Unconfined Compressive Strength and Splitting Tensile Strength of Lime Soil Modified by Nano Clay and Polypropylene Fiber
Abstract
:1. Introduction
2. Materials and Methods
2.1. Matreials
- (1)
- Soil treatment. Put the soil block into an oven with a temperature of 105 ℃ for drying, and then put the dry soil into a crusher for crushing. Finally, remove the large particle soil block through a 2 mm sieve to obtain the fine-grained soil used in the test.
- (2)
- Calculate the mass of each mixing material. According to the maximum dry density of 1.762 g/cm3, the optimal water content of 17.5%, the target compactness of 98% and the test design mix proportion, calculate the amount of water added and the mass of each materials, and make six samples for each mix proportion sample.
- (3)
- Mix the mixture. First mix the screened soil with lime, nano clay and polypropylene fiber, as shown in Figure 3a, and then added the calculated target water content. In the mixing process, ensure that soil particles, lime particles, nano clay and polypropylene fibers were dispersed as much as possible, and avoid agglomeration. Put the evenly mixed mixture into the sealed plastic bag and stew for 12~24 h, as shown in Figure 3b.
- (4)
- Sample forming. Apply oil on the inner side of the test mold, and the lower cushion block matched with the test mold is placed at the lower part of the test mold and exposed for about 2 cm. The weighed mixture shall be poured into the trial mold twice. After each pouring, it shall be evenly inserted and vibrated with a tamping rod, as shown in Figure 3c. Then put the upper cushion block matching with the test mold into the test mold, and the upper cushion block shall also be exposed for about 2 cm, as shown in Figure 3d. Put the whole test mold together with the upper and lower cushion blocks on the press, pressurize at the loading rate of 1 mm/min until the upper and lower cushion blocks were pressed into the test mold, stabilized the pressure for 2 min and stand for 30 min, as shown in Figure 3e. Finally, take out the test mold from the press and take out the sample with a hydraulic demoulder, as shown in Figure 3f. Six samples under one mix ratio are shown in Figure 3g.
- (5)
- Sample curing. According to the curing method of inorganic binder in the Test Code for Inorganic Binder Stabilized Materials in Highway Engineering (JTG E51-2009), the standard curing method was adopted in this test. Wrap the demoulded sample with fresh-keeping film and put it into a standard curing box with a temperature of 20 ℃ ± 2 ℃ and a relative humidity of more than 95% for curing. After curing for 27 days, take out the sample and soak it in water at room temperature for 24 h. During soaking, the water surface shall be about 2.5 cm higher than the top surface of the sample, as shown in Figure 3h. UCS tests and STSh tests shall be carried out after the sample was soaked for 24 h.
2.2. Unconfined Compressive Strength Test
2.3. Splitting Tensile Strength Test
2.4. SEM Test
2.5. Porosity and Phase Volume
3. Test Results and Discussion
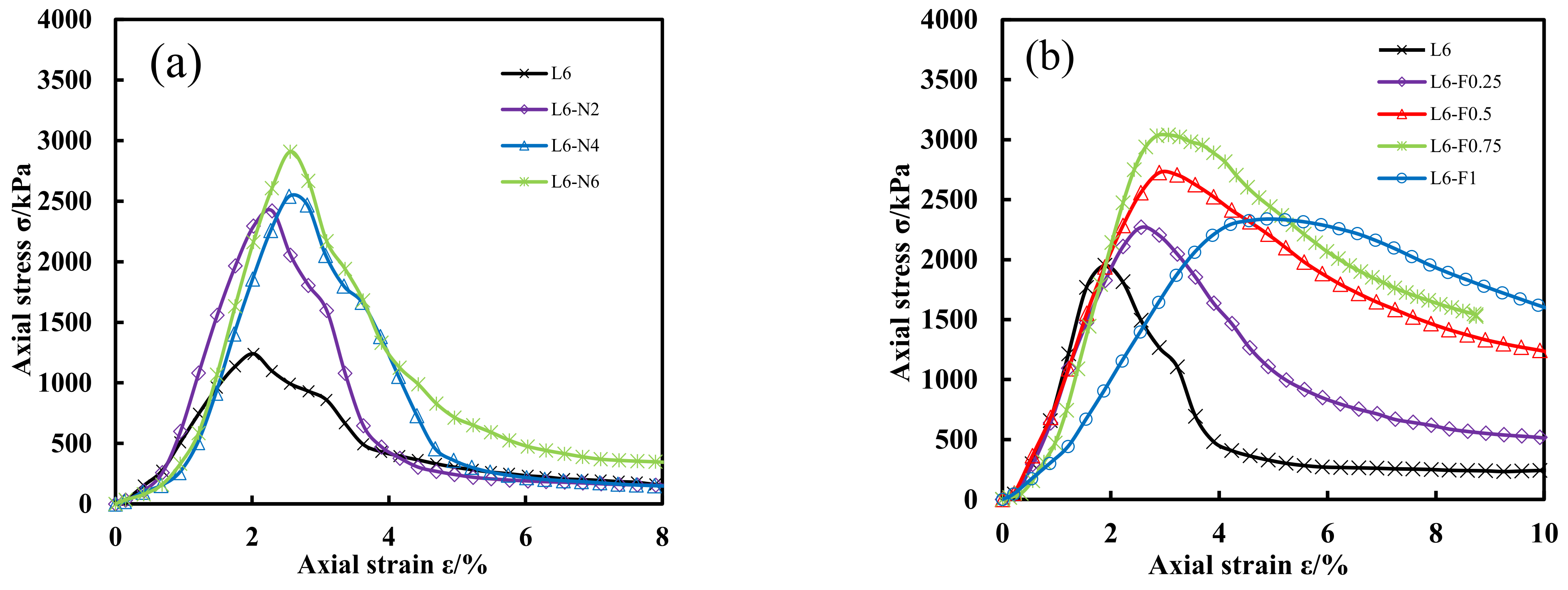
3.1. Stress-Strain Behavior
3.2. Empirical Formula of UCS and STS
3.3. Micro Mechanism Analysis
4. Conclusions
- (1)
- With the increase in nano clay content, the UCS and STS of LS and FLS gradually increased. With the increase in fiber content, the UCS of LS first increases and then decreases, while the UCS and STS of NLS and STS of LS increase with the increase in fiber content, and the optimal fiber content is 0.75%.
- (2)
- UCS and STS of NFLS and η/LVi meets the linear relationship. The empirical formulas of UCS and STS established in this paper have a prediction accuracy of less than 10%. The strength of NFLS can be predicted according to the dry density of the sample and the content of each component material.
- (3)
- The addition of nano clay can fill the pores of lime soil on the one hand, and promote the pozzolanic reaction of lime soil on the other hand, so as to improve the strength of lime soil. The addition of fiber can play a reinforcing role through the bonding between fiber and lime soil, so as to improve the strength and ductility of lime soil. In NFLS, nano clay can not only improve the compactness of FLS, but also promote pozzolanic reaction to increase the interface strength between fiber and lime, so as to comprehensively improve the strength and ductility of FLS.
Author Contributions
Funding
Institutional Review Board Statement
Informed Consent Statement
Data Availability Statement
Conflicts of Interest
References
- Lemaire, K.; Deneele, D.; Bonnet, S.; Legret, M. Effects of lime and cement treatment on the physicochemical, microstructural and mechanical characteristics of a plastic silt. Eng. Geol. 2013, 166, 255–261. [Google Scholar] [CrossRef]
- Jiang, P.; Qian, J.; Li, N. Reliability Analysis of a Direct Shear Test of Modified Iron Tailings Based on the Monte Carlo Algorithm. Adv. Civ. Eng. 2020, 2020, 8897094. [Google Scholar] [CrossRef]
- Rasul, J.M.; Ghataora, G.S.; Burrow, M.P.N. The effect of wetting and drying on the performance of stabilized subgrade soils. Transp. Geotech. 2017, 14, 1–7. [Google Scholar] [CrossRef]
- Jiang, P.; Qiu, L.Q.; Li, N.; Wang, W.; Zhou, A.Z.; Xiao, J.P. Shearing Performance of Lime Reinforced Iron Tailing Powder Based on Energy Dissipation. Adv. Civ. Eng. 2018, 2018, 1–8. [Google Scholar] [CrossRef]
- Robin, V.; Cuisinier, O.; Masrouri, F.; Javadi, A.A. Chemo-mechanical modelling of lime treated soils. Appl. Clay. Sci. 2014, 95, 211–219. [Google Scholar] [CrossRef] [Green Version]
- Pu, S.Y.; Zhu, Z.D.; Wang, H.R.; Song, W.L.; Wei, R.J. Mechanical characteristics and water stability of silt solidified by incorporating lime, lime and cement mixture, and SEU-2 binder. Constr. Build. Mater. 2019, 214, 111–120. [Google Scholar] [CrossRef]
- Zhou, B.C.; Kong, L.; Guo, A. Stress-strain-strength behaviour and constitutive description of limetreated expansive soil. Rock Soil Mech. 2012, 33, 999–1005. [Google Scholar]
- Okonta, F.N.; Nxumalo, S.P. Strength properties of lime stabilized and fibre reinforced residual soil. Geomech. Eng. 2022, 28, 35–48. [Google Scholar]
- Jiang, P.; Lv, S.W.; Wang, Y.; Li, N.; Wang, W. Investigation on direct shear and energy dissipation characteristics of iron tailings powder reinforced by polypropylene fiber. Appl. Sci. 2019, 9, 5098. [Google Scholar] [CrossRef] [Green Version]
- Hejazi, S.M.; Sheikhzadeh, M.; Abtahi, S.M.; Zadhoush, A. A simple review of soil reinforcement by using natural and synthetic fibers. Constr. Build. Mater. 2012, 30, 100–116. [Google Scholar] [CrossRef]
- Jiang, P.; Zhou, L.; Wang, Y.; Wang, W.; Li, N.; Zhang, F. Freeze–Thaw Damage Model of Polypropylene Fiber Reinforced Cement Stabilized Waste Construction Slurry under Uniaxial Action. Minerals 2021, 11, 743. [Google Scholar] [CrossRef]
- Chao, S.T.; Bin, S.; Wei, G.; Feng, J.C.; Yi, C. Strength and mechanical behavior of short Polypropylene fiber reinforced and cement stabilized clayey soil. Geotext. Geomembr. 2007, 25, 194–202. [Google Scholar]
- Yang, B.H.; Weng, X.Z.; Liu, J.Z.; Kou, Y.N.; Jiang, L.; Li, H.L.; Yan, X.C. Strength characteristics of modified Polypropylene fiber and cement-reinforced loess. J. Cent. South Univ. 2017, 24, 560–568. [Google Scholar] [CrossRef]
- Diambra, A.; Ibraim, E. Modelling of fibre–cohesive soil mixtures. Acta Geotech. 2014, 9, 1029–1043. [Google Scholar] [CrossRef]
- Festugato, L.; da Silva, A.P.; Diambra, A.; Consoli, N.C.; Ibraim, E. Modelling tensile/compressive strength ratio of fibre reinforced cemented soils. Geotext. Geomembr. 2018, 46, 155–165. [Google Scholar] [CrossRef] [Green Version]
- Chegenizadeh, A.; Keramatikerman, M.; Nikraz, H. Liquefaction resistance of fibre reinforced low-plasticity silt. Soil Dyn. Earthq. Eng. 2018, 104, 372–377. [Google Scholar] [CrossRef]
- Yi, C.; Bin, S.; Charles, W.W.N. Effect of Polypropylene fibre and lime admixture on engineering properties of clayey soil. Eng. Geol. 2006, 87, 230–240. [Google Scholar]
- Wei, L.; Chai, S.X.; Zhang, H.Y.; Shi, Q. Mechanical properties of soil reinforced with both lime and four kinds of fiber. Constr. Build. Mater. 2018, 172, 300–308. [Google Scholar] [CrossRef]
- Saygili, A.; Dayan, M. Freeze-thaw behavior of lime stabilized clay reinforced with silica fume and synthetic fibers. Cold Reg. Sci. Technol. 2019, 161, 107–114. [Google Scholar] [CrossRef]
- Foad, C.Z.; Abdolhosein, H. Strength properties of soft clay treated with mixture of nano-SiO2 and recycled polyester fiber. J. Rock Mech. Geotech. Eng. 2015, 7, 367–378. [Google Scholar]
- Choobbasti, A.J.; Vafaei, A.; Kutanaei, S.S. Static and cyclic triaxial behavior of cemented sand with nanosilica. J. Mater. Civ. Eng. 2015, 30, 04018269. [Google Scholar] [CrossRef]
- Edalati, S.A.; Bayat, M.; Pakar, I.; Bayat, M. A novel approximate solution for nonlinear problems of vibratory systems. Struct. Eng. Mech. 2016, 57, 1039–1049. [Google Scholar] [CrossRef]
- Anvari, S.M.; Shooshpasha, I.; Kutanaei, S.S. Effect of granulated rubber on shear strength of fine-grained sand. J. Roc. Mech. Geotech. Eng. 2017, 9, 936–944. [Google Scholar] [CrossRef]
- Jiang, P.; Zhou, L.; Wang, W.; Li, N.; Zhang, F. Performance and mechanisms of fly ash for graphene oxide removal from aqueous solution. Environ. Sci. Pollut. R. 2021, 29, 1–11. [Google Scholar] [CrossRef]
- Meng, T.; Qiang, Y.J.; Hu, A.F.; Xu, C.T.; Lin, L. Effect of compound nano-CaCO3 addition on strength development and microstructure of cement-stabilized soil in the marine environment. Constr. Build. Mater. 2017, 151, 775–781. [Google Scholar] [CrossRef]
- Choobbasti, A.J.; Samakoosh, M.A.; Kutanaei, S.S. Mechanical properties soil stabilized with nano calcium carbonate and reinforced with carpet waste fibers. Constr. Build. Mater. 2019, 211, 1094–1104. [Google Scholar] [CrossRef]
- Tanzadeh, R.; Vafaeian, M.; Fard, M.Y. Effects of micro-nano-lime (CaCO3) particles on the strength and resilience of road clay beds. Constr. Build. Mater. 2019, 217, 193–201. [Google Scholar] [CrossRef]
- Zaid, H.M.; Mohd, R.T. Effect of Nanomaterial Treatment on Geotechnical Properties of A Penang Soft Soil. J. Asian Sci. Res. 2012, 2, 587. [Google Scholar]
- Arabani, M.; Haghi, A.K.; Mohamadzadeh, S.A. Use of Nano-clay for improvement the microstructure and mechanical properties of soil stabilized by cement. In Proceedings of the 4th International Conference on Nanostructures (ICNS4), Kish Island, Iran, 1 March 2012. [Google Scholar]
- Eisazadeh, A.; Kassim, K.A.; Nur, H. Solid-state NMR and FTIR studies of lime stabilized montmorillonitic and lateritic clays. Appl. Clay Sci. 2012, 67-68, 5–10. [Google Scholar] [CrossRef]















| Appearance | Montmorillonite Content (%) | Density (g/cm3) | Particle Size | Diameter/Thickness Ratio | Stack Thickness (nm) | Moisture Content (%) |
|---|---|---|---|---|---|---|
| Off white powder | 96–98 | 0.45 | <200 mesh | 200 | ≤25 | ≤3 |
| Fiber Morphology | Specific Gravity | Length (mm) | Tensile Strength (MPa) | Elastic Modulus (MPa) | Melting Point (℃) | Ignition Point (℃) | Tensile Limit (%) |
|---|---|---|---|---|---|---|---|
| Fascicular monofilament | 0.91 | 6 | >359 | >3600 | >163 | 580 | >145 |
| Plastic Limit (%) | Liquid Limit (%) | Plasticity Index | Liquid Index | Natural Density (g·cm−3) | Natural Moisture Content (%) | Organic Content (%) |
|---|---|---|---|---|---|---|
| 24.6 | 40.9 | 16.3 | 1.06 | 1.63 | 33 | 6.5 |
| Sample Number | Nano Clay Content αn (%) | Polypropylene Fiber Content αf (%) | Lime Content αl (%) | Porosity η (%) | Lime Volume Ratio LVi (%) | qu (kPa) | qt (kPa) |
|---|---|---|---|---|---|---|---|
| L6 | 0 | 0 | 6 | 35.12 | 3.99 | 1951 | 135 |
| L6-N2 | 2 | 0 | 6 | 29.07 | 3.92 | 2420 | 139 |
| L6-N4 | 4 | 0 | 6 | 23.24 | 3.84 | 2540 | 187 |
| L6-N6 | 6 | 0 | 6 | 17.62 | 3.78 | 2909 | 216 |
| L6-F0.25 | 0 | 0.25 | 6 | 34.82 | 3.98 | 2269 | 226 |
| L6-F0.5 | 0 | 0.5 | 6 | 34.52 | 3.97 | 2723 | 256 |
| L6-F0.75 | 0 | 0.75 | 6 | 34.22 | 3.96 | 3039 | 316 |
| L6-F1 | 0 | 1 | 6 | 33.92 | 3.95 | 2337 | 363 |
| L6-N2-F0.25 | 2 | 0.25 | 6 | 28.79 | 3.91 | 2568 | 164 |
| L6-N2-F0.5 | 2 | 0.5 | 6 | 28.51 | 3.90 | 2817 | 237 |
| L6-N2-F0.75 | 2 | 0.75 | 6 | 28.23 | 3.89 | 3168 | 320 |
| L6-N4-F0.25 | 4 | 0.25 | 6 | 22.98 | 3.84 | 2743 | 200 |
| L6-N4-F0.5 | 4 | 0.5 | 6 | 22.71 | 3.83 | 2841 | 301 |
| L6-N4-F0.75 | 4 | 0.75 | 6 | 22.45 | 3.82 | 3216 | 319 |
| L6-N6-F0.25 | 6 | 0.25 | 6 | 17.37 | 3.77 | 2737 | 223 |
| L6-N6-F0.5 | 6 | 0.5 | 6 | 17.13 | 3.76 | 2694 | 238 |
| L6-N6-F0.75 | 6 | 0.75 | 6 | 16.88 | 3.75 | 3138 | 264 |
Publisher’s Note: MDPI stays neutral with regard to jurisdictional claims in published maps and institutional affiliations. |
© 2022 by the authors. Licensee MDPI, Basel, Switzerland. This article is an open access article distributed under the terms and conditions of the Creative Commons Attribution (CC BY) license (https://creativecommons.org/licenses/by/4.0/).
Share and Cite
Jiang, P.; Zhou, L.; Zhang, W.; Wang, W.; Li, N. Unconfined Compressive Strength and Splitting Tensile Strength of Lime Soil Modified by Nano Clay and Polypropylene Fiber. Crystals 2022, 12, 285. https://doi.org/10.3390/cryst12020285
Jiang P, Zhou L, Zhang W, Wang W, Li N. Unconfined Compressive Strength and Splitting Tensile Strength of Lime Soil Modified by Nano Clay and Polypropylene Fiber. Crystals. 2022; 12(2):285. https://doi.org/10.3390/cryst12020285
Chicago/Turabian StyleJiang, Ping, Lin Zhou, Weiqing Zhang, Wei Wang, and Na Li. 2022. "Unconfined Compressive Strength and Splitting Tensile Strength of Lime Soil Modified by Nano Clay and Polypropylene Fiber" Crystals 12, no. 2: 285. https://doi.org/10.3390/cryst12020285
APA StyleJiang, P., Zhou, L., Zhang, W., Wang, W., & Li, N. (2022). Unconfined Compressive Strength and Splitting Tensile Strength of Lime Soil Modified by Nano Clay and Polypropylene Fiber. Crystals, 12(2), 285. https://doi.org/10.3390/cryst12020285

