Study on Mechanical and Shrinkage Properties of High Belite Sulphoaluminate Cement-Based Green Recycled Aggregate Concrete
Abstract
:1. Introduction
2. Experimental Program
2.1. Raw Materials
2.2. Preparation Procedures of RCA
2.3. Design of Experiment
3. Experimental Methods
3.1. Compressive Strength
3.2. Shrinkage Test
3.3. Microstructural Characterization
4. Results and Discussion
4.1. Effect of RCA Quality and the Replacement Ratio on Mechanical Properties of HBRAC
4.2. Effect of Cementitious Material Content on Mechanical Properties of HBRAC
4.3. Comparison of Mechanical Properties between HBRAC and OPRAC
4.4. Effect of RCA Quality and the Replacement Ratio on Shrinkage Performance of HBRAC
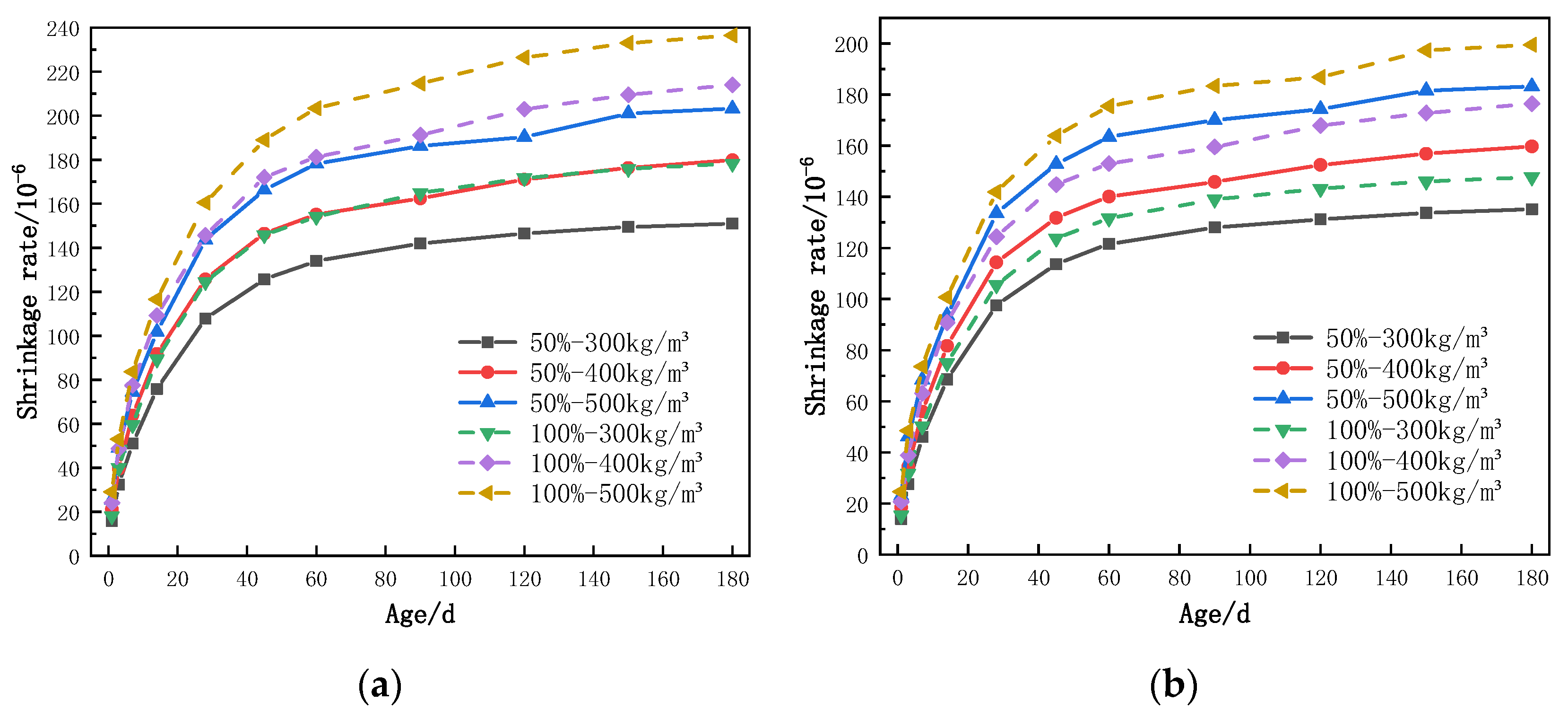
4.5. Effect of Cementitious Material Content on the Shrinkage Performance of HBRAC
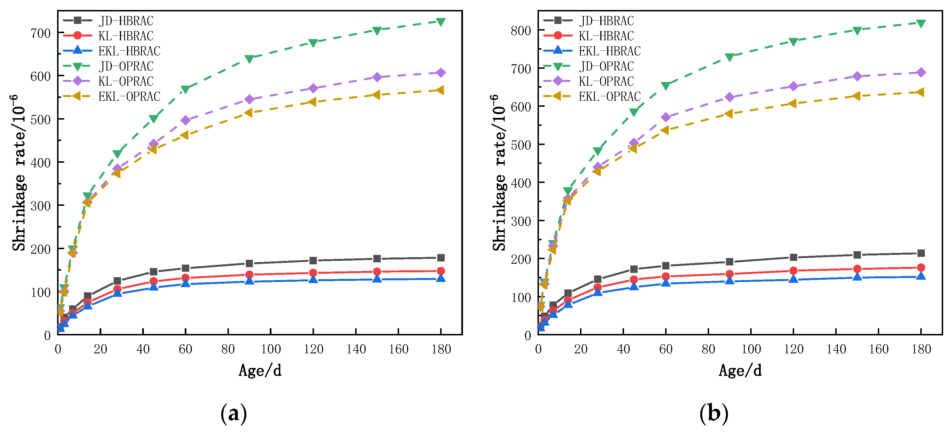
4.6. Comparison of the Shrinkage Performance between HBRAC and OPRAC
4.7. Microstructural Analysis
5. Conclusions
- (1)
- Compared with the simple crushing strengthening process of recycled aggregate, the particle-shaping and strengthening technology significantly improves the performance indexes of recycled coarse aggregate, and the performance of two-time particle-shaping aggregate is better than that of one-time particle-shaping aggregate, which further proves the effectiveness of preparing high-quality recycled coarse aggregate by particle-shaping method.
- (2)
- Recycled concrete prepared from recycled coarse aggregate with particle shaping can keep high compressive strength. Compared with natural aggregate concrete, the compressive strength of JD-HBRAC can be reduced by about 18.0%, while the compressive strength of KL-HBRAC and EKL-HBRAC can be reduced significantly; even the compressive strength of EKL-HBRAC can be reduced to less than 3.5%. In addition, the cementitious material content has a great influence on the compressive strength of recycled concrete. With the increase of the cementitious material content, the strength growth rate can reach about 35%.
- (3)
- The drying shrinkage of recycled concrete prepared by particle-shaped recycled coarse aggregate is obviously lower than that of JD-HBRAC, and even the shrinkage of EKL-HBRAC is comparable to that of natural concrete under the condition of a low replacement rate of recycled aggregate. In addition, the cementitious material content also has a greater influence on the drying shrinkage of recycled concrete. Compared with the cementitious material content of 300 kg/m3, the 180 d shrinkage of HBRAC with the cementitious material content of 400 kg/m3 and 500 kg/m3 increased by about 17.6%~20.1% and 32.7%~37.6%, respectively.
- (4)
- Compared with ordinary Portland cement-based recycled aggregate concrete, high belite sulphoaluminate cement-based recycled aggregate concrete not only has early strength and quick hardening, but also keeps higher compressive strength in the middle and late stages, and has excellent drying shrinkage resistance, which can ensure that the shrinkage rate can be reduced to more than 75%.
Author Contributions
Funding
Institutional Review Board Statement
Informed Consent Statement
Data Availability Statement
Conflicts of Interest
Abbreviations
| RCA | recycled coarse aggregate |
| JD-RCA | simple crushing recycled coarse aggregate |
| KL-RCA | one-time particle-shaping recycled coarse aggregate |
| EKL-RCA | two-time particle-shaping recycled coarse aggregate |
| HBSAC | high belite sulphoaluminate cement |
| OPC | ordinary Portland cement |
| RAC | recycled aggregate concrete |
| HBRAC | high belite sulphoaluminate cement-based recycled aggregate concrete |
| OPRAC | ordinary Portland cement-based recycled aggregate concrete |
| JD-HBRAC | high belite sulphoaluminate cement-based recycled concrete with simple crushed recycled coarse aggregate |
| KL-HBRAC | high belite sulphoaluminate cement-based recycled concrete with one-time particle-shaping recycled coarse aggregate |
| EKL-HBRAC | high belite sulphoaluminate cement-based recycled concrete with two-time particle-shaping recycled coarse aggregate |
References
- Esin, T.; Cosgun, N. A study conducted to reduce construction waste generation in Turkey. Build. Environ. 2007, 42, 1667–1674. [Google Scholar] [CrossRef]
- Wang, J.; Yuan, H.; Kang, X.; Lu, W. Critical success factors for on-site sorting of construction waste: A China study. Resour. Conserv. Recycl. 2010, 54, 931–936. [Google Scholar] [CrossRef]
- Wu, Z.; Zhang, X.; Wu, M. Mitigating construction dust pollution: State of the art and the way forward. J. Clean. Prod. 2016, 112, 1658–1666. [Google Scholar] [CrossRef]
- Cheriyan, D.; Choi, J.H. A review of research on particulate matter pollution in the construction industry. J. Clean. Prod. 2020, 254, 120077. [Google Scholar] [CrossRef]
- Begum, R.A.; Satari, S.K.; Pereira, J.J. Waste generation and recycling: Comparison of conventional and industrialized building systems. Am. J. Environ. Sci. 2010, 6, 383. [Google Scholar] [CrossRef] [Green Version]
- Cho, Y.H.; Yun, T.; Kim, I.T.; Choi, N.R. The application of recycled concrete aggregate (RCA) for hot mix asphalt (HMA) base layer aggregate. KSCE J. Civ. Eng. 2011, 15, 473–478. [Google Scholar] [CrossRef]
- Yoda, K.; Shintani, A. Building application of recycled aggregate concrete for upper-ground structural elements. Constr. Build. Mater. 2014, 67, 379–385. [Google Scholar] [CrossRef]
- Eguchi, K.; Teranishi, K.; Nakagome, A.; Kishimoto, H.; Shinozaki, K.; Narikawa, M. Application of recycled coarse aggregate by mixture to concrete construction. Constr. Build. Mater. 2007, 21, 1542–1551. [Google Scholar] [CrossRef]
- Cai, X.; Wu, K.; Huang, W.; Yu, J.; Yu, H. Application of recycled concrete aggregates and crushed bricks on permeable concrete road base. Road Mater. Pavement Des. 2021, 22, 2181–2196. [Google Scholar] [CrossRef]
- Malesev, M.; Radonjanin, V.; Marinkovic, S. Recycled concrete as aggregate for structural concrete production. Sustainability 2010, 2, 1204–1225. [Google Scholar] [CrossRef] [Green Version]
- Li, J.; Xiao, H.; Zhou, Y. Influence of coating recycled aggregate surface with pozzolanic powder on properties of recycled aggregate concrete. Constr. Build. Mater. 2009, 23, 1287–1291. [Google Scholar] [CrossRef]
- Singh, L.P.; Bisht, V.; Aswathy, M.S.; Chaurasia, L.; Gupta, S. Studies on performance enhancement of recycled aggregate by incorporating bio and nano materials. Constr. Build. Mater. 2018, 181, 217–226. [Google Scholar] [CrossRef]
- Zeng, W.; Zhao, Y.; Poon, C.S.; Feng, Z.; Lu, Z.; Shah, S.P. Using microbial carbonate precipitation to improve the properties of recycled aggregate. Constr. Build. Mater. 2019, 228, 116743. [Google Scholar] [CrossRef]
- Zhan, B.; Poon, C.S.; Liu, Q.; Kou, S.; Shi, C. Experimental study on CO2 curing for enhancement of recycled aggregate properties. Constr. Build. Mater. 2014, 67, 3–7. [Google Scholar] [CrossRef]
- Liu, S.; Shen, P.; Xuan, D.; Li, L.; Sojobi, A.; Zhan, B.; Poon, C.S. A comparison of liquid-solid and gas-solid accelerated carbonation for enhancement of recycled concrete aggregate. Cem. Concr. Compos. 2021, 118, 103988. [Google Scholar] [CrossRef]
- Shi, C.; Li, Y.; Zhang, J.; Li, W.; Chong, L.; Xie, Z. Performance enhancement of recycled concrete aggregate—A review. J. Clean. Prod. 2016, 112, 466–472. [Google Scholar] [CrossRef]
- Kim, J.H.; Sung, J.H.; Jeon, C.S.; Lee, S.H.; Kim, H.S. A study on the properties of recycled aggregate concrete and its production facilities. Appl. Sci. 2019, 9, 1935. [Google Scholar] [CrossRef] [Green Version]
- Liu, Y.; Pang, S.; Wang, L.C. Modification of recycled aggreate and recycled concrete. Recycl. Res. 2005, 1, 33–39. [Google Scholar]
- Ryu, J.S. Improvement on strength and impermeability of recycled concrete made from crushed concrete coarse aggregate. J. Mater. Sci. Lett. 2002, 21, 1565–1567. [Google Scholar] [CrossRef]
- Kim, Y.; Hanif, A.; Kazmi, S.M.; Munir, M.J.; Park, C. Properties enhancement of recycled aggregate concrete through pretreatment of coarse aggregates–Comparative assessment of assorted techniques. J. Clean. Prod. 2018, 191, 339–349. [Google Scholar] [CrossRef]
- Zhang, H.; Xu, X.; Su, S.; Zeng, W. To improve the resistance of recycled aggregate concrete (RAC) to the internal steel corrosion by the pre-treatment of aggregate. Constr. Build. Mater. 2021, 306, 124911. [Google Scholar] [CrossRef]
- Zhang, H.; Ji, T.; Liu, H.; Su, S. Modifying recycled aggregate concrete by aggregate surface treatment using sulphoaluminate cement and basalt powder. Constr. Build. Mater. 2018, 192, 526–537. [Google Scholar] [CrossRef]
- Wang, J.; Zhang, J.; Cao, D.; Dang, H.; Ding, B. Comparison of recycled aggregate treatment methods on the performance for recycled concrete. Constr. Build. Mater. 2020, 234, 117366. [Google Scholar] [CrossRef]
- LI, Q.; ZHU, Y.; Gao, S. Study on the Preparation Technique and Quality Evaluation Method of High Quality Recycled Aggregate. J. Qingdao Technol. Univ. 2009, 30, 1–4. [Google Scholar]
- Medina, C.; Zhu, W.; Howind, T.; de Rojas, M.I.S.; Frlas, M. Influence of mixed recycled aggregate on the physical–mechanical properties of recycled concrete. J. Clean. Prod. 2014, 68, 216–225. [Google Scholar] [CrossRef]
- Zhou, C.; Chen, Z. Mechanical properties of recycled concrete made with different types of coarse aggregate. Constr. Build. Mater. 2017, 134, 497–506. [Google Scholar] [CrossRef]
- Bui, N.K.; Satomi, T.; Takahashi, H. Improvement of mechanical properties of recycled aggregate concrete basing on a new combination method between recycled aggregate and natural aggregate. Constr. Build. Mater. 2017, 148, 376–385. [Google Scholar] [CrossRef]
- Xie, T.; Gholampour, A.; Ozbakkaloglu, T. Toward the development of sustainable concretes with recycled concrete aggregates: Comprehensive review of studies on mechanical properties. J. Mater. Civ. Eng. 2018, 30, 04018211. [Google Scholar] [CrossRef]
- Rodrlguez-Robles, D.; Garcla-Gonzalez, J.; Juan-Valdes, A.; Moran-del Pozo, J.M.; Guerra-Romero, M.I. Effect of mixed recycled aggregates on mechanical properties of recycled concrete. Mag. Concr. Res. 2015, 67, 247–256. [Google Scholar] [CrossRef]
- Ismail, S.; Ramli, M. Mechanical strength and drying shrinkage properties of concrete containing treated coarse recycled concrete aggregates. Constr. Build. Mater. 2014, 68, 726–739. [Google Scholar] [CrossRef]
- Limbachiya, M.C.; Leelawat, T.; Dhir, R.K. Use of recycled concrete aggregate in high-strength concrete. Mater. Struct. 2000, 33, 574–580. [Google Scholar] [CrossRef]
- Gonzalez-Corominas, A.; Etxeberria, M. Effects of using recycled concrete aggregates on the shrinkage of high performance concrete. Constr. Build. Mater. 2016, 115, 32–41. [Google Scholar] [CrossRef]
- Yang, S. Effect of different types of recycled concrete aggregates on equivalent concrete strength and drying shrinkage properties. Appl. Sci. 2018, 8, 2190. [Google Scholar] [CrossRef] [Green Version]
- Mao, Y.; Liu, J.; Shi, C. Autogenous shrinkage and drying shrinkage of recycled aggregate concrete: A review. J. Clean. Prod. 2021, 295, 126435. [Google Scholar] [CrossRef]
- Zhang, H.; Wang, Y.; Lehman, D.E.; Geng, Y.; Kuder, K. Time-dependent drying shrinkage model for concrete with coarse and fine recycled aggregate. Cem. Concr. Compos. 2020, 105, 103426. [Google Scholar] [CrossRef]
- Hu, H.B.; He, Z.H.; Shi, J.Y.; Liang, C.F.; Shibro, T.G.; Liu, B.J.; Yang, S.Y. Mechanical properties, drying shrinkage, and nano-scale characteristics of concrete prepared with zeolite powder pre-coated recycled aggregate. J. Clean. Prod. 2021, 319, 128710. [Google Scholar] [CrossRef]
- Domingo, C.A.; Lazaro, C.; Lopez-Gayarre, F.; Serrano-Lopez, M.A.; Serna, P.; Castano-Tabares, J.O. Creep and shrinkage of recycled aggregate concrete. Constr. Build. Mater. 2009, 23, 2545–2553. [Google Scholar] [CrossRef]
- Kou, S.C.; Poon, C.S.; Agrela, F. Comparisons of natural and recycled aggregate concretes prepared with the addition of different mineral admixtures. Cem. Concr. Compos. 2011, 33, 788–795. [Google Scholar] [CrossRef]
- He, Z.H.; Hu, H.B.; Casanova, I.; Liang, C.F.; Du, S.G. Effect of shrinkage reducing admixture on creep of recycled aggregate concrete. Constr. Build. Mater. 2020, 254, 119312. [Google Scholar] [CrossRef]
- Liu, C.; Luo, J.; Li, Q.; Gao, S.; Su, D.; Zhang, J.; Chen, S. Calcination of green high-belite sulphoaluminate cement (GHSC) and performance optimizations of GHSC-based foamed concrete. Mater. Des. 2019, 182, 107986. [Google Scholar] [CrossRef]
- Su, D.; Yue, G.; Li, Q.; Guo, Y.; Gao, S.; Wang, L. Research on the preparation and properties of high belite sulphoaluminate cement (HBSAC) based on various industrial solid wastes. Materials 2019, 12, 1510. [Google Scholar] [CrossRef] [PubMed] [Green Version]
- Atiq, A.; Niu, S.; Pengju, H. Study on Development of High Belite Sulphoaluminate Cement-Based Grouting Material. N. Am. Acad. Res. J. 2021, 4, 334–344. [Google Scholar]
- Wang, L.; Ma, H.; Li, Z.; Ma, G.; Guan, J. Cementitious composites blending with high belite sulfoaluminate and medium-heat Portland cements for largescale 3D printing. Addit. Manuf. 2021, 46, 102189. [Google Scholar] [CrossRef]
- Gao, Y.; Li, Z.; Zhang, J.; Zhang, Q.; Wang, Y. Synergistic use of industrial solid wastes to prepare belite-rich sulphoaluminate cement and its feasibility use in repairing materials. Constr. Build. Mater. 2020, 264, 120201. [Google Scholar] [CrossRef]
- Ge, Z.; Yuan, H.; Sun, R.; Zhang, H.; Wang, W.; Qi, H. Use of green calcium sulphoaluminate cement to prepare foamed concrete for road embankment: A feasibility study. Constr. Build. Mater. 2020, 237, 117791. [Google Scholar] [CrossRef]













| Chemical Composition | CaO | SiO2 | Al2O3 | Fe2O3 | MgO | SO3 | TiO2 | Loss on Ignition |
| 45.34 | 12.56 | 20.78 | 2.32 | 3.04 | 13.67 | 0.68 | 0.38 | |
| Mineral Composition | β-C2S | Cm | ||||||
| 35.77 | 36.05 | 8.07 | 14.05 | 1.01 | ||||
| Chemical Composition | CaO | SiO2 | Al2O3 | Fe2O3 | MgO | SO3 | TiO2 | Loss on Ignition |
| 62.73 | 17.8 | 6.38 | 5.83 | 1.94 | 2.98 | 0.52 | 0.38 | |
| Mineral Composition | C3S | C2S | C3A | C4AF | ||||
| 50.25 | 23.31 | 7.17 | 13.55 | |||||
| Fineness Module | Specifications | Bulk Density (kg/m3) | Apparent Density (kg/m3) | Void Ratio/% | Micro Powder Content/% | Mud Content/% | Crushing Index/% |
|---|---|---|---|---|---|---|---|
| 2.6 | Medium sand II class | 1450 | 2600 | 40 | 1.1 | 0.7 | 12.5 |
| Water Absorption/% | Moisture Content/% | Content of Needle-Like Particles/% | Crushing Index/% | Bulk Density (kg/m3) | Apparent Density (kg/m3) |
|---|---|---|---|---|---|
| 1.6 | 0.45 | 4.25 | 11.9 | 1458 | 2480 |
| Projects | Recycled Coarse Aggregates for Trials | ||
|---|---|---|---|
| EKL-RCA | KL-RCA | JD-RCA | |
| Grain Gradation | Qualified | Qualified | Qualified |
| Powder Content/% | 0.7 | 0.9 | 2.2 |
| Water Absorption/% | 1.6 | 2.4 | 3.5 |
| Content of Needle-Like Particles/% | 1.0 | 4.0 | 7.0 |
| Impurity Content/% | 0.2 | 0.5 | 0.9 |
| Ruggedness/% | 3.9 | 4.9 | 9.8 |
| Crushing Index/% | 9.0 | 14.0 | 17.0 |
| Apparent Density/(kg/m3) | 2475 | 2470 | 2436 |
| Void ratio/% | 43.0 | 46.0 | 48.0 |
| Aggregate Category | Nominal Diameter/mm | Accumulated Retained Percentage/% | |||||||
|---|---|---|---|---|---|---|---|---|---|
| The Side Length of the Square Hole Screen/mm | |||||||||
| 0 | 4.75 | 9.50 | 16.0 | 19.0 | 26.5 | 31.5 | 37.5 | ||
| Natural coarse aggregate | 5–31.5 | 99.9 | 97.1 | 63.5 | 28.4 | 15.2 | 1.9 | 0.3 | 0 |
| EKL-RCA | 5–31.5 | 99.9 | 97.8 | 62.7 | 28.1 | 15.8 | 2.0 | 0.3 | 0 |
| KL-RCA | 5–31.5 | 99.8 | 98.8 | 74.6 | 35.5 | 21.9 | 2.3 | 0.4 | 0 |
| JD-RCA | 5–31.5 | 99.7 | 99.2 | 76.6 | 39.6 | 23.3 | 3.2 | 0.5 | 0 |
| Item No. | Cement Content | Recycled Coarse Aggregate | Natural Coarse Aggregate | Natural Fine Aggregate | Water Reducer | Water Consumption | ||
|---|---|---|---|---|---|---|---|---|
| Type | Replacement Ratio (%) | Content | ||||||
| N1 | 300 | - | 0 | 0 | 1166 | 714 | 3.6 | 150.0 |
| N2 | 300 | EKL-RCA | 25 | 291.5 | 874.5 | 714 | 3.6 | 150.9 |
| N3 | 300 | EKL-RCA | 50 | 583 | 583 | 714 | 3.6 | 153.2 |
| N4 | 300 | EKL-RCA | 75 | 874.5 | 291.5 | 714 | 3.6 | 152.6 |
| N5 | 300 | EKL-RCA | 100 | 1166 | 0 | 714 | 3.6 | 157.9 |
| N6 | 300 | KL-RCA | 25 | 291.5 | 874.5 | 714 | 3.6 | 154.2 |
| N7 | 300 | KL-RCA | 50 | 583 | 583 | 714 | 3.6 | 154.9 |
| N8 | 300 | KL-RCA | 75 | 874.5 | 291.5 | 714 | 3.6 | 155.3 |
| N9 | 300 | KL-RCA | 100 | 1166 | 0 | 714 | 3.6 | 161.2 |
| N10 | 300 | JD-RCA | 25 | 291.5 | 874.5 | 714 | 3.6 | 154.2 |
| N11 | 300 | JD-RCA | 50 | 583 | 583 | 714 | 3.6 | 159.4 |
| N12 | 300 | JD-RCA | 75 | 874.5 | 291.5 | 714 | 3.6 | 164.3 |
| N13 | 300 | JD-RCA | 100 | 1166 | 0 | 714 | 3.6 | 167.2 |
| N14 | 400 | - | 0 | 0 | 1136 | 696 | 4.8 | 152.2 |
| N15 | 400 | EKL-RCA | 25 | 284 | 852 | 696 | 4.8 | 153.3 |
| N16 | 400 | EKL-RCA | 50 | 568 | 568 | 696 | 4.8 | 152.6 |
| N17 | 400 | EKL-RCA | 75 | 852 | 284 | 696 | 4.8 | 160.3 |
| N18 | 400 | EKL-RCA | 100 | 1136 | 0 | 696 | 4.8 | 159.6 |
| N19 | 400 | KL-RCA | 25 | 284 | 852 | 696 | 4.8 | 153.3 |
| N20 | 400 | KL-RCA | 50 | 568 | 568 | 696 | 4.8 | 158.6 |
| N21 | 400 | KL-RCA | 75 | 852 | 284 | 696 | 4.8 | 159.9 |
| N22 | 400 | KL-RCA | 100 | 1136 | 0 | 696 | 4.8 | 163.8 |
| N23 | 400 | JD-RCA | 25 | 284 | 852 | 696 | 4.8 | 157.8 |
| N24 | 400 | JD-RCA | 50 | 568 | 568 | 696 | 4.8 | 161.2 |
| N25 | 400 | JD-RCA | 75 | 852 | 284 | 696 | 4.8 | 165.2 |
| N26 | 400 | JD-RCA | 100 | 1136 | 0 | 696 | 4.8 | 169.6 |
| N27 | 500 | - | 0 | 0 | 1106 | 678 | 6.0 | 154.3 |
| N28 | 500 | EKL-RCA | 25 | 276.5 | 829.5 | 678 | 6.0 | 155.6 |
| N29 | 500 | EKL-RCA | 50 | 553 | 553 | 678 | 6.0 | 155.5 |
| N30 | 500 | EKL-RCA | 75 | 829.5 | 276.5 | 678 | 6.0 | 156.9 |
| N31 | 500 | EKL-RCA | 100 | 1106 | 0 | 678 | 6.0 | 161.3 |
| N32 | 500 | KL-RCA | 25 | 276.5 | 829.5 | 678 | 6.0 | 156.3 |
| N33 | 500 | KL-RCA | 50 | 553 | 553 | 678 | 6.0 | 163.5 |
| N34 | 500 | KL-RCA | 75 | 829.5 | 276.5 | 678 | 6.0 | 162.3 |
| N35 | 500 | KL-RCA | 100 | 1106 | 0 | 678 | 6.0 | 165.8 |
| N36 | 500 | JD-RCA | 25 | 276.5 | 829.5 | 678 | 6.0 | 159.9 |
| N37 | 500 | JD-RCA | 50 | 553 | 553 | 678 | 6.0 | 163.6 |
| N38 | 500 | JD-RCA | 75 | 829.5 | 276.5 | 678 | 6.0 | 167.1 |
| N39 | 500 | JD-RCA | 100 | 1106 | 0 | 678 | 6.0 | 171.5 |
Publisher’s Note: MDPI stays neutral with regard to jurisdictional claims in published maps and institutional affiliations. |
© 2021 by the authors. Licensee MDPI, Basel, Switzerland. This article is an open access article distributed under the terms and conditions of the Creative Commons Attribution (CC BY) license (https://creativecommons.org/licenses/by/4.0/).
Share and Cite
Yu, Z.; Guo, Y.; Yue, G.; Hu, Z.; Liu, C.; Li, Q.; Wang, L. Study on Mechanical and Shrinkage Properties of High Belite Sulphoaluminate Cement-Based Green Recycled Aggregate Concrete. Crystals 2021, 11, 1512. https://doi.org/10.3390/cryst11121512
Yu Z, Guo Y, Yue G, Hu Z, Liu C, Li Q, Wang L. Study on Mechanical and Shrinkage Properties of High Belite Sulphoaluminate Cement-Based Green Recycled Aggregate Concrete. Crystals. 2021; 11(12):1512. https://doi.org/10.3390/cryst11121512
Chicago/Turabian StyleYu, Zexin, Yuanxin Guo, Gongbing Yue, Zhenwen Hu, Chao Liu, Qiuyi Li, and Liang Wang. 2021. "Study on Mechanical and Shrinkage Properties of High Belite Sulphoaluminate Cement-Based Green Recycled Aggregate Concrete" Crystals 11, no. 12: 1512. https://doi.org/10.3390/cryst11121512
APA StyleYu, Z., Guo, Y., Yue, G., Hu, Z., Liu, C., Li, Q., & Wang, L. (2021). Study on Mechanical and Shrinkage Properties of High Belite Sulphoaluminate Cement-Based Green Recycled Aggregate Concrete. Crystals, 11(12), 1512. https://doi.org/10.3390/cryst11121512

