Abstract
The thermoelectric properties of skinnerite Cu3SbS3 and wittichenite Cu3BiS3 prepared by mechanochemical synthesis in a planetary ball mill from elemental precursors were investigated for the first time. X-ray diffraction (XRD) analysis of skinnerite after heat treatment revealed not only the presence of monoclinic skinnerite phase but also the presence of tetrahedrite phases. XRD analysis of wittichenite after both heat treatment and spark plasma sintering (SPS) revealed the presence of only the prepared orthorhombic wittichenite, whereas, in the case of skinnerite, not only skinnerite but also tetrahedrite is present after SPS treatment. The thermal stability of mechanochemically synthesized Cu3SbS3 and Cu3BiS3 samples was investigated by thermal analysis, which confirmed that Cu3SbS3 is thermally stable up to 604 K and Cu3BiS3 up to 550 K, respectively. Thermoelectric (TE) potential was evaluated by measuring the Seebeck coefficient, electrical and thermal conductivity, and figure of merit ZT. The performed thermoelectric (TE) measurements revealed a figure of merit ZT of 0.69 and 0.09 at 575 K for pristine skinnerite and wittichenite, respectively, sintered by SPS. The combination of mechanosynthesis followed by SPS allows for the preparation of materials that display a promising thermoelectric response. This approach opens up new possibilities for enhancing the thermoelectric properties of materials, which could have significant implications for various applications, such as energy conversion and waste heat recovery. Further research in this area is necessary to fully explore and exploit the potential of these materials for thermoelectric applications.
1. Introduction
Copper-based ternary chalcogenides are promising semiconductor materials that have applications in the energy industry as photovoltaic materials, thermoelectric materials, as electrodes in batteries, etc. In recent years, considerable attention has been paid to copper-antimony sulfide (Cu-Sb-S) and copper-bismuth sulfide (Cu-Bi-S) ternary materials as alternative absorbers in solar cells due to their low toxicity, low cost, and Earth-abundant elements [1]. These ternary sulfides also have potential properties in thermoelectrics.
Skinnerite Cu3SbS3 semiconductor has a p-type conductivity, a direct optical bandgap of 1.4 eV, and a high absorption coefficient with a value up to 105 cm−1 [2]. Cu3SbS3 has four similar, well-defined temperature-dependent polymorphs. Below 263 K, it has an orthorhombic structure (space group P212121); in the range 263–395 K, it has a monoclinic structure (space group P21/c); above 395 K, it has an orthorhombic structure (space group Pnma) and a cubic thermodynamically unstable structure [3,4]. Cu3SbS3-based materials are well-applicable in photovoltaics [5], as photocatalysts [6], as well as thermoelectric materials [7].
The wittichenite Cu3BiS3 semiconductor has a p-type conductivity, a suitable direct bandgap between 1.4 and 1.5 eV, and a larger absorption coefficient (>104 cm−1). Cu3BiS3 has been suggested as a suitable absorber material for photovoltaics [8,9] and as a promising material in bio-imaging applications [10,11,12]. Moreover, Cu3BiS3 has shown potential thermoelectric properties [13].
Cu3SbS3 and Cu3BiS3 semiconductors with different potential properties have been prepared by various techniques, such as reactive sputtering [7], thermal evaporation [14,15], solid-state synthesis [13,16], chemical bath deposition [6,17], co-electrodeposition [18], solvothermal synthesis [19,20,21], hydrothermal synthesis [22,23], wet chemical synthesis [24], hot injection [5,25], spray pyrolysis [26], microwave-assisted synthesis [27], colloidal synthesis [28], spin coating [29], thermal sulfurization [30], etc. Both Cu3SbS3 and Cu3BiS3 nanocrystalline semiconductors have already been prepared by mechanochemical synthesis by our research group [31,32]. The different techniques used for the preparation of Cu3SbS3 and Cu3BiS3 have some limitations (high temperatures, toxic solvents, or multi-step processing), but mechanochemical synthesis is one of the promising methods that removes these limitations.
The applied mechanochemical method is an unconventional method that is considered a cost and time-efficient method for the production of various materials, including organic and inorganic materials [33,34]. Mechanochemistry has recently been listed as one of the ten innovations that will change our world [35] and is guided by the twelve principles of green chemistry [36]. Using high-energy milling devices, it offers the possibility of preparing nanocrystalline materials in a single step, without the use of solvents, toxic precursors, and unwanted by-products, in an environmentally friendly manner without external heating or pressure [37].
In previous studies, we have studied the kinetics of preparation of Cu3SbS3 and Cu3BiS3 nanocrystals by mechanochemical procedures, characterization of their structural, microstructural, morphological, and surface properties, as well as their potential optical and optoelectric properties in more detail. Therefore, in this study, we already deal with their thermal stability and mainly with their potential thermoelectric properties.
2. Materials and Methods
Cu3SbS3 nanocrystals were prepared from the elemental precursors, namely, 2.33 g of copper (99.7%, Merck, Germany), 1.49 g of antimony (99.5%, Merck, Germany), and 1.18 g of sulphur (99%, Ites, Slovakia) in a Cu:Sb:S stoichiometric ratio 3:1:3 by high-energy ball milling in a planetary ball mill (Pulverisette 6, Fritsch, Idar-Oberstein, Germany). The milling was carried out using a tungsten carbide milling chamber (250 mL in volume) filled with 50 tungsten carbide milling balls (10 mm in diameter) at 550 rpm, in an argon atmosphere (>99.998%, Linde Gas group, Bratislava, Slovakia), for 30 min without break cooling due to the very short milling times. The milling chamber was not filled with Ar using a glow box; instead, Ar gas was purged for about 3 min into the chamber while air was being pushed out of it via the other vent. The mass of the milled mixture was 5 g. A ball-to-powder ratio of 72:1 was used.
Cu3BiS3 nanocrystals were also synthesized in a planetary ball mill Pulverisette 6 (Fritsch, Idar-Oberstein, Germany) from 1.92 g of copper (99.7%, Merck, Germany), 2.11 g of bismuth (99.5%, Aldrich, Germany), and 0.97 g of sulphur (99%, Ites, Slovakia) in a Cu:Bi:S stoichiometric ratio 3:1:3. The following milling conditions were used: 50 tungsten carbide milling balls with a diameter of 10 mm (360 g) in tungsten carbide milling chamber (250 mL in volume), the mass of the milled mixture was 5 g, the ball-to-powder ratio was 72:1, the rotation speed of the planet carrier was 550 rpm, it ocured in an argon atmosphere, and the milling time was 5 min. The milling chamber was not filled with Ar using a glow box; instead, Ar gas was purged for about 3 min into the chamber while air was being pushed out of it via the other vent.
XRD patterns were collected using a D8 Advance diffractometer (Bruker, Bremen, Germany) with the CuKα radiation in the Bragg–Brentano configuration. The generator was set up at 40 kV and 40 mA. The divergence and receiving slits were 0.3° and 0.1 mm, respectively. The XRD patterns were recorded in the range of 10–60° 2θ with a step of 0.03°. For phase identification, Diffracplus Eva and the ICDD PDF2 database were utilized [38].
The thermal behavior of samples was investigated by thermogravimetric/derivative thermogravimetric/differential thermal analysis (TG/DTG/DTA) using Netzsch STA 449 F3 Jupiter (Netzsch, Germany). A homogenized sample (100 mg) was placed into an Al2O3 crucible, and the reference crucible was empty. The sample was subjected to linear heating at 5 K/min under a dynamic argon atmosphere (Ar purity ≥ 99.999 vol%) with a constant flow (60 mL/min) in a temperature range from 299 K to 773 K.
Bulk samples for thermoelectric characterization were obtained by spark plasma sintering (SPS); the powder was placed into a graphite die (inner diameter 10 mm) and sintered into pellets about 5 mm thick at 723 K under 50 MPa with a heating rate of 323 K/min and holding time of 5 min in a spark plasma sintering (SPS) furnace model HP D10-SD (FCT Systeme GmbH, Frankenblick, Germany) in a vacuum.
For subsequent analysis, the pellets were cut into smaller pieces using a diamond wire saw. Both samples, skinnerite and wittichenite, possessed a higher than 90% theoretical density. The electrical resistivity ρ and Seebeck coefficient S were measured under nitrogen flow in a temperature range from 300 to 600 K employing the four-probe method with a custom-made instrument that was carefully calibrated [39]. Thermal conductivity κ was calculated from the formula κ = ρ·α·cp, where ρ is the sample density determined experimentally, and α and cp are diffusivity and specific heat, respectively. The first two properties were measured between 200 and 575 K with the Netzsch LFA 467 instrument utilizing Pyroceram 9606 as a standard for heat capacity. Density was determined from the sample’s dimensions and mass and was considered temperature-independent. The thermoelectric figure of merit was calculated as ZT = S2T/(ρκ), and its experimental uncertainty is estimated at about 17% [39].
3. Results and Discussion
3.1. Structural Characterization Before and After Thermal Treatment and After Spark Plasma Sintering (SPS)
The kinetics of mechanochemical synthesis of skinnerite Cu3SbS3 was studied in more detail in our previous paper [31]. The x-ray diffraction (XRD) pattern of the final product Cu3SbS3 prepared after 30 min in the laboratory planetary mill is shown in Figure 1a. Skinnerite phase crystallizes in the monoclinic crystal system with closely related cell parameters a = 7.81571 Å, b = 10.25204 Å, and c = 13.22924 Å, α = γ = 90° and β = 90.29278°, leading to an almost identical diffractogram. All the diffraction lines match well with the JCPDS card of monoclinic (P121/c) skinnerite (JCPDS-01-082-0851). The results are in accordance with the results published in the paper [40].
Figure 1.
XRD patterns of skinnerite Cu3SbS3 (a)—mechanochemically synthesized after 30 min of milling, (b)—after thermal treatment up to 773 K, and (c)—after spark plasma sintering at 723 K. The identified phases in (b,c) are marked as follows: monoclinic skinnerite—SM, tetrahedrite Cu12Sb4S13—T1, Cu14Sb4S13—T2, cubic skinnerite—SC, cubic tetrahedrite—Tc, orthorhombic skinnerite—SO. Miller indices labelled in (a) correspond to monoclinic skinnerite Cu3SbS3.
The XRD pattern of the solid residue of Cu3SbS3 after thermal analysis up to 773 K is displayed in Figure 1b, and significant changes in comparison with the as-milled one (Figure 1a) can be observed. Namely, the original monoclinic Cu3SbS3 was significantly decomposed into tetrahedrite phases Cu12Sb4S13 (JCPDS-00-066-0318) and Cu14Sb4S13 (JCPDS-00-042-0560) upon losing sulphur as per the following hypothetical equation:
xCu3SbS3 → yCu12Sb4S13 + zCu14Sb4S13 + wS
Sulfur loss from sulfides upon thermal treatment is a well-known fact. The room-temperature thermodynamically stable monoclinic skinnerite phase (P121/c) (JCPDS-01-082-0851), which is stable between 263 and 395 K with a different small distortion of the CuS3 trigonal plane compared to the low-temperature structure, was also present. However, in our case, the monoclinic to orthorhombic phase transition around 395 K was not confirmed, as was observed in the paper [16].
For comparison, the XRD analysis of Cu3SbS3 after SPS was also performed, and the pattern is shown in Figure 1c. The phase composition is different from both as-milled (Figure 1a) and thermally treated (Figure 1b) systems. This is logical since the system undergoes efficient phase transformations with increased temperature, and, during SPS, the temperature was lower (723 K) than for thermal treatment (773 K). Thus, an intermediate situation is observed. However, during SPS, pressure is also applied, and, thus, the observed phase change cannot be fully ascribed to the temperature effect. The present peaks in the sample after SPS are narrower, and the intensity of the peaks is higher. These results can be attributed to an increased size of the nanocrystals and stress release due to sintering. The peaks can be associated with the cubic skinnerite (Cu3SbS3) phase (ICSD-031113) and with the cubic tetrahedrite (Cu12Sb4S13) phase (ICSD-025707), which are also observed in skinnerite Cu3SbS3 after thermal analysis (Figure 1b). The Cu14Sb4S13 phase was not observed in this case. However, a few lower-intensity peaks corresponding to the orthorhombic skinnerite phase (ICSD-616615) were identified. As the skinnerite peaks are more intense than after thermal treatment (Figure 1b), this confirms that the decomposition has proceeded to a lesser extent after SPS. In general, SPS can lead to a significant change in the phase composition of the mechanochemically prepared products, as we also witnessed in our laboratory [41]; however, in our own research, we also had a situation in which no change occurred [42]. The SPS methodology can also be used as a synthetic method to yield similar compounds itself [43].
The kinetics of mechanochemical synthesis of wittichenite Cu3BiS3 was investigated in more detail in our previous paper [32]. The XRD pattern of the final product Cu3BiS3 prepared for 5 min in a laboratory planetary mill is shown in Figure 2a. All the diffraction lines match well with the JCPDS card of orthorhombic wittichenite (Cu3BiS3 JCPDS-00-043-1479), which differs significantly from the traditional cubic and hexagonal semiconductors. The crystalline structure is composed of distorted square pyramidal BiS5 units, where the edges are shared to form the continuous trigonal planar CuS3 units. The Bi atoms are five-coordinated, and the Cu atoms are three-coordinated with respect to the neighboring S atoms [8]. The orthorhombic wittichenite crystallized in the space group P212121 with the lattice parameters a = 7.723 Å, b = 10.395 Å, and c = 6.716 Å, α = β = γ = 90°. No diffraction peaks corresponding to other phases were detected in the XRD pattern.
Figure 2.
XRD patterns of wittichenite Cu3BiS3 (a)—mechanochemically synthesized after 5 min of milling, (b)—after thermal treatment up to 773 K, and (c)—after spark plasma sintering at 723 K. Miller indices labelled in (a) correspond to orthorhombic wittichenite Cu3BiS3. The identified phase, orthorhombic wittichenite in (b,c), is marked as W.
The XRD pattern of orthorhombic wittichenite after thermal treatment up to 773 K is displayed in Figure 2b, where all the diffraction peaks can be indexed to the orthorhombic (P212121) wittichenite structure [40]; thus, there seems to be no phase change, in contrast with skinnerite. The diffraction peaks became narrower, which points to higher crystallinity.
The XRD analysis of the wittichenite sample after SPS was also carried out. The diffraction peaks are narrow (Figure 2c). The results did not reveal any other phases apart from orthorhombic wittichenite crystallizing in the space group P212121. These results could be ascribed to enhanced crystallinity and stress release due to sintering, in contrast to the sample before SPS Figure 2a.
3.2. Thermoanalytical Measurements
The thermal stability of mechanochemically synthesized skinnerite Cu3SbS3 and wittichenite Cu3BiS3 was studied in more detail to confirm the stability of the prepared powders, which is very important during the annealing step in the production of the absorption layer.
The thermal analysis of skinnerite Cu3SbS3 has shown that it is thermally stable in argon up to 603.8 K (Figure 3). After this temperature, in the temperature range of 603.8–771.5 K, there are two different overlapping processes. These are connected with the sulfur loss as per the hypothetical equation forming the tetrahedrite phases. The first process should be attributed to the reaction with an endothermic effect at 633 K, being accompanied by 0.93% mass loss. It is connected and overlapping another process beginning at 713 K with a very small 0.51% mass loss. However, these small mass losses already lead to a significant phase change, as exemplified in Figure 1b.
Figure 3.
TG/DTG/DTA curves of Cu3SbS3 after 30 min of milling measured in argon with a heating rate of 5 K/min (TG curve—green line, DTG curve—red line, and DTA curve—blue line).
Figure 4 shows (TG/DTG/DTA) curves for mechanochemically synthesized wittichenite Cu3BiS3 measured in argon. As can be seen in Figure 4, Cu3BiS3 is completely thermally stable up to 550 K. In the temperature range of 550.6–620.1 K, only the mass loss of 0.49% occurred. Above this temperature range, a very small drop in mass (only 0.36%) with a small, broad, almost negligible DTA peak occurs. Above this temperature, a further decomposition process did not occur. In contrast to the Cu3SbS3 system, these mass losses did not result in a phase composition change as shown in the XRD pattern (Figure 1b). The overall mass loss in the case of the Cu3BiS3 system is also about 0.6% lower than that detected for the Cu3SbS3 one. The Cu3BiS3 sample prepared in this study is more thermally stable in contrast to Cu3BiS3 prepared by microwave-assisted solution route, where the transformation of Cu3BiS3 from the room-temperature P212121 polymorph to the high-temperature polymorph occurred between 373 and 395 K [44].
Figure 4.
TG/DTG/DTA curves of Cu3BiS3 after 5 min of milling measured in argon with a heating rate of 5 K/min (TG curve—green line, DTG curve—red line, and DTA curve—blue line).
Thermal analysis of both skinnerite Cu3SbS3 and wittichenite Cu3BiS3 confirmed that they are thermally stable up to 604 K and 550 K, respectively. However, in the case of Cu3BiS3, this small mass loss does not result in a phase change, and, from this viewpoint, it can be considered stable for the TE measurements in the desired range. In the case of the Cu3SbS3 system, a very small mass loss can be associated with the decomposition of small amounts of various species present on the surface of samples, which is in accordance with the zeta potential (ZP) measurements published in [31].
3.3. Thermoelectric Performance
It is known that the Cu-Sb-S and Cu-Bi-S systems belong to systems with moderate thermoelectric performance and exhibit a lower and nearly temperature-independent thermal conductivity. Namely, Cu3SbS3 has a low thermal conductivity because of its anharmonic lattice, which is caused by electrostatic repulsion between Sb 5s2 lone-pair electrons and neighboring atoms [45]. Similarly, Cu3BiS3 is a promising thermoelectric material due to intrinsically low values of thermal conductivity. Low thermal conductivity is as a result of anharmonicity due to the lone-pair electrons of Bi 6s2 that exist in Bi-containing ternary chalcogenides [46]. The studied samples were synthesized as pristine, so we cannot expect very good thermoelectric performance; this can be reached by doping. Recent studies showed that, ideally, doped samples can attain values of the thermoelectric figure of merit ZT between 0.2 and 0.8 at 623 K [47], where S is the Seebeck coefficient, ρ electrical resistivity, κ thermal conductivity, and T is the absolute temperature.
The skinnerite Cu3SbS3 powder was sintered to measure its TE properties, which are shown in Figure 5 as a function of temperature. The electrical properties show p-type semiconducting behavior with electrical resistivity decreasing with temperature. The Cu3SbS3 sample after sintering has a higher electrical resistivity of 2.7 × 10−4 Ω·m at room temperature, which drops to 2.5 × 10−5 Ω·m at 600 K (Figure 5a).
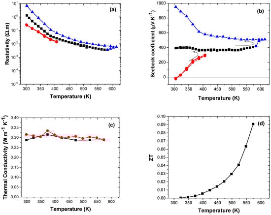
Figure 5.
Thermoelectric performance of skinnerite Cu3SbS3 as a function of temperature: (a) electrical resistivity, (b) Seebeck coefficient, (c) thermal conductivity, (d) figure of merit ZT. Using different colors, we discern warming (red circles) and cooling (black squares) runs, respectively. As temperature cycling between 300 and 400 K did not lead to any hysteresis and the data are reproducible, we do not discern this temperature region. The apparent anomaly at about 360 K, observed on resistivity (a) and thermopower (b), is probably caused by a minor change of the grain surface from the Cu3SbS3 phase to the tetrahedrite phase (see the text above). Thermal conductivity (Figure 5c) data measured on warming (red circles) and cooling (black squares), respectively, are more likely to be due to measurement inaccuracy than because of a change in chemical composition. The data for ZT (Figure 5d) are given only for the heating cycle; the cooling run is influenced by a small, probably surface decomposition.
In Figure 5b, the dependence of the Seebeck coefficient on the temperature is shown, and a lower value of the Seebeck coefficient, 160 µV·K−1, at 600 K was obtained. The Seebeck coefficient values are positive and indicate p-type conductivity. The positive Seebeck coefficient shows a weak temperature dependence. A Seebeck coefficient ranging from 165 to 220 µV·K−1 at room temperature was reported in [16]. Similar results were also stated in the paper [40].
The measured thermal conductivity of pristine Cu3SbS3 is shown in Figure 5c. The measured value of thermal conductivity was 0.45 W·m−1·K−1 at room temperature, which increased to 0.75 W·m−1·K−1 at 600 K. However, the thermal conductivity was lower than the value 0.78 W·m−1·K−1 reported by Lee et al. [40] and by Du et al. [16]. On the other hand, the measured absolute value was higher than the value of 0.2 W·m−1·K−1 at 600 K published by Wang et al. [43].
The maximum figure of merit value ZT reaches 0.69 at 575 K (Figure 5d). The value of the ZT of the mechanochemically synthesized Cu3SbS3 sample after sintering was significantly higher than the ZT of 0.01 at 623 K for orthorhombic Cu3SbS3 prepared by mechanical alloying and SPS in [45]. Moreover, the maximum ZT of cubic Cu3SbS3 reaches only 0.2 at 623 K [16,43], and the mechanical alloying-hot press-synthesized cubic Cu3SbS3 reaches 0.57 at 623 K [40,48].
The phase transformation of the monoclinic skinnerite to tetrahedrite most probably resulted in the improvement of the ZT.
Although the mechanochemically synthesized pristine skinnerite Cu3SbS3 is unstable during the SPS process, it is transformed into a mixture of phases with a decent TE performance, and, thus, has good application potential as a TE material.
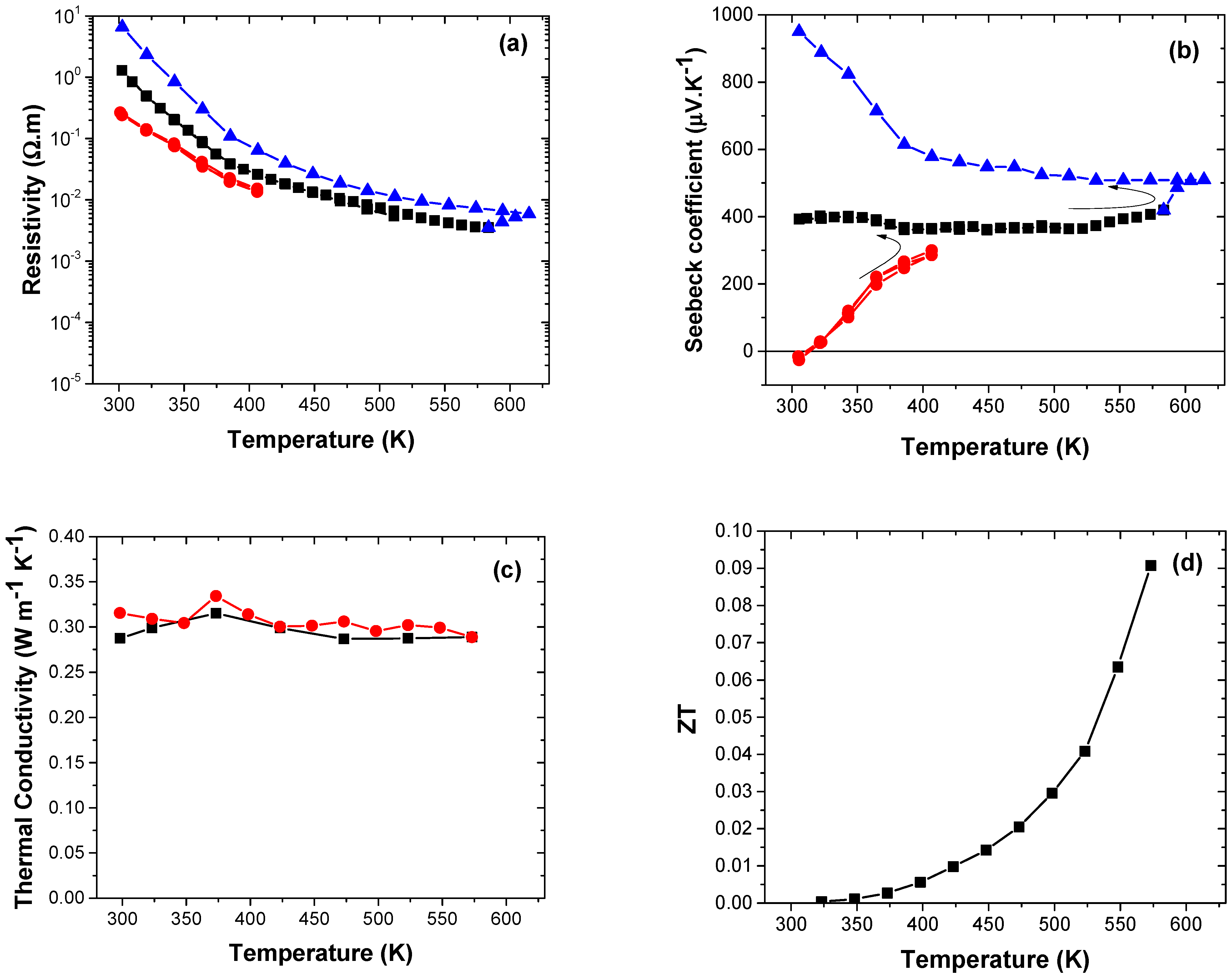
We also studied the thermoelectric properties of pristine wittichenite Cu3BiS3, i.e., without doping. The TE properties of the sintered powder were measured, and the results as a function of temperature are shown in Figure 6. Here, as presumed, considering the undoped phase, the electronic properties (Figure 6a,b) remained poor because of the intentionally low-doping character of pristine wittichenite associated with natural defects. Pristine Cu3BiS3 has a very high electrical resistivity of 6 Ω·m at room temperature, which drops to 0.006 Ω·m at 600 K (Figure 6b).
Figure 6.
Thermoelectric performance of wittichenite Cu3BiS3 as a function of temperature: (a) electrical resistivity, (b) Seebeck coefficient, (c) thermal conductivity, (d) figure of merit ZT. Different colors and symbols, explained in detail in the text, discern various domains of electrical conductivity obtained on the basis of temperature annealing. The calculated figure of merit (d) corroborates the stable domain characterized by weakly activated electrical resistivity and Seebeck effect of 400 µV·K−1.
The Seebeck coefficient, which reflects the character of native dopants (defects, impurities, etc.), increases due to heating from the originally compensated value close to zero at 300 K up to 509 µV·K−1 at 600 K, as depicted in Figure 6b. Here, for the sake of clarity, we distinguished the behavior between 300 and 400 K (red circles), not influenced by temperature cycling, characterized by somewhat lower resistivity and the presence of n- and p-type carriers with a temperature-induced dominance of holes. When the temperature was increased to 500 K and reduced to 300 K, reproducible behavior with hole-like conductivity was observed (black squares). Here, let us note that Wei et al. obtained a higher value of the Seebeck coefficient (540 µV·K−1 at room temperature) for synthesized Cu3BiS3; however, the sample was densified using hot pressing [13]. Finally, when the temperature was further increased to 600 K, even higher positive thermoelectric power was observed. This, together with increased resistivity, insinuates a lowering of the p-type carrier concentration. After cooling down to 300 K (blue triangles), the final value of the thermoelectric power of ~1000 μV·K−1 stipulates that the p-type charge carrier concentration is really very low, and the Cu3BiS3 was tuned towards its very pristine form.
The measured thermal conductivity is almost constant and reaches a minimum value of 0.28 W·m−1·K−1 at 575 K (Figure 6c). The temperature cycling (red circles—warming run, cooling run—black squares) did not exhibit any noticeable hysteresis. The value of thermal conductivity in our case was slightly higher than the value of 0.17 W·m−1·K−1 at 600 K reported by Wei et al. [13].
The figure of merit ZT of the Cu3BiS3 sample, calculated for the p-type phase with a thermoelectric power of close to 400 µV·K−1, reaches only 0.09 at 575 K (Figure 6d), which is obvious considering the pristine nature of the prepared phase. However, the achieved value of ZT is higher than those of the previously studied Cu3BiS3 synthesized via the high temperature route from elements [13], as well as of the Cu3BiS3 prepared via a microwave-assisted solution route using a deep eutectic solvent (DES) [44]. In principle, the synergy of low thermal conductivity and high Seebeck coefficient makes wittichenite Cu3BiS3 a promising material for thermoelectrics.
Generally, the lower thermal conductivity of mechanochemically synthesized or mechanically activated samples has a positive impact on increasing ZT in contrast to non-milled samples, as was observed in other systems reported in the papers [49,50].
4. Conclusions
In this work, the promising thermoelectric properties of the mechanochemically synthesized ternary chalcogenide skinnerite Cu3SbS3 and wittichenite Cu3BiS3 nanocrystals by high-energy milling in a planetary mill are reported. In particular, new temperature-dependent polymorphs, as well as new compounds (Cu12Sb4S13, Cu14Sb4S13), appear after both the thermal treatment and spark plasma sintering (SPS) of skinnerite Cu3SbS3. In the case of wittichenite, after both thermal treatment and SPS, only orthorhombic wittichenite is present. The thermal analysis proved that skinnerite Cu3SbS3 is thermally stable up to 604 K and wittichenite Cu3BiS3 is thermally stable up to 550 K. The positive Seebeck coefficient for both prepared samples indicated the p-type conductivity of the prepared materials. The thermoelectric measurements showed a figure of merit ZT of 0.69 at 575 K for the pristine skinnerite Cu3SbS3 and a ZT of 0.09 at 575 K for pristine wittichenite sintered by SPS. The prepared skinnerite Cu3SbS3 represents a prospective thermoelectric material for future applications. This research also highlights the potential of mechanochemically synthesized wittichenite Cu3BiS3 as a promising thermoelectric material. These materials could play a significant role in advancing thermoelectric technology for various applications in the future.
Author Contributions
Conceptualization, E.D.; methodology, P.L., J.H., K.K., L.F., M.B., M.F., and V.P.; validation, P.L., J.H., K.K., L.F., M.B., and M.F.; investigation, E.D., P.L., J.H., K.K., L.F., M.B., and M.F.; data curation, E.D.; writing—original draft preparation, E.D.; writing—review and editing, P.L., J.H., K.K., L.F., M.B., M.F., K.G., and P.B.; visualization, E.D., P.L., J.H., and L.F.; funding acquisition, M.B. All authors have read and agreed to the published version of the manuscript.
Funding
This work was supported by the Slovak Research and Development Agency under the contracts No. APVV-18-0357, and by the Slovak Grant Agency VEGA (project 2/0112/22 and 2/0084/23). This work was also supported by the Project TERAFIT - CZ.02.01.01/00/22_008/0004594 cofinanced by the European Union and the Ministry of Education, Youth, and Sports of the Czech Republic.
Data Availability Statement
The original contributions presented in this study are included in the article; further inquiries can be directed to the corresponding author.
Conflicts of Interest
The authors declare that they have no competing conflicts of interests. The funders had no role in the design of this study; in the collection, analyses, or interpretation of data; in the writing of the manuscript, or in the decision to publish the results.
References
- Kehoe Aoife, B.; Temple Douglas, J.; Watson Graeme, W.; Scanlon David, O. Cu3MCh3 (M = Sb, Bi; Ch = S, Se) as candidate solar cell absorbers: Insights from theory. Phys. Chem. Chem. Phys. 2013, 15, 15477–15484. [Google Scholar] [CrossRef]
- Ramasamy, K.; Sims, H.; Butler, W.H.; Gupta, A. Selective Nanocrystal Synthesis and Calculated Electronic Structure of All Four Phases of Copper-Antimony-Sulfide. Chem. Mater. 2014, 26, 2891–2899. [Google Scholar] [CrossRef]
- Whitfield, H.J. Polymorphism in Skinnerite, Cu3SbS3. Solid State Commun. 1980, 33, 747–748. [Google Scholar] [CrossRef]
- Pfitzner, A. Disorder of Cu+ in Cu3SbS3: Structural investigations of the high- and low-temperature modification. Z. Fur Krist. 1998, 213, 228–236. [Google Scholar] [CrossRef]
- Qiu, X.D.; Ji, S.L.; Chen, C.; Liu, G.Q.; Ye, C.H. Synthesis, characterization, and surface-enhanced Raman scattering of near infrared absorbing Cu3SbS3 nanocrystals. CrystEngComm 2013, 15, 10431–10434. [Google Scholar] [CrossRef]
- Bouaniza, N.; Hosni, N.; Maghraoui-Meherzi, H. Structural and optical properties of Cu3SbS3 thin film deposited by chemical bath deposition along with the degradation of methylene blue. Surf. Coat. Technol. 2018, 333, 195–200. [Google Scholar] [CrossRef]
- Maiello, P.; Zoppi, G.; Miles, R.W.; Pearsall, N.; Forbes, I. Chalcogenisation of Cu-Sb metallic precursors into Cu3Sb(SexS1-x)(3). Sol. Energy Mater. Sol. Cells 2013, 113, 186–194. [Google Scholar] [CrossRef]
- Kumar, M.; Persson, C. Cu3BiS3 as a potential photovoltaic absorber with high optical efficiency. Appl. Phys. Lett. 2013, 102, 062109. [Google Scholar] [CrossRef]
- Libório, M.S.; de Queiroz, J.C.A.; Sivasankar, S.M.; Costa, T.H.D.; da Cunha, A.F.; Amorim, C.D. A Review of Cu3BiS3 Thin Films: A Sustainable and Cost-Effective Photovoltaic Material. Crystals 2024, 14, 524. [Google Scholar] [CrossRef]
- Yang, Y.; Wu, H.X.; Shi, B.Z.; Guo, L.L.; Zhang, Y.J.; An, X.; Zhang, H.; Yang, S.P. Hydrophilic Cu3BiS3 Nanoparticles for Computed Tomography Imaging and Photothermal Therapy. Part. Part. Syst. Charact. 2015, 32, 668–679. [Google Scholar] [CrossRef]
- Li, A.; Li, X.; Yu, X.J.; Li, W.; Zhao, R.Y.; An, X.; Cui, D.X.; Chen, X.Y.; Li, W.W. Synergistic thermoradiotherapy based on PEGylated Cu3BiS3 ternary semiconductor nanorods with strong absorption in the second near-infrared window. Biomaterials 2017, 112, 164–175. [Google Scholar] [CrossRef]
- Lu, R.; Zhu, J.Y.; Yu, C.W.; Nie, Z.L.; Gao, Y. Cu3BiS3Nanocrystals as Efficient Nanoplatforms for CT Imaging Guided Photothermal Therapy of Arterial Inflammation. Front. Bioeng. Biotechnol. 2020, 8, 981. [Google Scholar] [CrossRef]
- Wei, K.Y.; Hobbis, D.; Wang, H.; Nolas, G.S. Wittichenite Cu3BiS3: Synthesis and Physical Properties. J. Electron. Mater. 2018, 47, 2374–2377. [Google Scholar] [CrossRef]
- Nefzi, K.; Rabhi, A.; Kanzari, M. Impact of air annealing on the properties of Cu3SbS3 thin films deposited by vacuum thermal evaporation. J Mater Sci. Mater. Electron. 2023, 34, 369. [Google Scholar] [CrossRef]
- Hernadez-Mota, J.; Espindola-Rodriguez, M.; Sanchez, Y.; Lopez, I.; Pena, Y.; Saucedo, E. Thin film photovoltaic devices prepared with Cu3BiS3 ternary compound. Mater. Sci. Semicond. Process. 2018, 87, 37–43. [Google Scholar] [CrossRef]
- Du, B.L.; Zhang, R.Z.; Liu, M.; Chen, K.; Zhang, H.F.; Reece, M.J. Crystal structure and improved thermoelectric performance of iron stabilized cubic Cu3SbS3 compound. J. Mater. Chem. C 2019, 7, 394–404. [Google Scholar] [CrossRef]
- Huang, D.W.; Li, L.T.; Wang, K.; Li, Y.; Feng, K.; Jiang, F. Wittichenite semiconductor of Cu3BiS3 films for efficient hydrogen evolution from solar driven photoelectrochemical water splitting. Nat. Commun. 2021, 12, 3795. [Google Scholar] [CrossRef]
- Oubakalla, M.; Bouachri, M.; Beraich, M.; Taibi, M.; Guenbour, A.; Bellaouchou, A.; Bentiss, F.; Zarrouk, A.; Fahoume, M. Potential Effect on the Properties of Cu3BiS3 Thin Film Co-electrodeposited in Aqueous Solution Enriched Using DFT Calculation. J. Electron. Mater. 2022, 51, 7223–7233. [Google Scholar] [CrossRef]
- Hao, Z.M.; Zeng, D.M.; Chen, L.M.; Huang, F.J. Synthesis and characterization of Cu3SbS3 nanocrystallites: Effect of reaction time. Mater. Lett. 2014, 122, 338–340. [Google Scholar] [CrossRef]
- Murali, B.; Krupanidhi, S.B. Tailoring the Band Gap and Transport Properties of Cu3BiS3 Nanopowders for Photodetector Applications. J. Nanosci. Nanotech. 2013, 13, 3901–3909. [Google Scholar] [CrossRef]
- Santhanapriya, R.; Muthukannan, A.; Sivakumar, G.; Mohanraj, K. Solvothermal-Assisted Synthesis of Cu3XS3 (X = Bi and Sb) Chalcogenide Nanoparticles. Synth. React. Inorg. Met.-Org. Nano-Met. Chem. 2016, 46, 1388–1394. [Google Scholar] [CrossRef]
- Shenouda, A.Y.; Moharam, M.M.; Farghaly, F.E. Synthesis, characterization, and electrochemical performance of Cu3SbS3 using different sources of sulfur. J. Mater. Sci.-Mater. Electr. 2023, 34, 1058. [Google Scholar] [CrossRef]
- Zeng, Y.P.; Li, H.X.; Qu, B.H.; Xiang, B.Y.; Wang, L.; Zhang, Q.L.; Li, Q.H.; Wang, T.H.; Wang, Y.G. Facile synthesis of flower-like Cu3BiS3 hierarchical nanostructures and their electrochemical properties for lithium-ion batteries. CrystEngComm 2012, 14, 550–554. [Google Scholar] [CrossRef]
- Atri, S.; Gusain, M.; Kumar, P.; Uma, S.; Nagarajan, R. Role of the solvent medium in the wet-chemical synthesis of CuSbS2, Cu3SbS3, and bismuth substituted Cu3SbS3. J. Chem. Sci. 2020, 132, 132. [Google Scholar] [CrossRef]
- Chakraborty, M.; Thangavel, R.; Komninou, P.; Zhou, Z.Y.; Gupta, A. Nanospheres and nanoflowers of copper bismuth sulphide (Cu3BiS3): Colloidal synthesis, structural, optical and electrical characterization. J. Alloys Compd. 2019, 776, 142–148. [Google Scholar] [CrossRef]
- Fazal, T.; Iqbal, S.; Shah, M.Z.; Mahmood, Q.; Ismail, B.; Alsaab, H.O.; Awwad, N.S.; Ibrahium, H.A.; Elkaeed, E.B. Optoelectronic, structural and morphological analysis of Cu3BiS3 sulfosalt thin films. Results Phys. 2022, 36, 105453. [Google Scholar] [CrossRef]
- Aup-Ngoen, K.; Thongtem, S.; Thongtem, T. Cyclic microwave-assisted synthesis of Cu3BiS3 dendrites using L-cysteine as a sulfur source and complexing agent. Mater. Lett. 2011, 65, 442–445. [Google Scholar] [CrossRef]
- Yan, C.; Gu, E.N.; Liu, F.Y.; Lai, Y.Q.; Li, J.; Liu, Y.X. Colloidal synthesis and characterizations of wittichenite copper bismuth sulphide nanocrystals. Nanoscale 2013, 5, 1789–1792. [Google Scholar] [CrossRef]
- Yagci, Ö.; Yüksel, S.A.; Bozkurt, K.; Altindal, A. The effect of boron doping on the optical, morphological and structural properties of Cu3SbS3 thin films prepared spin coating. New J. Chem. 2023, 47, 7678–7685. [Google Scholar] [CrossRef]
- Amorim, C.O.; Liborio, M.S.; Queiroz, J.C.A.; Melo, B.M.G.; Sivasankar, S.M.; Costa, T.H.C.; Graça, M.P.F.; da Cunha, A.F. Cu3BiS3 film synthesis through rapid thermal processing sulfurization of electron beam evaporated precursors. Emergent Mater. 2024. [Google Scholar] [CrossRef]
- Dutková, E.; Sayagués, M.J.; Fabián, M.; Baláž, M.; Kováč, J.; Kováč, J., Jr.; Stahorský, M.; Achimovičová, M.; Lukáčová Bujňáková, Z. Nanocrystalline Skinnerite (Cu3SbS3) Prepared by High-Energy Milling in a Laboratory and an Industrial Mill and Its Optical and Optoelectrical Properties. Molecules 2023, 28, 326. [Google Scholar] [CrossRef] [PubMed]
- Dutkova, E.; Balaz, M.; Sayagues, M.J.; Kovac, J.; Kovac, J. Mechanochemically Synthesized Chalcogenide Cu3BiS3 Nanocrystals in an Environmentally Friendly Manner for Solar Cell Applications. Crystals 2023, 13, 487. [Google Scholar] [CrossRef]
- de Oliveira, P.F.M.; Torresi, R.M.; Emmerling, F.; Camargo, P.H.C. Challenges and opportunities in the bottom-up mechanochemical synthesis of noble metal nanoparticles. J. Mater. Chem. A 2020, 8, 16114–16141. [Google Scholar] [CrossRef]
- Tan, D.; Garcia, F. Main group mechanochemistry: From curiosity to established protocols. Chem. Soc. Rev. 2019, 48, 2274–2292. [Google Scholar] [CrossRef] [PubMed]
- Gomollón-Bel, F. Ten Chemical Innovations That Will Change Our World. Chem. Int. 2019, 41, 12–17. [Google Scholar] [CrossRef]
- Ardila-Fierro, K.J.; Hernández, J.G. Sustainability Assessment of Mechanochemistry by Using the Twelve Principles of Green Chemistry. Chemsuschem 2021, 14, 2145–2162. [Google Scholar] [CrossRef]
- Baláž, P.; Achimovičová, M.; Baláž, M.; Billik, P.; Cherkezova-Zheleva, Z.; Criado, J.M.; Delogu, F.; Dutková, E.; Gaffet, E.; Gotor, F.J.; et al. Hallmarks of mechanochemistry: From nanoparticles to technology. Chem. Soc. Rev. 2013, 42, 7571–7637. [Google Scholar] [CrossRef] [PubMed]
- Rodriguez-Carvajal, J.; Roisnel, T. Line broadening analysis using FullProf*: Determination of microstructural properties. Mater. Sci. Forum. 2004, 443–444, 123–126. [Google Scholar] [CrossRef]
- Alleno, E.; Bérardan, D.; Byl, C.; Candolfi, C.; Daou, R.; Decourt, R.; Guilmeau, E.; Hébert, S.; Hejtmanek, J.; Lenoir, B.; et al. A round robin test of the uncertainty on the measurement of the thermoelectric dimensionless figure of merit of CoNiSb. Rev. Sci. Instrum. 2015, 86, 011301. [Google Scholar] [CrossRef]
- Lee, G.E.; Kim, I.H. Skinnerite Cu3SbS3: Solid-State Synthesis and Thermoelectric Properties. Korean J. Met. Mater. 2022, 60, 455–462. [Google Scholar] [CrossRef]
- Baláž, P.; Guilmeau, E.; Daneu, N.; Dobrozhan, O.; Baláž, M.; Hegedus, M.; Barbier, T.; Achimovičová, M.; Kaňuchová, M.; Briančin, J. Tetrahedrites synthesized via scalable mechanochemical process and spark plasma sintering. J. Eur. Ceram. Soc. 2020, 40, 1922–1930. [Google Scholar] [CrossRef]
- Baláž, P.; Burcak, A.B.; Aydemir, U.; Mikula, A.; Nieroda, P.; Baláž, M.; Findoráková, L.; Bureš, R.; Puchý, V.; Erdemoglu, M.; et al. Modification of tetrahedrite Cu12Sb4S13 thermoelectric performance via the combined treatment of mechanochemistry and composite formation. Solid State Sci. 2024, 151, 107497. [Google Scholar] [CrossRef]
- Wang, J.; Wang, T.; Zhang, J.J.; Liu, B.G.; Wang, L.J.; Gu, W.; Hu, B.F.; Xu, J.; Du, B.L. Preparation and thermoelectric properties of Co/Ni stabilized cubic Cu3SbS3 compounds. J. Solid State Chem. 2022, 310, 123014. [Google Scholar] [CrossRef]
- Adeyemi, A.N.; Clemente, M.; Lee, S.J.; Mantravadi, A.; Zaikina, J.V. Deep Eutectic Solvent-Assisted Microwave Synthesis of Thermoelectric AgBiS2 and Cu3BiS3. ACS Appl. Ener. Mater. 2022, 5, 14858–14868. [Google Scholar] [CrossRef]
- Chen, K. Synthesis and Thermoelectric Properties of Cu-Sb-S Compounds. Ph.D. Thesis, Queen Mary University of London, London, UK, 2016. [Google Scholar]
- Skoug, E.J.; Cain, J.D.; Morelli, D.T. Structural effects on the lattice thermal conductivity of ternary antimony- and bismuth-containing chalcogenide semiconductors. Appl. Phys. Lett. 2010, 96, 181905. [Google Scholar] [CrossRef]
- Chen, K.; Du, B.L.; Bonini, N.; Weber, C.; Yan, H.X.; Reece, M.J. Theory-Guided Synthesis of an Eco-Friendly and Low-Cost Copper Based Sulfide Thermoelectric Material. J. Phys. Chem. C 2016, 120, 27135–27140. [Google Scholar] [CrossRef]
- Zhang, J.J.; Wang, L.J.; Liu, M.; Wang, J.; Sun, K.; Yang, Y.; Hu, B.F.; Xu, J.; Su, T.C.; Du, B.L. Preparation and thermoelectric performance of tetrahedrite-like cubic Cu3SbS3 compound. J. Mater. Sci.-Mater. Electr. 2021, 32, 10789–10802. [Google Scholar] [CrossRef]
- Balaz, P.; Dutkova, E.; Levinsky, P.; Daneu, N.; Kubickova, L.; Knizek, K.; Balaz, M.; Navratil, J.; Kasparova, J.; Ksenofontov, V.; et al. Enhanced thermoelectric performance of chalcopyrite nanocomposite via co-milling of synthetic and natural minerals. Mater. Lett. 2020, 275, 128107. [Google Scholar] [CrossRef]
- Levinsky, P.; Hejtmanek, J.; Knizek, K.; Pashchenko, M.; Navratil, J.; Masschelein, P.; Dutkova, E.; Balaz, P. Nanograined n- and p-Type Chalcopyrite CuFeS2 Prepared by Mechanochemical Synthesis and Sintered by SPS. Acta Phys. Pol. A 2020, 137, 904–907. [Google Scholar] [CrossRef]
Disclaimer/Publisher’s Note: The statements, opinions and data contained in all publications are solely those of the individual author(s) and contributor(s) and not of MDPI and/or the editor(s). MDPI and/or the editor(s) disclaim responsibility for any injury to people or property resulting from any ideas, methods, instructions or products referred to in the content. |
© 2025 by the authors. Licensee MDPI, Basel, Switzerland. This article is an open access article distributed under the terms and conditions of the Creative Commons Attribution (CC BY) license (https://creativecommons.org/licenses/by/4.0/).





