Computational Discovery of New Feasible Crystal Structures in Ce3O3N
Abstract
1. Introduction
2. Computational Details
3. Results and Discussion
3.1. Candidates Generated via Global Exploration of the Energy Landscape at the Empirical Level
3.2. Candidates Generated via Data-Mining-Based Searches
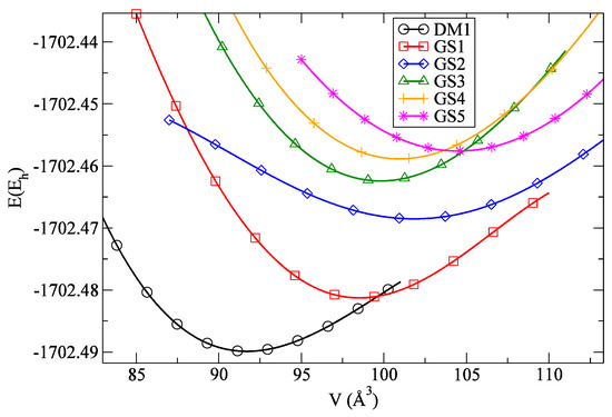
4. Crystal Structure Analysis
5. Conclusions
Supplementary Materials
Author Contributions
Funding
Data Availability Statement
Acknowledgments
Conflicts of Interest
References
- Higashi, M.; Abe, R.; Takata, T.; Domen, K. Photocatalytic Overall Water Splitting under Visible Light Using ATaO2N (A = Ca, Sr, Ba) and WO3 in a IO3−/I− Shuttle Redox Mediated System. Chem. Mater. 2009, 21, 1543–1549. [Google Scholar] [CrossRef]
- Yang, M.; Oró-Solé, J.; Kusmartseva, A.; Fuertes, A.; Attfield, J.P. Electronic Tuning of Two Metals and Colossal Magnetoresistances in EuWO1+xN2−x Perovskites. J. Am. Chem. Soc. 2010, 132, 4822–4829. [Google Scholar] [CrossRef] [PubMed]
- Jorge, A.B.; Oró-Solé, J.; Bea, A.M.; Mufti, N.; Palstra, T.T.M.; Rodgers, J.A.; Attfield, J.P.; Fuertes, A. Large Coupled Magnetoresponses in EuNbO2N. J. Am. Chem. Soc. 2008, 130, 12572–12573. [Google Scholar] [CrossRef]
- Kim, Y.-I.; Woodward, P.M.; Baba-Kishi, K.Z.; Tai, C.W. Characterization of the Structural, Optical, and Dielectric Properties of Oxynitride Perovskites AMO2N (A = Ba, Sr, Ca; M = Ta, Nb). Chem. Mater. 2004, 16, 1267–1276. [Google Scholar] [CrossRef]
- Jansen, M.; Letschert, H.P. Inorganic yellow-red pigments without toxic metals. Nature 2000, 404, 980–982. [Google Scholar] [CrossRef] [PubMed]
- Jorge, A.B.; Fraxedas, J.; Cantarero, A.; Williams, A.J.; Rodgers, J.; Attfield, J.P.; Fuertes, A. Nitrogen Doping of Ceria. Chem. Mater. 2008, 20, 1682–1684. [Google Scholar] [CrossRef]
- Lee, J.-S.; Lerch, M.; Maier, J. Nitrogen-doped zirconia: A comparison with cation stabilized zirconia. J. Solid State Chem. 2006, 179, 270–277. [Google Scholar] [CrossRef]
- Sun, Y.; Lin, S.; Li, W.; Cheng, S.; Zhang, Y.; Liu, Y.; Liu, W. Review on Alkali Element Doping in Cu(In,Ga)Se2 Thin Films and Solar Cells. Engineering 2017, 3, 452–459. [Google Scholar]
- Kageyama, H.; Hayashi, K.; Maeda, K.; Attfield, J.P.; Hiroi, Z.; Rondinelli, J.M.; Poeppelmeier, K.R. Expanding frontiers in materials chemistry and physics with multiple anions. Nat. Commun. 2018, 9, 772. [Google Scholar] [CrossRef]
- Wu, Y.; Lazic, P.; Hautier, G.; Persson, K.; Ceder, G. First principles high throughput screening of oxynitrides for water-splitting photocatalysts. Energy Environ. Sci. 2013, 6, 157–168. [Google Scholar] [CrossRef]
- Sawada, K.; Nakajima, T. High-throughput screening of perovskite oxynitride and oxide materials for visible-light photocatalysis. APL Mater. 2018, 6, 101103. [Google Scholar]
- Castelli, I.E.; Olsen, T.; Datta, S.; Landis, D.D.; Dahl, S.; Thygesen, K.S.; Jacobsen, K.W. Computational screening of perovskite metal oxides for optimal solar light capture. Energy Environ. Sci. 2012, 5, 5814–5819. [Google Scholar]
- Sharan, A.; Lany, S. Computational discovery of stable and metastable ternary oxynitrides. J. Chem. Phys. 2021, 154, 234706. [Google Scholar] [CrossRef]
- Prabhakaran, V.; Ramani, V. Structurally-Tuned Nitrogen-Doped Cerium Oxide Exhibits Exceptional Regenerative Free Radical Scavenging Activity in Polymer Electrolytes. J. Electrochem. Soc. 2013, 161, F1–F9. [Google Scholar]
- Zhang, Y.C.; Liu, Y.K.; Zhang, L.; Xiu-tian-feng, E.; Pan, L.; Zhang, X.; Zou, D.R.; Liu, S.H.; Zou, J.J. DFT study on water oxidation on nitrogen-doped ceria oxide. Appl. Surf. Sci. 2018, 452, 423–428. [Google Scholar]
- Mao, C.; Zhao, Y.; Qiu, X.; Zhu, J.; Burda, C. Synthesis, characterization and computational study of nitrogen-doped CeO2 nanoparticles with visible-light activity. Phys. Chem. Chem. Phys. 2008, 10, 5633–5638. [Google Scholar] [CrossRef]
- Shi, H.; Hussain, T.; Ahuja, R.; Kang, T.W.; Luo, W. Role of vacancies, light elements and rare-earth metals doping in CeO2. Sci. Rep. 2016, 6, 31345. [Google Scholar]
- Matović, B.; Dukić, J.; Babić, B.; Bučevac, D.; Dohčević-Mitrović, Z.; Radović, M.; Bošković, S. Synthesis, calcination and characterization of Nanosized ceria powders by self-propagating room temperature method. Ceram. Int. 2013, 39, 5007–5012. [Google Scholar] [CrossRef]
- Dmitrović, S.; Nikolić, M.G.; Jelenković, B.; Prekajski, M.; Rabasović, M.; Zarubica, A.; Branković, G.; Matović, B. Photoluminescent properties of spider silk coated with Eu-doped nanoceria. J. Nanoparticle Res. 2017, 19, 1–11. [Google Scholar]
- Mićović, D.; Pagnacco, M.C.; Banković, P.; Maletaškić, J.; Matović, B.; Djokić, V.R.; Stojmenović, M. The influence of short thermal treatment on structure, morphology and optical properties of Er and Pr doped ceria pigments: Comparative study. Process. Appl. Ceram. 2019, 13, 310–321. [Google Scholar] [CrossRef]
- WoŁcyrz, M.; Kepinski, L. Rietveld refinement of the structure of CeOCI formed in Pd/CeO2 catalyst: Notes on the existence of a stabilized tetragonal phase of La2O3 in La-Pd-O system. J. Solid State Chem. Fr. 1992, 99, 409–413. [Google Scholar] [CrossRef]
- Coduri, M.; Scavini, M.; Allieta, M.; Brunelli, M.; Ferrero, C. Defect Structure of Y-Doped Ceria on Different Length Scales. Chem. Mater. 2013, 25, 4278–4289. [Google Scholar] [CrossRef]
- Mamontov, E.; Egami, T.; Brezny, R.; Koranne, M.; Tyagi, S. Lattice Defects and Oxygen Storage Capacity of Nanocrystalline Ceria and Ceria-Zirconia. J. Phys. Chem. B 2000, 104, 11110–11116. [Google Scholar] [CrossRef]
- Skorodumova, N.V.; Ahuja, R.; Simak, S.I.; Abrikosov, I.A.; Johansson, B.; Lundqvist, B.I. Electronic, bonding, and optical properties of CeO2 and Ce2O3 from first principles. Phys. Rev. B 2001, 64, 115108. [Google Scholar] [CrossRef]
- Zagorac, J.; Schön, J.C.; Matović, B.; Škundrić, T.; Zagorac, D. Predicting Feasible Modifications of Ce2ON2 Using a Combination of Global Optimization and Data Mining. J. Phase Equilibria Diffus. 2020, 41, 538–549. [Google Scholar] [CrossRef]
- Čebela, M.; Zagorac, D.; Batalović, K.; Radaković, J.; Stojadinović, B.; Spasojević, V.; Hercigonja, R. BiFeO3 perovskites: A multidisciplinary approach to multiferroics. Ceram. Int. 2017, 43, 1256–1264. [Google Scholar] [CrossRef]
- Zagorac, J.; Zagorac, D.; Rosić, M.; Schön, J.C.; Matović, B. Structure prediction of aluminum nitride combining data mining and quantum mechanics. CrystEngComm 2017, 19, 5259–5268. [Google Scholar] [CrossRef]
- Zagorac, D.; Schön, J.C.; Rosić, M.; Zagorac, J.; Jordanov, D.; Luković, J.; Matović, B. Theoretical and Experimental Study of Structural Phases in CoMoO4. Cryst. Res. Technol. 2017, 52, 1700069. [Google Scholar] [CrossRef]
- Kirkpatrick, S.; Gelatt, C.D.; Vecchi, M.P. Optimization by Simulated Annealing. Science 1983, 220, 671–680. [Google Scholar] [CrossRef]
- Schön, J.C. Nanomaterials—What energy landscapes can tell us. Process. Appl. Ceram. 2015, 9, 157–168. [Google Scholar] [CrossRef]
- Schön, J.C.; Jansen, M. Determination of candidate structures for simple ionic compounds through cell optimisation. Comput. Mater. Sci. 1995, 4, 43–58. [Google Scholar] [CrossRef]
- Bergerhoff, G.; Brown, I.D. Crystallographic Databases; International Union of Crystallography: Chester, UK, 1987. [Google Scholar]
- Zagorac, D.; Muller, H.; Ruehl, S.; Zagorac, J.; Rehme, S. Recent developments in the Inorganic Crystal Structure Database: Theoretical crystal structure data and related features. J. Appl. Crystallogr. 2019, 52, 918–925. [Google Scholar] [CrossRef] [PubMed]
- Sokol, A.A.; Catlow, C.R.A.; Miskufova, M.; Shevlin, S.A.; Al-Sunaidi, A.A.; Walsh, A.; Woodley, S.M. On the problem of cluster structure diversity and the value of data mining. Phys. Chem. Chem. Phys. 2010, 12, 8438–8445. [Google Scholar] [CrossRef] [PubMed]
- Ceder, G.; Morgan, D.; Fischer, C.; Tibbetts, K.; Curtarolo, S. Data-Mining-Driven Quantum Mechanics for the Prediction of Structure. MRS Bull. 2011, 31, 981–985. [Google Scholar] [CrossRef]
- Dovesi, R.; Orlando, R.; Civalleri, B.; Roetti, C.; Saunders Victor, R.; Zicovich-Wilson Claudio, M. CRYSTAL: A computational tool for the ab initio study of the electronic properties of crystals. Z. Für Krist. Cryst. Mater. 2005, 220, 571. [Google Scholar] [CrossRef]
- Doll, K.; Dovesi, R.; Orlando, R. Analytical Hartree–Fock gradients with respect to the cell parameter for systems periodic in three dimensions. Theor. Chem. Acc. 2004, 112, 394–402. [Google Scholar] [CrossRef]
- Doll, K.; Saunders, V.R.; Harrison, N.M. Analytical Hartree–Fock gradients for periodic systems. Int. J. Quantum Chem. 2001, 82, 1–13. [Google Scholar] [CrossRef]
- Graciani, J.; Márquez, A.M.; Plata, J.J.; Ortega, Y.; Hernández, N.C.; Meyer, A.; Zicovich-Wilson, C.M.; Sanz, J.F. Comparative Study on the Performance of Hybrid DFT Functionals in Highly Correlated Oxides: The Case of CeO2 and Ce2O3. J. Chem. Theory Comput. 2011, 7, 56–65. [Google Scholar] [CrossRef] [PubMed]
- Towler, M.D.; Allan, N.L.; Harrison, N.M.; Saunders, V.R.; Mackrodt, W.C.; Aprà, E. Ab initio study of MnO and NiO. Phys. Rev. B 1994, 50, 5041–5054. [Google Scholar] [CrossRef]
- Zagorac, D.; Schön, J.C.; Zagorac, J.; Jansen, M. Prediction of structure candidates for zinc oxide as a function of pressure and investigation of their electronic properties. Phys. Rev. B 2014, 89, 075201. [Google Scholar] [CrossRef]
- Dovesi, R.; Causa’, M.; Orlando, R.; Roetti, C.; Saunders, V.R. Ab initio approach to molecular crystals: A periodic Hartree–Fock study of crystalline urea. J. Chem. Phys. 1990, 92, 7402–7411. [Google Scholar] [CrossRef]
- Zagorac, D.; Zagorac, J.; Djukic, M.B.; Jordanov, D.; Matović, B. Theoretical study of AlN mechanical behaviour under high pressure regime. Theor. Appl. Fract. Mech. 2019, 103, 102289. [Google Scholar] [CrossRef]
- Hundt, R. KPLOT, A Program for Plotting and Analyzing Crystal Structures; Technicum Scientific Publishing: Stuttgart, Germany, 2016. [Google Scholar]
- Momma, K.; Izumi, F. VESTA: A three-dimensional visualization system for electronic and structural analysis. J. Appl. Crystallogr. 2008, 41, 653–658. [Google Scholar] [CrossRef]
- Hundt, R.; Schon, J.C.; Hannemann, A.; Jansen, M. Determination of symmetries and idealized cell parameters for simulated structures. J. Appl. Crystallogr. 1999, 32, 413–416. [Google Scholar] [CrossRef]
- Hannemann, A.; Hundt, R.; Schön, J.C.; Jansen, M. A New Algorithm for Space-Group Determination. J. Appl. Crystallogr. 1998, 31, 922–928. [Google Scholar] [CrossRef]
- Hundt, R.; Schon, J.C.; Jansen, M. CMPZ—An algorithm for the efficient comparison of periodic structures. J. Appl. Crystallogr. 2006, 39, 6–16. [Google Scholar] [CrossRef]
- Tsokol, A.O.; Bodak, O.I.; Marusin, E.P.; Baivelman, M.G. Crystal structure of the compound ScAl3C3. Sov. Phys. Crystallogr. (=Kristalogr.) 1986, 31, 467–468. [Google Scholar]
- Rabenau, A.; Kniep, R.; Höhn, P. Ba3[FeN3]: Ein neues Nitridoferrat(III) mit [CO3]2--isosteren Anionen [FeN3]6. Z. Für Krist. 1991, 196, 153–158. [Google Scholar] [CrossRef]
- Lang, J.; Hamon, C.; Marchand, R.; Laurent, Y. Étude d’halogénopnictures. III. Structure de Ca2PI et Ca3PI3. Surstructures de type NaCl. Bull. De Minéralogie 1974, 97, 6–12. [Google Scholar]
- Cordier, G.; Schaefer, H.; Stelter, M. Neue Zintlphasen: Ba3GaSb3, Ca3GaAs3 und Ca3InP3. Z. Fuer Nat. Teil B Anorg. Chem. Org. Chem. 1985, 40, 1100–1104. [Google Scholar]
- Machatsehki, F. XII. Präzisionsmessungen der Gitterkonstanten verschiedener Fahlerze. Form. Und Struktur Derselben 1928, 68, 204–222. [Google Scholar] [CrossRef]
- Klepp, K.; Boller, H. Die Kristallstruktur von TlFe3Te3. Mon. Für Chem. Chem. Mon. 1979, 110, 677–684. [Google Scholar] [CrossRef]
- Pollock, C.B.; Stadelmaier, H.H. The eta carbides in the Fe−W−C and Co−W−C systems. Metall. Trans. 1970, 1, 767–770. [Google Scholar] [CrossRef]
- Ebihara, M.; Martin, J.D.; Corbett, J.D. Novel Chain and Oligomeric Condensed Cluster Phases for Gadolinium Iodides with Manganese Interstitials. Inorg. Chem. 1994, 33, 2079–2084. [Google Scholar] [CrossRef]
- Crystal structure of hexapotassium di-μ-selenido-bis(diselenidoaluminate), K6Al2Se6. Z. Für Krist. 1991, 197, 173–174. [CrossRef]
- Kuchinke, J.; Jansen, C.; Lindemann, A.; Krebs, B. Syntheses and Crystal Structures of the Novel Ternary Thioborates Na3BS3, K3BS3, and Rb3BS3. Z. Anorg. Allg. Chem. 2001, 627, 896–902. [Google Scholar] [CrossRef]
- Dittmar, G. Die KristallStrukturen von K6[Ge2Te6] und K6[Sn2Te6] und ihre kristall-chemische Beziehung zum K6[Si2Te6]-Typ. Z. Anorg. Allg. Chem. 1979, 453, 68–78. [Google Scholar] [CrossRef]
- Kuznetsov, I.Y.; Vinitskii, D.M.; Solntsev, K.A.; Kuznetsov, N.T.; Butman, L.A. The crystal structure of K2B6H6 and Cs2B6H6. Zhurnal Neorgnicheskoi Khimii 1987, 32, 3112–3114. [Google Scholar]
- Palazzi, M. Structure cristalline de l’orthotrithioarsenite trisodique Na3AsS3. Acta Crystallogr. Sect. B 1976, 32, 3175–3177. [Google Scholar] [CrossRef]
- Mruz, O.Y.; Pecharskii, V.K.; Sobolev, A.N.; Bodak, O.I. Crystal structure of SmNi3Ge3. Kristallografiya 1990, 35, 202–204. [Google Scholar]
- Kotur, B.Y.; Gladyshevskii, E.I. Crystal structure of scandium-nickel silicide (Sc3NiSi3). Kristallografiya 1983, 28, 461–464. [Google Scholar]
- Harker, D. The Application of the Three-Dimensional Patterson Method and the Crystal Structures of Proustite, Ag3AsS3, and Pyrargyrite, Ag3SbS3. J. Chem. Phys. 1936, 4, 381–390. [Google Scholar] [CrossRef]
- Wei, C.H. Structural analyses of tetracobalt dodecacarbonyl and tetrarhodium dodecacarbonyl. Crystallographic treatments of a disordered structure and a twinned composite. Inorg. Chem. 1969, 8, 2384–2397. [Google Scholar] [CrossRef]
- Hong, H.Y.P.; Mikkelsen, J.C.; Roland, G.W. Crystal structure of Tl3AsSe3. Mater. Res. Bull. 1974, 9, 365–369. [Google Scholar] [CrossRef]
- Engel, P.; Nowacki, W. Die Kristallstruktur von Xanthokon, Ag3AsS3. Acta Crystallogr. Sect. B 1968, 24, 77–81. [Google Scholar] [CrossRef]
- Fischer, D.; Andriyevsky, B.; Schön, C. Systematics of the allotrope formation in elemental gallium films. Mater. Res. Express 2019, 6, 116401. [Google Scholar] [CrossRef]
- Zagorac, D.; Zagorac, J.; Schön, J.C.; Stojanovic, N.; Matovic, B. ZnO/ZnS (hetero)structures: Ab initio investigations of polytypic behavior of mixed ZnO and ZnS compounds. Acta Crystallogr. B 2018, 74, 628–642. [Google Scholar] [CrossRef]
- Zagorac, D.; Zagorac, J.; Pejić, M.; Matović, B.; Schön, J.C. Band Gap Engineering of Newly Discovered ZnO/ZnS Polytypic Nanomaterials. Nanomaterials 2022, 12, 1595. [Google Scholar] [CrossRef]
- Pejić, M.; Zagorac, D.; Zagorac, J.; Matović, B.; Schön, J.C. Structure prediction via global energy landscape exploration of the ternary rare-earth compound LaOI. Z. Anorg. Allg. Chem. 2022, 648, e202200308. [Google Scholar] [CrossRef]
- Schön, J.C. Energy landscapes in inorganic chemistry. In Comprehensive Inorganic Chemistry III; Poeppelmeier, K., Reedijk, J., Eds.; Elsevier: Amsterdam, The Netherlands, 2023; pp. 262–392. [Google Scholar]





| Pressure (GPa) | Space Group No. | |||||||||||||||||
|---|---|---|---|---|---|---|---|---|---|---|---|---|---|---|---|---|---|---|
| 1 | 3 | 5 | 6 | 8 | 10 | 16 | 25 | 38 | 44 | 47 | 99 | 115 | 146 | 155 | 160 | 207 | 221 | |
| 0 | 379 | - | - | 32 | 11 | - | - | 7 | - | 2 | - | 1 | - | - | - | - | - | - |
| 0.016 | 376 | 2 | 1 | 27 | 7 | - | - | 10 | 2 | - | - | 1 | 1 | - | 1 | - | 1 | 3 |
| 0.16 | 368 | - | - | 38 | 3 | 1 | 1 | 5 | - | 1 | 1 | 1 | - | - | - | - | 3 | 10 |
| 1.6 | 373 | 1 | 2 | 26 | 9 | - | - | 7 | 3 | - | - | 1 | - | - | 1 | - | 2 | 7 |
| 16 | 370 | 2 | 3 | 25 | 10 | - | - | - | 7 | 2 | - | - | - | - | - | - | 6 | 7 |
| 160 | 332 | - | 3 | 36 | 20 | 1 | 1 | 5 | 16 | 1 | 11 | - | - | 4 | - | 2 | - | - |
| Σ | 2198 | 5 | 9 | 184 | 60 | 2 | 2 | 34 | 28 | 6 | 12 | 4 | 1 | 4 | 2 | 2 | 12 | 27 |
| Modification | Space Group (No.) | Total Energy (Eh) | Relative Energy in Eh (kcal/mol) |
|---|---|---|---|
| Ce3O3N-DM1 | R3c (161) | −1702.4875 | 0 |
| Ce3O3N-GS1 | P2/m (10) | −1702.4813 | 0.0062 (3.89) |
| Ce3O3N-GS2 | Amm2 (38) | −1702.4685 | 0.0190 (11.92) |
| Ce3O3N-GS3 | Imm2 (44) | −1702.4627 | 0.0248 (15.56) |
| Ce3O3N-GS4 | Pmmm (47) | −1702.4588 | 0.0287 (18.01) |
| Ce3O3N-GS5 | Amm2 (38) | −1702.4576 | 0.0299 (18.76) |
| Ce3O3N-GS6 | Pmmm (47) | −1702.4509 | 0.0366 (22.97) |
| Ce3O3N-GS7 | Pm-3m (221) | −1702.4394 | 0.0481 (30.18) |
| Ce3O3N-DM2 | P63/m (176) | −1702.4007 | 0.0868 (54.47) |
| Ce3O3N-DM3 | I-43m (217) | −1702.2837 | 0.2038 (127.89) |
| Modification | Space Group (No.) | Cell Parameters (Å) and Fractional Coordinates |
|---|---|---|
| Ce3O3N-DM1 | R3c (161) | a = 10.17; c = 6.15 Ce (−0.1996 −0.0378 0.2416) O (−0.0656 0.2200 0.3762) N (0 0 0.0066) |
| Ce3O3N-GS1 | P2/m (10) | a = 5.89; b = 3.62; c = 5.04; β = 113.2° Ce (0 0 0) Ce (0.3017 1/2 0.6238) O (0.2702 1/2 0.0652) O (1/2 0/2) N (0 0 1/2) |
| Ce3O3N-GS2 | Amm2 (38) | a = 3.59; b = 9.83; c = 5.78 Ce (1/2 0.1729 0.8911) Ce (0 0 0.3964) Ce (1/2 0 0.8038) O (0.5 0 0.1402) O (0 0.7712 0.1681) N (1/2 0 0.6528) |
| Ce3O3N-GS3 | Imm2 (44) | a = 3.38; b = 3.39; c = 17.39 Ce (0 0 0.7735) Ce (0 0 0.4276) Ce (0 0 0.0814) O (0 0 0.5589) O (0 0 0.2961) O (0 1/2 0.1775) N (0 0 0.9277) |
| Ce3O3N-GS4 | Pmmm (47) | a = 6.86; b = 3.53; c = 4.62 Ce (1/2 0 0) Ce (0.7607 1/2 1/2) O (0.2869 1/2 0) O (0 0 1/2) N (1/2 0 1/2) |
| Ce3O3N-GS5 | Amm2 (38) | a = 3.49; b = 3.32; c = 17.93 Ce (1/2 0 0.0970) Ce (0 0 0.4475) Ce (1/2 0 0.8038) O (0 0 0.5730) O (0 0 0.3143) O (1/2 0 0.6850) N (1/2 0 0.9444) |
Disclaimer/Publisher’s Note: The statements, opinions and data contained in all publications are solely those of the individual author(s) and contributor(s) and not of MDPI and/or the editor(s). MDPI and/or the editor(s) disclaim responsibility for any injury to people or property resulting from any ideas, methods, instructions or products referred to in the content. |
© 2023 by the authors. Licensee MDPI, Basel, Switzerland. This article is an open access article distributed under the terms and conditions of the Creative Commons Attribution (CC BY) license (https://creativecommons.org/licenses/by/4.0/).
Share and Cite
Zagorac, J.; Schön, J.C.; Matović, B.; Pejić, M.; Prekajski Đorđević, M.; Zagorac, D. Computational Discovery of New Feasible Crystal Structures in Ce3O3N. Crystals 2023, 13, 774. https://doi.org/10.3390/cryst13050774
Zagorac J, Schön JC, Matović B, Pejić M, Prekajski Đorđević M, Zagorac D. Computational Discovery of New Feasible Crystal Structures in Ce3O3N. Crystals. 2023; 13(5):774. https://doi.org/10.3390/cryst13050774
Chicago/Turabian StyleZagorac, Jelena, Johann Christian Schön, Branko Matović, Milan Pejić, Marija Prekajski Đorđević, and Dejan Zagorac. 2023. "Computational Discovery of New Feasible Crystal Structures in Ce3O3N" Crystals 13, no. 5: 774. https://doi.org/10.3390/cryst13050774
APA StyleZagorac, J., Schön, J. C., Matović, B., Pejić, M., Prekajski Đorđević, M., & Zagorac, D. (2023). Computational Discovery of New Feasible Crystal Structures in Ce3O3N. Crystals, 13(5), 774. https://doi.org/10.3390/cryst13050774
