Breakdown Characteristics of Ga2O3-on-SiC Metal-Oxide-Semiconductor Field-Effect Transistors
Abstract
1. Introduction
2. Device Structure and Simulation Setup
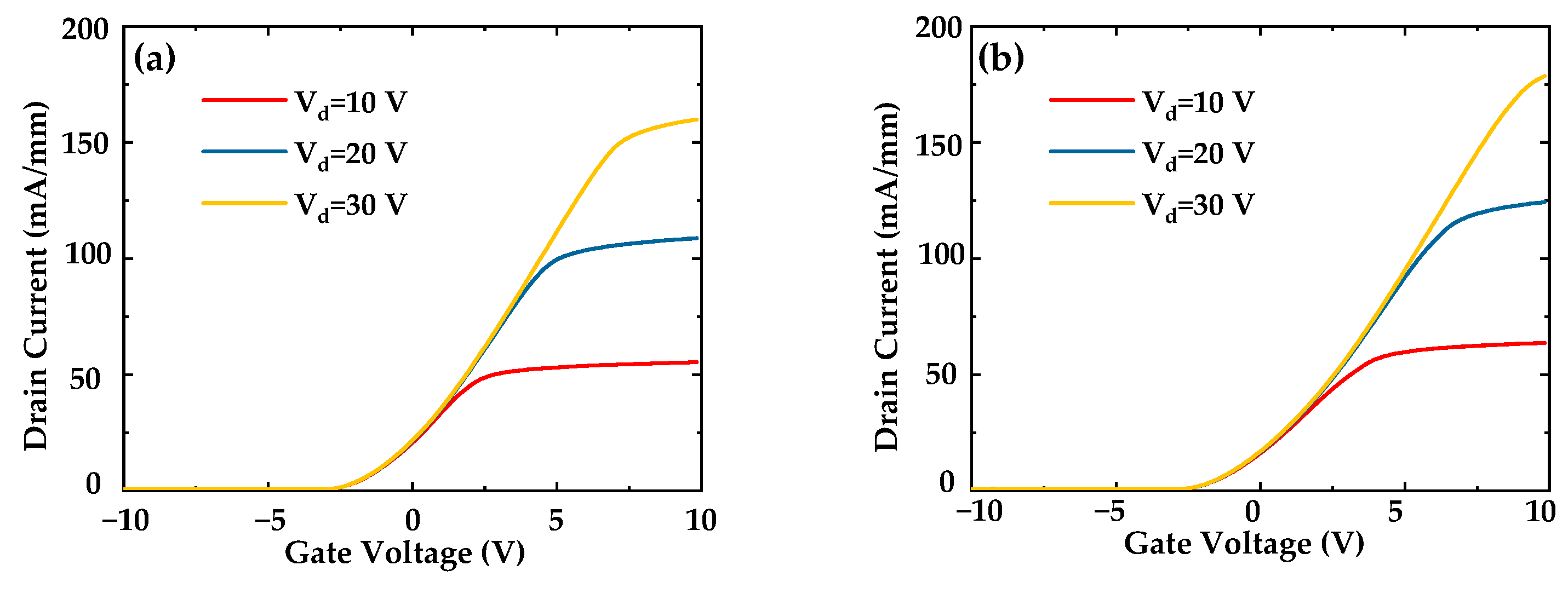
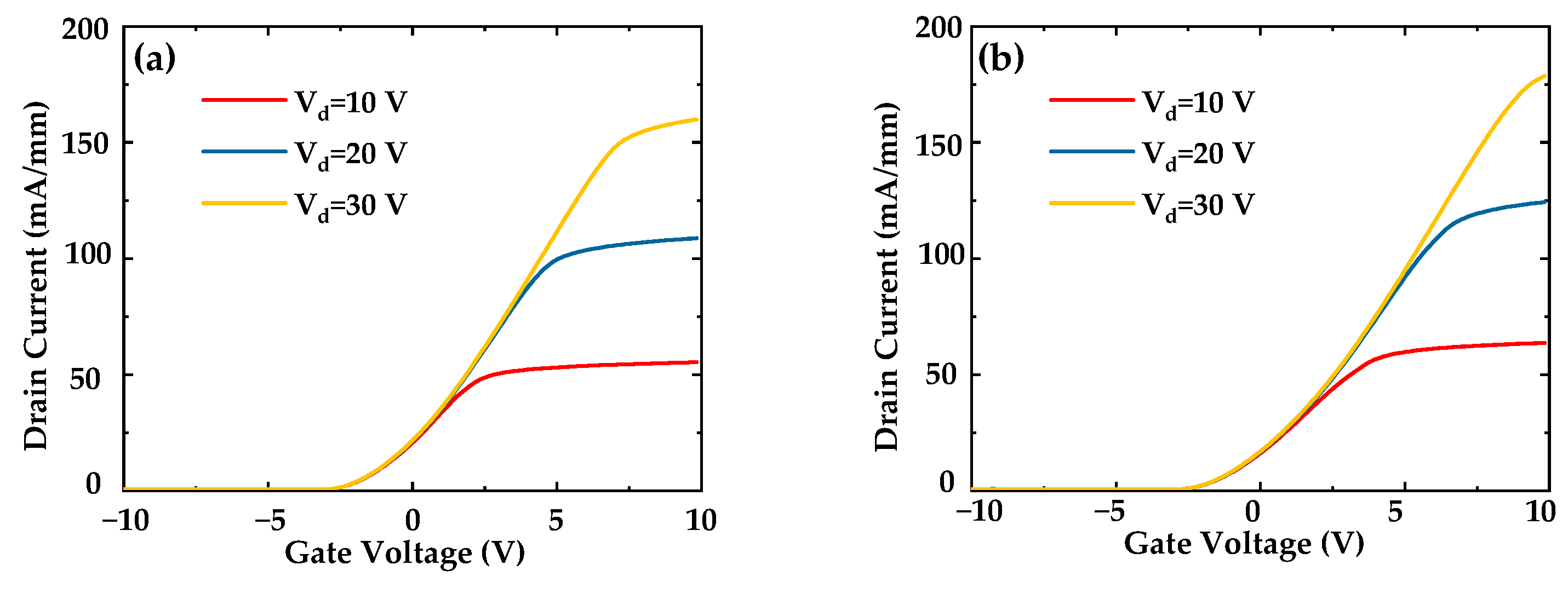
3. On-State Characteristics
4. Breakdown Characteristics
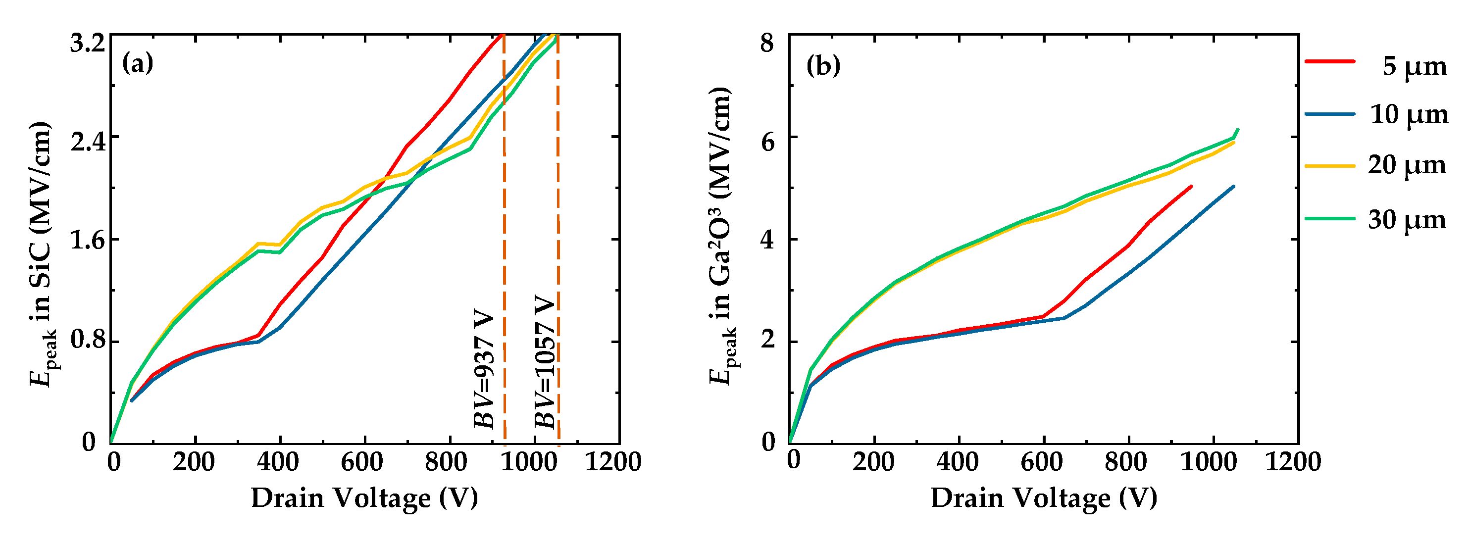
4.1. SiC Thickness and Doping Concentration
4.2. Epitaxy Thickness and Doping
5. Conclusions
Author Contributions
Funding
Data Availability Statement
Conflicts of Interest
References
- Irmscher, K.; Galazka, Z.; Pietsch, M.; Uecker, R.; Fornari, R. Electrical properties of β-Ga2O3 single crystals grown by the Czochralski method. J. Appl. Phys. 2011, 110, 063720. [Google Scholar] [CrossRef]
- Fujita, S.; Oda, M.; Kaneko, K.; Hitora, T. Evolution of corundum-structured III-oxide semiconductors: Growth, properties, and devices. Jpn. J. Appl. Phys. 2016, 55, 1202A3. [Google Scholar] [CrossRef]
- Sugiura, T.; Nakano, N. Impact Ionization and Critical Electric Field in ⟨010⟩-Oriented β-Ga2O3 Schottky Barrier Diode. IEEE Trans. Electron Devices 2022, 69, 3068–3072. [Google Scholar] [CrossRef]
- Kamimura, T.; Nakata, Y.; Wong, M.H.; Higashiwaki, M. Normally-Off Ga2O3 MOSFETs With Unintentionally Nitrogen-Doped Channel Layer Grown by Plasma-Assisted Molecular Beam Epitaxy. IEEE Electron. Device Lett. 2019, 40, 1064–1067. [Google Scholar] [CrossRef]
- Higashiwaki, M.; Sasaki, K.; Murakami, H.; Kumagai, Y.; Koukitu, A.; Kuramata, A.; Masui, T.; Yamakoshi, S. Recent progress in Ga2O3 power devices. Semicond. Sci. Technol. 2016, 31, 034001. [Google Scholar] [CrossRef]
- Wong, M.H.; Higashiwaki, M. Vertical β-Ga2O3 Power Transistors: A Review. IEEE Trans. Electron Devices 2020, 67, 3925–3937. [Google Scholar] [CrossRef]
- Wong, M.H.; Morikawa, Y.; Sasaki, K.; Kuramata, A.; Yamakoshi, S.; Higashiwaki, M. Characterization of channel temperature in Ga2O3 metal-oxide-semiconductor field-effect transistors by electrical measurements and thermal modeling. Appl. Phys. Lett. 2016, 109, 193503. [Google Scholar] [CrossRef]
- Chatterjee, B.; Zeng, K.; Nordquist, C.D.; Singisetti, U.; Choi, S. Device-Level Thermal Management of Gallium Oxide Field-Effect Transistors. IEEE Trans. Compon. Packag. Manuf. Technol. 2019, 9, 2352–2365. [Google Scholar] [CrossRef]
- Wang, B.; Xiao, M.; Zhang, Z.; Wang, Y.; Qin, Y.; Song, Q.; Lu, G.-Q.; Ngo, K.; Zhang, Y. Chip Size Minimization for Wide and Ultrawide Bandgap Power Devices. IEEE Trans. Electron Devices 2023, 70, 633–639. [Google Scholar] [CrossRef]
- Slomski, M.; Blumenschein, N.; Paskov, P.P.; Muth, J.F.; Paskova, T. Anisotropic thermal conductivity of β-Ga2O3 at elevated temperatures: Effect of Sn and Fe dopants. J. Appl. Phys. 2017, 121, 235104. [Google Scholar] [CrossRef]
- Zhu, L.; Li, Z.; Hou, K. Effect of radical scavenger on electrical tree in cross-linked polyethylene with large harmonic superimposed DC voltage. High Volt. 2022, 1–10. [Google Scholar] [CrossRef]
- Yang, S.T.; Li, X.Y.; Yu, T.L.; Wang, J.; Fang, H.; Nie, F.; He, B.; Zhao, L.; Lü, W.M.; Yan, S.S.; et al. High-Performance Neuromorphic Computing Based on Ferroelectric Synapses with Excellent Conductance Linearity and Symmetry. Adv. Funct. Mater. 2022, 32, 2202366. [Google Scholar] [CrossRef]
- Yang, L.; Huang, H.; Xi, Z.; Zheng, L.; Xu, S.; Tian, G.; Zhai, Y.; Guo, F.; Kong, L.; Wang, Y.; et al. Simultaneously achieving giant piezoelectricity and record coercive field enhancement in relaxor-based ferroelectric crystals. Nat. Commun. 2022, 13, 2444. [Google Scholar] [CrossRef]
- Yan, A.; Xiang, J.; Cao, A.; He, Z.; Cui, J.; Ni, T.; Huang, Z.; Wen, X.; Girard, P. Quadruple and Sextuple Cross-Coupled SRAM Cell Designs With Optimized Overhead for Reliable Applications. IEEE Trans. Device Mater. Reliab. 2022, 22, 282–295. [Google Scholar] [CrossRef]
- Yan, A.; Li, Z.; Cui, J.; Huang, Z.; Ni, T.; Girard, P.; Wen, X. Designs of Two Quadruple-Node-Upset Self-Recoverable Latches for Highly Robust Computing in Harsh Radiation Environments. IEEE Trans. Aerosp. Electron. Syst. 2022, 1–13. [Google Scholar] [CrossRef]
- Xiang, J.; Yang, W.; Liao, H.; Li, P.; Chen, Z.; Huang, J. Design and thermal performance of thermal diode based on the asymmetric flow resistance in vapor channel. Int. J. Therm. Sci. 2023, 191, 108345. [Google Scholar] [CrossRef]
- Nepal, N.; Katzer, D.S.; Downey, B.P.; Wheeler, V.D.; Nyakiti, L.O.; Storm, D.F.; Hardy, M.T.; Freitas, J.A.; Jin, E.N.; Vaca, D.; et al. Heteroepitaxial growth of β-Ga2O3 films on SiC via molecular beam epitaxy. J. Vac. Sci. Technol. A 2020, 38, 063406. [Google Scholar] [CrossRef]
- Russell, S.A.O.; Perez-Tomas, A.; McConville, C.F.; Fisher, C.A.; Hamilton, D.P.; Mawby, P.A.; Jennings, M.R. Heteroepitaxial Beta-Ga2O3 on 4H-SiC for an FET With Reduced Self Heating. IEEE J. Electron Devices Soc. 2017, 5, 256–261. [Google Scholar] [CrossRef]
- Lee, D.; Kim, H.W.; Kim, J.; Moon, J.H.; Lee, G.; Kim, J. Ultra-Wide Bandgap β-Ga2O3 Heterojunction Field-Effect Transistor Using p-Type 4H-SiC Gate for Efficient Thermal Management. ECS J. Solid State Sci. Technol. 2020, 9, 065006. [Google Scholar] [CrossRef]
- Hatakeyama, T.; Shinohe, T. Reverse Characteristics of a 4H-SiC Schottky Barrier Diode. Mater. Sci. Forum 2002, 389–393, 1169–1172. [Google Scholar] [CrossRef]
- Chen, J.; Zhang, Z.; Lu, H. Structure design and properties investigation of Bi2O2Se/graphene van der Waals heterojunction from first-principles study. Surf. Interfaces 2022, 33, 102289. [Google Scholar] [CrossRef]
- Li, S.; Chen, J.; He, X.; Zheng, Y.; Yu, C.; Lu, H. Comparative study of the micro-mechanism of charge redistribution at metal-semiconductor and semimetal-semiconductor interfaces: Pt(Ni)-MoS2 and Bi-MoS2(WSe2) as the prototype. Appl. Surf. Sci. 2023, 623, 157036. [Google Scholar] [CrossRef]
- Li, S.; Yang, L.; Liu, Z.; Zhang, M.; Guo, Y.; Tang, W. Hybrid PEDOT:PSS/SiC heterojunction UV photodetector with superior self-powered responsivity over A/W level. Appl. Phys. Lett. 2023, 122, 191102. [Google Scholar] [CrossRef]
- Wang, Y.; Xu, W.; Han, G.; You, T.; Mu, F.; Hu, H.; Liu, Y.; Zhang, X.; Huang, H.; Suga, T.; et al. Channel Properties of Ga2O3-on-SiC MOSFETs. IEEE Trans. Electron Devices 2021, 68, 1185–1189. [Google Scholar] [CrossRef]
- Shin, M.C.; Lee, Y.J.; Kim, D.H.; Jung, S.W.; Schweitz, M.A.; Shin, W.H.; Oh, J.M.; Park, C.; Koo, S.M. Improved Electrical Characteristics of Gallium Oxide/P-Epi Silicon Carbide Static Induction Transistors with UV/Ozone Treatment Fabricated by RF Sputter. Materials 2021, 14, 1296. [Google Scholar] [CrossRef] [PubMed]
- Zhou, X.; Liu, Q.; Xu, G.; Zhou, K.; Xiang, X.; He, Q.; Hao, W.; Jian, G.; Zhao, X.; Long, S. Realizing High-Performance β-Ga2O3 MOSFET by Using Variation of Lateral Doping: A TCAD Study. IEEE Trans. Electron Devices 2021, 68, 1501–1506. [Google Scholar] [CrossRef]
- Zhao, Y. Co-precipitated Ni/Mn shell coated nano Cu-rich core structure: A phase-field study. J. Mater. Res. Technol. 2022, 21, 546–560. [Google Scholar] [CrossRef]
- Zhang, L.; Xiong, D.; Su, Z.; Li, J.; Yin, L.; Yao, Z.; Wang, G.; Zhang, L.; Zhang, H. Molecular dynamics simulation and experimental study of tin growth in SAC lead-free microsolder joints under thermo-mechanical-electrical coupling. Mater. Today Commun. 2022, 33, 104301. [Google Scholar] [CrossRef]
- Wang, D.; Xu, K.D.; Luo, S.; Cui, Y.; Zhang, L.; Cui, J. A high Q-factor dual-band terahertz metamaterial absorber and its sensing characteristics. Nanoscale 2023, 15, 3398–3407. [Google Scholar] [CrossRef]
- Muhammad, I.; Ali, A.; Zhou, L.; Zhang, W.; Wong, P.K.J. Vacancy-engineered half-metallicity and magnetic anisotropy in CrSI semiconductor monolayer. J. Alloys Compd. 2022, 909, 164797. [Google Scholar] [CrossRef]
- Luo, Z.-Z.; Cai, S.; Hao, S.; Bailey, T.P.; Luo, Y.; Luo, W.; Yu, Y.; Uher, C.; Wolverton, C.; Dravid, V.P.; et al. Extraordinary role of Zn in enhancing thermoelectric performance of Ga-doped n-type PbTe. Energy Environ. Sci. 2022, 15, 368–375. [Google Scholar] [CrossRef]
- Li, Q.; Yuan, L.; Zhang, F.; Li, H.; Xiao, G.; Chen, Y.; Sun, T.; Liu, X.; Fu, T. Novel SiC/Si heterojunction LDMOS with electric field modulation effect by reversed L-shaped field plate. Results Phys. 2020, 16, 102837. [Google Scholar] [CrossRef]
- Torky, M.; Chow, T.P. Determination of Effective Critical Breakdown Field in 4H-SiC Superjunction Devices. Mater. Sci. Forum 2022, 1062, 560–564. [Google Scholar] [CrossRef]
- Lu, A.; Elwailly, A.; Zhang, Y.; Wong, H.Y. Study of Vertical Ga2O3 FinFET Short Circuit Ruggedness using Robust TCAD Simulation. ECS J. Solid State Sci. Technol. 2022, 11, 115001. [Google Scholar] [CrossRef]
- Wang, L.; Zhang, M.; Liu, Z.; Yang, L.; Li, S.; Tang, W.; Guo, Y. Investigation of Lateral Gallium Oxide MOSFET with Discrete Field Plate by Calibrated Numerical Simulation. In Proceedings of the 2022 19th China International Forum on Solid State Lighting & 2022 8th International Forum on Wide Bandgap Semiconductors (SSLCHINA: IFWS), Suzhou, China, 7–10 February 2023; pp. 181–184. [Google Scholar]
- Park, J.; Hong, S.-M. Simulation Study of Enhancement Mode Multi-Gate Vertical Gallium Oxide MOSFETs. ECS J. Solid State Sci. Technol. 2019, 8, Q3116–Q3121. [Google Scholar] [CrossRef]
- Arora, N.D.; Hauser, J.R.; Roulston, D.J. Electron and hole mobilities in silicon as a function of concentration and temperature. IEEE Trans. Electron Devices 1982, 29, 292–295. [Google Scholar] [CrossRef]
- Moser, N.; McCandless, J.; Crespo, A.; Leedy, K.; Green, A.; Neal, A.; Mou, S.; Ahmadi, E.; Speck, J.; Chabak, K.; et al. Ge-Doped β-Ga2O3 MOSFETs. IEEE Electron Device Lett. 2017, 38, 775–778. [Google Scholar] [CrossRef]
- Ma, N.; Tanen, N.; Verma, A.; Guo, Z.; Luo, T.; Xing, H.G.; Jena, D. Intrinsic electron mobility limits in β-Ga2O3. Appl. Phys. Lett. 2016, 109, 212101. [Google Scholar] [CrossRef]
- Caughey, D.M.; Thomas, R. Carrier mobilities in silicon empirically related to doping and field. Proc. IEEE 1967, 55, 2192–2193. [Google Scholar] [CrossRef]
- Jia, X.; Hu, H.; Han, G.; Liu, Y.; Hao, Y. Analytical Model for the Channel Maximum Temperature in Ga2O3 MOSFETs. Nanoscale Res. Lett. 2021, 16, 29. [Google Scholar] [CrossRef]
- Yang, K.; Guo, Y.; Zhang, J.; Yao, J.; Li, M.; Du, L.; Huang, X. An Analytical Breakdown Model for the SOI LDMOS With Arbitrary Drift Doping Profile by Using Effective Substrate Voltage Method. IEEE J. Electron Devices Soc. 2020, 8, 49–56. [Google Scholar] [CrossRef]
- Wu, H.; Duan, B.-X.; Yang, L.-Y.; Yang, Y.-T. Theoretical analytic model for RESURF AlGaN/GaN HEMTs. Chin. Phys. B 2019, 28, 027302. [Google Scholar] [CrossRef]
- Zhang, J.; Guo, Y.-F.; Yang, K.-M.; Huang, C.-Y.; Hu, F.-R. Modeling of the Variation of Lateral Doping (VLD) Lateral Power Devices via 1-D Analysis Using Effective Concentration Profile Concept. IEEE J. Electron Devices Soc. 2019, 7, 990–996. [Google Scholar] [CrossRef]
- Yufeng, G.; Zhigong, W.; Gene, S. A three-dimensional breakdown model of SOI lateral power transistors with a circular layout. J. Semicond. 2009, 30, 114006. [Google Scholar] [CrossRef]
- Qiao, M.; Li, Y.; Zhou, X.; Li, Z.; Zhang, B. A 700-V Junction-Isolated Triple RESURF LDMOS with N-Type Top Layer. IEEE Electron Device Lett. 2014, 35, 774–776. [Google Scholar] [CrossRef]
- Zhang, M.; Liu, Z.; Yang, L.; Yao, J.; Chen, J.; Zhang, J.; Wei, W.; Guo, Y.; Tang, W. β-Ga2O3-Based Power Devices: A Concise Review. Crystals 2022, 12, 406. [Google Scholar] [CrossRef]
- Wang, G.; Zhou, Y. Thermal Management Modeling for β-Ga2O3-Highly Thermal Conductive Substrates Heterostructures. IEEE Trans. Compon. Packag. Manuf. Technol. 2022, 12, 638–646. [Google Scholar] [CrossRef]
- Xia, X.; Li, J.-S.; Chiang, C.-C.; Ren, F.; Pearton, S. Fabrication and Device Performance of 2.7 Kv/2.5 A NiO/Ga2O3 Heterojunction Power Rectifiers. ECS Trans. 2023, 111, 103. [Google Scholar] [CrossRef]
- Li, S.; Guo, D.; Li, P.; Wang, X.; Wang, Y.; Yan, Z.; Liu, Z.; Zhi, Y.; Huang, Y.; Wu, Z.; et al. Ultrasensitive, Superhigh Signal-to-Noise Ratio, Self-Powered Solar-Blind Photodetector Based on n-Ga2O3/p-CuSCN Core-Shell Microwire Heterojunction. ACS Appl. Mater. Interfaces 2019, 11, 35105–35114. [Google Scholar] [CrossRef]
- Cheng, Z.; Mu, F.; You, T.; Xu, W.; Shi, J.; Liao, M.E.; Wang, Y.; Huynh, K.; Suga, T.; Goorsky, M.S.; et al. Thermal Transport across Ion-Cut Monocrystalline beta-Ga(2)O(3) Thin Films and Bonded beta-Ga2O3-SiC Interfaces. ACS Appl. Mater. Interfaces 2020, 12, 44943–44951. [Google Scholar] [CrossRef]
- Wu, F.; Wang, Y.; Jian, G.; Xu, G.; Zhou, X.; Guo, W.; Du, J.; Liu, Q.; Dun, S.; Yu, Z.; et al. Superior Performance β-Ga2O3 Junction Barrier Schottky Diodes Implementing p-NiO Heterojunction and Beveled Field Plate for Hybrid Cockcroft–Walton Voltage Multiplier. IEEE Trans. Electron Devices 2023, 70, 1199–1205. [Google Scholar] [CrossRef]










| Structural Parameters | Unit | Value |
|---|---|---|
| Substrate thickness tsub | μm | 200 |
| Drain to gate distance Lgd | μm | 7.5 |
| Al2O3 thickness tox | nm | 20 |
| Gate work function WF | eV | 5.3 |
| Substrate temperature Tsub | K | 300 |
| Ga2O3 channel thickness tch | μm | 0.235 for on-state, 0.1–0.5 for off-state |
| Ga2O3 channel doping Dch | cm−3 | 1 × 1017 for on-state, 1 × 1016–5 × 1017 for off-state |
| SiC layer thickness tSiC | μm | 30 for on-state, 5–30 for off-state |
| SiC layer doping DSiC | cm−3 | 1 × 1012 for on-state, 1 × 1015–1 × 1016 for off-state |
| Variables | Electron | Hole | Unit |
|---|---|---|---|
| Amin | 13 | 0.016 | cm2/V∙s |
| αm | −0.57 | −0.57 | 1 |
| Ad | 235 | 0.2 | cm2/V∙s |
| αd | 0.78 | 0.78 | 1 |
| AN | 1.1 × 1018 | 1.25 × 1017 | cm−3 |
| αN | 2.4 | 2.4 | 1 |
| Aa | 0.78 | 0.78 | 1 |
| αa | −0.146 | −0.146 | 1 |
| Variables | Value | Unit |
|---|---|---|
| α | 0 | 1 |
| β0 | 1 | 1 |
| βexp | 0 | 1 |
Disclaimer/Publisher’s Note: The statements, opinions and data contained in all publications are solely those of the individual author(s) and contributor(s) and not of MDPI and/or the editor(s). MDPI and/or the editor(s) disclaim responsibility for any injury to people or property resulting from any ideas, methods, instructions or products referred to in the content. |
© 2023 by the authors. Licensee MDPI, Basel, Switzerland. This article is an open access article distributed under the terms and conditions of the Creative Commons Attribution (CC BY) license (https://creativecommons.org/licenses/by/4.0/).
Share and Cite
Zhang, M.; Wang, L.; Yang, K.; Yao, J.; Tang, W.; Guo, Y. Breakdown Characteristics of Ga2O3-on-SiC Metal-Oxide-Semiconductor Field-Effect Transistors. Crystals 2023, 13, 917. https://doi.org/10.3390/cryst13060917
Zhang M, Wang L, Yang K, Yao J, Tang W, Guo Y. Breakdown Characteristics of Ga2O3-on-SiC Metal-Oxide-Semiconductor Field-Effect Transistors. Crystals. 2023; 13(6):917. https://doi.org/10.3390/cryst13060917
Chicago/Turabian StyleZhang, Maolin, Lei Wang, Kemeng Yang, Jiafei Yao, Weihua Tang, and Yufeng Guo. 2023. "Breakdown Characteristics of Ga2O3-on-SiC Metal-Oxide-Semiconductor Field-Effect Transistors" Crystals 13, no. 6: 917. https://doi.org/10.3390/cryst13060917
APA StyleZhang, M., Wang, L., Yang, K., Yao, J., Tang, W., & Guo, Y. (2023). Breakdown Characteristics of Ga2O3-on-SiC Metal-Oxide-Semiconductor Field-Effect Transistors. Crystals, 13(6), 917. https://doi.org/10.3390/cryst13060917
