Solid-State Dehydration Mechanism of Diclofenac Sodium Salt Hydrates
Abstract
1. Introduction
2. Materials and Methods
2.1. Materials
2.2. Preparation of Solid Samples
2.2.1. Diclofenac Sodium 4.75-Hydrate
2.2.2. Diclofenac Sodium Hemiheptahydrate
2.2.3. Diclofenac Sodium Anhydrate
2.3. Powder X-ray Diffraction (PXRD)
2.4. Single-Crystal X-ray Diffraction (SCXRD)
2.5. Thermogravimetric (TG) Analysis
2.6. Differential Scanning Calorimetry (DSC)
2.7. Dynamic Vapor Sorption (DVS)
3. Results
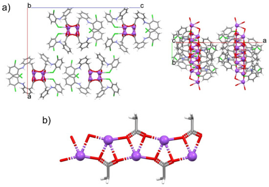
3.1. Crystal Structure of DIC-Na Hydrates
3.2. Dehydration Behavior of DIC-Na 4.75H
4. Discussion
4.1. Verification of the Validity of the 4.75-Hydrate Crystal Structure
4.2. Hydration and Dehydration Mechanism 4.75H Crystal
| 4.75H | 3.5H | AH | |
|---|---|---|---|
| No. of water molecules per four DIC molecules | 19 | 14 | 0 |
| Na+–O(all) interactions | 6 or 5 | 6 | 5 |
| Na+–O(water) interactions | 6 or 5 | 5 or 4 | 0 |
| Na+–O(carboxylate) interactions | 0 | 1 or 2 | 5 |
| Packing index | 70.3 | 73.3 | 71.9 |
5. Conclusions
Supplementary Materials
Author Contributions
Funding
Data Availability Statement
Acknowledgments
Conflicts of Interest
References
- Leuner, C.; Dressman, J. Improving drug solubility for oral delivery using solid dispersions. Eur. J. Pharm. Biopharm. 2000, 50, 47–60. [Google Scholar] [CrossRef]
- Ma, X.; Müller, F.; Huang, S.; Lowinger, M.; Liu, X.; Schooler, R.; Williams, R.O., III. Influence of Carbamazepine Dihydrate on the Preparation of Amorphous Solid Dispersions by Hot Melt Extrusion. Pharmaceutics 2020, 12, 379. [Google Scholar] [CrossRef] [PubMed]
- Vikas, Y.; Sandeep, K.; Braham, D.; Manjusha, C.; Budhwar, V. Cyclodextrin complexes: An approach to improve the physi-cochemical properties of drugs and applications of cyclodextrin complexes. Asian J. Pharm. 2018, 12, S394. [Google Scholar]
- Pang, H.; Sun, Y.-B.; Zhou, J.-W.; Xie, M.-J.; Lin, H.; Yong, Y.; Chen, L.-Z.; Fang, B.-H. Pharmaceutical Salts of Enrofloxacin with Organic Acids. Crystals 2020, 10, 646. [Google Scholar] [CrossRef]
- Karimi-Jafari, M.; Padrela, L.; Walker, G.M.; Croker, D.M. Creating Cocrystals: A Review of Pharmaceutical Cocrystal Preparation Routes and Applications. Cryst. Growth Des. 2018, 18, 6370–6387. [Google Scholar] [CrossRef]
- Childs, S.L.; Chyall, L.J.; Dunlap, J.T.; Smolenskaya, V.N.; Stahly, B.C.; Stahly, G.P. Crystal Engineering Approach to Forming Cocrystals of Amine Hydrochlorides with Organic Acids. Molecular Complexes of Fluoxetine Hydrochloride with Benzoic, Succinic, and Fumaric Acids. J. Am. Chem. Soc. 2004, 126, 13335–13342. [Google Scholar] [CrossRef]
- Takata, N.; Tanida, S.; Nakae, S.; Shiraki, K.; Tozuka, Y.; Ishigai, M. Tofogliflozin Salt Cocrystals with Sodium Acetate and Potassium Acetate. Chem. Pharm. Bull. 2018, 66, 1035–1040. [Google Scholar] [CrossRef] [PubMed]
- Wang, L.-Y.; Bu, F.-Z.; Li, Y.-T.; Wu, Z.-Y.; Yan, C.-W. A Sulfathiazole–Amantadine Hydrochloride Cocrystal: The First Codrug Simultaneously Comprising Antiviral and Antibacterial Components. Cryst. Growth Des. 2020, 20, 3236–3246. [Google Scholar] [CrossRef]
- Gould, P.L. Salt selection for basic drugs. Int. J. Pharm. 1986, 33, 201–217. [Google Scholar] [CrossRef]
- Serajuddin, A.T.M. Salt formation to improve drug solubility. Adv. Drug Deliv. Rev. 2007, 59, 603–616. [Google Scholar] [CrossRef]
- Paulekuhn, G.S.; Dressman, J.B.; Saal, C. Trends in Active Pharmaceutical Ingredient Salt Selection based on Analysis of the Orange Book Database. J. Med. Chem. 2007, 50, 6665–6672. [Google Scholar] [CrossRef] [PubMed]
- Dzidic, I.; Kebarle, P. Hydration of the alkali ions in the gas phase. Enthalpies and entropies of reactions M+(H2O)n−1 + H2O = M+(H2O)n. J. Phys. Chem. 1970, 74, 1466–1474. [Google Scholar] [CrossRef]
- Stephenson, G.A.; Diseroad, B.A. Structural relationship and desolvation behavior of cromolyn, cefazolin and fenoprofen sodium hydrates. Int. J. Pharm. 2000, 198, 167–177. [Google Scholar] [CrossRef]
- Banerjee, R.; Bhatt, P.M.; Kirchner, M.T.; Desiraju, G.R. Structural studies of the system Na(saccharinate)·nH2O: A model for crystallization. Angew. Chem. Int. Ed. 2005, 44, 2515–2520. [Google Scholar] [CrossRef]
- Bond, A.D.; Cornett, C.; Larsen, F.H.; Qu, H.; Raijada, D.; Rantanen, J. Structural basis for the transformation pathways of the sodium naproxen anhydrate-hydrate system. IUCrJ 2014, 1, 328–337. [Google Scholar] [CrossRef]
- Dračínský, M.; Šála, M.; Hodgkinson, P. Dynamics of water molecules and sodium ions in solid hydrates of nucleotides. CrystEngComm 2014, 16, 6756–6764. [Google Scholar] [CrossRef]
- Spielberg, E.T.; Campbell, P.S.; Szeto, K.C.; Mallick, B.; Schaumann, J.; Mudring, A. Sodium Salicylate: An In-Depth Thermal and Photophysical Study. Chem. Eur. J. 2018, 24, 15638–15648. [Google Scholar] [CrossRef] [PubMed]
- Shah, H.S.; Chaturvedi, K.; Zeller, M.; Bates, S.; Morris, K. A threefold superstructure of the anti-epileptic drug phenytoin sodium as a mixed methanol solvate hydrate. Acta Cryst. 2019, C75, 1213–1219. [Google Scholar] [CrossRef] [PubMed]
- Ding, Z.; Su, W.; Huang, X.; Tian, B.; Cheng, X.; Mao, Y.; Li, G.; Liu, H.; Hao, H. Understanding the Role of Water in Different Solid Forms of Avibactam Sodium and Its Affecting Mechanism. Cryst. Growth Des. 2020, 20, 1150–1161. [Google Scholar] [CrossRef]
- Fujii, K.; Aoki, M.; Uekusa, H. Solid-State Hydration/Dehydration of Erythromycin an Investigated by ab Initio Powder X-ray Diffraction Analysis: Stoichiometric and Nonstoichiometric Dehydrated Hydrate. Cryst. Growth Des. 2013, 13, 2060–2066. [Google Scholar] [CrossRef]
- Mizoguchi, R.; Uekusa, H. Elucidating the Dehydration Mechanism of Ondansetron Hydrochloride Dihydrate with a Crystal Structure. Cryst. Growth Des. 2018, 18, 6142–6149. [Google Scholar] [CrossRef]
- Griesser, U.J. The Importance of Solvates. In Polymorphism in the Pharmaceutical Industry; Wiley: Weinheim, Germany, 2006; pp. 211–233. [Google Scholar]
- Jurczak, E.; Mazurek, A.H.; Szeleszczuk, Ł.; Pisklak, D.M.; Zielińska-Pisklak, M. Pharmaceutical Hydrates Analysis—Overview of Methods and Recent Advances. Pharmaceutics 2020, 12, 959. [Google Scholar] [CrossRef] [PubMed]
- Rietveld, I.B.; Céolin, R. Rotigotine: Unexpected Polymorphism with Predictable Overall Monotropic Behavior. J. Pharm. Sci. 2015, 104, 4117–4122. [Google Scholar] [CrossRef] [PubMed]
- Fujii, K.; Uekusa, H.; Itoda, N.; Hasegawa, G.; Yonemochi, E.; Terada, K.; Pan, Z.; Harris, K.D.M. Physicochemical under-standing of polymorphism and solid-state dehydration/rehydration processes for the pharmaceutical material acrinol, by ab initio powder X-ray diffraction analysis and other techniques. J. Phys. Chem. 2010, 114, 580–586. [Google Scholar]
- Suzuki, T.; Terada, K. Elucidation of the crystal structure-physicochemical property relationship among polymorphs and hydrates of sitafloxacin, a novel fluoroquinolone antibiotic. Int. J. Pharm. 2012, 422, 1–8. [Google Scholar] [CrossRef]
- Khomane, K.S.; More, P.K.; Raghavendra, G.; Bansal, A.K. Molecular understanding of the compaction behavior of indo-methacin polymorphs. Mol. Pharm. 2013, 10, 631–639. [Google Scholar] [CrossRef]
- Datta, S.; Grant, D.J.W. Crystal structures of drugs: Advances in determination, prediction and engineering. Nat. Rev. Drug Discov. 2004, 3, 42–57. [Google Scholar] [CrossRef]
- Sakon, A.; Sekine, A.; Uekusa, H. Powder Structure Analysis of Vapochromic Quinolone Antibacterial Agent Crystals. Cryst. Growth Des. 2016, 16, 4635–4645. [Google Scholar] [CrossRef]
- Putra, O.D.; Pettersen, A.; Yonemochi, E.; Uekusa, H. Structural origin of physicochemical properties differences upon de-hydration and polymorphic transformation of ciprofloxacin hydrochloride revealed by structure determination from powder X-ray diffraction data. Cryst. Eng. Comm. 2020, 22, 7272–7279. [Google Scholar] [CrossRef]
- Skomski, D.; Varsolona, R.J.; Su, Y.; Zhang, J.; Teller, R.; Forster, S.P.; Barrett, S.E.; Xu, W. Islatravir Case Study for Enhanced Screening of Thermodynamically Stable Crystalline Anhydrate Phases in Pharmaceutical Process Development by Hot Melt Extrusion. Mol. Pharm. 2020, 17, 2874–2881. [Google Scholar] [CrossRef]
- Takagi, T.; Ramachandran, C.; Bermejo, M.; Yamashita, S.; Yu, L.X.; Amidon, G.L. A provisional biopharmaceutical classification of the top 200 oral drug products in the United States, Great Britain, Spain and Japan. Mol. Pharm. 2006, 3, 631–643. [Google Scholar] [CrossRef]
- Muangsin, N.; Prajaubsook, M.; Chaichit, N.; Siritaedmukul, K.; Hannongbua, S. Crystal Structure of a Unique Sodium Distorted Linkage in Diclofenac Sodium Pentahydrate. Anal. Sci. 2002, 18, 967–968. [Google Scholar] [CrossRef]
- Llinàs, A.; Burley, J.C.; Box, K.J.; Glen, R.C.; Goodman, J.M. Diclofenac Solubility: Independent Determination of the Intrinsic Solubility of Three Crystal Forms. J. Med. Chem. 2007, 50, 979–983. [Google Scholar] [CrossRef]
- Reck, G.; Faust, G.; Dietz, G. X-ray crystallographic studies of diclofenac-sodium—Structural analysis of diclofenac-sodium tetrahydrate. Die Pharm. 1988, 43, 771–774. [Google Scholar]
- Bartolomei, M.; Rodomonte, A.; Antoniella, E.; Minelli, G.; Bertocchi, P. Hydrate modifications of the non-steroidal anti-inflammatory drug diclofenac sodium: Solid-state characterisation of a trihydrate form. J. Pharm. Biochem. Anal. 2007, 45, 443–449. [Google Scholar] [CrossRef]
- Nieto, I.A.; Bernès, S.; Pérez-Benítez, A. Crystal structure of a new hydrate form of the NSAID sodium diclofenac. Acta Crystallogr. Sect. E Crystallogr. Commun. 2020, 76, 1846–1850. [Google Scholar] [CrossRef]
- Shah, S.R.; Shah, Z.; Khan, A.; Ahmed, A.; Sohani; Hussain, J.; Csuk, R.; Anwar, M.U.; Al-Harrasi, A. Sodium, Potassium, and Lithium Complexes of Phenanthroline and Diclofenac: First Report on Anticancer Studies. ACS Omega 2019, 25, 21559–21566. [Google Scholar] [CrossRef] [PubMed]
- Nugrahani, I.; Kumalasari, R.A.; Auli, W.N.; Horikawa, A.; Uekusa, H. Salt Cocrystal of Diclofenac Sodium-L-Proline: Structural, Pseudopolymorphism, and Pharmaceutics Performance Study. Pharmaceutics 2020, 12, 690. [Google Scholar] [CrossRef]
- Spek, A.L. Structure validation in chemical crystallography. Acta Crystallogr. Sect. D Biol. Crystallogr. 2009, D65, 148–155. [Google Scholar] [CrossRef] [PubMed]
- Sheldrick, G.M. SHELXT—Integrated space-group and crystal-structure determination. Acta Cryst. 2015, A71, 3–8. [Google Scholar] [CrossRef] [PubMed]
- Sheldrick, G.M. Crystal structure refinement with SHELXL. Acta Cryst. 2015, C71, 3–8. [Google Scholar] [CrossRef]
- Macrae, C.F.; Sovago, I.; Cottrell, S.J.; Galek, P.T.A.; McCabe, P.; Pidcock, E.; Platings, M.; Shields, G.P.; Stevens, J.S.; Towler, M.; et al. Mercury 4.0: From visualization to analysis, design and prediction. J. Appl. Crystallogr. 2020, 53, 226–235. [Google Scholar] [CrossRef] [PubMed]
- Fifen, J.J.; Agmon, N. Structure and Spectroscopy of Hydrated Sodium Ions at Different Temperatures and the Cluster Stability Rules. J. Chem. Theory Comput. 2016, 12, 1656–1673. [Google Scholar] [CrossRef] [PubMed]














| 4.75H | 3.5H | AH | |
|---|---|---|---|
| Chemical formula | C14H10Cl2NNaO2 4.75(H2O) | C14H10Cl2NNaO2 3.5(H2O) | C14H10Cl2NNaO2 |
| Formula weight | 403.69 | 381.17 | 318.12 |
| Temperature/K | 173 | 173 | 173 |
| Crystal system | Monoclinic | Triclinic | Orthorhombic |
| Space group | P21 | Pbca | |
| a/Å | 9.5552(3) | 9.3628(3) | 26.3664(5) |
| b/Å | 39.5393(8) | 9.4844(3) | 6.44256(12) |
| c/Å | 9.8346(2) | 19.0742(6) | 32.8255(6) |
| α/° | 90 | 90.1187(11) | 90 |
| β/° | 90.7122(8) | 99.5439(12) | 90 |
| γ/° | 90 | 90.5134(11) | 90 |
| Volume/Å3 | 3715.28(16) | 1670.28(9) | 5575.97(18) |
| Z, Z’ | 8,4 | 4,2 | 16,2 |
| Density/g cm−3 | 1.443 | 1.516 | 1.516 |
| R [F2 > 2σ(F2)] | 0.0379 | 0.0347 | 0.0646 |
| CCDC number | 2065085 | 2065083 | 2065086 |
Publisher’s Note: MDPI stays neutral with regard to jurisdictional claims in published maps and institutional affiliations. |
© 2021 by the authors. Licensee MDPI, Basel, Switzerland. This article is an open access article distributed under the terms and conditions of the Creative Commons Attribution (CC BY) license (https://creativecommons.org/licenses/by/4.0/).
Share and Cite
Oyama, H.; Miyamoto, T.; Sekine, A.; Nugrahani, I.; Uekusa, H. Solid-State Dehydration Mechanism of Diclofenac Sodium Salt Hydrates. Crystals 2021, 11, 412. https://doi.org/10.3390/cryst11040412
Oyama H, Miyamoto T, Sekine A, Nugrahani I, Uekusa H. Solid-State Dehydration Mechanism of Diclofenac Sodium Salt Hydrates. Crystals. 2021; 11(4):412. https://doi.org/10.3390/cryst11040412
Chicago/Turabian StyleOyama, Hironaga, Takashi Miyamoto, Akiko Sekine, Ilma Nugrahani, and Hidehiro Uekusa. 2021. "Solid-State Dehydration Mechanism of Diclofenac Sodium Salt Hydrates" Crystals 11, no. 4: 412. https://doi.org/10.3390/cryst11040412
APA StyleOyama, H., Miyamoto, T., Sekine, A., Nugrahani, I., & Uekusa, H. (2021). Solid-State Dehydration Mechanism of Diclofenac Sodium Salt Hydrates. Crystals, 11(4), 412. https://doi.org/10.3390/cryst11040412

