Mechanical Loading Effect on Stress States and Failure Behavior in Thermal Barrier Coatings
Abstract
:1. Introduction
2. Finite Element Model
2.1. Geometry and Mesh
2.2. Material Property
2.3. Boundary Conditions
2.4. TGO Growth Design
2.5. Crack Growth Modeling Tool
3. Result and Discussion
3.1. Stress Distribution in TBCs
3.1.1. Without Mechanical Loading
3.1.2. Considering Tensile Loading
3.1.3. Considering Compression Loading
3.1.4. Considering in-Phase Loading
3.1.5. Considering Out-of-Phase Loading
3.2. The Failure Behavior of TBCs
4. Conclusions
- (1)
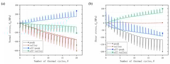
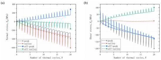
- Mechanical loads have different effects in different areas of the coating due to the undulation of the interface. The main effect is on the stress values and the evolution of the stresses in the coating, while the distribution of the stresses is not yet obvious. It is hypothesized that the mechanical load may be small.
- (2)
- The effect of tensile and compressive loads on the normal stress of the coating is not significant, while the effect on the shear stress of the coating is more obvious. The peak and off-peak areas are more susceptible to mechanical loads, and the effects of different mechanical loads are opposite.
- (3)
- Mechanical loading did not change the original failure mode and preferentially occurred in the off-peak area. In-phase loading delayed the initiation and accumulation of damage, while the opposite is true for out-of-phase loading.
- (4)
- Damage is affected by the coupling of stresses, which can predict preferential damage sites but cannot correspond exactly to damage. Damage initiation or crack initiation will be influenced by damage parameters.
Author Contributions
Funding
Data Availability Statement
Conflicts of Interest
References
- Padture, N.P. Advanced structural ceramics in aerospace propulsion. Nat. Mater. 2016, 15, 804–809. [Google Scholar] [CrossRef] [PubMed]
- Padture, N.P.; Gell, M.; Jordan, E.H. Thermal Barrier Coatings for Gas-Turbine Engine Applications. Science 2002, 296, 280–284. [Google Scholar] [CrossRef] [PubMed]
- Wellman, R.G.; Nicholls, J.R. Erosion, corrosion and erosion–corrosion of EB PVD thermal barrier coatings. Tribol. Int. 2008, 41, 657–662. [Google Scholar] [CrossRef]
- Hass, D.D.; Parrish, P.A.; Wadley, H.N.G. Electron beam directed vapor deposition of thermal barrier coatings. J. Vac. Sci. Technol. A Vac. Surf. Film. 1998, 16, 3396–3401. [Google Scholar] [CrossRef]
- Goswami, B.; Ray, A.K.; Sahay, S.K. Thermal Barrier Coating System for Gas Turbine Application—A Review. High Temp. Mater. Process. 2004, 23, 73–92. [Google Scholar] [CrossRef]
- Chen, L.; Yueming, L. Interface stress evolution considering the combined creep–plastic behavior in thermal barrier coatings. Mater. Des. 2016, 89, 245–254. [Google Scholar] [CrossRef]
- Ang, A.S.M.; Berndt, C.C. A review of testing methods for thermal spray coatings. Int. Mater. Rev. 2014, 59, 179–223. [Google Scholar] [CrossRef]
- Wei, Z.Y.; Liu, Y.; Cheng, B.; Tahir, A. Influence of non-uniform feature of thermally grown oxide thickness on the local stress state and cracking behavior in TBC. Surf. Coat. Technol. 2022, 443, 128607. [Google Scholar] [CrossRef]
- Lima, C.R.C.; Gyilemany, J.M. Adhesion improvements of Thermal Barrier Coatings with HVOF thermally sprayed bond coats. Surf. Coat. Technol. 2007, 201, 4694–4701. [Google Scholar] [CrossRef]
- Barwinska, I.; Kopec, M.; Kukla, D.; Senderowski, C.; Kowalewski, Z.L. Thermal Barrier Coatings for High-Temperature Performance of Nickel-Based Superalloys: A Synthetic Review. Coatings 2023, 13, 769. [Google Scholar] [CrossRef]
- Thakare, J.G.; Pandey, C.; Mahapatra, M.M.; Mulik, R.S. Thermal barrier coatings—A state of the art review. Met. Mater. Int. 2021, 27, 1947–1968. [Google Scholar] [CrossRef]
- Mehboob, G.; Liu, M.J.; Xu, T.; Hussain, S.; Mehboob, G.; Tahir, A. A review on failure mechanism of thermal barrier coatings and strategies to extend their lifetime. Ceram. Int. 2020, 46, 8497–8521. [Google Scholar] [CrossRef]
- Choi, J.G.; Seok, C.S.; Wee, S.U.; Chung, E.S.; Yun, B.G.; Kwon, S.H. Low cycle fatigue characteristics of a Ni-based single crystal superalloy CMSX-4 at elevated temperature. J. Korean Soc. Precis. Eng. 2019, 36, 271–279. [Google Scholar] [CrossRef]
- Lee, J.M.; Seok, C.S.; Lee, D.; Kim, Y.; Yun, J.; Koo, J.M. Prediction of thermo-mechanical fatigue life of IN738 LC using the finite element analysis. Int. J. Precis. Eng. Manuf. 2014, 15, 1733–1737. [Google Scholar] [CrossRef]
- Choi, J.; Wee, S.; Koo, J.M.; Chung, E.S.; Kwon, S.H.; Seok, C.S. Thermo-mechanical fatigue characteristics of CMSX-4 applied to the high-pressure turbine first-stage single-crystal rotor blade. J. Mech. Sci. Technol. 2020, 34, 1855–1862. [Google Scholar] [CrossRef]
- Jing, P.L.; Zhang, C.X.; Wang, X.Y.; Jia, Z.; Tang, S.B.; Liu, J.L.; Wu, C.B.; Huang, J.D.; Pan, B.; Fu, T.R. Non-Contact Synchronous Testing Technology for Turbine Blade Strain/Temperature. Aerosp. Power 2020, 6, 38. [Google Scholar]
- Okazaki, M.; Sakaguchi, M. Thermo-mechanical fatigue failure of a single crystal Ni-based superalloy. Int. J. Fatigue 2008, 30, 318–323. [Google Scholar] [CrossRef]
- Lee, J.M.; Song, H.; Kim, Y.; Koo, J.M.; Seok, C.S. Evaluation of thermal gradient mechanical fatigue characteristics of thermal barrier coating, considering the effects of thermally grown oxide. Int. J. Precis. Eng. Manuf. 2015, 16, 1675–1679. [Google Scholar] [CrossRef]
- Shin, I.H.; Lee, D.K.; Kim, Y.S.; Koo, J.M.; Seok, C.S.; Lee, T.W. Assessment of the characteristic of thermal barrier coating applied to gas turbine blade by thermo-gradient mechanical fatigue test. Procedia Eng. 2013, 55, 210–213. [Google Scholar] [CrossRef]
- Yang, Z.; Chen, G.F.; Li, C.P.; Luo, J.B. Analysis on Stress Distribution of Thermal Barrier Coating System with Thermal Gradient Mechanical Fatigue. China Surf. Eng. 2007, 201, 4694–4701. [Google Scholar]
- Wang, Y.; Wang, C.; You, Y.; Cheng, W.; Dong, M.; Zhu, Z.; Wang, Y. Analysis on thermal stress of optimized functionally graded coatings during thermal shock based on finite element simulation. Mater. Today Commun. 2023, 35, 105699. [Google Scholar] [CrossRef]
- Tao, Q.; Wang, Y.; Yang, S.; Liu, Y. Simulations of Effects of Geometric and Material Parameters on the Interfacial Stress of the Thermal Barrier Coatings with Free Edges. Coatings 2023, 13, 1378. [Google Scholar] [CrossRef]
- Chen, Z.; Jia, W.; Zhao, K.; Fang, L. Comparison of stress evolution under TGO growth simulated by two different methods in thermal barrier coatings. Ceram. Int. 2020, 46, 2915–2922. [Google Scholar] [CrossRef]
- Rösler, J.; Bäker, M.; Aufzug, K. A parametric study of the stress state of thermal barrier coatings Part I: Creep relaxation. Acta Mater. 2004, 52, 4809–4817. [Google Scholar]
- Cao, X.Q.; Meng, J.; Zhong, X.H.; Dai, H.L.; Li, H.Y.; Zhang, Y.F. Thermal stability of double-ceramic-layer thermal barrier coatings with various coating thickness. Mater. Sci. Eng. A 2006, 433, 1–7. [Google Scholar]
- Wei, Z.Y.; Cai, H.N.; Feng, R.X.; Su, J.Y. Dynamic crack growth mechanism and lifetime assessment in plasma sprayed thermal barrier system upon temperature cycling. Ceram. Int. 2019, 45, 14896–14907. [Google Scholar] [CrossRef]
- He, M.Y.; Hutchinson, J.W.; Evans, A.G. Simulation of stresses and delamination in a plasma-sprayed thermal barrier system upon thermal cycling. Mater. Sci. Eng. A 2003, 345, 172–178. [Google Scholar] [CrossRef]
- Chai, Y.; Lin, C.; Li, Y. Effects of creep-plastic behavior on stress development in TBCs during cooling. Ceram. Int. 2017, 43, 11627–11634. [Google Scholar] [CrossRef]
- Chen, Z.; Huang, H.; Zhao, K.; Jia, W.; Fang, L. Influence of inhomogeneous thermally grown oxide thickness on residual stress distribution in thermal barrier coating system. Ceram. Int. 2018, 44, 16937–16946. [Google Scholar] [CrossRef]
- Su, L.; Zhang, W.; Sun, Y.; Wang, T.J. Effect of TGO creep on top-coat cracking induced by cyclic displacement instability in a thermal barrier coating system. Surf. Coat. Technol. 2014, 254, 410–417. [Google Scholar] [CrossRef]
- Dong, H.; Yao, J.T.; Li, X.; Zhou, Y.; Li, Y.B. The sintering behavior of plasma-sprayed YSZ coating over the delamination crack in low temperature environment. Ceram. Int. 2018, 44, 3326–3332. [Google Scholar] [CrossRef]
- Li, G.R.; Wang, L.S.; Yang, G.J.; Li, C.X.; Li, C.J. Combined effect of internal and external factors on sintering kinetics of plasma-sprayed thermal barrier coatings. J. Eur. Ceram. Soc. 2019, 39, 1860–1868. [Google Scholar] [CrossRef]
- Wei, Z.Y.; Cai, H.N. Comprehensive effects of TGO growth on the stress characteristic and delamination mechanism in lamellar structured thermal barrier coatings. Ceram. Int. 2020, 46, 2220–2237. [Google Scholar] [CrossRef]
- Xu, B.Q.; Jiang, J.S.; Zou, Z.H.; Wang, W.Z.; Zhao, X.F.; Liu, Y.Z. Time-dependent spalling behavior of thermally grown oxide induced by room temperature interfacial deformation. Surf. Coat. Technol. 2018, 334, 164–172. [Google Scholar] [CrossRef]
- Shen, Q.; Yang, L.; Zhou, Y.C.; Wei, Y.G.; Zhu, W. Effects of growth stress in finite-deformation thermally grown oxide on failure mechanism of thermal barrier coatings. Mech. Mater. 2017, 114, 228–242. [Google Scholar] [CrossRef]
- Ferguen, N.; Leclerc, W.; Lamini, E.S. Numerical investigation of thermal stresses induced interface delamination in plasma-sprayed thermal barrier coatings. Surf. Coat. Technol. 2023, 461, 129449. [Google Scholar] [CrossRef]
- Wei, Z.Y.; Cai, H.N.; Feng, R.X.; Zhang, H. The combined effect of creep and TGO growth on the cracking driving force in a plasma-sprayed thermal barrier system. J. Therm. Spray Technol. 2019, 28, 1000–1016. [Google Scholar] [CrossRef]
- Yu, Q.M.; Zhou, H.L.; Wang, L.B. Influences of interface morphology and thermally grown oxide thickness on residual stress distribution in thermal barrier coating system. Ceram. Int. 2016, 42, 8338–8350. [Google Scholar] [CrossRef]
- Song, J.; Li, S.; Yang, X.; Qi, H.; Shi, D. Numerical investigation on the cracking behaviors of thermal barrier coating system under different thermal cycle loading waveforms. Surf. Coat. Technol. 2018, 349, 166–176. [Google Scholar] [CrossRef]
- Ahrens, M.; Vassen, R.; Stgover, D. Stress distributions in plasma-sprayed thermal barrier coatings as a function of interface roughness and oxide scale thickness. Surf. Coat. Technol. 2002, 161, 26–35. [Google Scholar] [CrossRef]
- Hernandez, M.T.; Karlsson, A.M.; Bartsch, M. On TGO creep and the initiation of a class of fatigue cracks in thermal barrier coatings. Surf. Coat. Technol. 2009, 203, 3549–3558. [Google Scholar] [CrossRef]
- Cen, L.; Qin, W.Y.; Yu, Q.M. Analysis of interface delamination in thermal barrier coating system with axisymmetric structure based on corresponding normal and tangential stresses. Surf. Coat. Technol. 2019, 358, 785–795. [Google Scholar] [CrossRef]
- Białas, M. Finite element analysis of stress distribution in thermal barrier coatings. Surf. Coat. Technol. 2008, 202, 6002–6010. [Google Scholar] [CrossRef]
- Lv, B.; Xie, H.; Xu, R.; Fan, X.; Zhang, W.; Wang, T.J. Effects of sintering and mixed oxide growth on the interface cracking of air-plasma-sprayed thermal barrier coating system at high temperature. Appl. Surf. Sci. 2016, 360, 461–469. [Google Scholar] [CrossRef]
- Ranjbar-Far, M.; Absi, J.; Shahidi, S.; Mariaux, G. Impact of the non-homogenous temperature distribution and the coatings process modeling on the thermal barrier coatings system. Mater. Des. 2011, 32, 728–735. [Google Scholar] [CrossRef]
- Xu, T.; He, M.Y.; Evans, A.G. A numerical assessment of the durability of thermal barrier systems that fail by ratcheting of the thermally grown oxide. Acta Mater. 2003, 51, 3807–3820. [Google Scholar] [CrossRef]
- Cen, L.; Qin, W.Y.; Yu, Q.M. Finite Element Analysis of Interface Undulation and Interface Delamination in the MCrAlY Coating System Under Thermal Cycling: Considering Oxide Thickness and Top-Coat Effects. J. Therm. Spray Technol. 2020, 29, 597–610. [Google Scholar] [CrossRef]
- Jiang, J.; Wang, W.; Zhao, X.; Liu, Y.; Cao, Z.; Xiao, P. Numerical analyses of the residual stress and top coat cracking behavior in thermal barrier coatings under cyclic thermal loading. Eng. Fract. Mech. 2018, 196, 191–205. [Google Scholar] [CrossRef]
- Huang, Y.P.; Wei, Z.Y.; Cai, H.N.; Liu, Y.; Han, X.C. The effects of tgo growth stress and creep rate on tc/tgo interface cracking in aps thermal barrier coatings. Ceram. Int. 2021, 47, 24760–24769. [Google Scholar] [CrossRef]
- Deng, H.X.; Shi, H.J.; Yu, H.C.; Zhong, B. Effect of heat treatment at 900 °C on microstructural and mechanical properties of thermal barrier coatings. Surf. Coat. Technol. 2011, 205, 3621–3630. [Google Scholar] [CrossRef]
- Song, J.; Qi, H.; Shi, D.; Yang, X.; Li, S. Effect of non-uniform growth of TGO layer on cracking behaviors in thermal barrier coatings: A numerical study. Surf. Coat. Technol. 2019, 370, 113–124. [Google Scholar] [CrossRef]














| Material | Temperature/ | Elastic Modulus/ | μ | Density/ | CTE/ | Thermal Conductivity/ | Specific Heat/ |
|---|---|---|---|---|---|---|---|
| (°C) | (GPa) | (kg·m−3) | (ppm·°C−1) | (W·m−1·K−1) | (J·kg−1·K−1) | ||
| TC | 25 | 17.5 | 0.20 | 5650 | 9.68 | 1.05 | 483 |
| 400 | - | 0.20 | 5650 | 9.70 | 1.05 | 483 | |
| 800 | - | 0.20 | 5650 | 9.88 | 1.05 | 483 | |
| 1000 | 12.4 | 0.20 | 5650 | 10.34 | 1.05 | 483 | |
| TGO | 25 | 380 | 0.27 | 3978 | 5.10 | 25.2 | 857 |
| 400 | - | 0.27 | 3978 | - | 25.2 | 857 | |
| 800 | 338 | 0.27 | 3978 | - | 25.2 | 857 | |
| 1000 | 312 | 0.27 | 3978 | 9.80 | 25.2 | 857 | |
| BC | 25 | 183 | 0.30 | 7320 | - | 4.6 | 501 |
| 400 | 152 | 0.30 | 7320 | 12.50 | 6.4 | 593 | |
| 800 | 109 | 0.30 | 7320 | 14.30 | 10.2 | 781 | |
| 1000 | - | 0.30 | 7320 | 16.00 | 16.1 | 764 | |
| DZ411 | 25 | 129.9 | 0.30 | 8344 | - | 8.6 | 469 |
| 400 | 118 | 0.30 | 8344 | 12.90 | 15.5 | 501 | |
| 800 | 101 | 0.30 | 8344 | 14.50 | 21.1 | 547 | |
| 1000 | 86 | 0.30 | 8344 | 15.60 | 23.1 | 575 |
| Layers | Temperature/°C | Plastic Strain | σy/MPa |
|---|---|---|---|
| TGO | 20 | 0 | 10,000 |
| 900 | 0 | 10,000 | |
| 1000 | 0 | 1000 | |
| BC | 20 | 0 | 1000 |
| 300 | 0 | 1000 | |
| 750 | 0 | 100 | |
| 1000 | 0 | 100 | |
| DZ411 | 20 | 0 | 1280 |
| 650 | 0 | 1255 | |
| 700 | 0 | 1185 | |
| 800 | 0 | 955 | |
| 900 | 0 | 655 | |
| 980 | 0 | 595 | |
| 1000 | 0 | 356 |
| Layers | B (s−1MPa−n) | n | T (°C) |
|---|---|---|---|
| TC | 1.8 × 10−9 | 1 | 1000 |
| TGO | 7.3 × 10−9 | 1 | 1000 |
| BC | 6.54 × 10−19 | 4.57 | ≤600 |
| 2.20 × 10−12 | 2.99 | 700 | |
| 1.84 × 10−7 | 1.55 | 800 | |
| 2.15 × 10−8 | 2.45 | ≥850 |
Disclaimer/Publisher’s Note: The statements, opinions and data contained in all publications are solely those of the individual author(s) and contributor(s) and not of MDPI and/or the editor(s). MDPI and/or the editor(s) disclaim responsibility for any injury to people or property resulting from any ideas, methods, instructions or products referred to in the content. |
© 2023 by the authors. Licensee MDPI, Basel, Switzerland. This article is an open access article distributed under the terms and conditions of the Creative Commons Attribution (CC BY) license (https://creativecommons.org/licenses/by/4.0/).
Share and Cite
Qiao, D.; Yan, W.; Zeng, W.; Man, J.; Xue, B.; Bian, X. Mechanical Loading Effect on Stress States and Failure Behavior in Thermal Barrier Coatings. Crystals 2024, 14, 2. https://doi.org/10.3390/cryst14010002
Qiao D, Yan W, Zeng W, Man J, Xue B, Bian X. Mechanical Loading Effect on Stress States and Failure Behavior in Thermal Barrier Coatings. Crystals. 2024; 14(1):2. https://doi.org/10.3390/cryst14010002
Chicago/Turabian StyleQiao, Da, Wengao Yan, Wu Zeng, Jixin Man, Beirao Xue, and Xiangde Bian. 2024. "Mechanical Loading Effect on Stress States and Failure Behavior in Thermal Barrier Coatings" Crystals 14, no. 1: 2. https://doi.org/10.3390/cryst14010002
APA StyleQiao, D., Yan, W., Zeng, W., Man, J., Xue, B., & Bian, X. (2024). Mechanical Loading Effect on Stress States and Failure Behavior in Thermal Barrier Coatings. Crystals, 14(1), 2. https://doi.org/10.3390/cryst14010002

