Bridgman Growth of New Nonlinear Optical Crystal (La1 − xSmx)3Ga5.5Nb0.5O14 for Quasi-Parametric Chirped Pulse Amplification
Abstract
:1. Introduction
2. Materials and Methods
3. Results and Discussion
3.1. Crystal Growth and Characterization
3.2. Spectral Properties
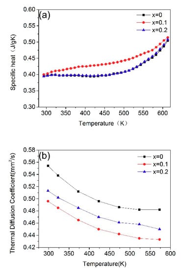
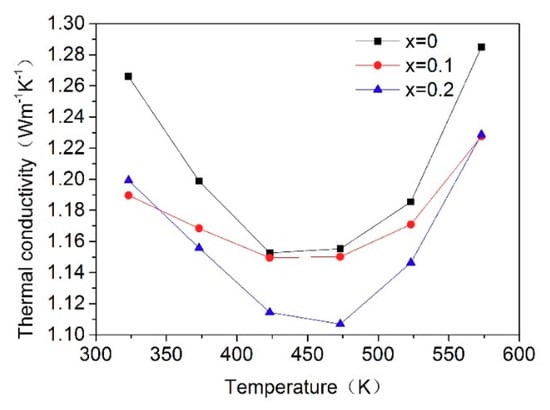
3.3. Thermal Properties
4. Conclusions
Author Contributions
Funding
Conflicts of Interest
References
- Strickland, D.; Mourou, G. Compression of amplified chirped optical pulses. Opt. Commun. 1985, 55, 447–449. [Google Scholar] [CrossRef]
- Chu, Y.; Gan, Z.; Liang, X.; Yu, L.; Lu, X.; Wang, C.; Leng, Y. High-energy large-aperture Ti:sapphire amplifier for 5 PW laser pulses. Opt. Lett. 2015, 40, 5011. [Google Scholar] [CrossRef] [PubMed]
- Sung, J.H.; Lee, H.W.; Yoo, J.Y.; Yoon, J.Y.; Lee, C.W.; Yang, J.M.; Son, J.Y.; Jang, J.H.; Lee, K.S.; Nam, C.H. 42 PW, 20 fs Ti:sapphire laser at 01 Hz. Opt. Lett. 2017, 42, 2058. [Google Scholar] [CrossRef] [PubMed]
- Vaupel, A.; Bodnar, N.; Webb, B.; Shah, L.; Richardson, M.C. Concepts, performance review, and prospects of table-top, few-cycle optical parametric chirped-pulse amplification. Opt. Eng. 2013, 53, 051507. [Google Scholar] [CrossRef]
- Dubietis, A.; Jonušauskas, G.; Piskarskas, A. Powerful femtosecond pulse generation by chirped and stretched pulse parametric amplification in BBO crystal. Opt. Commun. 1992, 88, 437–440. [Google Scholar] [CrossRef]
- Mori, Y.; Nakajima, S.; Taguchi, A.; Miyamoto, A.; Inagaki, M.; Sasaki, T.; Nakai, S. New nonlinear optical crystal CsLiB6O10 for laser fusion. Aip Conf. Proc. 1996, 396, 998–1003. [Google Scholar] [CrossRef]
- Liao, Z.M.; Jovanovic, I.; Ebbers, C.A.; Fei, Y.; Chai, B. Energy and average power scalable optical parametric chirped-pulse amplification in yttrium calcium oxyborate. Opt. Lett. 2006, 31, 1277–1279. [Google Scholar] [CrossRef] [PubMed]
- Ma, J.; Wang, J.; Yuan, P.; Xie, G.; Xiong, K.; Tu, Y.; Qian, L. Quasi-parametric amplification of chirped pulses based on a Sm3+-doped yttrium calcium oxyborate crystal. Optica 2015, 2, 1006. [Google Scholar] [CrossRef]
- Ma, J.; Wang, J.; Zhou, B.; Yuan, P.; Xie, G.; Xiong, K.; Qian, L. Broadband, efficient, and robust quasi-parametric chirped-pulse amplification. Opt. Express 2017, 25, 25149. [Google Scholar] [CrossRef] [PubMed]
- Fei, Y.; Chai, B.H.; Ebbers, C.A.; Liao, Z.M.; Schaffers, K.I.; Thelin, P. Large-aperture YCOB crystal growth for frequency conversion in the high average power laser system. J. Cryst. Growth 2006, 290, 301–306. [Google Scholar] [CrossRef]
- Tu, X.; Zheng, Y.; Xiong, K.; Shi, Y.; Shi, E. Crystal growth and characterization of 4in. YCa4O(BO3)3 crystal. J. Cryst. Growth 2014, 401, 160–163. [Google Scholar] [CrossRef]
- Boursier, E.; Segonds, P.; Boulanger, B.; Félix, C.; Debray, J.; Jegouso, D.; Shoji, I. Phase-matching directions, refined Sellmeier equations, and second-order nonlinear coefficient of the infrared Langatate crystal La3Ga5.5Ta0.5O14. Opt. Lett. 2014, 39, 4033–4036. [Google Scholar] [CrossRef] [PubMed]
- Kaczmarek, S.M.; Leniec, G.; Berkowski, M.; Kazan, S.; Açıkgöz, M. Magnetic properties of La3Ga5.5Ta0.5O14 single crystals doped with Sm3+. J. Alloys Compd. 2016, 687, 696–700. [Google Scholar] [CrossRef]
- Komar, J.; Lisiecki, R.; Ryba-Romanowski, W.; Berkowski, M. Spectroscopic characterization of Sm3+ in La3Ga5.5Ta0.5O14 single crystals. J. Alloys Compd. 2014, 610, 50–54. [Google Scholar] [CrossRef]
- Lu, D.; Xu, T.; Yu, H.; Fu, Q.; Zhang, H.; Segonds, P.; Wang, J. Acentric langanite La3Ga5.5Nb0.5O14 crystal: A new nonlinear crystal for the generation of mid-infrared parametric light. Opt. Express 2016, 24, 17603. [Google Scholar] [CrossRef] [PubMed]
- Ma, J.; Wang, J.; Hu, D.; Yuan, P.; Xie, G.; Zhu, H.; Qian, L. Theoretical investigations of broadband mid-infrared optical parametric amplification based on a La3Ga5.5Nb0.5O14 crystal. Opt. Express 2016, 24, 23957–23968. [Google Scholar] [CrossRef] [PubMed]
- Kaminskii, A.A.; Mill, B.V.; Khodzhabagyan, G.G.; Konstantinova, A.F.; Okorochkov, A.I.; Silvestrova, I.M. Investigation of trigonal (La1 − xNdx)3Ga5SiO14 crystals. I. Growth and optical Properties. Phys. Status Solidi A 1983, 80, 387–398. [Google Scholar] [CrossRef]
- Bohm, J.; Heimann, R.B.; Hengst, M.; Roewer, R.; Schindler, J. Czochralski growth and characterization of piezoelectric single crystals with langasite structure: La3Ga5SiO14 (LGS), La3Ga5.5Nb0.5O14 (LGN), and La3Ga5.5Ta0.5O14 (LGT): Part I. J. Cryst. Growth 1999, 204, 128–136. [Google Scholar] [CrossRef]
- Wang, S.Q.; Uda, S. Phase relations around langasite (La3Ga5SiO14) in the system La2O3–Ga2O3–SiO2 in air. J. Cryst. Growth 2003, 250, 463–470. [Google Scholar] [CrossRef]
- Uda, S.; Inaba, H.; Harada, J.; Hoshikawa, K. Growth of langasite via Bridgman technique along [0111] [20] and [011] for piezoelectric applications. J. Cryst. Growth 2004, 271, 229–237. [Google Scholar] [CrossRef]
- Zhou, J.; Xu, J.; Hua, W.; Fan, S. Bridgman growth of new piezoelectric single crystal Sr3Ga2Ge4O14. Mater. Sci. Eng. B 2004, 106, 213–217. [Google Scholar] [CrossRef]
- Wu, A. Bridgman growth of langasite-type piezoelectric crystals. Cryst. Res. Technol. 2007, 42, 862–866. [Google Scholar] [CrossRef]








| Element | Bottom | Middle | Top | Solution (Theoretical) |
|---|---|---|---|---|
| Sm/wt% | 0.83 | 2.38 | 3.47 | 4.20 |
| Sm/at% (calculated) | 1.40 | 3.84 | 5.65 | 10.00 |
| Element | Bottom (wt%) | Middle (wt%) | Top (wt%) |
|---|---|---|---|
| La | 40.55 | 40.12 | 39.49 |
| Ga | 31.09 | 33.29 | 32.87 |
| Nb | 1.26 | 5.29 | 5.32 |
| Ta | 6.42 | 0.47 | 0.46 |
| Sm | 0.83 | 2.38 | 3.47 |
© 2019 by the authors. Licensee MDPI, Basel, Switzerland. This article is an open access article distributed under the terms and conditions of the Creative Commons Attribution (CC BY) license (http://creativecommons.org/licenses/by/4.0/).
Share and Cite
Yin, L.; Wang, S.; Xiong, K.; Tu, X.; Xu, J.; Zheng, Y.; Shi, E. Bridgman Growth of New Nonlinear Optical Crystal (La1 − xSmx)3Ga5.5Nb0.5O14 for Quasi-Parametric Chirped Pulse Amplification. Crystals 2019, 9, 587. https://doi.org/10.3390/cryst9110587
Yin L, Wang S, Xiong K, Tu X, Xu J, Zheng Y, Shi E. Bridgman Growth of New Nonlinear Optical Crystal (La1 − xSmx)3Ga5.5Nb0.5O14 for Quasi-Parametric Chirped Pulse Amplification. Crystals. 2019; 9(11):587. https://doi.org/10.3390/cryst9110587
Chicago/Turabian StyleYin, Libin, Sheng Wang, Kainan Xiong, Xiaoniu Tu, Jiayue Xu, Yanqing Zheng, and Erwei Shi. 2019. "Bridgman Growth of New Nonlinear Optical Crystal (La1 − xSmx)3Ga5.5Nb0.5O14 for Quasi-Parametric Chirped Pulse Amplification" Crystals 9, no. 11: 587. https://doi.org/10.3390/cryst9110587
APA StyleYin, L., Wang, S., Xiong, K., Tu, X., Xu, J., Zheng, Y., & Shi, E. (2019). Bridgman Growth of New Nonlinear Optical Crystal (La1 − xSmx)3Ga5.5Nb0.5O14 for Quasi-Parametric Chirped Pulse Amplification. Crystals, 9(11), 587. https://doi.org/10.3390/cryst9110587

