Sign in to use this feature.

Years

Between: -

Subjects

remove_circle_outline
remove_circle_outline
remove_circle_outline
remove_circle_outline
remove_circle_outline
remove_circle_outline
remove_circle_outline
remove_circle_outline
remove_circle_outline

Journals

remove_circle_outline
remove_circle_outline
remove_circle_outline
remove_circle_outline
remove_circle_outline
remove_circle_outline
remove_circle_outline
remove_circle_outline
remove_circle_outline
remove_circle_outline
remove_circle_outline
remove_circle_outline
remove_circle_outline
remove_circle_outline
remove_circle_outline
remove_circle_outline
remove_circle_outline
remove_circle_outline
remove_circle_outline
remove_circle_outline
remove_circle_outline
remove_circle_outline
remove_circle_outline
remove_circle_outline
remove_circle_outline
remove_circle_outline
remove_circle_outline
remove_circle_outline
remove_circle_outline
remove_circle_outline
remove_circle_outline
remove_circle_outline
remove_circle_outline
remove_circle_outline
remove_circle_outline
remove_circle_outline
remove_circle_outline
remove_circle_outline
remove_circle_outline

Article Types

Countries / Regions

remove_circle_outline
remove_circle_outline
remove_circle_outline
remove_circle_outline
remove_circle_outline
remove_circle_outline
remove_circle_outline
remove_circle_outline
remove_circle_outline

Search Results (9,213)

Search Parameters:
Keywords = hydrate

Order results
Result details
Results per page
Select all
Export citation of selected articles as:
14 pages, 360 KB  
Article
Association Between Cellular Hydration Patterns and Hydroelectrolytic Regulation with Muscle Strength in Older Adults
by Isabel Lorenzo, Mateu Serra-Prat, Esther Mur-Gimeno, Lluis Guirao and Juan Carlos Yébenes
Nutrients 2026, 18(5), 850; https://doi.org/10.3390/nu18050850 (registering DOI) - 5 Mar 2026
Abstract
Introduction: Muscle function is influenced by hydroelectrolytic mechanisms that regulate cellular volume beyond isolated plasma electrolyte concentrations. However, the role of integrated hydration and electrolyte regulation profiles in muscle function among older adults remains insufficiently understood. Objective: To identify which physiological [...] Read more.
Introduction: Muscle function is influenced by hydroelectrolytic mechanisms that regulate cellular volume beyond isolated plasma electrolyte concentrations. However, the role of integrated hydration and electrolyte regulation profiles in muscle function among older adults remains insufficiently understood. Objective: To identify which physiological domains of hydroelectrolytic regulation are most strongly associated with muscle strength and functional performance in community-dwelling older adults. Methods: A cross-sectional study was conducted in 96 community-dwelling individuals aged ≥ 70 years. Markers of cellular hydration and membrane integrity were assessed using bioelectrical impedance analysis, together with first-morning fasting plasma and urinary sodium and chloride concentrations. Principal component analysis (PCA) was applied as a data-driven approach to identify latent domains of coordinated hydroelectrolytic regulation. Associations between component scores and handgrip strength and Timed Up and Go (TUG) were examined using two sequential multivariable regression models: Model 1 adjusted for sex and fat-free mass index (FFMI); Model 2 additionally adjusted for age, hypertension, and diuretic use. Results: Three principal components were retained, explaining 77.5% of total variance: PC1 (renal–cellular domain), PC2 (plasma electrolyte domain), and PC3 (cellular volume domain). For handgrip strength, Model 1 showed significant associations for PC3 (β = 0.152; p = 0.025) and PC1 (β = 0.180; p = 0.050). In Model 2, only PC3 remained independently associated (β = 0.146; p = 0.036). For TUG, Model 1 showed associations for PC1 (β = −0.262; p = 0.049) and PC3 (β = −0.238; p = 0.015). In Model 2, PC1 (β = −0.308; p = 0.019) and PC2 (β = −0.190; p = 0.046) remained independently associated, whereas PC3 was not. Conclusions: Maximal force production appears primarily associated with cellular volume regulation, whereas functional performance reflects broader multi-compartmental hydroelectrolytic integration involving renal and plasma domains. These findings suggest that multidimensional hydration profiling may complement isolated biochemical markers in the functional assessment of older adults, warranting validation in longitudinal studies. Full article
(This article belongs to the Section Nutrition and Metabolism)
30 pages, 22890 KB  
Review
Hydration Mechanisms and Mechanical Property Evolution of Cemented Backfill Under Diverse Thermal Environments: A Review
by Jiangwei Liu, Yuye Tan, Ziyi Zeng and Weidong Song
Minerals 2026, 16(3), 276; https://doi.org/10.3390/min16030276 - 5 Mar 2026
Abstract
The cemented backfill mining method has progressively become the preferred mining technique for underground metal extraction due to its advantages such as environmental friendliness, high efficiency, and economic viability. The mechanical properties of the backfill are fundamental to ensuring effective strata control and [...] Read more.
The cemented backfill mining method has progressively become the preferred mining technique for underground metal extraction due to its advantages such as environmental friendliness, high efficiency, and economic viability. The mechanical properties of the backfill are fundamental to ensuring effective strata control and structural stability within backfilled stopes. Hydration reaction serves as the critical factor in the formation of backfill mechanical properties, while temperature influences these properties by governing the progression of the hydration process. This paper systematically reviews five fundamental hydration models (NG, CEMHYD 3D, Krstulovic-Dabic, Heat of Hydration and Thermodynamic Phase Equilibrium), critically analyzing their limitations in predicting performance under extreme geothermal and cryogenic conditions. Distinct from previous reviews, this study reveals the nonlinear mapping between dynamic temperature fields and microstructural evolution. Furthermore, it incorporates recent advancements in multi-field coupling mechanisms and AI-driven strength prediction. Ultimately, this study establishes that with the emergence of advanced modeling software and machine learning algorithms, the investigation of temperature effects on backfill is poised to move toward a more comprehensive, intelligent, and refined direction. Full article
(This article belongs to the Special Issue Advances in Mine Backfilling Technology and Materials, 2nd Edition)
Show Figures

Figure 1

22 pages, 22545 KB  
Article
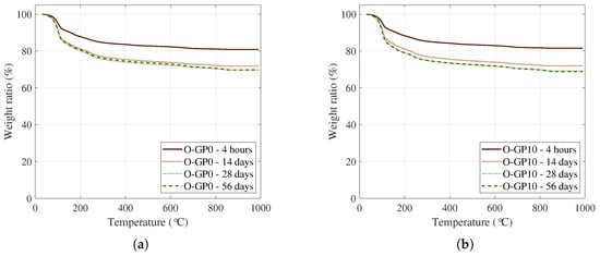
Effect of OLED Waste Glass Powder on Early Strength Performance of Rapid-Hardening Concrete
by Ngan Thanh Vu, Seong-Kyum Kim and Jae-Min Lee
Materials 2026, 19(5), 1004; https://doi.org/10.3390/ma19051004 - 5 Mar 2026
Abstract
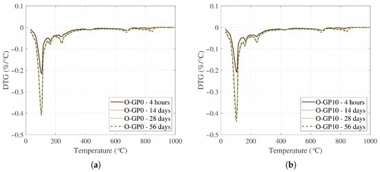
Rapid-hardening concrete is widely used for rapid repairs but can suffer from accelerated hydration, shrinkage-related cracking, and durability concerns. This study evaluates the feasibility of replacing cement with OLED waste glass powder (0–30%) in CSA-type rapid-hardening concrete as a low-impact repair material. Mixtures [...] Read more.
Rapid-hardening concrete is widely used for rapid repairs but can suffer from accelerated hydration, shrinkage-related cracking, and durability concerns. This study evaluates the feasibility of replacing cement with OLED waste glass powder (0–30%) in CSA-type rapid-hardening concrete as a low-impact repair material. Mixtures were prepared at a constant binder content (400 kg/m3) and water-to-binder ratio (0.425), and fresh properties (slump, air content, setting time) and mechanical performance (compressive and bond strength) were tested from 4 h to 56 d. Mercury intrusion porosimetry (MIP) and TG/DTG were additionally used to interpret changes in pore structure and hydration-related thermal indices. Increasing glass powder replacement improved workability but delayed setting. A 10% replacement (O-GP10) maintained 4 h compressive strength and showed slightly higher long-term strength and consistently higher long-term bond strength than the control, whereas 20–30% replacement caused pronounced strength loss due to dilution. MIP results indicated that O-GP10 suppressed large pores (>0.1 μm) and promoted a refined pore structure dominated by finer pores. TG/DTG trends were interpreted using temperature windows as comparative indicators, suggesting age-dependent bound-water development and a reduced apparent contribution in the Al-bearing-hydrate-related region for O-GP10. Overall, roughly 10% OLED waste glass powder is suggested for CSA rapid-hardening concrete to ensure early functioning while enhancing long-term bonding and microstructural stability. Full article
(This article belongs to the Special Issue Eco-Friendly and Low-Carbon Cement-Based Materials)
Show Figures

Graphical abstract

18 pages, 4541 KB  
Article
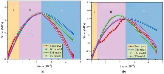
An Experimental Investigation of the Effects of Dry–Wet Cycles and pH Values on Gangue Waste-Based Roadway Shotcrete: Mechanical Performance and Microstructural Analysis
by Yang Zhao, Meng Li, Zhibo Cui, Yu Zhou, Zhangyu Li, Longyan Tan and Zhangjie Yin
Appl. Sci. 2026, 16(5), 2508; https://doi.org/10.3390/app16052508 - 5 Mar 2026
Abstract
The mechanical durability of gangue-based roadway shotcrete material (GRSM) in aqueous environments was systematically investigated by evaluating the effects of immersion duration, dry–wet cycles, and pH variations on its uniaxial compressive strength (UCS). The results indicate that prolonged immersion significantly degrades the mechanical [...] Read more.
The mechanical durability of gangue-based roadway shotcrete material (GRSM) in aqueous environments was systematically investigated by evaluating the effects of immersion duration, dry–wet cycles, and pH variations on its uniaxial compressive strength (UCS). The results indicate that prolonged immersion significantly degrades the mechanical performance of GRSM. After 28 days of immersion, the UCS decreased by 8.68 MPa (22%) compared with specimens under standard curing conditions. In contrast, limited dry–wet cycling (up to two cycles) enhanced the UCS to 36.05 MPa by promoting continued hydration and pore refinement, whereas additional cycling led to progressive deterioration. GRSM exhibited pronounced pH sensitivity: acidic environments induced the most severe strength loss, followed by alkaline conditions, whereas neutral to weakly alkaline environments (pH 8–12) resulted in relatively stable mechanical performance. Mercury intrusion porosimetry (MIP) confirmed that pore structure evolution governed strength variation, with acidic exposure and dry–wet cycles producing the greatest increases in porosity. Mechanically activated gangue (MA-gangue) was prepared by ball milling and partially substituted for cement. Although MA-GRSM exhibited lower UCS than conventional GRSM under all conditions, both materials demonstrated similar environmental response patterns. These findings elucidate the coupled physicochemical mechanisms governing the durability of gangue-based shotcrete materials in underground water-bearing environments. Full article
Show Figures

Figure 1

27 pages, 3106 KB  
Article
Preparation and Investigation of Artemisia annua L.-Loaded Alginate Hydrogels with Excipients
by Boglárka Papp, Zsolt Szűcs, Sándor Gonda, Zoltán Cziáky, Richárd Kajtár, István Lekli, Ádám Haimhoffer, Ágnes Klusóczki, Liza Józsa, Ágota Pető, Nodirali S. Normakhamatov, Zoltán Ujhelyi, Ildikó Bácskay and Pálma Fehér
Pharmaceuticals 2026, 19(3), 424; https://doi.org/10.3390/ph19030424 - 5 Mar 2026
Abstract
Background: Artemisia annua L. is a medicinal plant with documented antimicrobial, antioxidant, and anti-inflammatory properties. Although widely studied for internal therapeutic applications, its topical use—especially in hydrogel-based systems—has not been thoroughly investigated. The aim of this study was to develop sodium alginate [...] Read more.
Background: Artemisia annua L. is a medicinal plant with documented antimicrobial, antioxidant, and anti-inflammatory properties. Although widely studied for internal therapeutic applications, its topical use—especially in hydrogel-based systems—has not been thoroughly investigated. The aim of this study was to develop sodium alginate hydrogels containing Artemisia annua extract, supplemented with hyaluronic acid and dexpanthenol, and to evaluate their physicochemical characteristics as well as their biological activities in vitro and in vivo. Methods: Select bioactive constituents of the Artemisia annua extract were quantified using liquid chromatography coupled with electrospray ionization mass spectrometry (LC-ESI-MS). Hydrogels were prepared by cross-linking sodium alginate with a calcium carbonate–glucono-delta-lactone system and were formulated with or without hyaluronic acid and dexpanthenol. Physicochemical evaluations included measurements of moisture content, water-retention capacity, gelation time, and pH. The hydrogel microstructure was examined by scanning electron microscopy (SEM). Antioxidant activity was assessed using three methods: the 2,2-diphenyl-1-picrylhydrazyl (DPPH) assay, the ferric reducing antioxidant power (FRAP) assay, and the cupric reducing antioxidant capacity (CUPRAC) assay. Biocompatibility and regenerative effects were analyzed using cell viability assays and an in vitro scratch wound model on human keratinocyte cells. In vivo wound-healing efficacy was examined in rats with full-thickness skin excisions. Results: The extract contained high levels of methylated flavonoids and sesquiterpenes characteristic of Artemisia annua. Hydrogels supplemented with hyaluronic acid and dexpanthenol exhibited improved hydration stability and higher porosity. All formulations demonstrated measurable antioxidant activity, and those containing hyaluronic acid showed the strongest effects. The preparations were biocompatible and enhanced keratinocyte migration in vitro, with the combined hyaluronic acid–dexpanthenol formulation promoting the fastest wound closure. In vivo, Artemisia annua hydrogels accelerated wound healing by two to three days compared with untreated wounds. Conclusions: These results confirm the promise of Artemisia annua hydrogels for topical wound care and highlight the beneficial contributions of hyaluronic acid and dexpanthenol to their structural and therapeutic performance. Full article
(This article belongs to the Special Issue Natural Products for Skin Applications)
Show Figures

Graphical abstract

21 pages, 6435 KB  
Article
Influence of Industrial Waste Gypsums in Excess-Sulfated Slag Cement: The Role of Wet Grinding
by Pei Tang, Hai Yang and Shuai Zhou
Materials 2026, 19(5), 999; https://doi.org/10.3390/ma19050999 - 5 Mar 2026
Abstract
The rational utilization of industrial solid waste is an effective way to reduce environmental pollution. This study investigated the potential application of fluorogypsum (FG), flue gas desulfurization gypsum (FGD), phosphogypsum (PG), and titanium gypsum (TG) in the production of excess-sulfated slag cement (ESSC). [...] Read more.
The rational utilization of industrial solid waste is an effective way to reduce environmental pollution. This study investigated the potential application of fluorogypsum (FG), flue gas desulfurization gypsum (FGD), phosphogypsum (PG), and titanium gypsum (TG) in the production of excess-sulfated slag cement (ESSC). It further investigated the effects of different types of gypsum on the performance and hydration process of ESSC through a wet grinding process. The results showed that as the pH value of the gypsum increased, the setting time of ESSC decreased, and hydration heat release occurred earlier. Phase analysis and microstructural characterization indicated that the type of gypsum affected the hydration rate, microstructure, and quantity of hydration products of ESSC, thereby influencing its compressive strength. To further improve the performance of ESSC, a wet grinding process was employed to enhance particle activity and promote hydration reactions. PG, due to its high solubility, demonstrated a better activation effect; after wet grinding, the 28 d compressive strength reached 40.03 MPa. Meanwhile, ESSC pastes prepared with high-pH FG exhibited not only good early strength (3-day strength of 21.93 MPa) after wet grinding but also excellent water resistance, with a softening coefficient of 0.96. This study clarifies the impact of gypsum type on ESSC performance and provides valuable insights for enhancing its properties. Full article
(This article belongs to the Topic Low-Carbon Materials and Green Construction)
Show Figures

Graphical abstract

18 pages, 4846 KB  
Article
Valorization of Sugarcane Bagasse Ash (SCBA) in Cementitious Composites: Hydration Behavior, Nanomodification and Sustainability Performance
by Javier Rodrigo Nahuat-Sansores, Karla del Carmen García-Uitz, Julio César Cruz-Argüello, Carlos Andrés Ramírez-Pinto, Ricardo Enrique Vega-Azamar, Danna Lizeth Trejo-Arroyo and Yazmin Vidal Valdez
Recycling 2026, 11(3), 54; https://doi.org/10.3390/recycling11030054 - 5 Mar 2026
Abstract
Sugarcane bagasse ash (SCBA) has been widely studied as a partial supplementary cementitious material; nonetheless, its hydration behavior and performance when combined with nanoscale modifiers remain insufficiently understood. The aim of this study is to assess the pozzolanic potential of SCBA, the hydration [...] Read more.
Sugarcane bagasse ash (SCBA) has been widely studied as a partial supplementary cementitious material; nonetheless, its hydration behavior and performance when combined with nanoscale modifiers remain insufficiently understood. The aim of this study is to assess the pozzolanic potential of SCBA, the hydration behavior of binary SCBA–cement composites and the mechanical performance of ternary mortars with silica nanoparticles (Si-NPs). SCBA reactivity was confirmed by a Chapelle index of ~300 mg Ca(OH)2/g, while hydration development in binary pastes (5–20 wt% SCBA) was quantified using TG/dTG and semi-quantitative XRD. Low SCBA replacement levels (5–10 wt%) enhanced the hydration degree by up to ~12% at 28 days compared with the reference paste. Ternary mortars incorporating 5 wt% SCBA and Si-NPs exhibited significant strength gains, with the optimal blend (2.5 wt% Si-NPs) achieving a 42% increase in 28-day compressive strength relative to the reference mortar. A sustainability assessment showed concurrent reductions in clinker intensity and CO2 intensity of approximately 33% and 32%, respectively. These findings support the sustainable and technical viability of combining agro-industrial waste and nanotechnology as complementary strategies for reducing clinker content while enhancing eco-efficiency in alternative cementitious composites. Full article
Show Figures

Figure 1

23 pages, 5239 KB  
Article
Polymeric Matrix Mini-Tablets Based on Eudragit® S 100 and HPMC for Controlled Release of Pantoprazole
by Hugo Pardo, Mª Ángeles Peña, Borja Martínez-Alonso, Carlos Torrado-Salmerón and Víctor Guarnizo-Herrero
Pharmaceutics 2026, 18(3), 327; https://doi.org/10.3390/pharmaceutics18030327 - 5 Mar 2026
Abstract
Background: Pantoprazole is a widely used proton pump inhibitor that is highly unstable under acidic conditions. This limits the performance of conventional formulations and typically requires enteric-coated dosage forms or alternative modified-release approaches. This study reports the development of polymeric matrix mini-tablets designed [...] Read more.
Background: Pantoprazole is a widely used proton pump inhibitor that is highly unstable under acidic conditions. This limits the performance of conventional formulations and typically requires enteric-coated dosage forms or alternative modified-release approaches. This study reports the development of polymeric matrix mini-tablets designed to protect pantoprazole during gastric exposure and to enable pH-dependent release under intestinal conditions. The formulations combine Eudragit® S 100, a pH-dependent polymer, with HPMC, a hydrophilic matrix former that modulates drug release through hydration and swelling. Methods: Matrix mini-tablets were prepared by blending pantoprazole with selected excipients at optimised proportions and compressing the blends by direct compression using an eccentric tablet press. Powder blends and mini-tablets were characterised according to pharmacopoeial specifications. Analytical techniques—including High-Performance Liquid Chromatography (HPLC), Differential Scanning Calorimetry (DSC), Fourier-Transform Infrared Absorption Spectroscopy (FT-IR), Powder X-Ray Diffraction (PXRD), and Scanning Electron Microscopy (SEM)—were employed to evaluate drug content uniformity, thermal behaviour, and potential drug–excipient interactions. In vitro dissolution studies were performed under sequential pH conditions, and the release kinetics were analysed using mathematical models. Results: Dissolution testing identified formulations F2 and F6 as providing the most suitable gastro-resistant performance in the acidic stage, together with sustained release up to 24 h. Kinetic modelling supported formulation-dependent release mechanisms, and multivariate analysis (PCA) highlighted relationships between physico-mechanical attributes and drug-release behaviour. Conclusions: The proposed matrix system shows potential as a robust, coating-free platform for the modified delivery of acid-labile drugs using direct compression, simplifying manufacturing. These findings support the rational design of oral modified-release formulations based on polymeric matrices. Full article
Show Figures

Figure 1

21 pages, 2988 KB  
Article
Investigation on Dynamic Formation, Dissociation, and Phase Transition Mechanisms of Natural Gas Hydrates in Complex Pore Structures
by Mingqiang Chen, Qiang Fu, Rui Qin, Shuoliang Wang, Xiangan Lu, Yiwei Wang and Haihong Chen
Appl. Sci. 2026, 16(5), 2494; https://doi.org/10.3390/app16052494 - 5 Mar 2026
Abstract
Dynamic phase transition of natural gas hydrates confined within complex pore–throat structures is a key factor impacting the safe and efficient development of hydrate-bearing deposits. In this work, hydrate-bearing samples with varying saturation were first reconstructed with the proposed ice-seeding method using actual [...] Read more.
Dynamic phase transition of natural gas hydrates confined within complex pore–throat structures is a key factor impacting the safe and efficient development of hydrate-bearing deposits. In this work, hydrate-bearing samples with varying saturation were first reconstructed with the proposed ice-seeding method using actual marine soil in hydrate-bearing sediments from the South China Sea. Dynamic evolution characteristics of hydrate formation in evolving porous media under different temperature and pressure conditions were analyzed in detail. Combined with high-resolution CT scanning, image processing, pore network extraction, and statistical analysis, the typical microscopic pore–throat structures of hydrate-bearing sediments were revealed, and the presence of nanopores was identified. Furthermore, highly controllable heterogeneous pore–throat structures were constructed for microfluidic chips by integrating stochastic modeling, equivalent modeling, and machine learning approaches. On this basis, a novel microfluidic testing method was developed for investigating the dynamic formation, dissociation, and phase transition characteristics of natural gas hydrates in complex pore structures by controlling the temperature. This study provides reliable data support and theoretical guidance for the productivity prediction of marine hydrate-bearing deposits. Full article
Show Figures

Figure 1

25 pages, 7645 KB  
Article
Study on the Rheological Properties and Microstructural Evolution Mechanism of Multicomponent Solid Waste Cementitious Slurry
by Jiqi Cai, Chuang Sun, Jianjun Zhang, Baoqiang Wang, Jiaying Ran and Nannan Tang
Materials 2026, 19(5), 994; https://doi.org/10.3390/ma19050994 - 4 Mar 2026
Abstract
To enhance the rheological properties and engineering applicability of fully solid waste filling slurry, this study uses iron tailings sand as aggregate and slag, steel slag, and desulfurization ash as cementing materials. Through a central composite design experiment, the synergistic regulatory effects of [...] Read more.
To enhance the rheological properties and engineering applicability of fully solid waste filling slurry, this study uses iron tailings sand as aggregate and slag, steel slag, and desulfurization ash as cementing materials. Through a central composite design experiment, the synergistic regulatory effects of steel slag (10~30%) and desulfurization ash (10~30%) on the slurry’s rheological and strength properties were systematically investigated. The yield stress and plastic viscosity of the slurry were quantified based on the Bingham fluid model, using expansion tests and L-tube models, while isothermal calorimetry analysis and microscopic image processing revealed the underlying micro-mechanisms. The results show that when both steel slag and desulfurization ash contents are 20%, the cured specimen prepared from the slurry achieves an optimal 28-day uniaxial compressive strength of 5.90 MPa at 28 days, with yield stress and plastic viscosity of 146.71 Pa and 3.04 Pa·s, respectively. Micro-mechanistic analysis revealed that desulfurization ash effectively reduced the yield stress by up to 38% (from 196.04 Pa to 90.01 Pa) and increased the fractal dimension of flocculated structures to 1.906, thereby optimizing initial flowability. Conversely, steel slag increased the yield stress but decreased plastic viscosity, enhancing structural stability, and regulating the later hydration process. The loop tests confirmed the good transport performance and engineering adaptability of the optimized mix, achieving a cost reduction of up to 65% compared to cement-based systems. Full article
(This article belongs to the Section Construction and Building Materials)
Show Figures

Figure 1

12 pages, 2271 KB  
Communication
Human-Mediated Dispersal of Plantago asiatica Mucilaginous Seeds in Urban Environments
by Sota Inomata, Yudai Kudo and Kohei Koyama
Seeds 2026, 5(2), 17; https://doi.org/10.3390/seeds5020017 - 4 Mar 2026
Abstract
Seed dispersal by humans plays an important role in determining vegetation structure. The seeds of Asian plantain (Plantago asiatica L.) form adhesive mucilage upon hydration, facilitating their attachment to shoes and subsequent dispersal via epizoochory. We investigated the efficacy of this mechanism [...] Read more.
Seed dispersal by humans plays an important role in determining vegetation structure. The seeds of Asian plantain (Plantago asiatica L.) form adhesive mucilage upon hydration, facilitating their attachment to shoes and subsequent dispersal via epizoochory. We investigated the efficacy of this mechanism under various urban environmental conditions. After trampling wild P. asiatica stands, the number of seeds attached to shoe soles was counted. The remaining seeds were then counted after walking at designated distances (1, 2, 5, 10, 20, 50, 100, 200, 500, and 1000 m). The following results were obtained: (1) The retention rate after walking 1000 m varied by shoe type (slip-on (kakkusu) work shoes, 15.4%; leather shoes, 3.4%; rubber boots, 2.7%; running shoes, 13.5%; and sandals, 12.4%). (2) Within the first 50 m of walking, on average more than half of the attached seeds fell off under all investigated conditions. Significantly fewer seeds remained after walking 50 m on asphalt (30.9% of the initial seeds) than on grass (48.2%), whereas after walking 1000 m, similar proportions (15.4% on asphalt and 15.7% on grass) remained on the work shoes. These results indicate that human-mediated short- and long-distance dispersal of mucilaginous seeds of this species is effective in diverse urban environments. Full article
Show Figures

Figure 1

40 pages, 11475 KB  
Article
Next-Generation Minimally Invasive Anti-Aging Therapy: Incorporation of Resveratrol-Nicotinamide Cerosomes into PLGA Microneedles for Enhanced Skin Permeation
by Sammar Fathy Elhabal, Mai S. Shoela, Fatma E. Hassan, Suzan Awad AbdelGhany Morsy, Amal M. Elsharkawy, Amany Ali Khalil Nawar, Mona Mohamed Ahmed, Shady Allam, Marwa A. Fouad, Amal Anwar Taha, Ahmed Mohsen Faheem, Hanan Mohamed Abd Elmoneim and Ahmed Mohsen Elsaid Hamdan
Pharmaceutics 2026, 18(3), 326; https://doi.org/10.3390/pharmaceutics18030326 - 4 Mar 2026
Abstract
Background/Objectives: Skin aging and wrinkle formation are primarily driven by ultraviolet (UV)-induced oxidative stress and inflammation. Resveratrol (RSV) and nicotinamide (NCT) possess potent anti-aging properties but suffer from poor skin penetration. This study aimed to develop an advanced transdermal delivery system incorporating [...] Read more.
Background/Objectives: Skin aging and wrinkle formation are primarily driven by ultraviolet (UV)-induced oxidative stress and inflammation. Resveratrol (RSV) and nicotinamide (NCT) possess potent anti-aging properties but suffer from poor skin penetration. This study aimed to develop an advanced transdermal delivery system incorporating RSV/NCT-loaded cerosomes within poly(lactic-co-glycolic acid) (PLGA) microneedles to enhance skin permeation and anti-aging performance. Methods: RSV/NCT-loaded cerosomes were formulated using thin-film hydration of phosphatidylcholine, ceramides (III, IIIB, and VI), and poloxamer surfactants, subsequently optimized via a D-optimal mixture design. PLGA microneedles with optimized cerosomes were tested for their mechanical strength, penetration, drug loading, and release. Ex vivo permeation and in vivo evaluations were performed using a UVA-induced skin wrinkling model. Results: Optimized cerosomes exhibited high entrapment efficiency for RSV and NCT (91 ± 0.56% and 85 ± 0.56%, respectively), nanoscale size (195 ± 0.78 nm), low polydispersity (0.23 ± 0.01), and a negative zeta potential (−22 ± 0.45 mV). PLGA microneedles exhibited sufficient mechanical integrity and effective penetrability through Parafilm® layers. Microneedle-loaded cerosomes enabled sustained drug release (approximately 65–70% over 48 h) and enhanced ex vivo permeation, approximately for NCT and RSV (1450 μg/cm2 and 1000 μg/cm2, respectively). In vivo investigations revealed improved skin appearance, restoration of epidermal thickness and collagen architecture, reduced levels of inflammatory cytokines (TNF-α, IL-1β, IL-6, NLRP3), reduced oxidative stress biomarkers (GSH, GPx, MDA, SOD), and genetic upregulation of VEGF, TGF-β1, and β-Catenin. Conclusions: The RSV/NCT cerosome-encapsulated PLGA microneedle system offers a promising, minimally invasive approach with superior transdermal delivery, sustained efficacy, and significant anti-aging benefits. Full article
(This article belongs to the Special Issue Recent Advances in Drug Delivery Through Microneedle-Based Systems)
Show Figures

Figure 1

19 pages, 6599 KB  
Article
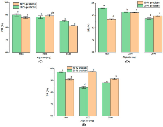
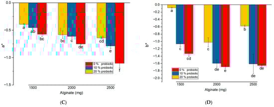
Biopolymer-Based Gel Capsules for Improved Probiotic Delivery
by Roxana Elena Gheorghita, Andrei Lobiuc, Mihai Covasa, Alina Crina Muresan and Ioan Ovidiu Sirbu
Gels 2026, 12(3), 212; https://doi.org/10.3390/gels12030212 - 4 Mar 2026
Abstract
Biopolymer-based encapsulation represents an effective strategy to enhance probiotic stability and targeted gastrointestinal delivery. In this study, gel capsules composed of sodium alginate (SA) and wheat starch (ST) were developed via extrusion to encapsulate Lacticaseibacillus rhamnosus (L. rhamnosus) and Bacillus clausii [...] Read more.
Biopolymer-based encapsulation represents an effective strategy to enhance probiotic stability and targeted gastrointestinal delivery. In this study, gel capsules composed of sodium alginate (SA) and wheat starch (ST) were developed via extrusion to encapsulate Lacticaseibacillus rhamnosus (L. rhamnosus) and Bacillus clausii (B. clausii), aiming to improve probiotic viability and controlled release. Capsule morphology, color, swelling behavior, encapsulation efficiency, and probiotic survival under simulated gastrointestinal conditions were systematically evaluated as a function of polymer ratio and probiotic loading. Capsule diameters ranged from 236.6 to 279.17 μm and were primarily governed by the SA-ST ratio, with higher ST content yielding smaller, more compact structures. Encapsulation efficiency varied between 71.2% and 96.7%, reaching maximal values in formulations with balanced SA:ST ratios (1:1) and higher probiotic loads. All formulations maintained high cell viability (>96%) following encapsulation. In vitro digestion studies demonstrated that SA-ST capsules significantly enhanced probiotic survival in simulated gastric and intestinal fluids, with the highest cumulative survival observed in ST-rich matrices containing 20% probiotic load. Swelling analyses revealed that ST incorporation promoted controlled hydration and matrix relaxation without compromising structural integrity, supporting sustained release behavior. Overall, the SA-ST biopolymer system provides a simple, scalable, and cost-effective platform for co-encapsulation of L. rhamnosus and B. clausii, offering synergistic protection, high encapsulation efficiency, and improved gastrointestinal stability, with promising applications in functional foods and pharmaceutical formulations. Full article
Show Figures

Figure 1

11 pages, 558 KB  
Review
Aquaporins as Regulators of Cutaneous Malignancies: A Comprehensive Review
by Lara Camillo, Elisa Zavattaro and Paola Savoia
Cells 2026, 15(5), 459; https://doi.org/10.3390/cells15050459 - 4 Mar 2026
Abstract
Aquaporins (AQPs) are a family of small integral membrane proteins that mediate the selective transport of water and, in some cases, small solutes such as glycerol and hydrogen peroxide. In the skin, distinct AQP isoforms are expressed throughout the epidermis, dermis, and hypodermis, [...] Read more.
Aquaporins (AQPs) are a family of small integral membrane proteins that mediate the selective transport of water and, in some cases, small solutes such as glycerol and hydrogen peroxide. In the skin, distinct AQP isoforms are expressed throughout the epidermis, dermis, and hypodermis, where they play key roles in maintaining hydration, regulating keratinocyte and fibroblast proliferation, modulating inflammatory responses, and preserving overall tissue integrity. Increasing evidence indicates that aberrant AQP expression or function contributes to skin carcinogenesis, influencing tumor initiation, local invasion, metastasis, and responses to microenvironmental stress. Alterations in specific AQP isoforms have been associated with both major classes of cutaneous malignancies—non-melanoma skin cancers (NMSC), including basal cell carcinoma and squamous cell carcinoma, as well as malignant melanoma (MM)—yet their mechanistic contributions remain incompletely understood. This review synthesizes current knowledge on the involvement of each AQP isoform in skin cancer pathogenesis and progression, integrating findings from molecular, cellular, and in vivo studies. By clarifying the diverse roles of AQPs in cutaneous malignancies, this work aims to support the development of targeted interventions and guide future research in this rapidly evolving field. Full article
(This article belongs to the Special Issue Aquaporins at the Crossroads of Human Health and Disease)
Show Figures

Figure 1

22 pages, 3875 KB  
Article
Glutaraldehyde-Crosslinked Bovine Serum Albumin Hydrogels for Efficient Cu2+, Ni2+, and Co2+ Removal from Water
by Dayana Lancheros-Ayala, Angie Méndez-Bautista, Giselle Barón-Gualdrón and Viviana Güiza-Argüello
Polymers 2026, 18(5), 633; https://doi.org/10.3390/polym18050633 - 4 Mar 2026
Abstract
Heavy metal contamination remains a critical threat to water quality, particularly in effluents associated with industrial activities such as electroplating. This study presents an exploratory proof of concept for a simplified and low-requirement method to fabricate bovine serum albumin (BSA) hydrogels crosslinked with [...] Read more.
Heavy metal contamination remains a critical threat to water quality, particularly in effluents associated with industrial activities such as electroplating. This study presents an exploratory proof of concept for a simplified and low-requirement method to fabricate bovine serum albumin (BSA) hydrogels crosslinked with glutaraldehyde (GA) as protein-based adsorbents for Cu2+, Ni2+, and Co2+ removal. Hydrogel slabs were prepared using BSA concentrations of 20% and 25% (w/v) and GA in the 0.6–1.0% (v/v) range, with formulation adjustments guided by handling and aqueous stability. Swelling behavior was monitored for 23 days, and 0.9% (v/v) GA was selected to balance network expansion with hydrogel consistency. FT-IR confirmed preservation of protein functional groups in the crosslinked network, and TGA/DTG demonstrated multi-step thermal behavior consistent with hydrated protein matrices and a stabilizing effect of increased GA content. Metal removal tests at 50–100 ppm (Cu2+, Ni2+) and 70–100 ppm (Co2+) showed rapid removal approaching equilibrium within the first hours and improved performance at higher BSA content, achieving maximum removal percentages of 99.258% for Cu2+, 80.733% for Ni2+, and 76.070% for Co2+. Adsorption behaviors for Cu2+ and Co2+ aligned with the Langmuir model, while Ni2+ was better described by the Freundlich model. Although the scope is intentionally preliminary and limited to controlled synthetic systems, these results support GA-crosslinked BSA hydrogels as promising, easily fabricated adsorbents and establish a foundation for future studies on broader ion selectivity, competitive adsorption, and adsorption–desorption performance. Full article
Show Figures

Graphical abstract

Back to TopTop