Dynamic Simulation and Parameter Analysis of Contact Mechanics for Mimicking Geckos’ Foot Setae Array
Abstract
:1. Introduction
2. Micro Contact Theory of Setae
2.1. Microscale Adhesive Contact Theory
2.2. Cantilever Beam Theory
2.3. Quasi-Static Contact Theory
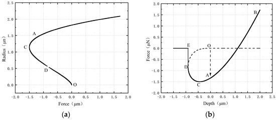
2.3.1. Quasistatic Indentation Force Analysis of Setae
2.3.2. Quasistatic Push-off Force Analysis of Setae
3. Results and Discussion
3.1. JKR Model Analysis
3.1.1. Influence by Elastic Modulus
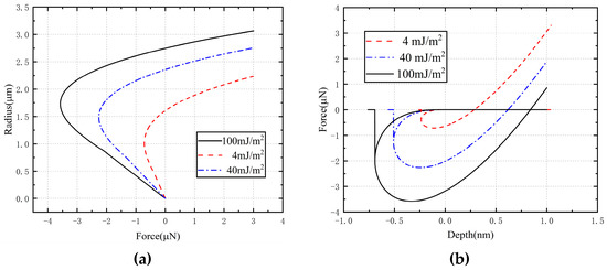
3.1.2. Influence by Material Surface Energy
3.2. Simulation of the Single Seta
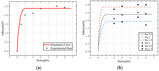
3.3. Setae Array Simulation and Experiment
3.3.1. Rough Surface Model
3.3.2. Dynamic Simulation and Experimental Verification
4. Conclusions
- (1)
- By comparing the simulation with the experiment, the average discrepancy of the data was 15.9%, which demonstrated the feasibility of the polyurethane setae arrays contact model.
- (2)
- Through the analysis of the JKR model for the ball end of the setae, it was found that reducing the elastic modulus of the object would increase the depth of contact under the same external load. The elastic modulus had little effect on the maximum push-off force. Increasing the surface energy of the contacting object would grow the distance between the objects, the push-off force, and the depth of contact during desorption.
- (3)
- When the polyurethane setae array was in contact with the rough surface, it was found that with the growth of the preload applied to the setae array, the number of setae in contact rose. Its maximum adsorption force would also increase, but it would reach saturation.
- (4)
- Different properties of the contact surface material had different effects on adhesion. The greater the surface energy of the contact surface, the greater the adsorption force generated when the seta arrays were separated. The elastic modulus and Poisson’s ratio of the contact surface had little effect on the adsorption force. The roughness of the contact surface had a negative effect on the adsorption force of the seta array, and the smoother the surface, the greater the adsorption force.
Author Contributions
Funding
Institutional Review Board Statement
Informed Consent Statement
Data Availability Statement
Acknowledgments
Conflicts of Interest
References
- Cadirov, N.; Booth, J.A.; Turner, K.L.; Israelachvili, J.N. Influence of humidity on grip and release adhesion mechanisms for gecko-inspired microfibrillar surfaces. ACS Appl. Mater. Interfaces 2017, 9, 14497–14505. [Google Scholar] [CrossRef] [PubMed]
- Wan, Y.; Xia, Z. Self-cleaning and controlled adhesion of gecko feet and their bioinspired micromanipulators. MRS Adv. 2018, 3, 1641–1646. [Google Scholar] [CrossRef]
- Hu, S.; Jiang, H.; Xia, Z.; Gao, X. Friction and adhesion of hierarchical carbon nanotube structures for biomimetic dry adhesives: Multiscale modeling. ACS Appl. Mater. Interfaces 2010, 2, 2570–2578. [Google Scholar] [CrossRef] [PubMed]
- Raut, H.K.; Baji, A.; Hariri, H.H.; Parveen, H.; Soh, G.S.; Low, H.Y.; Wood, K.L. Gecko-inspired dry adhesive based on micro–nanoscale hierarchical arrays for application in climbing devices. ACS Appl. Mater. Interfaces 2018, 10, 1288–1296. [Google Scholar] [CrossRef] [PubMed]
- Sitti, M.; Fearing, R.S. Synthetic gecko foot-hair micro/nano-structures for future wall-climbing robots. In Proceedings of the IEEE International Conference on Robotics and Automation (Cat. No. 03CH37422), Taipei, Taiwan, 14–19 September 2003; pp. 1164–1170. [Google Scholar]
- Shah, G.J.; Sitti, M. Modeling and design of biomimetic adhesives inspired by gecko foot-hairs. In Proceedings of the IEEE International Conference on Robotics and Biomimetics, Shenyang, China, 22–26 August 2004; pp. 873–878. [Google Scholar]
- Peng, M.; Han, X.; Xiao, G.Z.; Chen, X.; Xiong, W.; Yang, K.; Luo, H. Spherical volume elements scheme for calculating van der Waals force between irregular particles and rough surfaces. Chin. J. Phys. 2021, 72, 645–654. [Google Scholar] [CrossRef]
- Lee, J.; Bush, B.; Maboudian, R.; Fearing, R. Gecko-Inspired Combined Lamellar and Nanofibrillar Array for Adhesion on Nonplanar Surface. Langmuir 2009, 25, 12449–12453. [Google Scholar] [CrossRef] [PubMed]
- Li, X.; Tao, D.; Lu, H.; Bai, P.; Liu, Z.; Ma, L.; Meng, Y.; Tian, Y. Recent developments in gecko-inspired dry adhesive surfaces from fabrication to application. Surf. Topogr. Metrol. Prop. 2019, 7, 023001. [Google Scholar] [CrossRef]
- Autumn, K.; Liang, Y.A.; Hsieh, S.T.; Zesch, W.; Chan, W.P.; Kenny, T.W.; Fearing, R.; Full, R.J. Adhesive force of a single gecko foot-hair. Nature 2000, 405, 681–685. [Google Scholar] [CrossRef] [PubMed]
- Autumn, K.; Sitti, M.; Liang, Y.A.; Peattie, A.M.; Hansen, W.R.; Sponberg, S.; Kenny, T.W.; Fearing, R.; Israelachvili, J.N.; Full, R.J. Evidence for van der Waals adhesion in gecko setae. Proc. Natl. Acad. Sci. USA 2002, 99, 12252–12256. [Google Scholar] [CrossRef] [PubMed] [Green Version]
- Geim, A.K.; Dubonos, S.V.; Grigorieva, I.V.; Novoselov, K.; Zhukov, A.A.; Shapoval, S.Y. Microfabricated adhesive mimicking gecko foot-hair. Nat. Mater. 2003, 2, 461–463. [Google Scholar] [CrossRef] [PubMed]
- Persson, B. On the mechanism of adhesion in biological systems. J. Chem. Phys. 2003, 118, 7614–7621. [Google Scholar] [CrossRef] [Green Version]
- Dai, Z.D.; Hui, C.; Stannislav, G. Effect of surface roughness on the adhesive properties of polyurethane. Tribology 2003, 23, 245–249. [Google Scholar]
- Gao, H.; Yao, H. Shape insensitive optimal adhesion of nanoscale fibrillar structures. Proc. Natl. Acad. Sci. USA 2004, 101, 7851–7856. [Google Scholar] [CrossRef] [PubMed] [Green Version]
- Gao, H.; Xiang, W.; Yao, H.; Gorb, S.; Arzt, E. Mechanics of hierarchical adhesion structures of geckos. Mech. Mater. 2005, 37, 275–285. [Google Scholar] [CrossRef]
- Qu, L.; Dai, L.; Stone, M.; Xia, Z.; Wang, Z.L. Carbon nanotube arrays with strong shear binding-on and easy normal lifting-off. Science 2008, 322, 238–242. [Google Scholar] [CrossRef] [PubMed] [Green Version]
- Guo, F.; Li, Y.; Meng, G.; Sun, C.; Dai, Z. Adhesion property of vertically aligned carbon nanotubes under high temperature. Trans. Nanjing Univ. Aeronaut. Astronaut. 2018, 35, 41–45. [Google Scholar]
- Santos, D.; Spenko, M.; Parness, A.; Kim, S.; Cutkosky, M. Directional adhesion for climbing. theoretical and practical considerations. J. Adhes. Sci. Technol. 2007, 21, 1317–1341. [Google Scholar] [CrossRef] [Green Version]
- Chen, R.; Fu, L.; Qiu, Y.; Song, R.; Jin, Y. A gecko-inspired wall-climbing robot based on vibration suction mechanism. Proc. Inst. Mech. Eng. Part C J. Mech. Eng. Sci. 2019, 233, 7132–7143. [Google Scholar] [CrossRef] [Green Version]
- Yue, S.; Titurus, B.; Nie, H.; Zhang, M. Liquid spring damper for vertical landing Reusable Launch Vehicle under impact conditions. Mech. Syst. Signal Process. 2019, 121, 579–599. [Google Scholar] [CrossRef] [Green Version]











| Material Name | Slope | Setae Diameter | Length | Poisson’s Ratio | Elastic Modulus | Adhesive Energy |
|---|---|---|---|---|---|---|
| Polyurethane | 30° | 3 μm | 20 μm | 0.3 | 1.413 Mpa | 40 mJ/m2 |
Publisher’s Note: MDPI stays neutral with regard to jurisdictional claims in published maps and institutional affiliations. |
© 2022 by the authors. Licensee MDPI, Basel, Switzerland. This article is an open access article distributed under the terms and conditions of the Creative Commons Attribution (CC BY) license (https://creativecommons.org/licenses/by/4.0/).
Share and Cite
Lin, Q.; Wu, C.; Yue, S.; Jiang, Z.; Du, Z.; Li, M. Dynamic Simulation and Parameter Analysis of Contact Mechanics for Mimicking Geckos’ Foot Setae Array. Crystals 2022, 12, 282. https://doi.org/10.3390/cryst12020282
Lin Q, Wu C, Yue S, Jiang Z, Du Z, Li M. Dynamic Simulation and Parameter Analysis of Contact Mechanics for Mimicking Geckos’ Foot Setae Array. Crystals. 2022; 12(2):282. https://doi.org/10.3390/cryst12020282
Chicago/Turabian StyleLin, Qing, Chunbo Wu, Shuai Yue, Zhonghui Jiang, Zhonghua Du, and Mengsheng Li. 2022. "Dynamic Simulation and Parameter Analysis of Contact Mechanics for Mimicking Geckos’ Foot Setae Array" Crystals 12, no. 2: 282. https://doi.org/10.3390/cryst12020282
APA StyleLin, Q., Wu, C., Yue, S., Jiang, Z., Du, Z., & Li, M. (2022). Dynamic Simulation and Parameter Analysis of Contact Mechanics for Mimicking Geckos’ Foot Setae Array. Crystals, 12(2), 282. https://doi.org/10.3390/cryst12020282

