Enhancing the Structural, Optical, Thermal, and Electrical Properties of PVA Filled with Mixed Nanoparticles (TiO2/Cu)
Abstract
1. Introduction
2. Experimental Section
2.1. Materials
2.2. Preparation of TiO2 NPs
2.3. Preparation of PVA-TiO2/Cu Nanocomposite Electrolytes
2.4. Characterization Analysis Instruments
3. Results and Discussion
3.1. XRD Analysis
3.2. TEM Micrographs
3.3. Fourier Transform Infrared (FTIR)
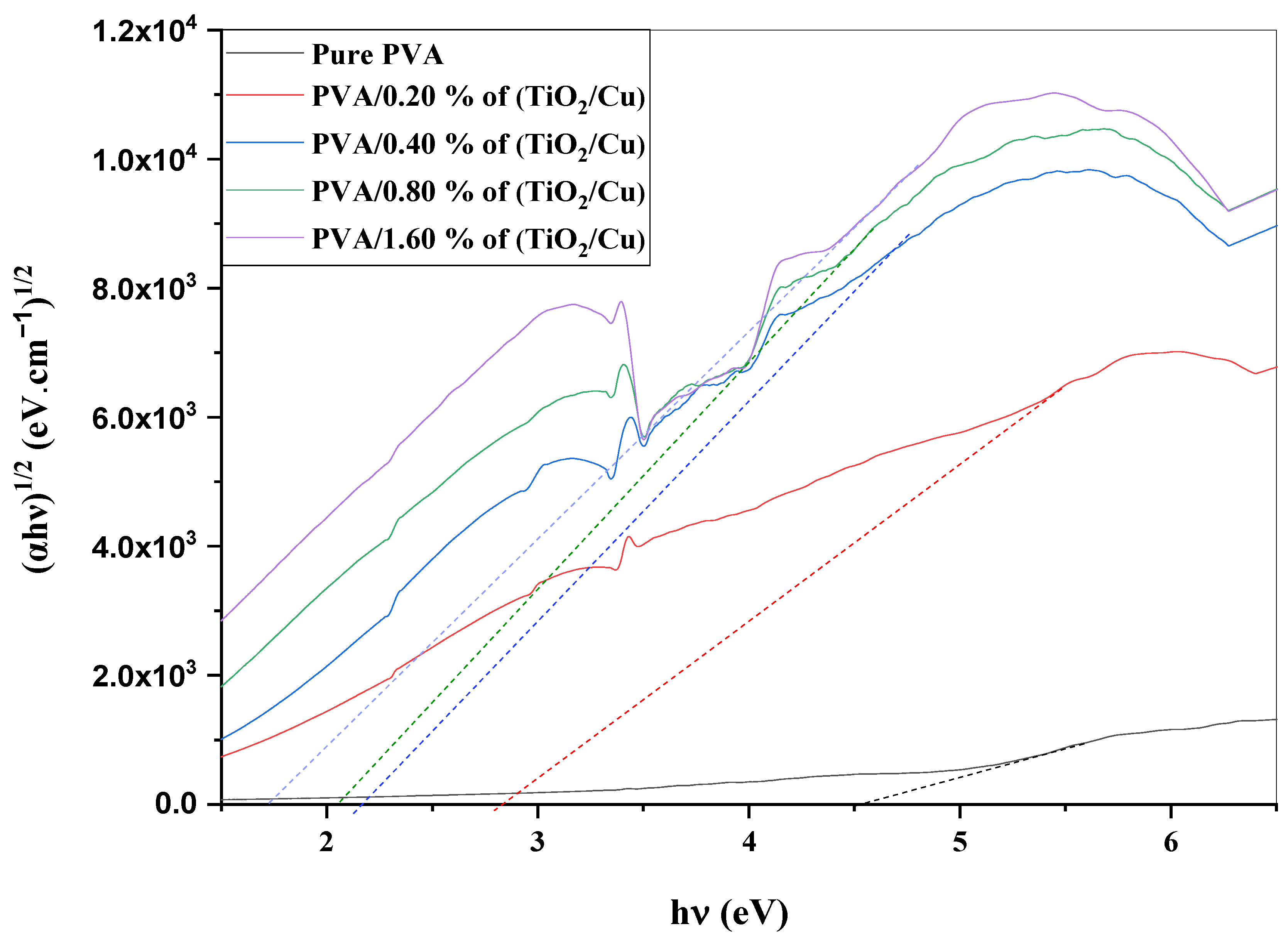
3.4. UV/Visible Absorbance
3.5. Morphology and Dispersibility of PVA-Cu/TiO2 Nanocomposites
3.6. DSC Analysis
3.7. AC Conductivity
3.8. Electric Modulus Examination
4. Conclusions
Author Contributions
Funding
Data Availability Statement
Acknowledgments
Conflicts of Interest
References
- Elfadl, A.A.; Ismail, A.M.; Mohammed, M.I. Dielectric study and AC conduction mechanism of gamma irradiated nano-composite of polyvinyl alcohol matrix with Cd0.9Mn0.1S. J. Mater. Sci. Mater. 2020, 31, 8297–8307. [Google Scholar] [CrossRef]
- El Sayed, A.M. Synthesis, optical, thermal, electric properties and impedance spectroscopy studies on P(VC-MMA) of optimized thickness and reinforced with MWCNTs. Results Phys. 2020, 17, 103025. [Google Scholar] [CrossRef]
- Feig, V.R.; Tran, H.; Bao, Z. Biodegradable Polymeric Materials in Degradable Electronic Devices. ACS Cent. Sci. 2018, 4, 337–348. [Google Scholar] [CrossRef] [PubMed]
- Xiao, M.; Du, B.X. Review of high thermal conductivity polymer dielectrics for electrical insulation. High Volt. 2016, 1, 34–42. [Google Scholar] [CrossRef]
- Waly, A.L.; Abdelghany, A.M.; Tarabiah, A.E. Study the structure of selenium modified polyethylene oxide/polyvinyl alcohol (PEO/PVA) polymer blend. J. Mater. Res. Technol. 2021, 14, 2962–2969. [Google Scholar] [CrossRef]
- Morsi, M.A.; Asnag, G.M.; Rajeh, A.; Awwad, N.S. Nd: YAG nanosecond laser induced growth of Au nanoparticles within CMC/PVA matrix: Multifunctional nanocomposites with tunable optical and electrical properties. Compos. Commun. 2021, 24, 100662. Available online: https://www.sciencedirect.com/science/article/abs/pii/S2452213921000383 (accessed on 6 January 2022). [CrossRef]
- Li, W.; Liang, R.; Hu, A.; Huang, Z.; Zhou, Y.N. Generation of oxygen vacancies in visible light activated one-dimensional iodine TiO2 photocatalysts. RSC Adv. 2014, 4, 36959–36966. [Google Scholar] [CrossRef]
- Kumar, B.; Kaur, G.; Singh, P.; Rai, S.B. Synthesis, structural, optical and electrical properties of metal nanoparticle–rare earth ion dispersed in polymer film. J. Appl. Phys. B 2013, 110, 345–351. [Google Scholar] [CrossRef]
- Sardar, S.; Maity, S.; Pal, S.; Parvej, H.; Das, N.; Sepay, N.; Sarkar, M.; Halder, U.C. Multispectroscopic analysis and molecular modeling to investigate the binding of beta lactoglobulin with curcumin derivatives. Spec. Publ.-R. Soc. Chem. 2016, 6, 85340–85346. [Google Scholar]
- Sreedevi, P.; Reddy, P.S. Effect of magnetic field and thermal radiation on natural convection in a square cavity filled with TiO2 nanoparticles using Tiwari-Das nanofluid model. Alex. Eng. J. 2022, 61, 1529–1541. [Google Scholar] [CrossRef]
- Dardeer, H.M.; Toghan, A.; Zaki, M.E.A.; Elamary, R.B. Design, Synthesis and Evaluation of Novel Antimicrobial Polymers Based on the Inclusion of Polyethylene Glycol/TiO2 Nanocomposites in Cyclodextrin as Drug Carriers for Sulfaguanidine. Polym. J. 2022, 14, 227. [Google Scholar] [CrossRef]
- Ali, Z.I.; Ghazy, O.A.; Meligi, G.; Saleh, H.H.; Bekhit, M. Copper nanoparticles: Synthesis, characterization and its application as catalyst for p-nitrophenol reduction. Adv. Polym. Technol. 2018, 37, 365–375. [Google Scholar] [CrossRef]
- Nasar, G.; Khan, M.A.; Warsi, M.F.; Shahid, M.; Khalil, U.; Khan, M.S. Structural and electromechanical behavior evaluation of polymer-copper nanocomposites. Macromol. Res. 2016, 24, 309–313. [Google Scholar] [CrossRef]
- Abdallah, E.M.; Qahtan, T.F.; Abdelrazek, E.M.; Asnag, G.M.; Morsi, M.A. Enhanced the structural, optical, electrical and magnetic properties of PEO/CMC blend filled with cupper nanoparticles for energy storage and magneto-optical devices. Opt. Mater. 2022, 134, 113092. [Google Scholar] [CrossRef]
- El-Desoky, M.M.; Morad, I.; Wasfy, M.H.; Mansour, A.F. Synthesis, structural and electrical properties of PVA/TiO2 nanocomposite films with different TiO2 phases prepared by sol–gel technique. J. Mater. Sci. Mater. Electron. 2020, 31, 17574–17584. [Google Scholar] [CrossRef]
- Ferdowsi, P.; Mokhtari, J. Fabrication and characterization of electrospun PVA/CdS and PVA/TiO2 nanocomposite thin films as n-type semiconductors. Polym. Bull. 2015, 72, 2363–2375. [Google Scholar] [CrossRef]
- Abdallah, E.M.; Morsi, M.A.; Asnag, G.M.; Tarabiah, A.E. Structural, optical, thermal, and dielectric properties of carboxymethyl cellulose/sodium alginate blend/lithium titanium oxide nanoparticles: Biocomposites for lithium-ion batteries applications. Int. J. Energy Res. 2022, 46, 10741–10757. [Google Scholar] [CrossRef]
- Zidan, H.M.; Abdelrazek, E.M.; Abdelghany, A.M.; Tarabiah, A.E. Characterization and some physical studies of PVA/PVP filled with MWCNTs. J. Mater. Res. Technol. 2019, 8, 904–913. [Google Scholar] [CrossRef]
- Tarabiah, A.E.; Alhadlaq, H.A.; Alaizeri, Z.M.; Ahmed, A.A.A.; Asnag, G.M.; Ahamed, M. Enhanced structural, optical, electrical properties and antibacterial activity of PEO/CMC doped ZnO nanorods for energy storage and food packaging applications. J. Polym. Res. 2022, 29, 1–16. [Google Scholar] [CrossRef]
- Algethami, N.; Rajeh, A.; Ragab, H.M.; Tarabiah, A.E.; Gami, F. Characterization, optical, and electrical properties of chitosan/polyacrylamide blend doped silver nanoparticles. J. Mater. Sci. Mater. Electron. 2022, 33, 10645–10656. [Google Scholar] [CrossRef]
- Tekin, D.; Birhan, D.; Kiziltas, H. Thermal, photocatalytic, and antibacterial properties of calcinated nano-TiO2/polymer composites. Mater. Chem. Phys. 2020, 251, 123067. [Google Scholar] [CrossRef]
- Nikfarjam, A.; Hosseini, S.; Salehifar, N. Fabrication of a highly sensitive single aligned TiO2 and gold nanoparticle embedded TiO2 nano-fiber gas sensor. ACS Appl. Mater. Interfaces 2017, 9, 15662–15671. [Google Scholar] [CrossRef] [PubMed]
- Omkaram, I.; Chakradhar, R.P.S.; Rao, J.L. EPR, optical, infrared and Raman studies of VO2+ ions in polyvinylalcohol films. Phys. B Condens. Matter 2007, 388, 318–325. [Google Scholar] [CrossRef]
- Kim, G.M.; Asran, A.S.; Michler, G.H.; Simon, P.; Kim, J.S. Electrospun PVA/HAp nanocomposite nanofibers: Biomimetics of mineralized hard tissues at a lower level of complexity. Bioinspiration Biomim. 2008, 3, 046003. [Google Scholar] [CrossRef] [PubMed]
- Tan, Z.; Sato, K.; Ohara, S. Synthesis of layered nanostructured TiO2 by hydrothermal method. Adv. Powder Technol. 2015, 26, 296–302. [Google Scholar] [CrossRef]
- Islamipour, Z.; Zare, E.N.; Salimi, F.; Ghomi, M.; Makvandi, P. Biodegradable antibacterial and antioxidant nanocomposite films based on dextrin for bioactive food packaging. J. Nanostructure Chem. 2022, 12, 991–1006. [Google Scholar] [CrossRef]
- Abdelghany, A.M.; Abdelrazek, E.M.; Tarabiah, A.E. Modeling and physical properties of lead sulphide/polyvinyl alcohol nano-composite. Quantum Matter 2016, 5, 257–262. [Google Scholar] [CrossRef]
- Mustafa, M.N.; Shafie, S.; Wahid, M.H.; Sulaiman, Y. Light scattering effect of polyvinyl-alcohol/titanium dioxide nanofibers in the dye-sensitized solar cell. Sci. Rep. 2019, 9, 14952. [Google Scholar] [CrossRef]
- Dana, A.T. Effect of CuCl2 powder on the optical characterization of Methylcellulose (MC) polymer composite. Alex. Eng. J. 2022, 61, 2354–2365. [Google Scholar] [CrossRef]
- Murri, R.; Schiavulli, L.; Pinto, N.; Ligonzo, T. Urbach tail in amorphous gallium arsenide films. J. Non-Cryst. Solids 1992, 139, 60–66. [Google Scholar] [CrossRef]
- Khairy, Y.; Elsaeedy, H.I.; Mohammed, M.I.; Zahran, H.Y.; Yahia, I.S. Anomalous behaviour of the electrical properties for PVA/TiO2 nanocomposite polymeric films. Polym. Bull. 2020, 77, 6255–6269. [Google Scholar] [CrossRef]
- Hdidar, M.; Chouikhi, S.; Fattoum, A.; Arous, M.; Kallel, A.J. Influence of TiO2 rutile doping on the thermal and dielectric properties of nanocomposite films based PVA. Alloy. Compd. 2018, 750, 375–383. [Google Scholar] [CrossRef]
- Park, H.J.; Badakhsh, A.; Im, I.T.; Kim, M.S.; Park, C.W. Experimental study on the thermal and mechanical properties of MWCNT/polymer and Cu/polymer composites. Appl. Therm. Eng. 2016, 107, 907–917. [Google Scholar] [CrossRef]
- Asnag, G.M.; Oraby, A.H.; Abdelghany, A.M. Effect of gamma-irradiation on the structural, optical and electrical properties of PEO/starch blend containing different concentrations of gold nanoparticles. Radiat. Eff. Defects Solids 2019, 1, 579–595. [Google Scholar] [CrossRef]
- Sengwa, R.J.; Choudhary, S.; Dhatarwal, P.J. Nonlinear optical and dielectric properties of TiO2 nanoparticles incorporated PEO/PVP blend matrix based multifunctional polymer nanocomposites. Mater. Sci. Mater. Electron. 2019, 30, 12275–12294. [Google Scholar] [CrossRef]
- Alghamdi, H.M.; Rajeh, A. Synthesis of carbon nanotubes/titanium dioxide and study of its effect on the optical, dielectric, and mechanical properties of polyvinyl alcohol/sodium alginate for energy storage devices. Int. J. Energy Res. 2021. [Google Scholar] [CrossRef]
- Sebak, M.A.; Qahtan, T.F.; Asnag, G.M.; Abdallah, E.M. The Role of TiO2 Nanoparticles in the Structural, Thermal and Electrical Properties and Antibacterial Activity of PEO/PVP Blend for Energy Storage and Antimicrobial Application. J. Inorg. Organomet. Polym. Mater. 2022, 32, 4715–4728. [Google Scholar] [CrossRef]
- Abdelrazek, E.M.; Asnag, G.M.; Oraby, A.H.; Abdelghany, A.M.; Alshehari, A.M.; Gumaan, M.S. Structural, optical, thermal, morphological and electrical studies of PEMA/PMMA blend filled with CoCl2 and LiBr as mixed filler. J. Electron. Mater. 2020, 49, 6107–6122. [Google Scholar] [CrossRef]
- Abdelrazek, E.M.; Asnag, G.M.; Oraby, A.H.; Abdelghany, A.M.; Alshehari, A.M. Effect of addition of a mixed filler of CoCl2 and LiBr into PEMA and its morphological, thermal and electrical properties. Bull. Mater. Sci. 2020, 43, 1–5. [Google Scholar] [CrossRef]
- Petty, C.W.; Phillips, J. Super dielectric material based capacitors: Punched membrane/gel. J. Electron. Mater. 2018, 47, 4902–4909. [Google Scholar] [CrossRef]
- Demirezen, S.; Çetinkaya, H.G.; Altındal, Ş. Doping rate, Interface states and Polarization Effects on Dielectric Properties, Electric Modulus, and AC Conductivity in PCBM/NiO:ZnO/p-Si Structures in Wide Frequency Range. Silicon 2022, 14, 8517–8527. [Google Scholar] [CrossRef]
- Sankar, S.; George, A.; Ramesan, M.T. Copper alumina@ poly (aniline-co-indole) nanocomposites: Synthesis, characterization, electrical properties and gas sensing applications. RSC Adv. 2022, 12, 17637–17644. [Google Scholar] [CrossRef]
- Birhan, D.; Tekin, D.; Kiziltas, H. Thermal, photocatalytic, and antibacterial properties of rGO/TiO2/PVA and rGO/TiO2/PEG composites. Polym. Bull. 2022, 79, 2585–2602. [Google Scholar] [CrossRef]
- John, U.K.; Mathew, S. Optical and dielectric investigations on Ag: CdZnTe hybrid polyvinyl alcohol freestanding films. J. Non-Cryst. Solids 2022, 577, 121321. Available online: https://www.sciencedirect.com/science/article/pii/S0022309321006827 (accessed on 1 January 2020). [CrossRef]
- Atta, M.R.; Alsulami, Q.A.; Asnag, G.M.; Rajeh, A. Enhanced optical, morphological, dielectric, and conductivity properties of gold nanoparticles doped with PVA/CMC blend as an application in organoelectronic devices. J. Mater. Sci. Mater. Electron. 2021, 32, 10443–10457. [Google Scholar] [CrossRef]
- Agrawal, S.L.; Singh, M.; Asthana, N.; Dwivedi, M.M.; Pandey, K. Dielectric and Ion Transport Studies in [PVA: LiC2H3O2]: Li2Fe5O8 Polymer Nanocomposite Electrolyte System. Int. J. Polym. Mater. Polym. 2011, 60, 276–289. [Google Scholar] [CrossRef]
- Atta, A.; Abdelhamied, M.M.; Abdelreheem, A.M.; Althubiti, N.A. Effects of polyaniline and silver nanoparticles on the structural characteristics and electrical properties of methylcellulose polymeric films. Inorg. Chem. Commun. 2022, 135, 109085. Available online: https://www.sciencedirect.com/science/article/pii/S1387700321006407 (accessed on 6 January 2022). [CrossRef]
- Xia, X.; Zhong, Z.; Weng, G. Maxwell–Wagner–Sillars mechanism in the frequency dependence of electrical conductivity and dielectric permittivity of graphene-polymer nanocomposites. J. Mech. Mater. 2017, 109, 42–50. [Google Scholar] [CrossRef]
- Abdelrazek, E.M.; Ragab, H.M. Spectroscopic and dielectric study of iodine chloride doped PVA/PVP blend. Indian J. Phys. 2015, 89, 577–585. [Google Scholar] [CrossRef]
- Salim, E.; Hany, W.; Elshahawy, A.G.; Oraby, A.H. Investigation on optical, structural and electrical properties of solid-state polymer nanocomposites electrolyte incorporated with Ag nanoparticles. Sci. Rep. 2022, 12, 1–13. [Google Scholar] [CrossRef]
- Aziz, S.B. Study of electrical percolation phenomenon from the dielectric and electric modulus analysis. Bull. Mater. Sci. 2015, 38, 1597–1602. [Google Scholar] [CrossRef]












| Samples | Sample Crystallinity (%) | Crystal Size of TiO2 (Corresponding to the Peak at 25.4°) | Crystal Size of Cu (Corresponding to the Peak at 43.2°) |
|---|---|---|---|
| Pure PVA | 27.41 | - | - |
| PVA/0.20% of (TiO2/Cu) | 21.16 | - | 24.14 |
| PVA/0.40% of (TiO2/Cu) | 17.51 | 36.90 | 22.65 |
| PVA/0.80% of (TiO2/Cu) | 10.08 | 18.78 | 19.24 |
| PVA/1.60% of (TiO2/Cu) | 5.44 | 19.79 | 19.23 |
| Band Assignments | Ref. | |
|---|---|---|
| 3475 | O-H Stretching | [6,15] |
| 2942 | CH2 Asymmetric Stretching | [20,21] |
| 2908 | CH2 Symmetric Stretching | [20,21] |
| 1658 | C=C Stretching | [15,20,21] |
| 1563 | O-H & C-H Bending | [24] |
| 1428 | CH2 Symmetric Bending | [20] |
| 1376 | CH2 Wagging | [20,21] |
| 1331 | (CH+OH) Bending | [6,20] |
| 1240 | C-H Wagging | [24] |
| 1138 | C-C Stretching | [21] |
| 1094 | C-O Stretching | [20,24] |
| 918 | CH2 Rocking | [20,24] |
| 852 | C-C Stretching | [20,24] |
| 665 | O-H Wagging | [6,24] |
| 478 | C-O Bending | [20,24] |
| 421 | C-O Wagging | [24] |
| Samples | Egi (inirect) (eV) | Egd(direct) (eV) |
|---|---|---|
| Pure PVA | 4.50 | 5.35 |
| PVA/0.20% of (TiO2/Cu) | 2.82 | 4.17 |
| PVA/0.40% of (TiO2/Cu) | 2.18 | 3.34 |
| PVA/0.80% of (TiO2/Cu) | 2.04 | 3.24 |
| PVA/1.60% of (TiO2/Cu) | 1.71 | 3.12 |
| Polymeric Samples | Tg (°C) | Tm (°C) | Td (°C) |
|---|---|---|---|
| Pure PVA | 83.85 | 227.08 | 300.49 |
| PVA/0.20 wt.% NPs | 88.91 | 227.76 | 306.32 |
| PVA/0.40 wt.% NPs | 92.59 | 227.76 | 307.77 |
| PVA/0.80 wt.% NPs | 105.70 | 227.08 | 309.91 |
| PVA/1.60 wt.% NPs | 108.61 | 225.62 | 311.37 |
Disclaimer/Publisher’s Note: The statements, opinions and data contained in all publications are solely those of the individual author(s) and contributor(s) and not of MDPI and/or the editor(s). MDPI and/or the editor(s) disclaim responsibility for any injury to people or property resulting from any ideas, methods, instructions or products referred to in the content. |
© 2023 by the authors. Licensee MDPI, Basel, Switzerland. This article is an open access article distributed under the terms and conditions of the Creative Commons Attribution (CC BY) license (https://creativecommons.org/licenses/by/4.0/).
Share and Cite
Al-Hakimi, A.N.; Asnag, G.M.; Alminderej, F.; Alhagri, I.A.; Al-Hazmy, S.M.; Qahtan, T.F. Enhancing the Structural, Optical, Thermal, and Electrical Properties of PVA Filled with Mixed Nanoparticles (TiO2/Cu). Crystals 2023, 13, 135. https://doi.org/10.3390/cryst13010135
Al-Hakimi AN, Asnag GM, Alminderej F, Alhagri IA, Al-Hazmy SM, Qahtan TF. Enhancing the Structural, Optical, Thermal, and Electrical Properties of PVA Filled with Mixed Nanoparticles (TiO2/Cu). Crystals. 2023; 13(1):135. https://doi.org/10.3390/cryst13010135
Chicago/Turabian StyleAl-Hakimi, Ahmed N., G. M. Asnag, Fahad Alminderej, Ibrahim A. Alhagri, Sadeq M. Al-Hazmy, and Talal F. Qahtan. 2023. "Enhancing the Structural, Optical, Thermal, and Electrical Properties of PVA Filled with Mixed Nanoparticles (TiO2/Cu)" Crystals 13, no. 1: 135. https://doi.org/10.3390/cryst13010135
APA StyleAl-Hakimi, A. N., Asnag, G. M., Alminderej, F., Alhagri, I. A., Al-Hazmy, S. M., & Qahtan, T. F. (2023). Enhancing the Structural, Optical, Thermal, and Electrical Properties of PVA Filled with Mixed Nanoparticles (TiO2/Cu). Crystals, 13(1), 135. https://doi.org/10.3390/cryst13010135

