I.; Yang, C.; Prasad, P.N. Nanochemistry and Nanomedicine for Nanoparticle-based Diagnostics and Therapy. Chem. Rev. 2016, 116, 2826–2885. [Google Scholar] [CrossRef]
- Beauté, L.; McClenaghan, N.; Lecommandoux, S. Photo-triggered polymer nanomedicines: From molecular mechanisms to therapeutic applications. Adv. Drug Deliv. Rev. 2019, 138, 148–166. [Google Scholar] [CrossRef]
- Wang, D.; Wang, X. Amphiphilic azo polymers: Molecular engineering, self-assembly and photoresponsive properties. Prog. Polym. Sci. 2013, 38, 271–301. [Google Scholar] [CrossRef]
- Cheong, W.F.; Prahl, S.A.; Welch, A.J. A review of the optical properties of biological tissues. IEEE J. Quantum Electron. 1990, 26, 2166–2185. [Google Scholar] [CrossRef]
- Dong, M.; Babalhavaeji, A.; Samanta, S.; Beharry, A.A.; Woolley, G.A. Red-Shifting Azobenzene Photoswitches for in Vivo Use. Acc. Chem. Res. 2015, 48, 2662–2670. [Google Scholar] [CrossRef] [PubMed]
- Yang, Y.; Hughes, R.P.; Aprahamian, I. Visible Light Switching of a BF2-Coordinated Azo Compound. J. Am. Chem. Soc. 2012, 134, 15221–15224. [Google Scholar] [CrossRef] [PubMed]
- Yang, Y.; Hughes, R.P.; Aprahamian, I. Near-Infrared Light Activated Azo-BF2 Switches. J. Am. Chem. Soc. 2014, 136, 13190–13193. [Google Scholar] [CrossRef] [PubMed]
- Izquierdo-Serra, M.; Gascón-Moya, M.; Hirtz, J.J.; Pittolo, S.; Poskanzer, K.E.; Ferrer, È.; Alibés, R.; Busqué, F.; Yuste, R.; Hernando, J.; et al. Two-Photon Neuronal and Astrocytic Stimulation with Azobenzene-Based Photoswitches. J. Am. Chem. Soc. 2014, 136, 8693–8701. [Google Scholar] [CrossRef]
- Samanta, S.; Beharry, A.A.; Sadovski, O.; McCormick, T.M.; Babalhavaeji, A.; Tropepe, V.; Woolley, G.A. Photoswitching Azo Compounds in Vivo with Red Light. J. Am. Chem. Soc. 2013, 135, 9777–9784. [Google Scholar] [CrossRef]
- Dong, M.; Babalhavaeji, A.; Hansen, M.J.; Kálmán, L.; Woolley, G.A. Red, far-red, and near infrared photoswitches based on azonium ions. Chem. Commun. 2015, 51, 12981–12984. [Google Scholar] [CrossRef]
- Wang, G.; Yuan, D.; Yuan, T.; Dong, J.; Feng, N.; Han, G. A visible light responsive azobenzene-functionalized polymer: Synthesis, self-assembly, and photoresponsive properties. J. Polym. Sci. Part A Polym. Chem. 2015, 53, 2768–2775. [Google Scholar] [CrossRef]
- Blasco, E.; del Barrio, J.; Sánchez-Somolinos, C.; Piñol, M.; Oriol, L. Light induced molecular release from vesicles based on amphiphilic linear-dendritic block copolymers. Polym. Chem. 2013, 4, 2246–2254. [Google Scholar] [CrossRef]
- Blasco, E.; Serrano, J.L.; Piñol, M.; Oriol, L. Light Responsive Vesicles Based on Linear-Dendritic Block Copolymers Using Azobenzene-Aliphatic Codendrons. Macromolecules 2013, 46, 5951–5960. [Google Scholar] [CrossRef]
- del Barrio, J.; Oriol, L.; Sánchez, C.; Serrano, J.L.; Di Cicco, A.; Keller, P.; Li, M.-H. Self-Assembly of Linear−Dendritic Diblock Copolymers: From Nanofibers to Polymersomes. J. Am. Chem. Soc. 2010, 132, 3762–3769. [Google Scholar] [CrossRef] [PubMed]
- Roche, A.; García-Juan, H.; Royes, J.; Oriol, L.; Piñol, M.; Audia, B.; Pagliusi, P.; Provenzano, C.; Cipparrone, G. Tuning the Thermal Properties of Azopolymers Synthesized by Post-Functionalization of Poly(propargyl Methacrylate) with Azobenzene Azides: Influence on the Generation of Linear and Circular Birefringences. Macromol. Chem. Phys. 2018, 219, 1800318. [Google Scholar] [CrossRef]
- Becker, G.; Wurm, F.R. Functional biodegradable polymers via ring-opening polymerization of monomers without protective groups. Chem. Soc. Rev. 2018, 47, 7739–7782. [Google Scholar] [CrossRef] [PubMed]
- García-Gallego, S.; Nyström, A.M.; Malkoch, M. Chemistry of multifunctional polymers based on bis-MPA and their cutting-edge applications. Prog. Polym. Sci. 2015, 48, 85–110. [Google Scholar] [CrossRef]
- Nicolas, J.; Mura, S.; Brambilla, D.; Mackiewicz, N.; Couvreur, P. Design, functionalization strategies and biomedical applications of targeted biodegradable/biocompatible polymer-based nanocarriers for drug delivery. Chem. Soc. Rev. 2013, 42, 1147–1235. [Google Scholar] [CrossRef]
- Lu, C.; Shi, Q.; Chen, X.; Lu, T.; Xie, Z.; Hu, X.; Ma, J.; Jing, X. Sugars-grafted aliphatic biodegradable poly(L-lactide-co-carbonate)s by click reaction and their specific interaction with lectin molecules. J. Polym. Sci. Part A Polym. Chem. 2007, 45, 3204–3217. [Google Scholar] [CrossRef]
- Pratt, R.C.; Lohmeijer, B.G.G.; Long, D.A.; Lundberg, P.N.P.; Dove, A.P.; Li, H.; Wade, C.G.; Waymouth, R.M.; Hedrick, J.L. Exploration, Optimization, and Application of Supramolecular Thiourea-Amine Catalysts for the Synthesis of Lactide (Co)polymers. Macromolecules 2006, 39, 7863–7871. [Google Scholar] [CrossRef]
- Tempelaar, S.; Barker, I.A.; Truong, V.X.; Hall, D.J.; Mespouille, L.; Dubois, P.; Dove, A.P. Organocatalytic synthesis and post-polymerization functionalization of propargyl-functional poly(carbonate)s. Polym. Chem. 2013, 4, 174–183. [Google Scholar] [CrossRef]
- Qiao, Y.; Yang, C.; Coady, D.J.; Ong, Z.Y.; Hedrick, J.L.; Yang, Y.Y. Highly dynamic biodegradable micelles capable of lysing Gram-positive and Gram-negative bacterial membrane. Biomaterials 2012, 33, 1146–1153. [Google Scholar] [CrossRef]
- do Carmo Rufino, T.; Felisberti, M.I. Confined PEO crystallisation in immiscible PEO/PLLA blends. RSC Adv. 2016, 6, 30937–30950. [Google Scholar] [CrossRef]
- Chen, W.; Meng, F.; Cheng, R.; Zhong, Z. pH-Sensitive degradable polymersomes for triggered release of anticancer drugs: A comparative study with micelles. J. Control. Release 2010, 142, 40–46. [Google Scholar] [CrossRef] [PubMed]
- Owen, S.C.; Chan, D.P.Y.; Shoichet, M.S. Polymeric micelle stability. Nano Today 2012, 7, 53–65. [Google Scholar] [CrossRef]
- Blasco, E.; Schmidt, B.V.K.J.; Barner-Kowollik, C.; Piñol, M.; Oriol, L. Dual thermo- and photo-responsive micelles based on miktoarm star polymers. Polym. Chem. 2013, 4, 4506–4514. [Google Scholar] [CrossRef]
- Tejedor, R.M.; Serrano, J.-L.; Oriol, L. Photocontrol of supramolecular architecture in azopolymers: Achiral and chiral aggregation. Eur. Polym. J. 2009, 45, 2564–2571. [Google Scholar] [CrossRef]
- del Barrio, J.; Tejedor, R.M.; Chinelatto, L.S.; Sánchez, C.; Piñol, M.; Oriol, L. Photocontrol of the Supramolecular Chirality Imposed by Stereocenters in Liquid Crystalline Azodendrimers. Chem. Mater. 2010, 22, 1714–1723. [Google Scholar] [CrossRef]
- Tai, H.T.; Lin, Y.C.; Ma, J.Y.; Lo, C.T. Hydrogen Bonding-Induced Assembled Structures and Photoresponsive Behavior of Azobenzene Molecule/Polyethylene Glycol Complexes. Polymers 2019, 11, 1360. [Google Scholar] [CrossRef]
- Menzel, H.; Weichart, B.; Schmidt, A.; Paul, S.; Knoll, W.; Stumpe, J.; Fischer, T. Small-Angle X-ray Scattering and Ultraviolet-Visible Spectroscopy Studies on the Structure and Structural Changes in Langmuir-Blodgett Films of Polyglutamates with Azobenzene Moieties Tethered by Alkyl Spacers of Different Length. Langmuir 1994, 10, 1926–1933. [Google Scholar] [CrossRef]
- Beharry, A.A.; Sadovski, O.; Woolley, G.A. Azobenzene Photoswitching without Ultraviolet Light. J. Am. Chem. Soc. 2011, 133, 19684–19687. [Google Scholar] [CrossRef]
- Li, X.; Fang, L.; Hou, L.; Zhu, L.; Zhang, Y.; Zhang, B.; Zhang, H. Photoresponsive side-chain liquid crystalline polymers with amide group-substituted azobenzene mesogens: Effects of hydrogen bonding, flexible spacers, and terminal tails. Soft Matter 2012, 8, 5532–5542. [Google Scholar] [CrossRef]
- Wang, G.; Wang, X. A novel hyperbranched polyester functionalized with azo chromophore: Synthesis and photoresponsive properties. Polym. Bull. 2002, 49, 1–8. [Google Scholar] [CrossRef]
- Concellón, A.; Blasco, E.; Martínez-Felipe, A.; Martínez, J.C.; Šics, I.; Ezquerra, T.A.; Nogales, A.; Piñol, M.; Oriol, L. Light-Responsive Self-Assembled Materials by Supramolecular Post-Functionalization via Hydrogen Bonding of Amphiphilic Block Copolymers. Macromolecules 2016, 49, 7825–7836. [Google Scholar] [CrossRef]










| Polymer | Hydrophobic/hydrophylic (wt %) 1 | TGA (°C) 2 | Tg (°C) 3 | Tm (°C) [ΔHm (J g−1)] 4 | TM-I (°C) [ΔHM-I (J g−1)] 5 |
|---|---|---|---|---|---|
| PEG45-b-PCAzo18 | 84/16 | 195 | 31 | 63 [12.9] | 73 [4.5] |
| PEG113-b-PCAzo23 | 73/27 | 258 | - | 45 [17.5], 61 [-] 6 | 73 [10.6] 6 |
| PEG45-b-PCAzoOMe18 | 85/15 | 185 | 39 | - | - |
| PEG113-b-PCAzoOMe23 | 75/25 | 226 | 19 | - | - |
© 2019 by the authors. Licensee MDPI, Basel, Switzerland. This article is an open access article distributed under the terms and conditions of the Creative Commons Attribution (CC BY) license (http://creativecommons.org/licenses/by/4.0/).
Share and Cite
Roche, A.; Oriol, L.; Tejedor, R.M.; Piñol, M. Polymeric Self-Assemblies Based on tetra-ortho-Substituted Azobenzene as Visible Light Responsive Nanocarriers. Polymers 2019, 11, 2060. https://doi.org/10.3390/polym11122060
Roche A, Oriol L, Tejedor RM, Piñol M. Polymeric Self-Assemblies Based on tetra-ortho-Substituted Azobenzene as Visible Light Responsive Nanocarriers. Polymers. 2019; 11(12):2060. https://doi.org/10.3390/polym11122060
Chicago/Turabian StyleRoche, Alejandro, Luis Oriol, Rosa M. Tejedor, and Milagros Piñol. 2019. "Polymeric Self-Assemblies Based on tetra-ortho-Substituted Azobenzene as Visible Light Responsive Nanocarriers" Polymers 11, no. 12: 2060. https://doi.org/10.3390/polym11122060
APA StyleRoche, A., Oriol, L., Tejedor, R. M., & Piñol, M. (2019). Polymeric Self-Assemblies Based on tetra-ortho-Substituted Azobenzene as Visible Light Responsive Nanocarriers. Polymers, 11(12), 2060. https://doi.org/10.3390/polym11122060

