Metal-Catalyzed and Metal-Mediated Approaches to the Synthesis and Functionalization of Tetramic Acids
Abstract
1. Introduction
2. Conventional Synthetic Methods
2.1. Lacey–Dieckmann Cyclization
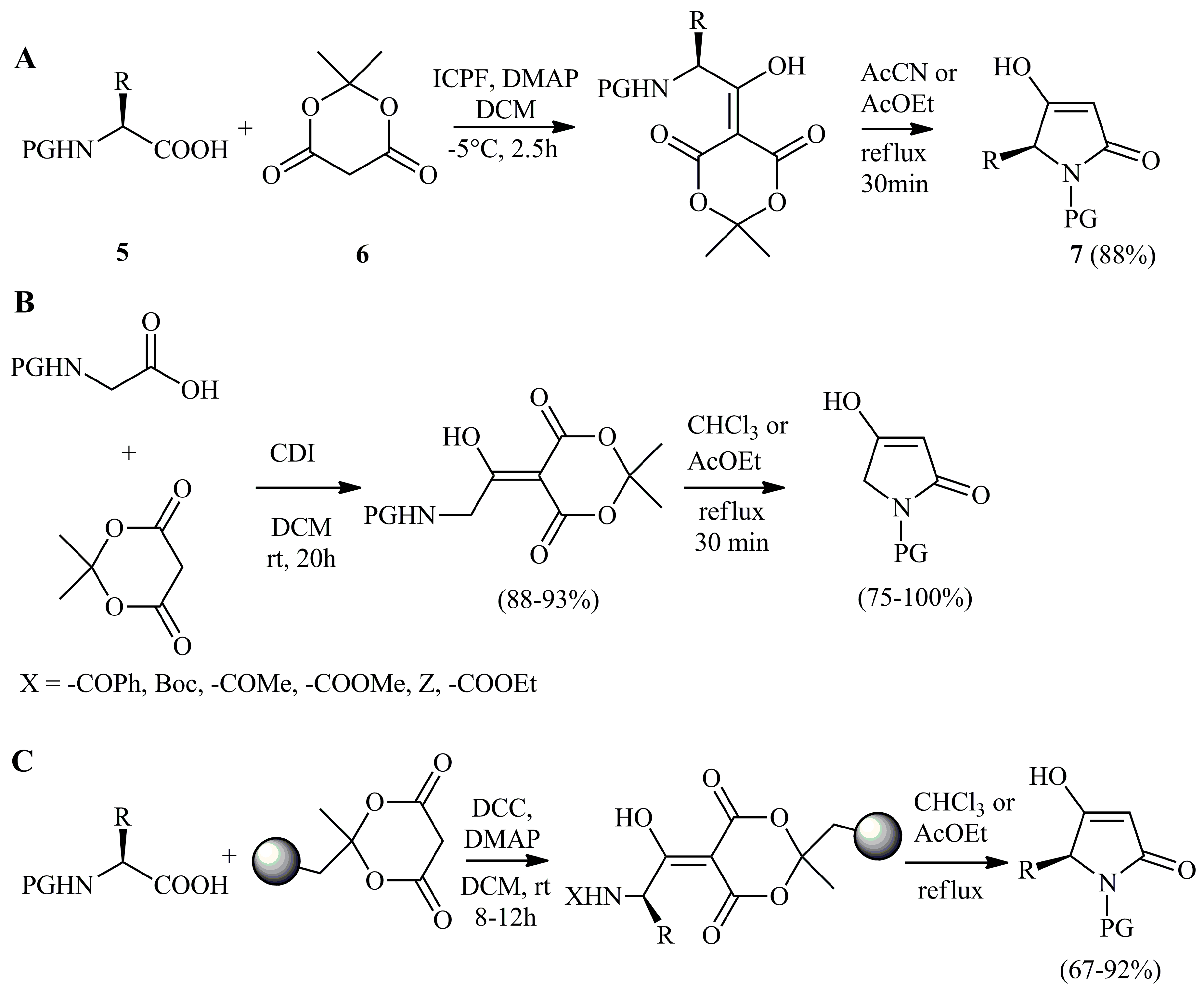
2.2. From Meldrum’s Acid
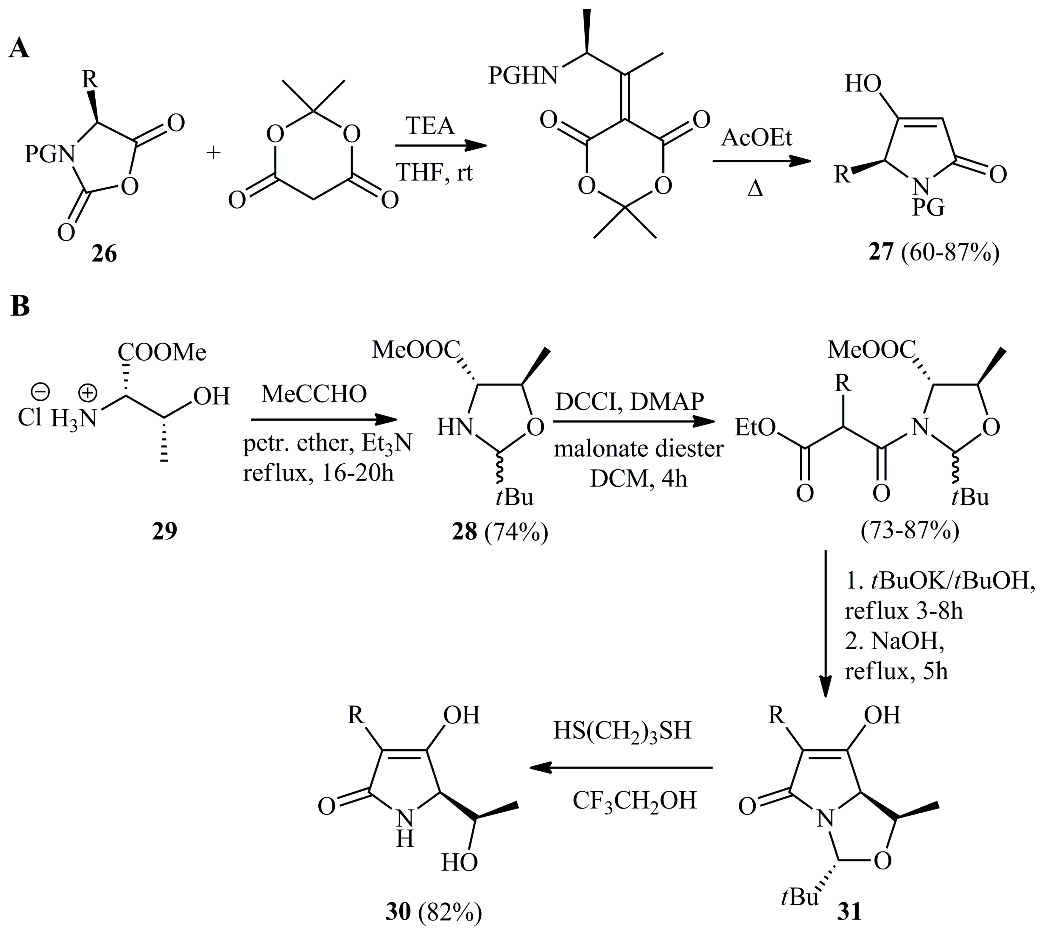
2.3. From β-Ketoesters or Diesters of Malonic Acid (Active Methylene Compounds)
2.4. From Phosphorus Ylide Ph3PCCO
2.5. Involving Activated Cyclic Starting Materials or Intermediates
3. Metal-Based Catalytic and Metal-Mediated Syntheses and Functionalizations of Tetramic Acids
3.1. Preparation of Tetramic Acids
3.1.1. Silver-Catalyzed CO2 Incorporation to Propargylic Amines
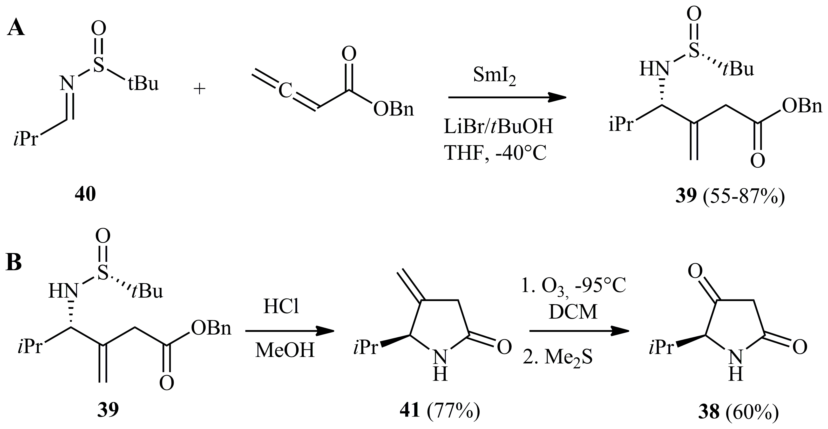
3.1.2. SmI2-Mediated Cyclizations
3.1.3. Pd-Catalyzed Oxidative Aminocarbonylation of 2-Ynylamines
3.1.4. Lithium Telluride-Triggered Synthesis of Tetramic Acids
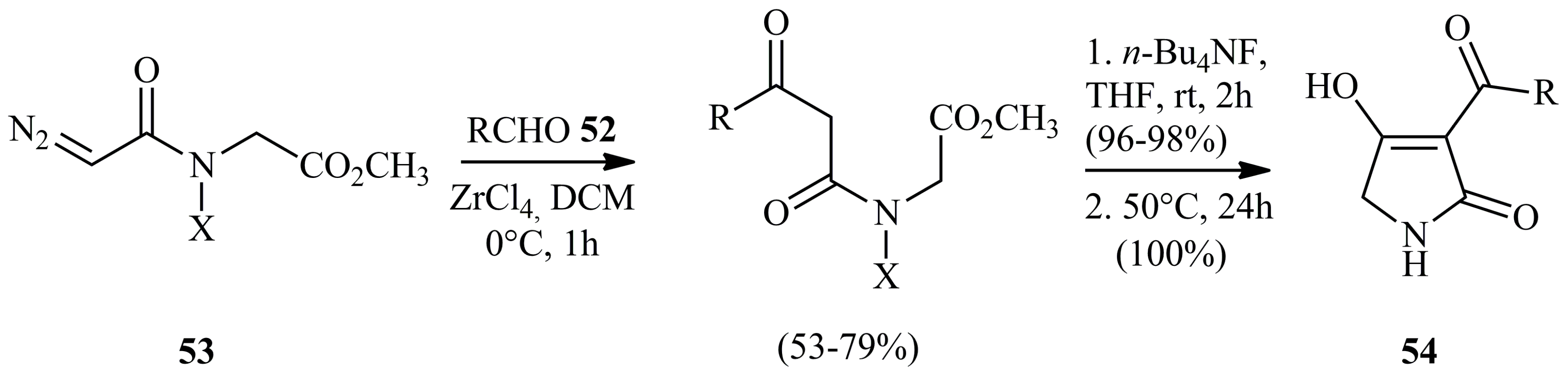
3.1.5. ZrCl4-Catalyzed Synthesis of β-Ketoamides
3.1.6. CuI-Catalyzed Synthesis from β-Ketoesters
3.2. Transformations of Tetramic Acids
3.2.1. Pd-Catalyzed α-Arylation of Tetramic Acids
3.2.2. Metal-Catalyzed 3-Acylation of Tetramic Acids
3.2.3. Chemoselective Ru-Catalyzed Hydrogenation of Exocyclic C=C Bonds
3.2.4. Rhodium-Catalyzed Transformations of Diazotetramic Acids
3.2.5. Annulation Reactions
3.2.6. Sn(IV)-Catalyzed Diastereoselective Aldol Reaction via Siloxy Pyrroles
4. Conclusions
Funding
Acknowledgements
Conflicts of Interest
References
- Mo, X.; Li, Q.; Ju, J. Naturally occurring tetramic acid products: Isolation, structure elucidation and biological activity. RSC Adv. 2014, 4, 50566–50593. [Google Scholar] [CrossRef]
- Schobert, R.; Schlenk, A. Tetramic and tetronic acids: An update on new derivatives and biological aspects. Bioorg. Med. Chem. 2008, 16, 4203–4221. [Google Scholar] [CrossRef] [PubMed]
- Gitterman, C.O. Antitumor, cytotoxic, and antibacterial activities of tenuazonic acid and congeneric tetramic acids. J. Med. Chem. 1965, 8, 483–486. [Google Scholar] [CrossRef] [PubMed]
- Jeong, Y.-C.; Anwar, M.; Bikadi, Z.; Hazai, E.; Moloney, M.G. Natural product inspired antibacterial tetramic acid libraries with dual enzyme inhibition. Chem. Sci. 2013, 4, 1008–1015. [Google Scholar] [CrossRef]
- Dias, D.; White, J.M.; Urban, S. Pinastric acid revisited: A complete NMR and X-ray structure assignment. Nat. Prod. Res. 2007, 21, 366–376. [Google Scholar] [CrossRef] [PubMed]
- Sata, N.U.; Matsunaga, S.; Fusetami, N.; van Soest, R.W.M. Aurantosides D, E, and F: New Antifungal Tetramic Acid Glycosides from the Marine Sponge Siliquariaspongia japonica. J. Nat. Prod. 1999, 62, 969–971. [Google Scholar] [CrossRef] [PubMed]
- Sun, Y.L.; Wang, J.; Wang, Y.F.; Zhang, X.Y.; Nong, X.H.; Chen, M.Y.; Xu, X.Y.; Qi, S.H. Cytotoxic and antiviral tetramic acid derivatives from the deep-sea-derived fungus Trichobotrys effuse DFFSCS021. Tetrahedron 2015, 71, 9328–9332. [Google Scholar] [CrossRef]
- Matsunaga, S.; Fusetami, N.; Kato, Y. Aurantosides A and B: Cytotoxic tetramic acid glycosides from the marine sponge Theonella sp. J. Am. Chem. Soc. 1991, 113, 9690–9692. [Google Scholar] [CrossRef]
- Li, J.Y.; Strobel, G.; Harper, J.; Lobkovsky, E.; Clardy, J. Cryptocin, a Potent Tetramic Acid Antimycotic from the Endophytic Fungus Cryptosporiopsis cf. quercina. Org. Lett. 2000, 2, 767–770. [Google Scholar] [CrossRef] [PubMed]
- Fischer, R.; Voerste, A.; Häuser-Hahn, I.; Lehr, S.; Gatzweiler, E.; Görgens, U.; Heimemann, I. Spiroheterocyclically Substituted Tetramic Acid Derivatives. US Patent US9,809,542, 7 November 2017. [Google Scholar]
- Latorse, M.P.; Grosjean-Cournoyer, M.C. Use of Tetramic Acid Derivatives for Controlling Pathogens by Foliar Application. US Patent US20,140,336,233A1, 7 January 2014. [Google Scholar]
- Graupner, P.R.; Carr, A.; Clancy, E.; Gilbert, J.; Bailey, K.L.; Derby, J.A.; Gerwick, B.C. The Macrocidins: Novel Cyclic Tetramic Acids with Herbicidal Activity Produced by Phoma macrostoma. J. Nat. Prod. 2003, 66, 1558–1561. [Google Scholar] [CrossRef]
- Chen, S.; Qiang, S. Recent advances in tenuazonic acid as a potential herbicide. Pestic. Biochem. Physiol. 2017, 143, 252–257. [Google Scholar] [CrossRef] [PubMed]
- Lee, H.R.; Lee, S.C.; Lee, J.E.; Seo, S.M.; Jeong, Y.C.; Jung, C.S.; Moloney, M.G.; Park, I.K. Nematicidal Activity of 3-Acyltetramic Acid Analogues Against PineWood Nematode Bursaphelenchus xylophilus. Molecules 2017, 22, 1568. [Google Scholar] [CrossRef] [PubMed]
- Nauen, R.; Reckmann, U.; Thomzik, J.; Thielert, W. Biological profile of spirotetramat (Movento®) a new two-way systemic (ambimobile) insecticide against sucking pest species. Bayer Cropsci. J. 2008, 61, 245–278. [Google Scholar]
- Skylaris, C.-K.; Igglessi-Markopoulou, O.; Detsi, A.; Markopoulos, J. Density functional and ab initio study of the tautomeric forms of 3-acetyl tetronic and 3-acetyl tetramic acids. Chem. Phys. 2003, 293, 355–363. [Google Scholar] [CrossRef]
- Steyn, P.S.; Wessels, P.L. Tautomerism in tetramic acids: 13C NMR determination of the structures and ratios of the tautomers in 3-acetyl-5-isopropylpyrrolidine-2,4-dione. Tetrahedron Lett. 1978, 47, 4707–4710. [Google Scholar] [CrossRef]
- Nolte, M.J.; Steyn, P.S.; Wessels, P.L. Structural investigations of 3-acylpyrrolidine-2,4-diones by nuclear magnetic resonance spectroscopy and X-ray crystallography. J. Chem. Soc. Perkin Trans. 1 1980, 1057–1065. [Google Scholar] [CrossRef]
- Athanasellis, G.; Igglessi-Markopoulou, O.; Markopoulos, J. Tetramic and tetronic acids as scaffolds in bioinorganic and bioorganic chemistry. Bioinorg. Chem. Appl. 2010, 315056. [Google Scholar] [CrossRef] [PubMed]
- Zaghouani, M.; Nay, B. 3-Acylated tetramic and tetronic acids as natural metal binders: Myth or reality? Nat. Prod. Rep. 2016, 33, 540–548. [Google Scholar] [CrossRef] [PubMed]
- Kaufmann, G.F.; Sartorio, R.; Lee, S.; Rogers, C.J.; Meijler, M.M.; Moss, J.A.; Clapham, B.; Brogan, A.P.; Dickerson, T.J.; Janda, K.D. Revisiting quorum sensing: Discovery of additional chemical and biological functions for 3-oxo-N-acylhomoserine lactones. Proc. Natl. Acad. Sci. USA 2005, 102, 309–314. [Google Scholar] [CrossRef]
- Biersack, B.; Diestel, R.; Jagusch, C.; Sasse, F.; Schobert, R. Metal complexes of natural melophlins and their cytotoxic and antibiotic activities. J. Inorg. Biochem. 2009, 103, 72–76. [Google Scholar] [CrossRef] [PubMed]
- Matsuo, K.; Kitaguchi, I.; Takata, Y.; Tanaka, K. Structure-Activity Relationships in Tetramic Acids and Their Copper(II) Complexes. Chem. Pharm. Bull. 1980, 28, 2494–2502. [Google Scholar] [CrossRef] [PubMed]
- Markopoulou, O.; Markopoulos, J.; Nicholls, D. Synthesis of 3-Butanoyl- and 3-Benzoyl-4-hydroxy-3-pyrrolin-2-ones and their Complexes with Metal Ions. J. Inorg. Biochem. 1990, 39, 307–316. [Google Scholar] [CrossRef]
- Gavrielatos, E.; Mitsos, C.; Athanasellis, G.; Heaton, B.T.; Steiner, A.; Bickley, J.F.; Igglessi-Markopoulou, O.; Markopoulos, J. Copper(II), cobalt(II), nickel(II) and zinc(II) complexes containing the enolate of N-acetyl-3-butanoyltetramic acid (Habta) and its phenylhydrazone derivative analogues. Crystal structure of [Cu(abta)2(py)2]·2H2O. J. Chem. Soc. Dalton Trans. 2001, 639–644. [Google Scholar] [CrossRef]
- Matiadis, D.; Igglessi-Markopoulou, O.; McKee, V.; Markopoulos, J. N-acetyl-5-arylidenetetramic acids: Synthesis, X-ray structure elucidation and application to the preparation of zinc (II) and copper (II) complexes. Tetrahedron 2014, 70, 2439–2443. [Google Scholar] [CrossRef]
- Matiadis, D.; Tsironis, D.; Stefanou, V.; Elliott, A.G.; Kordatos, K.; Zahariou, G.; Ioannidis, N.; McKee, V.; Panagiotopoulou, A.; Igglessi-Markopoulou, O.; et al. Effect of Metal Complexation on the Antimicrobial Activity of N-Acetyl-3-Acetyl-5-Benzylidene Tetramic Acid: Identification of the Cadmium (II) Complex as Potent Antifungal Agent. J. Inorg. Biochem. under review.
- Gavrielatos, E.; Athanasellis, G.; Igglessi-Markopoulou, O.; Markopoulos, J. Cationic diamineplatinum(II) complexes containing the enolate of N,3-acetyl-4-hydroxypyrrolin-2-one. Inorg. Chim. Acta 2003, 344, 128–132. [Google Scholar] [CrossRef]
- Gavrielatos, E.; Athanasellis, G.; Heaton, B.T.; Steiner, A.; Bickley, J.F.; Igglessi-Markopoulou, O.; Markopoulos, J. Palladium(II)/β-diketonate complexes containing the enolates of N-acetyl-3-acyltetramic acids: Crystal structure of the Lewis base adduct, [Pd(py)4](abta)2. Inorg. Chim. Acta 2003, 351, 21–26. [Google Scholar] [CrossRef]
- Kawai, H.; Imaoka, T.; Hata, G. Process for the Production of Antitumor Platinum Complexes. PCT International Patent Application WO 9,634,000, 31 October 1996. [Google Scholar]
- Hosseini, M.; Kringelum, H.; Murray, A.; Tønder, J.E. Dipeptide Analogues Containing 4-Ethoxy-3-pyrrolin-2-ones. Org. Lett. 2006, 8, 2103–2106. [Google Scholar] [CrossRef]
- Hosseini, M.; Grau, J.S.; Sørensen, K.K.; Søtofte, I.; Tanner, D.; Murray, A.; Tønder, J.E. Short and efficient diastereoselective synthesis of pyrrolidinone-containing dipeptide analogues. Org. Biomol. Chem. 2007, 5, 2207–2210. [Google Scholar] [CrossRef]
- Hosseini, M.; Tanner, D.; Murray, A.; Tønder, J.E. Pyrrolidinone-modified di- and tripeptides: Highly diastereoselective preparation and investigation of their stability. Org. Biomol. Chem. 2007, 5, 3486–3494. [Google Scholar] [CrossRef]
- Raghuraman, A.; Ko, E.; Perez, L.M.; Ioerger, T.R.; Burgess, K. Pyrrolinone–Pyrrolidine Oligomers as Universal Peptidomimetics. J. Am. Chem. Soc. 2011, 133, 12350–12353. [Google Scholar] [CrossRef] [PubMed]
- Raghuraman, A.; Xin, D.; Perez, L.M.; Burgess, K. Expanding the Scope of Oligo-pyrrolinone–Pyrrolidines as Protein–Protein Interface Mimics. J. Org. Chem. 2013, 78, 4823–4833. [Google Scholar] [CrossRef] [PubMed]
- Cherian, P.T.; Deshpande, A.; Cheramie, M.N.; Bruhn, D.F.; Hurdle, J.G.; Lee, R.E. Design, synthesis and microbiological evaluation of ampicillin–tetramic acid hybrid antibiotics. J. Antibiot. 2017, 70, 65–72. [Google Scholar] [CrossRef] [PubMed]
- Cherian, P.T.; Cheramie, M.N.; Marreddy, R.K.R.; Fernando, D.M.; Hurdle, J.G.; Lee, R.E. New β-lactam—Tetramic acid hybrids show promising antibacterial activities. Bioorg. Med. Chem. Lett. 2018, 28, 3105–3112. [Google Scholar] [CrossRef] [PubMed]
- Mulholland, T.P.C.; Foster, R.; Haydock, D.B. Synthesis of pyrrolidine-2,4-diones(tetramic acids) and some derivatives. J. Chem. Soc. Perkin Trans. 1 1972, 2121–2128. [Google Scholar] [CrossRef]
- Lacey, R.N. Derivatives of acetoacetic acid. Part VII. α-Acetyltetramic acids. J. Chem. Soc. 1954, 850–854. [Google Scholar] [CrossRef]
- Royles, B.J.L. Naturally Occurring Tetramic Acids: Structure, Isolation, and Synthesis. Chem. Rev. 1995, 95, 1981–2001. [Google Scholar] [CrossRef]
- Schobert, R. Domino syntheses of bioactive tetronic and tetramic acids. Naturwissenschaften 2007, 94, 1–11. [Google Scholar] [CrossRef] [PubMed]
- Benary, E. Eine neue Tetronsäure-Synthese. Berichte der Deutschen Chemischen Gesellschaft 1907, 40, 1079–1083. [Google Scholar] [CrossRef]
- Benary, E. Über die Einwirkung von Halogenfettsäure-halogeniden auf Malonester. II. Synthese der Tetramsäure. Berichte der Deutschen Chemischen Gesellschaft 1911, 44, 1759–1765. [Google Scholar] [CrossRef]
- Jones, R.C.F.; Sumaria, S. A Synthesis of 3-Acyl-5-alkyl Tetramic Acids. Tetrahedron Lett. 1978, 19, 3173–3176. [Google Scholar] [CrossRef]
- Jones, R.C.F.; Peterson, G.E. Acylation of Pyrrolidine-2,4-diones: Boron Difluoride Complexes of 3-Acyl Tetramic Acids. Tetrahedron Lett. 1983, 24, 4757–4760. [Google Scholar] [CrossRef]
- Lee, V.J.; Branfman, A.R.; Herrin, T.R.; Rinehart, K.L. Acyl tetramic acids. 6. Synthesis of 3-dienoyl tetramic acids related to streptolydigin and tirandamycin. J. Am. Chem. Soc. 1978, 100, 4225–4236. [Google Scholar] [CrossRef]
- Schlenk, A.; Diestel, R.; Sasse, F.; Schobert, R. A Selective 3-Acylation of Tetramic Acids and the First Synthesis of Ravenic Acid. Chem. Eur. J. 2010, 16, 2599–2604. [Google Scholar] [CrossRef]
- Harris, S.A.; Fisher, L.V.; Folkers, K. The Synthesis of Tenuazonic and Congeneric Tetramic Acids. J. Med. Chem. 1965, 8, 478–482. [Google Scholar] [CrossRef] [PubMed]
- Isowa, Y.; Ohta, M. Synthesis of Tetramic Acids. Bull. Chem. Soc. Jpn. 1962, 35, 1941–1943. [Google Scholar] [CrossRef]
- Boeckman, R.K.; Weidner, C.H.; Perni, R.B.; Napier, J.J. An enantioselective and highly convergent synthesis of (+)-ikarugamycin. J. Am. Chem. Soc. 1989, 111, 8036–8037. [Google Scholar] [CrossRef]
- Paquette, L.A.; Macdonald, D.; Anderson, L.G.; Wright, J. A triply convergent enantioselective total synthesis of (+)-ikarugamycin. J. Am. Chem. Soc. 1989, 111, 8037–8039. [Google Scholar] [CrossRef]
- Schlessinger, R.H.; Bebemitz, G.R.; Lin, P.; Poss, A.J. Total synthesis of (−)-tirandamycin A. J. Am. Chem. Soc. 1985, 107, 1777–1778. [Google Scholar] [CrossRef]
- Schlessinger, R.H.; Bebemitz, G.R. A versatile 3-acyltetramic acid reagent. J. Org. Chem. 1985, 50, 1344–1346. [Google Scholar] [CrossRef]
- Yoshinari, T.; Ohmori, K.; Schrems, M.G.; Pfaltz, A.; Suzuki, K. Total synthesis and absolute configuration of macrocidin A, a cyclophane tetramic acid natural product. Angew. Chem. Int. Ed. 2010, 49, 881–885. [Google Scholar] [CrossRef] [PubMed]
- Hart, A.C.; Phillips, A.J. Total synthesis of (+)-cylindramide A. J. Am. Chem. Soc. 2006, 128, 1094–1095. [Google Scholar] [CrossRef] [PubMed]
- Matthews, J.; Rivero, R.A. Solid-Phase Synthesis of Substituted Tetramic Acids. J. Org. Chem. 1998, 63, 4808–4810. [Google Scholar] [CrossRef]
- Ley, S.V.; Smith, S.C.; Woodward, P.R. Use of t-butyl 4-diethylphosphono-3-oxobutanethioate for tetramic acid synthesis: Total synthesis of the plasmodial pigment fuligorubin A. Tetrahedron Lett. 1988, 29, 5829–5832. [Google Scholar] [CrossRef]
- Ley, S.V.; Smith, S.C.; Woodward, P.R. Further reactions of t-butyl 3-oxobutanthioate and t-butyl 4-diethyl-phosphono-3-oxobutanthioate: Carbonyl coupling reactions, amination, use in the preparation of 3-acyltetramic acids and application to the total synthesis of fuligorubin A. Tetrahedron 1992, 48, 1145–1174. [Google Scholar] [CrossRef]
- Jones, R.C.F.; Tankard, M. A new sequence for the synthesis of 3-(poly)enoyltetramic acids. J. Chem. Soc. Perkin Trans. 1 1991, 240–241. [Google Scholar] [CrossRef]
- Jouin, P.; Castro, B.; Nisato, D. Stereospecific synthesis of N-protected statine and its analogues via chiral tetramic acid. J. Chem. Soc. Perkin Trans. 1 1987, 1177–1182. [Google Scholar] [CrossRef]
- Hamilakis, S.; Kontonassios, D.; Sandris, C. Acylaminoacetyl derivatives of active methylene compounds. 4. J. Heterocycl. Chem. 1996, 33, 825–829. [Google Scholar] [CrossRef]
- Jeong, Y.-C.; Moloney, M.G. Tetramic Acids as Scaffolds: Synthesis, Tautomeric and Antibacterial Behaviour. Synlett 2009, 15, 2487–2491. [Google Scholar] [CrossRef]
- Liu, Z.; Ruan, X.; Huang, X. A facile solid phase synthesis of tetramic acid. Bioorg. Med. Chem. Lett. 2003, 13, 2505–2507. [Google Scholar] [CrossRef]
- Gabriel, S. Einwirkung von Acylamino-säurechloriden auf Natrium-Malon- und -Cyan-essigester. I. Berichte der Deutschen Chemischen Gesellschaft 1913, 46, 1319–1358. [Google Scholar] [CrossRef]
- Gabriel, S. Zur Kenntnis der Tetramsäuren. Berichte der Deutschen Chemischen Gesellschaft 1914, 47, 3033–3039. [Google Scholar] [CrossRef]
- Igglessi-Markopoulou, O.; Sandris, C. Acylaminoacetyl derivatives of active methylene compounds. 1. The cyclization of the benzoylaminoacetyl derivatives to α-substituted tetramic acids. J. Heterocycl. Chem. 1982, 19, 883–890. [Google Scholar] [CrossRef]
- Igglessi-Markopoulou, O.; Sandris, C. Acylaminoacetyl derivatives of active methylene compounds. 2. The cyclization of the acetylaminoacetyl derivatives to α-substituted tetramic acids and the formation of N-acetyl-α-substituted tetramic acids. J. Heterocycl. Chem. 1985, 22, 1599–1606. [Google Scholar] [CrossRef]
- Berkley, J.V.; Markopoulos, J.; Markopoulou, O. Synthesis, NMR spectroscopic and X-ray crystallographic studies of N-acetyl-3-butanoyltetramic acid. J. Chem. Soc. Perkin Trans. 2 1994, 1271–1274. [Google Scholar] [CrossRef]
- Detsi, A.; Micha-Screttas, M.; Igglessi-Markopoulou, O. Synthesis of N-alkoxycarbonyl-3-substituted tetramic acids and functionalized enols via C-acylation reactions of active methylene compounds with N-hydroxysuccinimide esters of N-alkoxycarbonyl-α-amino acids. J. Chem. Soc. Perkin Trans. 1 1988, 2443–2450. [Google Scholar] [CrossRef]
- Petroliagi, M.; Igglessi-Markopoulou, O. An efficient synthesis of novel N-acetyl-3-alkanoyl and 3-dienoyl tetramic acids. J. Chem. Soc. Perkin Trans. 1 1997, 3543–3548. [Google Scholar] [CrossRef]
- Detsi, A.; Igglessi-Markopoulou, O.; Markopoulos, J. Reactions of N-hydroxysuccinimide esters of N-alkoxycarbonyl-α-amino acids with active methylene compounds. Synthesis of 3-substituted tetramic acids. Chem. Commun. 1996, 1323–1324. [Google Scholar] [CrossRef]
- Matiadis, D.; Igglessi-Markopoulou, O. Design and Synthesis of Optically Active Esters of γ-Amino-β-oxo Acids as Precursors for the Synthesis of Tetramic Acids Derived from l-Serine, l-Tyrosine and l-Threonine. Eur. J. Org. Chem. 2010, 31, 5989–5995. [Google Scholar] [CrossRef]
- Athanasellis, G.; Gavrielatos, E.; Igglessi-Markopoulou, O. One-pot synthesis of optically active tetramic acids from amino acids mediated by 1-hydroxybenzotriazole. Synlett 2001, 10, 1653–1655. [Google Scholar] [CrossRef]
- Karaiskos, C.S.; Matiadis, D.; Markopoulos, J.; Igglessi-Markopoulou, O. Ruthenium-Catalyzed Selective Hydrogenation of Arylidene Tetramic Acids. Application to the Synthesis of Novel Structurally Diverse Pyrrolidine-2,4-diones. Molecules 2011, 16, 6116–6128. [Google Scholar] [CrossRef] [PubMed]
- Prousis, K.C.; Detsi, A.; Igglessi-Markopoulou, O. A Traceless Solid-Phase Approach to Functionalized Tetramic Acids and 2-Amino-4-pyrrolinones. Synlett 2005, 18, 2763–2766. [Google Scholar] [CrossRef]
- Schobert, R.; Jagusch, C.; Melanophy, C.; Mullen, G. Synthesis and reactions of polymer-bound Ph3P=C=C= O: A quick route to tenuazonic acid and other optically pure 5-substituted tetramates. Org. Biomol. Chem. 2004, 2, 3524–3529. [Google Scholar] [CrossRef] [PubMed]
- Schobert, R.; Jagusch, C. An expedient synthesis of 3-acyltetramic acids of the melophlin family from α-aminoesters and immobilized Ph3PCCO. Tetrahedron 2005, 61, 2301–2307. [Google Scholar] [CrossRef]
- Schobert, R. Preparation of (Triphenylphosphoranylidene)-Ketene from (Methoxycarbonylmethylene)-Triphenylphosphorane. Org. Synth. 2005, 82, 140–146. [Google Scholar] [CrossRef]
- Schobert, R.; Jagusch, C. Solid-phase domino syntheses of functionalized tetronates with Ph3P=C=C=O. Tetrahedron Lett. 2003, 44, 6449–6451. [Google Scholar] [CrossRef]
- Löffler, J.; Schobert, R. Domino syntheses of five-, six-and seven-membered O-, N-and S-heterocycles from α-, β-and γ-substituted carboxylic esters. J. Chem. Soc. Perkin Trans. 1 1996, 2799–2802. [Google Scholar] [CrossRef]
- Schobert, R.; Müller, S.; Bestmann, H.-J. One-pot Synthesis of α,γ-Disubstituted Tetronic Acids from α-Hydroxyallyl Esters: A Novel Tandem-Wittig-Claisen-Reaction. Synlett 1995, 5, 425–426. [Google Scholar] [CrossRef]
- Schobert, R.; Siegfried, S.; Nieuwenhuyzen, M.; Milius, W.; Hampel, F. Selective C-acylation of CH-active dicarbonyl compounds with ketenylidenetriphenylphosphorane: Syntheses and structures of 3-phosphoranylideneacyltetronic acids, 3-phosphoranylideneacyl-4-oxocoumarins, and 4-phosphoranylideneacylpyrazol-5-ones. J. Chem. Soc. Perkin Trans. 1 2000, 1723–1730. [Google Scholar] [CrossRef]
- Schobert, R.; Dietrich, M.; Mullen, G.; Urbina-Gonzales, J.-M. Phosphorus ylide based functionalizations of tetronic and tetramic acids. Synthesis 2006, 22, 3902–3914. [Google Scholar] [CrossRef]
- Kempf, K.; Schmitt, F.; Bilitewski, U.; Schobert, R. Synthesis, stereochemical assignment, and bioactivity of the Penicillium metabolites penicillenols B1 and B2. Tetrahedron 2015, 71, 5064–5068. [Google Scholar] [CrossRef]
- Winterer, M.; Kempf, K.; Schobert, R. Synthesis of an Isomer of the Decalinoyltetramic Acid Methiosetin by a Stereocontrolled IMDA Reaction of a Metal-Chelated 3-Trienoyltetramate. J. Org. Chem. 2016, 81, 7336–7341. [Google Scholar] [CrossRef] [PubMed]
- DeShong, P.; Cipollina, J.A.; Lowmaster, N.K. A general method for the synthesis of tetramic acid derivatives. J. Org. Chem. 1988, 53, 1356–1364. [Google Scholar] [CrossRef]
- DeShong, P.; Lowmaster, N.K.; Baralt, O. Methodology for the synthesis of 3-acyltetramic acids. J. Org. Chem. 1983, 48, 1149–1150. [Google Scholar] [CrossRef]
- Prousis, K.C.; Markopoulos, J.; McKee, V.; Igglessi-Markopoulou, O. Efficient construction of functionalized 5-carboxymethyl tetramic acids using N-Ac-l-aspartic anhydride as chiral building block. Tetrahedron 2010, 66, 3944–3950. [Google Scholar] [CrossRef]
- Mitsos, C.A.; Zografos, A.L.; Igglessi-Markopoulou, O. Regioselective ring opening of malic acid anhydrides by carbon nucleophiles. Application in the synthesis of chiral tetronic acids. J. Org. Chem. 2000, 65, 5852–5853. [Google Scholar] [CrossRef] [PubMed]
- Stachel, H.-D.; Harigel, K.K.; Poschenrieder, H.; Burghard, H. Die umsetzung von azlactonen mit CH-aciden verbindungen. 2. Mitteil. J. Heterocycl. Chem. 1980, 17, 1195–1199. [Google Scholar] [CrossRef]
- Fehrentz, J.; Bourdel, E.; Califano, J.; Chaloin, O.; Devin, C.; Garrouste, P.; Lima-Leite, A.; Llinares, M.; Rieunieur, F.; Vizavonna, J.; et al. Synthesis of chiral urethane N-alkoxycarbonyl tetramic acids from urethane N-carboxyanhydrides (UNCAs). Tetrahedron Lett. 1994, 35, 1557–1560. [Google Scholar] [CrossRef]
- Jones, R.C.F.; Patience, J.M. A new pyrone strategy for the synthesis of 3-acyltetramic acids. Tetrahedron Lett. 1989, 30, 3217–3218. [Google Scholar] [CrossRef]
- Jones, R.C.F.; Bhalay, G.; Carter, P.A.; Duller, K.A.M.; Vulto, S.I.E. A cycloaddition approach to 3-acyltetramic and 3-acyltetronic acids. J. Chem. Soc. Perkin Trans. 1 1994, 2513–2515. [Google Scholar] [CrossRef]
- Andrews, M.D.; Brewster, A.; Moloney, M.G. A concise approach to functionalised, homochiral tetramic acids. Tetrahedron Asymm. 1994, 5, 1477–1478. [Google Scholar] [CrossRef]
- Andrews, M.D.; Brewster, A.G.; Crapnell, K.M.; Ibbett, A.J.; Jones, T.; Moloney, M.G.; Prout, K.; Watkin, D. Regioselective Dieckmann cyclisations leading to enantiopure highly functionalised tetramic acid derivatives. J. Chem. Soc. Perkin Trans. 1 1998, 223–235. [Google Scholar] [CrossRef]
- Jeong, Y.-C.; Anwar, M.; Nguyen, T.N.; Tan, B.S.W.; Chai, C.L.L.; Moloney, M.G. Control of chemoselectivity in Dieckmann ring closures leading to tetramic acids. Org. Biomol. Chem. 2011, 9, 6663–6669. [Google Scholar] [CrossRef] [PubMed]
- Anwar, M.; Moloney, M.G. Efficient enantioselective synthesis of tetramic acids and lactams from threonine. Tetrahedron Lett. 2007, 48, 7259–7262. [Google Scholar] [CrossRef]
- Anwar, M.; Cowley, A.R.; Moloney, M.G. Novel chiral pyrrolidinone scaffolds derived from threonine with antibacterial activity. Tetrahedron Asymm. 2010, 21, 1758–1770. [Google Scholar] [CrossRef]
- Holloway, C.A.; Matthews, C.J.; Jeong, Y.-C.; Moloney, M.G.; Roberts, C.F.; Yaqoob, M. Novel Chiral Skeletons for Drug Discovery: Antibacterial Tetramic Acids. Chem. Biol. Drug Des. 2011, 78, 229–235. [Google Scholar] [CrossRef] [PubMed]
- Jeong, Y.-C.; Moloney, M.G. Synthesis and antibacterial activity of monocyclic 3-carboxamide tetramic acids. Beilstein J. Org. Chem. 2013, 9, 1899–1906. [Google Scholar] [CrossRef] [PubMed]
- Jeong, Y.-C.; Bikadi, Z.; Hazai, E.; Moloney, M.G. A Detailed Study of Antibacterial 3-Acyltetramic Acids and 3-Acylpiperidine-2,4-diones. ChemMedChem 2014, 9, 1826–1837. [Google Scholar] [CrossRef]
- Ishida, T.; Kobayashi, R.; Yamada, T. Novel Method of Tetramic Acid Synthesis: Silver-Catalyzed Carbon Dioxide Incorporation into Propargylic Amine and Intramolecular Rearrangement. Org. Lett. 2014, 16, 2430–2433. [Google Scholar] [CrossRef]
- Ishida, T.; Kikuchi, S.; Tsubo, T.; Yamada, T. Silver-Catalyzed Incorporation of Carbon Dioxide into o-Alkynylaniline Derivatives. Org. Lett. 2013, 15, 848–851. [Google Scholar] [CrossRef]
- Ishida, T.; Kikuchi, S.; Yamada, T. Efficient Preparation of 4-Hydroxyquinolin-2(1H)-one Derivatives with Silver-Catalyzed Carbon Dioxide Incorporation and Intramolecular Rearrangement. Org. Lett. 2013, 15, 3710–3713. [Google Scholar] [CrossRef] [PubMed]
- Yoshida, S.; Fukui, K.; Kikuchi, S.; Yamada, T. Silver-catalyzed Preparation of Oxazolidinones from Carbon Dioxide and Propargylic Amines. Chem. Lett. 2009, 38, 786–787. [Google Scholar] [CrossRef]
- Song, Q.-W.; Chen, W.-Q.; Ma, R.; Yu, A.; Li, Q.-Y.; Cheng, Y.; He, L.-N. Bifunctional Silver(I) Complex-Catalyzed CO2 Conversion at Ambient Conditions: Synthesis of a-Methylene Cyclic Carbonates and Derivatives. ChemSusChem 2015, 8, 821–827. [Google Scholar] [CrossRef] [PubMed]
- Arshadi, S.; Vessally, E.; Sobati, M.; Hosseinian, A.; Behradnia, A. Chemical fixation of CO2 to N-propargylamines: A straightforward route to 2-oxazolidinones. J. CO2 Util. 2017, 19, 120–129. [Google Scholar] [CrossRef]
- Hu, J.; Ma, J.; Zhang, Z.; Zhu, Q.; Zhou, H.; Lu, W.; Han, B. A route to convert CO2: Synthesis of 3,4,5-trisubstituted oxazolones. Green Chem. 2015, 17, 1219–1225. [Google Scholar] [CrossRef]
- Xu, C.-P.; Huang, P.-Q.; Py, S. SmI2-Mediated Coupling of Nitrones and tert-Butanesulfinyl Imines with Allenoates: Synthesis of β-Methylenyl-γ-lactams and Tetramic Acids. Org. Lett. 2012, 14, 2034–2037. [Google Scholar] [CrossRef]
- Bai, W.-J.; Jackson, S.K.; Pettus, T.R.R. Mild Construction of 3-Methyl Tetramic Acids Enabling a Formal Synthesis of Palau’imide. Org. Lett. 2012, 14, 3862–3865. [Google Scholar] [CrossRef]
- Takahashi, K.; Midori, M.; Kawano, K.; Ishihara, J.; Hatakeyama, S. Entry to Heterocycles Based on Indium-Catalyzed Conia-Ene Reactions: Asymmetric Synthesis of (−)-Salinosporamide A. Angew. Chem. Int. Ed. 2008, 47, 6244–6246. [Google Scholar] [CrossRef]
- Scott, M.E.; Schwarz, C.A.; Lautens, M. Synthesis of α,γ-Unsaturated Lactams via a Magnesium Iodide Promoted Ring Expansion of Secondary Methylenecyclopropyl Amides. Org. Lett. 2006, 8, 5521–5524. [Google Scholar] [CrossRef]
- Clough, J.M.; Pattenden, G.; Wight, P.G. Radical cyclisations of propargyl bromoamides and propargyl bromoesters. New routes to tetramic acids, pyrrolinones, tetronic acids and butenolides. Tetrahedron Lett. 1989, 30, 7469–7472. [Google Scholar] [CrossRef]
- Bennett, N.; Prodger, J.C.; Pattenden, G. A synthesis of a common intermediate to the lactone–pyrrolidinone ring systems in oxazolomycin A and neooxazolomycin. Tetrahedron 2007, 63, 6216–6231. [Google Scholar] [CrossRef]
- Brennan, C.J.; Pattenden, G.; Rescourio, G. Formal synthesis of (+)-lactacystin based on a novel radical cyclisation of an α-ethynyl substituted serine. Tetrahedron Lett. 2003, 44, 8757–8760. [Google Scholar] [CrossRef]
- Pettenden, G.; Rescourio, G. A new synthetic approach to (+)-lactacystin based on radical cyclisation of enantiopure α-ethynyl substituted serine derivatives to 4-methylenepyrrolidinones. Org. Biomol. Chem. 2008, 6, 3428–3438. [Google Scholar] [CrossRef] [PubMed]
- Namy, J.L.; Girard, P.; Kagan, H.B. A new preparation of some divalent lanthanide iodides and their usefulness in organic synthesis. New J. Chem. 1977, 1, 5–7. [Google Scholar] [CrossRef]
- Nicolaou, K.C.; Ellery, S.P.; Chen, J.S. Samarium Diiodide Mediated Reactions in Total Synthesis. Angew. Chem. Int. Ed. 2009, 48, 7140–7165. [Google Scholar] [CrossRef]
- Gabriele, B.; Plastina, P.; Salerno, G.; Costa, M. A New Synthesis of 4-Dialkylamino-1,5-dihydropyrrol-2-ones by Pd-Catalyzed Oxidative Aminocarbonylation of 2-Ynylamines. Synlett 2005, 6, 935–938. [Google Scholar] [CrossRef]
- Gabriele, B.; Salerno, G.; Plastina, P.; Costa, M.; Crispini, A. Expedient Synthesis of 4-Dialkylamino-5H-furan-2-ones by One-Pot Sequential Pd-Catalyzed Oxidative Carbonylation of 2-Yn-1-ols–Conjugate Addition-Lactonization. Adv. Synth. Catal. 2004, 346, 351–358. [Google Scholar] [CrossRef]
- Imada, Y.; Yuasa, M.; Nakamura, I.; Murahashi, S. Copper(I)-Catalyzed Amination of Propargyl Esters. Selective Synthesis of Propargylamines, 1-Alken-3-ylamines, and (Z)-Allylamines. J. Org. Chem. 1994, 59, 2282–2284. [Google Scholar] [CrossRef]
- Dittmer, D.C.; Avilov, D.V.; Kandula, V.S.; Purzycki, M.T.; Martens, Z.J.; Hohn, E.B.; Bacler, M.W. Tetramic acids and derivatives by telluride-triggered Dieckmann cyclizations. ARKIVOC 2010, 6, 61–83. [Google Scholar] [CrossRef]
- Wunder, A.; Schobert, R. An expeditious synthesis of the ascomycete metabolite rigidiusculamide B. Org. Biomol. Chem. 2016, 14, 9262–9266. [Google Scholar] [CrossRef] [PubMed]
- Clive, D.L.J.; Anderson, P.C.; Moss, N.; Singh, A. New method for coupling allylic halides: Use of telluride2− ion species. J. Org. Chem. 1982, 47, 1641–1647. [Google Scholar] [CrossRef]
- Dittmer, D.C.; Li, Q.; Avilov, D.V. Synthesis of Coumarins, 4-Hydroxycoumarins, and 4-Hydroxyquinolinones by Tellurium-Triggered Cyclizations. J. Org. Chem. 2005, 70, 4682–4686. [Google Scholar] [CrossRef] [PubMed]
- Dos Santos, A.A.; Princival, J.L.; Comasseto, J.V.; de Barros, S.M.G.; Brainer Neto, J.E. Tellurium/lithium exchange reactions in the synthesis of spiroketals and 1,6-dioxygenated systems. Tetrahedron 2007, 63, 5167–5172. [Google Scholar] [CrossRef]
- Engman, L. Synthetic applications of organotellurium chemistry. Acc. Chem. Res. 1985, 18, 274–279. [Google Scholar] [CrossRef]
- Cossy, J.; Belotti, D.; Cuong, N.K.; Chassagnard, C. Photoreductive cyclization of N,N-dialkyl-β-oxoamides: Synthesis of piperidines and δ-lactams. Tetrahedron 1993, 49, 7691–7700. [Google Scholar] [CrossRef]
- Feng, X.; Wang, J.-J.; Xun, Z.; Zhang, J.-J.; Huang, Z.-B.; Shi, D.-Q. Highly selective synthesis of functionalized polyhydroisoquinoline derivatives via a three-component domino reaction. Chem. Commun. 2015, 51, 1528–1531. [Google Scholar] [CrossRef] [PubMed]
- Feng, Χ.; Wang, J.-J.; Zhang, J.-J.; Cao, C.-P.; Huang, Z.-B.; Shi, D.-Q. Regioselective synthesis of functionalized [1,8]naphthyridine derivatives via three-component domino reaction under catalyst-free conditions. Green Chem. 2015, 17, 973–981. [Google Scholar] [CrossRef]
- Iida, T.; Hori, K.; Nomura, K.; Yoshii, E. A New Entry to 5-Unsubstituted 3-Acyltetramic Acids from Aldehydes. Heterocycles 1994, 38, 1839–1844. [Google Scholar] [CrossRef]
- García-Aranda, M.I.; García-López, M.T.; Pérez de Vega, M.J.; González-Muñiz, R. Tetramic acids and indole derivatives from amino acid β-keto esters. Fine-tuning the conditions of the key Cu-catalyzed reaction. Tetrahedron Lett. 2014, 55, 2142–2145. [Google Scholar] [CrossRef]
- Xie, X.; Cai, G.; Ma, D. CuI/l-Proline-Catalyzed Coupling Reactions of Aryl Halides with Activated Methylene Compounds. Org. Lett. 2005, 7, 4693–4695. [Google Scholar] [CrossRef]
- Storgaard, M.; Dörwald, F.Z.; Peschke, B.; Tanner, D. Palladium-Catalyzed α-Arylation of Tetramic Acids. J. Org. Chem. 2009, 74, 5032–5040. [Google Scholar] [CrossRef] [PubMed]
- Larsen, S.; Bernstein, J. Geometrical Isomerism of 2,4-Dibenzylidene-3-phenyl-5-oxazolidones. Their Rearrangement to 1, 4-Diphenyl-2-benzylidene-3,5-pyrrolidiones. J. Am. Chem. Soc. 1950, 72, 4447–4452. [Google Scholar] [CrossRef]
- Jones, R.C.F.; Begley, M.J.; Peterson, G.E.; Sumaria, S. Acylation of pyrrolidine-2,4-diones: A synthesis of 3-acyltetramic acids. X-ray molecular structure of 3-[1-(difluoroboryloxy)ethylidene]-5-isopropyl-1-methyl-pyrrolidine-2,4-dione. J. Chem. Soc. Perkin Trans. 1 1990, 1959–1968. [Google Scholar] [CrossRef]
- Marquardt, U.; Schmid, D.; Jung, G. Racemic Synthesis of the New Antibiotic Tetramic Acid Reutericyclin. Synlett 2000, 8, 1131–1132. [Google Scholar] [CrossRef]
- Tunik, S.P.; Pilyugina, T.S.; Koshevoy, I.O.; Selivanov, S.I.; Haukka, M.; Pakkanen, T.A. Reaction of (S)-BINAP with H4Ru4(CO)12. The First Example of Face-Bridging BINAP Coordination and 100% Stereoselectivity in Formation of a Chiral Tetranuclear Cluster Framework. Organometallics 2004, 23, 568–579. [Google Scholar] [CrossRef]
- Stachel, H.-D.; Poschenrieder, H.; Redlin, J.; Schachtner, J.; Zeitler, K. Reduktone von Tetron-, Thiotetron- und Tetramsäuren, II. Reduktone durch Rhodium-katalysierte Zersetzung von Diazoverbindungen. Liebigs Ann. Chem. 1994, 129–132. [Google Scholar] [CrossRef]
- Stachel, H.-D.; Poschenrieder, H.; Redlin, J. Thermolyse und Photolyse von cyclischen Diazoverbindungen. Z. Naturforsch. 1996, 51b, 1325–1333. [Google Scholar] [CrossRef]
- Poschenrieder, H.; Höfner, G.; Stachel, H.-D. 5-Arylidene-3-aryl-pyrrolidine-2,4-diones with Affinity to the N-Methyl-d-aspartate (Glycine Site) Receptor, Part I. Arch. Pharm. Pharm. Med. Chem. 1998, 331, 389–394. [Google Scholar] [CrossRef]
- Poschenrieder, H.; Stachel, H.-D. Reduktone von Maleinimiden. Arch. Pharm. 1989, 322, 301–302. [Google Scholar] [CrossRef]
- Rostovskii, N.V.; Novikov, M.S.; Khlebnikov, A.F.; Korneev, S.M.; Yufit, D.S. Cu(II)-Catalyzed domino reaction of 2H-azirines with diazotetramic and diazotetronic acids. Synthesis of 2-substituted 2H-1,2,3-triazoles. Org. Biomol. Chem. 2013, 11, 5535–5545. [Google Scholar] [CrossRef]
- Rostovskii, N.V.; Sakharov, P.A.; Novikov, M.S.; Khlebnikov, A.F.; Starova, G.L. Cu(I)−NHC-Catalyzed (2 + 3)-Annulation of Tetramic Acids with 2H-Azirines: Stereoselective Synthesis of Functionalized Hexahydropyrrolo[3,4-b]pyrroles. Org. Lett. 2015, 17, 4148–4151. [Google Scholar] [CrossRef] [PubMed]
- Guo, S.; Chen, B.; Zhao, D.; Chen, W.; Zhang, G. Manganese(II)-Mediated Domino Annulation Reaction of Vinyl Azides and 4-Hydroxycoumarin: A Stereoselective Synthesis of Spirobenzofuranone-lactams. Adv. Synth. Catal. 2016, 358, 3010–3014. [Google Scholar] [CrossRef]
- David, J.G.; Bai, W.-J.; Weaver, M.G.; Pettus, T.R.R. A General Diastereoselective Catalytic Vinylogous Aldol Reaction Among Tetramic Acid-Derived Pyrroles. Org. Lett. 2014, 16, 4384–4387. [Google Scholar] [CrossRef] [PubMed]




























© 2019 by the author. Licensee MDPI, Basel, Switzerland. This article is an open access article distributed under the terms and conditions of the Creative Commons Attribution (CC BY) license (http://creativecommons.org/licenses/by/4.0/).
Share and Cite
Matiadis, D. Metal-Catalyzed and Metal-Mediated Approaches to the Synthesis and Functionalization of Tetramic Acids. Catalysts 2019, 9, 50. https://doi.org/10.3390/catal9010050
Matiadis D. Metal-Catalyzed and Metal-Mediated Approaches to the Synthesis and Functionalization of Tetramic Acids. Catalysts. 2019; 9(1):50. https://doi.org/10.3390/catal9010050
Chicago/Turabian StyleMatiadis, Dimitris. 2019. "Metal-Catalyzed and Metal-Mediated Approaches to the Synthesis and Functionalization of Tetramic Acids" Catalysts 9, no. 1: 50. https://doi.org/10.3390/catal9010050
APA StyleMatiadis, D. (2019). Metal-Catalyzed and Metal-Mediated Approaches to the Synthesis and Functionalization of Tetramic Acids. Catalysts, 9(1), 50. https://doi.org/10.3390/catal9010050
