Next Article in Journal
Recent Advances in Tantalum Carbide MXenes: Synthesis, Structure, Properties, and Novel Applications
Next Article in Special Issue
Investigating the Influence of Cerium Doping on the Structural, Optical, and Electrical Properties of ZnCexCo2xO4 Zinc Cobaltite Thin Films
Previous Article in Journal
Current Trends and Emerging Strategies in Friction Stir Spot Welding for Lightweight Structures: Innovations in Tool Design, Robotics, and Composite Reinforcement—A Review
 
 
Font Type:
Arial Georgia Verdana
Font Size:
Aa Aa Aa
Line Spacing:
Column Width:
Background:
Article

Magnetotransport Measurements in Overdoped Mn:Bi2Te3 Thin Films

by
Angadjit Singh
1,2,†,
Varun S. Kamboj
2,3,*,†,
Crispin H. W. Barnes
2 and
Thorsten Hesjedal
1,*
1
Clarendon Laboratory, Department of Physics, University of Oxford, Oxford OX1 3PU, UK
2
Cavendish Laboratory, Department of Physics, Cambridge CB3 0HE, UK
3
Department of Material Science and Engineering, Massachusetts Institute of Technology, Cambridge, MA 01239, USA
*
Authors to whom correspondence should be addressed.
These authors contributed equally to this work.
Crystals 2025, 15(6), 557; https://doi.org/10.3390/cryst15060557
Submission received: 19 May 2025 / Revised: 5 June 2025 / Accepted: 7 June 2025 / Published: 11 June 2025
(This article belongs to the Special Issue Advances in Thin-Film Materials and Their Applications)

Abstract

Introducing magnetic dopants into topological insulators (TIs) provides a pathway to realizing novel quantum phenomena, including the quantum anomalous Hall effect (QAHE) and axionic states. One of the most commonly used 3 d transition metal dopants is Mn, despite its known tendency to be highly mobile and to cause phase segregation. In this study, we present a detailed magnetotransport investigation of Mn-overdoped Bi2Te3 thin films using field-effect transistor architectures. Building on our previous structural investigations of these samples, we examine how high Mn content influences their electronic transport properties. From our earlier studies, we know that high Mn doping concentrations lead to the formation of secondary phases, which significantly alter weak antilocalization behavior and suppress topological surface transport. To probe the gate response of these doped films over extended areas, we fabricate field-effect transistor structures, and we observe uniform electrostatic control of conduction across the magnetic phase. Inspired by recent developments in intrinsic topological systems such as the MnTe-Bi2Te3 septuple-layer compounds, we explore the influence of embedded ferromagnetic chalcogenide inclusions as an alternative route to engineer magnetic topological states and potentially expand the operational temperature range of QAHE-enabled devices.

1. Introduction

Semiconductor devices rely on the controlled flow of electrical charges to transport, store, and process information, forming the backbone of the microelectronics industry. In a typical field-effect transistor (FET), the capacitor plates can be charged or discharged to switch the semiconductor channel between ON and OFF states [1]. In practice, charge transport is limited by scattering from static defects and phonons, leading to dissipative conduction and increased power consumption. Consequently, significant effort has been devoted to growing high-quality crystals with reduced native defect densities. In parallel, the use of electron spin, arising from the intrinsic magnetic moment of the electron, to control charge flow has fueled rapid progress in spintronics [2]. Spin-based approaches promise several advantages over conventional charge-based electronics, including low-power operation and long spin coherence times, which exceed typical charge carrier lifetimes limited by defect backscattering [3].
Topological insulators (TIs) have emerged as a new class of quantum materials with exciting potential for spintronic applications [4]. In TIs, strong spin–orbit coupling and time-reversal symmetry protection lead to spin-momentum locking of surface states, which are robust against non-magnetic scattering. These gapless topological surface states coexist with an insulating bulk, resulting from the nontrivial topology of the band structure [5]. TIs can be viewed as a three-dimensional generalization of the spin Hall effect or as two copies of the Haldane model [5]. The presence of strong spin–orbit coupling in TIs and their heterostructures enables the emergence of spin textures via magnetic proximity when TIs are interfaced with ferromagnets or antiferromagnets [6].
To harness the full potential of TIs in device applications, including transistor-like structures, it is essential to understand and control surface-state transport. This has been challenging, especially in magnetically doped TIs, due to parasitic bulk conductivity. In binary chalcogenides such as Bi2Se3 and Bi2Te3 (typically n-type) as well as Sb2Te3 (p-type), the origin of bulk conduction is well documented [7,8]. Native defects, such as vacancies, introduce doping that shifts the chemical potential toward the conduction band [9,10,11], while surface oxidation in ambient conditions can induce additional surface charge [12,13]. As a result, bulk contributions often dominate transport, masking the response of topological surface states. Efforts to mitigate bulk conductivity include counter-doping [14,15] and alloying different TI systems [16,17], but these often result in low carrier mobilities, suppressing quantum oscillations in the longitudinal resistivity that serve as a hallmark of coherent surface transport [18].
A promising alternative strategy is to break time-reversal symmetry by introducing magnetic dopants into TI films [19]. This results in long-range magnetic order, either ferromagnetic or antiferromagnetic, combined with strong spin–orbit coupling, giving rise to a new class of topological materials characterized by a nonzero Chern number, C. This so-called quantum anomalous Hall (QAH) phase hosts dissipationless chiral edge states that are topologically protected and immune to disorder. The QAH effect manifests as a quantized Hall conductance in the absence of an external magnetic field [20]. The compound MnBi2Te4 (MBT) is an intrinsically antiferromagnetic TI composed of alternating septuple layers of Mn and Bi2Te3 [21,22,23,24,25,26,27]. Ferromagnetic ordering within each Mn-containing layer is coupled antiferromagnetically between layers, creating an ideal platform for studying time-reversal symmetry breaking in topological systems. It has been demonstrated that topological surface states can coexist with a sizable magnetic gap in MBT, enabling access to the QAHE [28,29] and other exotic quantum phases [22], such as axion insulators [30] and Majorana fermions [31]. These developments have renewed interest in Mn-doped Bi2Te3 as a tunable magnetic TI system. While uniform Mn doping can in principle induce magnetic order, it often results in the formation of secondary phases or structural inhomogeneities at higher concentrations [32,33,34]. The impact of such inclusions on electronic transport remains an open and relevant question, particularly given the reported correlations between Mn concentration, magnetic phase formation, and transport anomalies [32,34]. Field-effect architectures provide a practical and scalable platform to probe these effects under electrostatic gating across extended regions of the film.
In this work, we present a gated transport study of Mn-doped Bi2Te3 thin films, focusing on the influence of magnetic inclusions and secondary phases on the electronic transport properties. Our key motivation was to deliberately overdope Bi2Te3 with Mn to promote the formation of secondary magnetic phases, such as MnTe, and to study their impact on topological surface conduction. Our previous structural studies on Mn:Bi2Te3 films have demonstrated the emergence of Mn-rich inclusions and secondary phases at high doping levels [35]. These magnetic inclusions could behave analogously to the MnTe layers in MnBi2Te4, potentially extending the operational temperature range through a local interplay between magnetic order and topological surface states. Motivated by the critical role of MnTe in stabilizing long-range magnetism in MBT, we investigate via electronic transport whether similar effects arise from Mn-rich regions embedded within the Bi2Te3 matrix. By exploring high Mn concentrations (up to 10 atomic % (at%)) and evaluating their impact on transport behavior from 300 K down to 10 K, we assess the thermal stability and tuning range of magnetic topological features in this system. To probe the electronic response across large device areas, we fabricated gated FET structures using Mn-doped Bi2Te3 channels. These allow us to access the gate-dependent conduction behavior and extract key parameters such as mobility and carrier type. The observed gate response suggests that local magnetic inclusions, such as 2D β -MnTe, an antiferromagnetic insulator, may influence the transport in a manner reminiscent of intrinsic septuple-layer systems. In addition to field-effect measurements, we assess the anomalous Hall effect and magnetoresistance across the same films, providing further insight into how secondary magnetic phases modify the combined topological and magnetic response of heavily doped Mn:Bi2Te3 thin films.

2. Materials and Methods

Sample preparation and thin film analysis: Mn-doped Bi2Te3 thin films were grown on epi-ready c-plane sapphire (Al2O3 (0001)) substrates using molecular beam epitaxy (MBE). The process was carried out under Te-rich conditions to suppress Te vacancies and Bi–Te antisite defects. A Bi2Te3 buffer layer was deposited at 200 °C, followed by Mn-doped layers grown at 250 °C using high-purity Bi, Te, and Mn (6N) in standard effusion cells. Previous studies have shown that Mn concentrations above 6 at% lead to significant changes in atomic structure and local chemistry [35]. For this study, we prepared films with 10 at% Mn doping, i.e., well above the solubility limit, as well as undoped Bi2Te3 reference samples. The growth rate, monitored via beam flux measurements, was limited by Bi at approximately 0.4 nm/min.
X-ray diffraction results reported in Ref. [35] confirmed that the overdoped Mn:Bi2Te3 films retained a c-axis-oriented rhombohedral structure without detectable secondary phases in the average crystal structure. However, high-resolution scanning transmission electron microscopy (STEM) revealed that the film contained nanoscopic regions of disrupted contrast consistent with local chemical inhomogeneity. Electron energy-loss spectroscopy (EELS) mapping showed that Mn was distributed non-uniformly across the film, with local enrichment in certain regions. Within these Mn-rich domains, substitution on both Bi and Te lattice sites was observed, along with evidence of Mn occupation at interstitial positions in the van der Waals gap. Extended X-ray absorption fine structure (EXAFS) measurements supported a heterogeneous local environment for Mn, with coordination distances consistent with both Mn–Te bonding and increased structural disorder. Density functional theory (DFT) calculations indicated that Mn incorporation at both substitutional and octahedral interstitial sites in the overdoped regime is energetically favorable and promotes ferromagnetic alignment. More details of our structural study that is the foundation for this electronic transport work is available in Ref. [35].
Device fabrication: The films were patterned into Hall bar structures measuring 1000 μ m × 100 μ m using standard optical lithography and Ar+ ion milling. The mesas had a typical aspect ratio (L/W) of 5.25. Ohmic contacts were deposited via thermal evaporation of Ti/Au (20 nm/80 nm), followed by lift-off. Samples were mounted in a leadless chip carrier (LCC) and connected via Au wire bonding. The LCC was inserted into a cryogenic sample holder (Oxford Instruments) with a base temperature of 1.9 K.
Electrical characterization: All magnetotransport measurements were performed in a cryogenic probe station with a base temperature of 1.9 K using a four-terminal lock-in technique (Stanford SR830) at 77 Hz and an excitation current of 100 nA. The magnetic field was applied normal to the sample plane ( B     z ). The areal capacitance C 0 was determined from impedance measurements of a planar Au/Cytop/Au structure, applying a 50 mV AC signal across frequencies ranging from 100 Hz to 10 MHz. The low-frequency limit was used to extract C 0 for mobility calculations.
For each temperature point, the longitudinal resistance R x x was extracted from the slope of the I d s ( V d s ) curve in the low-bias linear regime (typically within ±50 mV). This approach assumes quasi-ohmic behavior over small source–drain voltages, even in the presence of non-linear features at larger biases. In the Mn-doped devices, particularly at low temperatures, the non-linearity became more pronounced, but the local linear regime near zero bias remained a valid approximation for extracting resistance. The uncertainty introduced by this procedure was estimated by comparing fits over multiple voltage windows, and we found that it remained within ±10% in the most non-linear cases. This level of variation does not alter the qualitative temperature dependence of R x x ( T ) .
Field-effect transistor fabrication and measurements: FET devices were fabricated by first depositing Au source and drain electrodes onto the Bi2Te3 and Mn-doped Bi2Te3 thin films. A Cytop dielectric layer (thickness ∼500 nm) was then applied by spin coating, followed by the deposition of the source–drain Au electrodes obtained using thermal evaporation. Temperature-dependent current–voltage (IV) characteristics were measured using a Keysight B1500A parameter analyzer in combination with a Lakeshore probe station.

3. Results and Discussion

Magnetotransport measurements were carried out on a 60 QL Bi2Te3 film by patterning the film into a Hall bar geometry (QL stands for “quintuple layer”). A mesa with an aspect ratio of 5.25 (length to width) was patterned using standard photolithography and etched using argon ion milling.
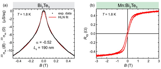
Figure 1a shows the weak antilocalization (WAL) behavior of a Bi2Te3 thin film, with a sharp drop in conductivity as the out-of-plane magnetic field B increases, a characteristic signature of topological insulators due to strong spin–orbit coupling (SOC). In undoped Bi2Te3, SOC leads to destructive interference between time-reversed electron paths, resulting in a quantum correction to the conductivity. This manifests as a sharp cusp in the magnetoconductance at zero magnetic field. The observed WAL behavior reflects the Dirac nature of the topological surface states and indicates strong spin-momentum locking, which suppresses electron backscattering [4]. Furthermore, the WAL effect in Bi2Te3 is strongly temperature-dependent, with the cusp flattening at elevated temperatures due to reduced phase coherence length. The WAL response of carriers in TIs can be described using the Hikami–Larkin–Nagaoka (HLN) model, which typically yields an α value near 0.5 , corresponding to one or two topological surface channels in thinner films [36]. These observations confirm the influence of topologically protected surface states on the transport properties of Bi2Te3.
Quantum interference effects in 2D systems, such as weak antilocalization, can be captured by the HLN framework, which yields a field-dependent correction of conductivity [36]:
Δ σ x x 2 D = σ x x 2 D ( B ) σ x x 2 D ( 0 ) = α e 2 2 π 2 ln 4 e B L φ 2 Ψ 1 2 + 4 e B L φ 2 .
In this expression, Δ σ x x 2 D denotes the change in 2D sheet conductivity, B represents the out-of-plane magnetic field, e is the elementary charge, is the reduced Planck constant, and Ψ refers to the digamma function. The parameter α quantifies the number of contributing topological surface channels, while L φ corresponds to the phase coherence length.
By fitting the WAL data to the HLN model, we extract values of α = 0.5 and L φ = 0.19 μ m. Early transport studies in TIs showed that strong spin–orbit interaction gives rise to WAL with α = 0.5 , while weak spin–orbit scattering leads to weak localization (WL) characterized by positive α . Subsequent investigations revealed that α depends on sample thickness and can vary between 0.5 and 1 , depending on bulk conductivity modulation via electrostatic gating [37], consistent with results from multiple groups [38,39,40,41,42,43].
An α value of 0.5 indicates that weak antilocalization is primarily influenced by the top surface, with the bottom surface playing a comparatively small role. This could result from a reduced phase coherence length L φ at the bottom interface, possibly due to defect-induced scattering at the TI–substrate interface [44,45].
The Hall resistance in the Mn-doped Bi2Te3 film, shown in Figure 1b, increases monotonically as the magnetic field is swept in either direction, before reaching a plateau at approximately 1 T. The relatively small value of the saturated Hall resistance suggests a non-negligible bulk carrier contribution to the overall transport. The relatively small slope of the Hall resistance, together with its weak temperature dependence, is consistent with significant bulk conduction. We note, however, that a 2D surface channel, particularly one subjected to ferromagnetic ordering, can also produce a non-linear, hysteretic R x y ( B ) response. Therefore, while the Hall signal may reflect a magnetically active surface channel, the low overall Hall slope and lack of gate tunability suggest that bulk carriers dominate the longitudinal transport response under our measurement conditions. Despite other contributions to transport, the presence of WAL characterized by α = 0.5 remains an indication of topological surface conduction in these samples. Despite the hysteresis observed in R x y ( B ) , the corresponding R x x ( B ) remains flat across the full field range, showing no signature of butterfly-shaped magnetoresistance. This implies that magnetic ordering has minimal influence on longitudinal transport under our measurement conditions, possibly due to bulk-dominated conduction or weak coupling between magnetic inclusions and the transport path. In prior work, we performed a comprehensive structural analysis of highly Mn-doped Bi2Te3 using a combination of experimental and theoretical approaches, including DFT, XANES, EXAFS, and HAADF-STEM [35]. We found that Mn atoms occupy both substitutional sites within the Bi2Te3 QLs and interstitial positions within the van der Waals gaps. At lower Mn concentrations (e.g., 2.5 at%), the dopants are primarily substitutional, preserving the high crystallinity and structural integrity of the films. In contrast, higher concentrations (e.g., ≥6%) lead to Mn segregation into secondary phases, accompanied by a deterioration of the crystal structure. Our DFT calculations show that Mn preferentially occupies substitutional Bi sites and interstitial octahedral positions in the van der Waals gaps—both of which favor ferromagnetic ordering. Consequently, Mn incorporation introduces ferromagnetic behavior into Bi2Te3. However, as the Mn content increases, disorder and clustering at interstitial sites reduce the effectiveness of magnetic coupling, potentially leading to spatially non-uniform magnetic properties. These structural and magnetic complexities underscore the importance of investigating transport behavior at high doping levels, especially over macroscopic device areas and under electrostatic gating, where magnetic inhomogeneities may be averaged out or modulated.
To probe the gate-dependent response of topological carriers in highly magnetically doped topological insulators over a wide spatial region, we fabricated FET devices using Mn-doped Bi2Te3 and undoped Bi2Te3 as active channel materials. Most prior studies on TIs have focused on transport measurements in idealized configurations, such as Hall bar geometries [46], which offer limited insight into how these materials behave in device-relevant architectures. Our study addresses this gap and is particularly relevant for the development of voltage- or current-tunable semiconductor devices, which could have a long-term technological impact on TI-based micro- and nanoelectronic logic circuits. A typical FET consists of source and drain electrodes for charge injection, a semiconducting channel layer, an insulating dielectric layer, and a gate electrode, as shown schematically in Figure 3c. Fundamentally, a FET operates by modulating the carrier concentration in their channel through capacitive coupling induced by an applied gate voltage. Upon application of a gate voltage, the electric field at the dielectric–semiconductor interface modulates the energy band structure of the active semiconductor layer. Under gate bias, the band structure of the channel bends in a way that favors the buildup of majority charge carriers, thereby activating conduction in the so-called accumulation (ON) regime. Conversely, in the absence of gate bias, the minority carriers result in the OFF state of operation. FET performance is typically quantified by two parameters: the field-effect mobility, μ FET , which characterizes carrier transport efficiency, and the ON/OFF current ratio, which defines the gate modulation range.
Fabricating transistors from topological insulator materials, rather than conventional semiconductors such as Si or Ge, offers several potential advantages. In particular, topologically protected surface state transport can yield high carrier mobilities, low power dissipation, and minimal leakage currents. Furthermore, using a magnetically doped TI as the active layer in FETs adds another degree of freedom, i.e., magnetic control of the spin-polarized conduction channel. This opens the possibility of tuning topologically protected chiral edge transport via external gating or magnetic perturbation. Motivated by these considerations, we fabricated FET devices using both Bi2Te3 and Mn-doped Bi2Te3 as the semiconducting channel. Details of the fabrication process are provided in the Section 2. We performed temperature-dependent current–voltage (IV) measurements on both device types, recording the channel response between the source and drain electrodes over a temperature range from 300 K to 10 K [Figure 2a–c]. For FETs based on both Bi2Te3 and Mn-doped Bi2Te3, the IV curves show a linear response above ∼30 K, indicating good ohmic contact at the metal-semiconductor interface. However, for Mn-doped Bi2Te3, a noticeable sub-linear trend emerges at lower temperatures, consistent with a suppression of conduction due to gap opening. From the linear fits to the IV data, we extracted the temperature-dependent longitudinal resistance R x x [Figure 2c]. For Bi2Te3, R x x increases with decreasing temperature down to about 60 K, indicating the progressive freeze-out of bulk carriers. Below 60 K, a transition to metallic behavior is observed, consistent with the onset of dominant surface state conduction. At higher temperatures, transport is thermally activated, reflecting the contribution of bulk carriers. Note that the I d s ( V d s ) characteristics of the Mn-doped Bi2Te3 device exhibit a visible change in curvature between 60 K and 40 K [Figure 2b], indicating increased non-linearity in this intermediate temperature range. This is not prominently reflected in the temperature-dependent resistance plot [Figure 2c], as the overall resistance continues to increase monotonically. We attribute this behavior to a crossover from thermally activated transport to a more strongly localized conduction regime. While this temperature range may also coincide with the onset of short-range magnetic correlations, our magnetotransport measurements do not reveal definitive signatures of ferromagnetic ordering such as hysteresis or saturation in the Hall response. In contrast, the Mn-doped Bi2Te3 device exhibits insulating behavior across the entire temperature range from 300 to 10 K. This suggests the presence of a finite bandgap induced by Mn doping, which suppresses both bulk and surface conduction at low temperature.
Subsequently, we recorded the transfer characteristics of the FETs across a temperature range from 300 K down to 10 K [Figure 3a–d]. Both Bi2Te3 and Mn-doped Bi2Te3 devices exhibited a clear gate-dependent modulation of the channel current, consistent with dominant n-type conduction [Figure 3a,b]. Since field-effect operation is particularly sensitive to the surface layers of the conducting channel in proximity to the gate dielectric, the presence of metallic surface states in Bi2Te3 limits the gate tunability of the device. As a result, we observe relatively low ON/OFF current ratios ranging from 8 to 30.
For a transistor, the source–drain current dependence on gate voltage is described by the standard expression for the saturation regime:
I ds = μ FET W C 0 2 L V g V th 2 ,
where I ds is the source–drain current, μ FET is the field-effect mobility, W is the channel width, C 0 is the capacitance per unit area of the dielectric layer, L is the channel length, V g is the gate voltage, and V th is the threshold voltage. To extract the mobility, the variation of I ds with respect to V g was plotted, and the slope from a linear regression fit was used to determine μ FET as a function of temperature [Figure 3c]. The temperature dependence of the sheet carrier density (n) for undoped Bi2Te3 and Mn:Bi2Te3 thin films shown in Figure 3d is extracted using gate capacitance-based analysis from transfer characteristics at each temperature point. To determine the capacitance per unit area, C 0 , we measure a planar Au/Cytop/Au structure with an impedance analyzer, applying a 50 mV AC signal across a frequency sweep from 100 Hz to 10 MHz. The value of C 0 is extracted from the measured capacitance at 100 Hz. Figure 3c shows the resulting μ FET ( T ) for both Bi2Te3 and Mn-doped Bi2Te3, highlighting the temperature-dependent transport properties of each material.
We observe that the mobility increases in magnitude as the temperature decreases for both devices. Notably, for the Bi2Te3 FET, the mobility exhibits a gradual decline above 50 K, followed by a sharp increase below this temperature. This behavior indicates a transition to a conduction regime dominated by topologically protected metallic surface states. The rapid rise in μ FET below 50 K is consistent with the observed drop in longitudinal resistance R x x shown in Figure 2c, further supporting the emergence of coherent surface transport. In contrast, the Mn-doped Bi2Te3 FET displays thermally activated carrier conduction across a finite surface gap, with a relatively modest change in μ FET down to ∼10 K [Figure 3c]. The temperature dependence of the sheet carrier density n for undoped Bi2Te3 [Figure 3d] exhibits a value on the order of ∼ 10 11 cm−2, increasing modestly with temperature. In contrast, Mn:Bi2Te3 shows a consistently higher carrier density, reaching above 5 × 10 11 cm−2, indicating that Mn doping introduces additional carriers or modifies the electronic structure. The sharp increase in R x x at low temperatures [Figure 2c] can be attributed to a reduction in carrier density due to thermal activation, suggesting the presence of a Mn-induced gap in the surface states. From these results, we conclude that FET structures offer a powerful platform not only to probe but also to control surface state conduction in TIs via electrostatic gating. This approach is scalable and adaptable for potential applications in mid-infrared and terahertz optoelectronic devices.

4. Conclusions

In summary, we have demonstrated magnetotransport measurements on highly Mn-doped Bi2Te3 thin films, using field-effect transistor structures to probe carrier response over a wide temperature range (300 K to 10 K). Electrostatic gate control enables detailed access to the evolution of conduction in the presence of secondary magnetic phases. Our results suggest that electronic transport in Mn-overdoped Bi2Te3 is strongly influenced by local magnetic inclusions and inhomogeneities, as previously established structurally, which suppress weak antilocalization and induce insulating behavior consistent with surface bandgap formation. By deliberately exceeding the Mn solubility limit, we investigate an alternative pathway for tuning magnetic topological behavior, inspired by intrinsic septuple-layer systems such as MnTe–Bi2Te3. It is likely that further lowering the temperature would reveal topological transport in our samples, as the QAHE is generally expected to be observable below 50 mK [47]. Our results point to the potential of incorporating local ferromagnetic inclusions as a viable means of enhancing the thermal stability of QAHE-related features. Furthermore, strategies such as gradient doping, where the Mn concentration decreases toward the surface, may help optimize the balance between magnetic order and topological surface conduction; such strategies merit further exploration.

Author Contributions

Conceptualization: A.S., V.S.K., C.H.W.B. and T.H.; methodology: A.S.; formal analysis: A.S. and T.H.; resources: C.H.W.B. and T.H.; data curation: A.S.; writing—original draft: A.S. and T.H.; writing—review and editing: T.H. and V.S.K.; visualization: A.S. and T.H.; supervision: C.H.W.B. and T.H.; project administration: T.H.; funding acquisition: C.H.W.B. and T.H. All authors have read and agreed to the published version of the manuscript.

Funding

A.S. and T.H. gratefully acknowledge financial support from the Leverhulme Trust under grant RPG-2020-358. Portions of this work were carried out using instrumentation provided through the John Fell Oxford University Press Research Fund.

Data Availability Statement

The data that support the findings of this study are included within the article.

Conflicts of Interest

The authors declare no conflicts of interest.

References

  1. Sze, S.M.; Ng, K.K. Physics of Semiconductor Devices, 3rd ed.; Wiley: Hoboken, NJ, USA, 2006. [Google Scholar]
  2. Žutić, I.; Fabian, J.; Das Sarma, S. Spintronics: Fundamentals and applications. Rev. Mod. Phys. 2004, 76, 323–410. [Google Scholar] [CrossRef]
  3. Wolf, S.A.; Awschalom, D.D.; Buhrman, R.A.; Daughton, J.M.; von Molnar, S.; Roukes, M.L.; Chtchelkanova, A.Y.; Treger, D.M. Spintronics: A Spin-Based Electronics Vision for the Future. Science 2001, 294, 1488–1495. [Google Scholar] [CrossRef] [PubMed]
  4. Hasan, M.Z.; Kane, C.L. Colloquium: Topological insulators. Rev. Mod. Phys. 2010, 82, 3045–3067. [Google Scholar] [CrossRef]
  5. Qi, X.L.; Zhang, S.C. Topological insulators and superconductors. Rev. Mod. Phys. 2011, 83, 1057–1110. [Google Scholar] [CrossRef]
  6. Tokura, Y.; Yasuda, K.; Tsukazaki, A. Magnetic topological insulators. Nat. Rev. Phys. 2019, 1, 126–143. [Google Scholar] [CrossRef]
  7. Analytis, J.G.; Chu, J.H.; Chen, Y.; Corredor, F.; McDonald, R.D.; Shen, Z.X.; Fisher, I.R. Bulk Fermi surface coexistence with Dirac surface state in Bi2Se3: A comparison of photoemission and Shubnikov–de Haas measurements. Phys. Rev. B 2010, 81, 205407. [Google Scholar] [CrossRef]
  8. Netsou, A.M.; Muzychenko, D.A.; Dausy, H.; Chen, T.; Song, F.; Schouteden, K.; van Bael, M.J.; van Haesendonck, C. Identifying Native Point Defects in the Topological Insulator Bi2Te3. ACS Nano 2020, 14, 13172–13179. [Google Scholar] [CrossRef]
  9. Xia, Y.; Qian, D.; Hsieh, D.; Wray, L.; Pal, A.; Lin, H.; Bansil, A.; Grauer, D.; Hor, Y.S.; Cava, R.J.; et al. Observation of a large-gap topological-insulator class with a single Dirac cone on the surface. Nat. Phys. 2009, 5, 398–402. [Google Scholar] [CrossRef]
  10. Hyde, G.R.; Beale, H.A.; Spain, I.L.; Woollam, J.A. Electronic properties of Bi2Se3 crystals. J. Phys. Chem. Sol. 1974, 35, 1719–1728. [Google Scholar] [CrossRef]
  11. Wang, G.; Zhu, X.G.; Sun, Y.Y.; Li, Y.Y.; Zhang, T.; Wen, J.; Chen, X.; He, K.; Wang, L.L.; Ma, X.C.; et al. Topological Insulator Thin Films of Bi2Te3 with Controlled Electronic Structure. Adv. Mater. 2011, 23, 2929–2932. [Google Scholar] [CrossRef]
  12. Volykhov, A.; Sanchez-Barriga, J.; Sirotina, A.; Neudachina, V.; Frolov, A.; Gerber, E.; Kataev, E.; Senkovskiy, B.; Khmelevsky, N.; Aksenenko, A.; et al. Rapid Surface Oxidation of Sb2Te3 as Indication for a Universal Trend in the Chemical Reactivity of Tetradymite Topological Insulators. Chem. Mater. 2016, 28, 8916–8923. [Google Scholar] [CrossRef]
  13. Figueroa, A.I.; van der Laan, G.; Harrison, S.E.; Cibin, G.; Hesjedal, T. Oxidation Effects in Rare Earth Doped Topological Insulator Thin Films. Sci. Rep. 2016, 6, 22935. [Google Scholar] [CrossRef]
  14. Checkelsky, J.G.; Hor, Y.S.; Liu, M.H.; Qu, D.X.; Cava, R.J.; Ong, N.P. Quantum Interference in Macroscopic Crystals of Nonmetallic Bi2Se3. Phys. Rev. Lett. 2009, 103, 246601. [Google Scholar] [CrossRef]
  15. Hong, S.S.; Cha, J.J.; Kong, D.; Cui, Y. Ultra-low carrier concentration and surface-dominant transport in antimony-doped Bi2Se3 topological insulator nanoribbons. Nat. Commun. 2012, 3, 757. [Google Scholar] [CrossRef]
  16. Kong, D.; Chen, Y.; Cha, J.J.; Zhang, Q.; Analytis, J.G.; Lai, K.; Liu, Z.; Hong, S.S.; Koski, K.J.; Mo, S.K.; et al. Ambipolar field effect in the ternary topological insulator (BixSb1−x)2Te3 by composition tuning. Nat. Nanotechnol. 2011, 6, 705–709. [Google Scholar] [CrossRef]
  17. Wang, Z.; Qiu, R.L.J.; Lee, C.H.; Zhang, Z.; Gao, X.P.A. Ambipolar Surface Conduction in Ternary Topological Insulator Bi2(Te1−xSex)3 Nanoribbons. ACS Nano 2013, 7, 2126–2131. [Google Scholar] [CrossRef][Green Version]
  18. Qu, D.X.; Hor, Y.S.; Xiong, J.; Cava, R.J.; Ong, N.P. Quantum Oscillations and Hall Anomaly of Surface States in the Topological Insulator Bi2Te3. Science 2010, 329, 821–824. [Google Scholar] [CrossRef]
  19. Liu, J.; Hesjedal, T. Magnetic Topological Insulator Heterostructures: A Review. Adv. Mater. 2023, 35, 2102427. [Google Scholar] [CrossRef]
  20. Chang, C.Z.; Zhang, J.; Feng, X.; Shen, J.; Zhang, Z.; Guo, M.; Li, K.; Ou, Y.; Wei, P.; Wang, L.L.; et al. Experimental Observation of the Quantum Anomalous Hall Effect in a Magnetic Topological Insulator. Science 2013, 340, 167–170. [Google Scholar] [CrossRef]
  21. Zhang, D.; Shi, M.; Zhu, T.; Xing, D.; Zhang, H.; Wang, J. Topological Axion States in the Magnetic Insulator MnBi2Te4 with the Quantized Magnetoelectric Effect. Phys. Rev. Lett. 2019, 122, 206401. [Google Scholar] [CrossRef]
  22. Otrokov, M.M.; Klimovskikh, I.I.; Bentmann, H.; Estyunin, D.; Zeugner, A.; Aliev, Z.S.; Gaß, S.; Wolter, A.U.B.; Koroleva, A.V.; Shikin, A.M.; et al. Prediction and observation of an antiferromagnetic topological insulator. Nature 2019, 576, 416–422. [Google Scholar] [CrossRef] [PubMed]
  23. Li, J.; Li, Y.; Du, S.; Wang, Z.; Gu, B.L.; Zhang, S.C.; He, K.; Duan, W.; Xu, Y. Intrinsic magnetic topological insulators in van der Waals layered MnBi2Te4-family materials. Sci. Adv. 2019, 5, eaaw5685. [Google Scholar] [CrossRef] [PubMed]
  24. Li, S.; Liu, T.; Liu, C.; Wang, Y.; Lu, H.Z.; Xie, X.C. Progress on the antiferromagnetic topological insulator MnBi2Te4. Natl. Sci. Rev. 2023, 11, nwac296. [Google Scholar] [CrossRef] [PubMed]
  25. Lei, C.; MacDonald, A.H. Kerr, Faraday, and magnetoelectric effects in MnBi2Te4 thin films. Phys. Rev. B 2023, 108, 125424. [Google Scholar] [CrossRef]
  26. Li, Q.; Mo, S.K.; Edmonds, M.T. Recent progress of MnBi2Te4 epitaxial thin films as a platform for realising the quantum anomalous Hall effect. Nanoscale 2024, 16, 14247–14260. [Google Scholar] [CrossRef]
  27. Vyazovskaya, A.Y.; Bosnar, M.; Chulkov, E.V.; Otrokov, M.M. Intrinsic magnetic topological insulators of the MnBi2Te4 family. Commun. Mater. 2025, 6, 88. [Google Scholar] [CrossRef]
  28. Bai, Y.; Li, Y.; Luan, J.; Liu, R.; Song, W.; Chen, Y.; Ji, P.F.; Zhang, Q.; Meng, F.; Tong, B.; et al. Quantized anomalous Hall resistivity achieved in molecular beam epitaxy-grown MnBi2Te4 thin films. Natl. Sci. Rev. 2023, 11, nwad189. [Google Scholar] [CrossRef]
  29. Shi, Y.; Bai, Y.; Li, Y.; Feng, Y.; Li, Q.; Zhang, H.; Chen, Y.; Tong, Y.; Luan, J.; Liu, R.; et al. Correlation between magnetic domain structures and quantum anomalous Hall effect in epitaxial MnBi2Te4 thin films. Phys. Rev. Mater. 2024, 8, 124202. [Google Scholar] [CrossRef]
  30. Li, S.; Gong, M.; Cheng, S.; Jiang, H.; Xie, X.C. Dissipationless Layertronics in Axion Insulator MnBi2Te4. Natl. Sci. Rev. 2023, 11, nwad262. [Google Scholar] [CrossRef]
  31. Jansen, T.; Kochetkova, E.; Isaeva, A.; Brinkman, A.; Li, C. Josephson coupling across magnetic topological insulator MnBi2Te4. Commun. Mater. 2024, 5, 214. [Google Scholar] [CrossRef]
  32. Watson, M.D.; Collins-McIntyre, L.J.; Shelford, L.R.; Coldea, A.I.; Prabhakaran, D.; Speller, S.C.; Mousavi, T.; Grovenor, C.R.M.; Salman, Z.; Giblin, S.R.; et al. Study of the structural, electric and magnetic properties of Mn-doped Bi2Te3 single crystals. New J. Phys. 2013, 15, 103016. [Google Scholar] [CrossRef]
  33. Liu, C.; Wang, Y.; Li, H.; Wu, Y.; Li, Y.; Li, J.; He, K.; Xu, Y.; Zhang, J.; Wang, Y. Robust axion insulator and Chern insulator phases in a two-dimensional antiferromagnetic topological insulator. Nat. Mater. 2020, 19, 522–527. [Google Scholar] [CrossRef]
  34. Bibby, J.; Singh, A.; Heppell, E.; Bollard, J.; Achinuq, B.; Haigh, S.J.; van der Laan, G.; Hesjedal, T. Synthesis of Nanocrystalline Mn-Doped Bi2Te3 Thin Films via Magnetron Sputtering. Crystals 2025, 15, 54. [Google Scholar] [CrossRef]
  35. Ghasemi, A.; Kepaptsoglou, D.; Figueroa, A.I.; Naydenov, G.A.; Hasnip, P.J.; Probert, M.I.J.; Ramasse, Q.; van der Laan, G.; Hesjedal, T.; Lazarov, V.K. Experimental and density functional study of Mn doped Bi2Te3 topological insulator. APL Mater. 2016, 4, 126103. [Google Scholar] [CrossRef]
  36. Hikami, S.; Larkin, A.I.; Nagaoka, Y. Spin-Orbit Interaction and Magnetoresistance in the Two Dimensional Random System. Prog. Theor. Phys. 1980, 63, 707–710. [Google Scholar] [CrossRef]
  37. Steinberg, H.; Laloë, J.B.; Fatemi, V.; Moodera, J.S.; Jarillo-Herrero, P. Electrically tunable surface-to-bulk coherent coupling in topological insulator thin films. Phys. Rev. B 2011, 84, 233101. [Google Scholar] [CrossRef]
  38. Kim, Y.S.; Brahlek, M.; Bansal, N.; Edrey, E.; Kapilevich, G.A.; Iida, K.; Tanimura, M.; Horibe, Y.; Cheong, S.W.; Oh, S. Thickness-dependent bulk properties and weak antilocalization effect in topological insulator Bi2Se3. Phys. Rev. B 2011, 84, 073109. [Google Scholar] [CrossRef]
  39. Liu, M.; Chang, C.Z.; Zhang, Z.; Zhang, Y.; Ruan, W.; He, K.; Wang, L.l.; Chen, X.; Jia, J.F.; Zhang, S.C.; et al. Electron interaction-driven insulating ground state in Bi2Se3 topological insulators in the two-dimensional limit. Phys. Rev. B 2011, 83, 165440. [Google Scholar] [CrossRef]
  40. Chen, J.; Qin, H.J.; Yang, F.; Liu, J.; Guan, T.; Qu, F.M.; Zhang, G.H.; Shi, J.R.; Xie, X.C.; Yang, C.L.; et al. Gate-Voltage Control of Chemical Potential and Weak Antilocalization in Bi2Se3. Phys. Rev. Lett. 2010, 105, 176602. [Google Scholar] [CrossRef]
  41. Chen, J.; He, X.Y.; Wu, K.H.; Ji, Z.Q.; Lu, L.; Shi, J.R.; Smet, J.H.; Li, Y.Q. Tunable surface conductivity in Bi2Se3 revealed in diffusive electron transport. Phys. Rev. B 2011, 83, 241304. [Google Scholar] [CrossRef]
  42. Checkelsky, J.G.; Hor, Y.S.; Cava, R.J.; Ong, N.P. Bulk Band Gap and Surface State Conduction Observed in Voltage-Tuned Crystals of the Topological Insulator Bi2Se3. Phys. Rev. Lett. 2011, 106, 196801. [Google Scholar] [CrossRef] [PubMed]
  43. Wang, J.; DaSilva, A.M.; Chang, C.Z.; He, K.; Jain, J.K.; Samarth, N.; Ma, X.C.; Xue, Q.K.; Chan, M.H.W. Evidence for electron-electron interaction in topological insulator thin films. Phys. Rev. B 2011, 83, 245438. [Google Scholar] [CrossRef]
  44. He, H.T.; Wang, G.; Zhang, T.; Sou, I.K.; Wong, G.K.L.; Wang, J.N.; Lu, H.Z.; Shen, S.Q.; Zhang, F.C. Impurity Effect on Weak Antilocalization in the Topological Insulator Bi2Te3. Phys. Rev. Lett. 2011, 106, 166805. [Google Scholar] [CrossRef] [PubMed]
  45. Veldhorst, M.; Snelder, M.; Hoek, M.; Molenaar, C.G.; Leusink, D.P.; Golubov, A.A.; Hilgenkamp, H.; Brinkman, A. Magnetotransport and induced superconductivity in Bi based three-dimensional topological insulators. Phys. Status Solidi (RRL) 2013, 7, 26–38. [Google Scholar] [CrossRef]
  46. Kandala, A.; Richardella, A.; Rench, D.W.; Zhang, D.M.; Flanagan, T.C.; Samarth, N. Growth and characterization of hybrid insulating ferromagnet-topological insulator heterostructure devices. Appl. Phys. Lett. 2013, 103, 202409. [Google Scholar] [CrossRef]
  47. Chang, C.Z.; Zhao, W.; Kim, D.Y.; Zhang, H.; Assaf, B.A.; Heiman, D.; Zhang, S.C.; Liu, C.; Chan, M.H.W.; Moodera, J.S. High-precision realization of robust quantum anomalous Hall state in a hard ferromagnetic topological insulator. Nature Mater. 2015, 14, 473–477. [Google Scholar] [CrossRef]
Figure 1. Weak antilocalization and anomalous Hall effect. (a) Weak antilocalization behavior in an undoped Bi2Te3 thin film measured at 1.8 K, showing a sharp cusp at low field due to strong spin–orbit coupling. A fit to the HLN model yields α = 0.52 and a phase coherence length of 190 nm, consistent with a single dominant topological surface channel. (b) Anomalous Hall resistance R x y ( B ) for Mn:Bi2Te3 with 10 at% Mn doping, showing non-linear response and saturation near 1 T. The reduced Hall slope indicates a residual bulk carrier contribution.
Figure 1. Weak antilocalization and anomalous Hall effect. (a) Weak antilocalization behavior in an undoped Bi2Te3 thin film measured at 1.8 K, showing a sharp cusp at low field due to strong spin–orbit coupling. A fit to the HLN model yields α = 0.52 and a phase coherence length of 190 nm, consistent with a single dominant topological surface channel. (b) Anomalous Hall resistance R x y ( B ) for Mn:Bi2Te3 with 10 at% Mn doping, showing non-linear response and saturation near 1 T. The reduced Hall slope indicates a residual bulk carrier contribution.
Crystals 15 00557 g001
Figure 2. I–Vcharacteristics and temperature dependence of resistance. (a,b) Source–drain current–voltage ( I ds vs. V ds ) curves for Bi2Te3 and Mn-doped Bi2Te3 FETs, respectively, measured from 300 K to 10 K. Both devices exhibit linear response above 30 K, while Mn:Bi2Te3 shows increasing non-linearity at low temperature. (c) Temperature-dependent longitudinal resistance R x x ( T ) extracted from linear fits in (a,b). Bi2Te3 exhibits a crossover from thermally activated bulk conduction to surface metallicity below ∼60 K, while Mn-doped Bi2Te3 shows fully insulating behavior.
Figure 2. I–Vcharacteristics and temperature dependence of resistance. (a,b) Source–drain current–voltage ( I ds vs. V ds ) curves for Bi2Te3 and Mn-doped Bi2Te3 FETs, respectively, measured from 300 K to 10 K. Both devices exhibit linear response above 30 K, while Mn:Bi2Te3 shows increasing non-linearity at low temperature. (c) Temperature-dependent longitudinal resistance R x x ( T ) extracted from linear fits in (a,b). Bi2Te3 exhibits a crossover from thermally activated bulk conduction to surface metallicity below ∼60 K, while Mn-doped Bi2Te3 shows fully insulating behavior.
Crystals 15 00557 g002
Figure 3. Gate dependence and field-effect mobility. (a,b) Transfer characteristics ( I ds vs. V g ) of Bi2Te3 and Mn:Bi2Te3 FETs, respectively, recorded across a range of temperatures. Both devices display n-type gate modulation with modest ON/OFF ratios due to surface state contributions. (c) Field-effect mobility μ FET versus temperature. Bi2Te3 shows a sharp increase in μ FET below 50 K, consistent with topological surface conduction. In contrast, Mn:Bi2Te3 exhibits a weakly temperature-dependent μ FET , indicative of thermally activated transport across a surface gap. Inset: schematic of the FET architecture. (d) Temperature dependence of the sheet carrier density (n) for undoped (gray squares) and doped (green circles) thin films. The data were extracted using gate capacitance-based analysis from transfer characteristics at each temperature point.
Figure 3. Gate dependence and field-effect mobility. (a,b) Transfer characteristics ( I ds vs. V g ) of Bi2Te3 and Mn:Bi2Te3 FETs, respectively, recorded across a range of temperatures. Both devices display n-type gate modulation with modest ON/OFF ratios due to surface state contributions. (c) Field-effect mobility μ FET versus temperature. Bi2Te3 shows a sharp increase in μ FET below 50 K, consistent with topological surface conduction. In contrast, Mn:Bi2Te3 exhibits a weakly temperature-dependent μ FET , indicative of thermally activated transport across a surface gap. Inset: schematic of the FET architecture. (d) Temperature dependence of the sheet carrier density (n) for undoped (gray squares) and doped (green circles) thin films. The data were extracted using gate capacitance-based analysis from transfer characteristics at each temperature point.
Crystals 15 00557 g003
Disclaimer/Publisher’s Note: The statements, opinions and data contained in all publications are solely those of the individual author(s) and contributor(s) and not of MDPI and/or the editor(s). MDPI and/or the editor(s) disclaim responsibility for any injury to people or property resulting from any ideas, methods, instructions or products referred to in the content.

Share and Cite

MDPI and ACS Style

Singh, A.; Kamboj, V.S.; Barnes, C.H.W.; Hesjedal, T. Magnetotransport Measurements in Overdoped Mn:Bi2Te3 Thin Films. Crystals 2025, 15, 557. https://doi.org/10.3390/cryst15060557

AMA Style

Singh A, Kamboj VS, Barnes CHW, Hesjedal T. Magnetotransport Measurements in Overdoped Mn:Bi2Te3 Thin Films. Crystals. 2025; 15(6):557. https://doi.org/10.3390/cryst15060557

Chicago/Turabian Style

Singh, Angadjit, Varun S. Kamboj, Crispin H. W. Barnes, and Thorsten Hesjedal. 2025. "Magnetotransport Measurements in Overdoped Mn:Bi2Te3 Thin Films" Crystals 15, no. 6: 557. https://doi.org/10.3390/cryst15060557

APA Style

Singh, A., Kamboj, V. S., Barnes, C. H. W., & Hesjedal, T. (2025). Magnetotransport Measurements in Overdoped Mn:Bi2Te3 Thin Films. Crystals, 15(6), 557. https://doi.org/10.3390/cryst15060557

Note that from the first issue of 2016, this journal uses article numbers instead of page numbers. See further details here.

Article Metrics

Back to TopTop