Abstract
The catalytic performance of mixed metal oxides in the combustion of paper industrial waste (bark, paper sludge, and waste paper reject) was investigated. The mixed metal oxide catalyst with, SiO2, Al2O3, Fe2O3, and CaO percentages of 78.57, 9.28, 4.28, and 7.85, respectively, was prepared by mixing iron mill scale, clinker, used cement, and bentonite clay, which were employed as metal oxide precursors. An analysis of the combustion behavior of bark, paper sludge, and waste paper reject with and without a mixed metal oxide catalyst, using the thermogravimetric analysis technique, showed that the ignition temperature remained unchanged after the addition of the catalyst. In contrast, the burnout temperature was reduced from 616.9 to 482.6 °C, 682.0 to 672.5 °C, and 678.1 to 669.9 °C for bark, paper sludge, and waste paper reject, respectively. These results indicated that adding a mixed metal oxide catalyst enhanced the combustion reactivity via the accelerated char combustion of biomass. Furthermore, the products formed during the combustion process with and without a catalyst were investigated in a packed-bed reactor. The gaseous products (H2, CO, CH4, C2H4, C2H6, and CO2) were observed during the combustion process of bark, paper sludge, and waste paper reject at 700 °C, both with and without a mixed metal oxide catalyst. However, higher H2 and CO2 compositions, which are attributed to the catalyst addition, were found in the presence of a catalyst, which improved the tar decomposition and the water–gas shift reaction.
1. Introduction
Biomass has become an important feedstock for energy generation via combustion, in areas such as boilers or power plants, due to its lower cost compared to conventional fossil-based fuels. Biomass usually contains less carbon, sulfur, and nitrogen and more oxygen, hydrogen, and volatile matter than fossil fuels. Thus, it has a lower carbon footprint. On the other hand, biomass often has a higher moisture content than coal, as the heating value of flue gas in the combustion chamber is low [1,2]. Although biomass generally has less char compared to coal, the biomass char is often much more reactive towards oxidation than any coal char, and, accordingly, the predominant form of biomass combustion is the gas phase oxidation of char via a gasification reaction by O2, CO2, and H2O [3]. The main challenges of biomass combustion include its low heating value, slagging, fouling, and corrosion, which are the result of moisture content, chlorine, potassium, and phosphorus contained in the biomass. The moisture content is one of the important factors affecting the process’ efficiency, as it can require a significant amount of external energy and prolong the starting-up time in the reactor. Orang and Tran [4] studied the effect of biomass moisture content on the performance of a biomass-fed boiler. It was found that more than 30% of the moisture content contained in the biomass resulted in a significant increase in starting-up time (drying the biomass) and ignition time and led to a decrease in the furnace’s temperature. However, moisture only has a small influence on the devolatilization rate and the char burning rate. The combustion of biomass is unstable because of its low calorific value and high ash content. Many studies have indicated that the thermal reactivity of biomass or coal can be improved by adding various additives. These additives can be classified as (1) pre-flame additives (to improve the storage and handling of fuel), (2) combustion additives (to improve the combustion efficiency and to reduce pollutants and particulates), and (3) post-flame functioning additives (for particulate collection, fireside deposit control, and cold-side corrosion reduction) [5,6].
Alkaline, alkaline earth, and transition metals in the forms of salts or oxides, (e.g., olivine, kaolin, dolomite, bentonite, CaO, MgO, NiO, K2CO3, MnO2, and Fe2O3) were widely applied in the combustion process, and demonstrated high combustion performance by increasing combustion reactivity, reducing the ignition temperature, decreasing the unburnt char, and reducing the pollutants in the exhaust gas [7,8,9]. Additionally, the metal oxide materials can act as oxygen carriers, which can enhance oxygen transfer behavior due to their oxygen storage and redox properties [10,11]. Z. Wang et al. [12] found that CaO, CeO2, MnO2, and Fe2O3 catalysts improved combustion activity and accelerated the fixed carbon combustion of the blended fuel (sewage sludge and pulverized coal) by decreasing the ignition temperature and burnout temperature of the fuels. S. Fang et al. [13] discovered that MgO, Al2O3, and ZnO contribute to the decrease in the initial temperature and activation energy of the pyrolysis process of paper sludge. Moreover, the effect of an oxide support, such as SiO2, on catalytic efficiency has been tested, because it produces a higher metallic surface area and a higher sintering resistance [14]. Recently, there have been an increasing number of reports on the preparation of catalysts from earth-abundant and low-cost precursors such as waste materials which are more cost-effective and environmentally friendly.
Therefore, in this work, the combustion behavior of paper industrial waste (bark, paper sludge, and waste paper reject) was investigated with and without the addition of waste-based catalyst. A mixed metal oxide (SiO2, Al2O3, Fe2O3, and CaO) catalyst was synthesized using iron mill scale, clinker, used cement, and bentonite clay as metal oxide precursors. The metal oxide precursors were characterized by X-ray fluorescence (XRF) and X-ray diffraction (XRD). The prepared mixed metal oxide catalyst was analyzed using X-ray fluorescence (XRF), N2 adsorption–desorption, CO2-temperature programmed desorption (CO2-TPD), and NH3-temperature programmed desorption (NH3-TPD). The combustion behaviors of biomass with and without a catalyst were performed using thermogravimetric analysis (TGA), derivative thermogravimetric analysis (DTG), and differential scanning calorimeter (DSC) techniques. Furthermore, the gaseous products generated during the combustion process were analyzed using a packed-bed reactor and gas chromatography.
2. Results and Discussion
2.1. Biomass and Metal Oxide Precursors Analysis
All waste materials received directly from the industrial paper had a moisture level of more than 50 wt% (55.0, 68.0, and 70.0 wt% for bark, paper sludge, and waste paper reject, respectively). The proximate and ultimate analysis, as well as the calorific values of the biomass on a dry basis, were examined, and the results were presented in Table 1. The biomass on a dry basis exhibited high amounts of volatiles (60–70 wt%) and low ash content (9–24 wt%). Table 2 shows the metal oxide compositions of clinker, used cement, and bentonite clay using the XRF technique. SiO2, Al2O3, Fe2O3, and CaO compositions in clinker were 16.40, 2.87, 3.33, and 75.00 wt%, respectively, while those of used cement were 30.82, 2.38, 2.15, and 41.96 wt%, respectively. For bentonite clay, the SiO2, Al2O3, Fe2O3, and CaO compositions were 73.07, 13.10, 6.83, and 1.79 wt%, respectively.
Table 1.
Properties of biomass.
Table 2.
Metal oxide compositions of industrial waste precursors.
The crystal structures of metal oxide precursors (iron mill scale, clinker, used cement, and bentonite clay) were investigated using XRD. Figure 1a shows the peak positions of the iron mill scale (after calcination) at 23.7 (012), 32.7 (104), 35.1 (110), 40.4 (113), 49.0 (024), 53.6 (116), 57.1 (018), 62.0 (214), 63.7 (300), 71.6 (101), and 75.1 (220), which are indexed with the phase of pure hematite iron oxide (α-Fe2O3; PDF No. 01-080-5405) [15,16]. The XRD patterns of the clinker (after calcination) are shown in Figure 1b, which exhibited the mixed phases of calcium oxide (CaO; PDF No. 37-1497), tricalcium silicate (3CaO·SiO2, C3S), dicalcium silicate (2CaO·SiO2, C2S), tricalcium aluminate (3CaO·Al2O3, C3A), and tetracalcium aluminoferrite (4CaO·Al2O3·Fe2O3, C4AF) [17,18]. The C3S is the dominant phase in clinkers, while the other phases (C2S, C3A, and C4AF) highly overlap with C3S, particularly in the 2θ range of 27–35°. Figure 1c displays the XRD patterns of the used cement (after calcination), corresponding to the mixed phases of quartz (SiO2; PDF No. 01-089-8936), calcium oxide (CaO; PDF No. 37-1497), magnesium oxide (MgO; PDF No. 78-0430), tricalcium silicate (3CaO·SiO2, C3S), and dicalcium silicate (2CaO·SiO2, C2S). The XRD patterns of the bentonite clay (after calcination) revealed the mixed phases of montmorillonite ((Na, Ca)0.3(Al, Mg)2Si4O10(OH)2·H2O; PDF No. 00-003-0015), quartz (SiO2; PDF No. 01-089-8936), and cristobalite (SiO2; PDF No. 00-001-0438), as shown in Figure 1d.
Figure 1.
XRD patterns of metal oxide precursors; (a) iron mill scale, (b) clinker, (c) used cement and (d) bentonite clay.
2.2. Mixed Metal Oxide Catalyst Analysis
The compositions of metal oxides in the mixed metal oxide catalyst prepared from the physical mixing of iron mill scale, clinker, used cement, and bentonite clay were determined by XRF. The prepared catalyst consisted of SiO2, Al2O3, Fe2O3, and CaO at the percentages of 78.6, 9.3, 4.3, and 7.8 wt%, respectively. The porosity of the prepared catalyst was examined by N2 physisorption analysis, and the result was revealed in Figure 2. The isotherm with hysteresis loops was observed, corresponding to type IV isotherms in IUPAC classification, indicating the presence of mesoporous structure. The mesoporous structure allows for the rapid and easy diffusion of the reactants during the catalytic processes [19]. The calculated specific surface area and average pore diameter of the prepared catalyst was 15.2 m2/g and 14.71 nm, respectively. Figure 3 shows the CO2-TPD profile of the prepared mixed metal oxide catalyst. The small peak at a low temperature (100–350 °C), which can be clearly observed in Figure 3 (inset), was assigned to weak basic sites owing to the physical adsorption of CO2 on the catalyst surface. The large peak at 800 °C indicated strong basic sites which was attributed to the decomposition of CaCO3 into CO2. Therefore, the presence of CaO is conducive to the strong basicity of the catalyst, which may lead to higher CO2 capture capacity. The amounts of basic sites on the catalyst surface were 58.8 and 981.9 μg/gcat for weak and strong basic sites, respectively. The NH3-TPD profile of the catalyst is shown in Figure 4. The NH3 desorbed from the catalyst surface occurred in a wide peak ranging from 100 to 800 °C, corresponding to the acid sites, with a total NH3 quantity of 326.8 μg/gcat. The catalytic activity and resistance to coke deposition are significantly influenced by the acidic and basic properties of the catalyst [20]. Enhanced CO2 adsorption on the catalyst surface promotes increased CO conversion and H2 production by effectively shifting the chemical equilibrium of the water–gas shift reaction [21]. Furthermore, it is proposed that acidic sites on the catalyst are suggested to promote coke deposition through hydrocarbon cracking, whereas basic sites contribute to coke removal via coke reforming processes [22]. However, at higher temperatures, the relationship between catalytic activity and catalyst acidity weakens, most likely due to the greater extent of thermal reactions, while the basicity of the catalyst remains beneficial in promoting tar decomposition [23].
Figure 2.
N2 adsorption–desorption isotherm of the prepared mixed metal oxide catalyst.
Figure 3.
CO2–TPD profile of the prepared mixed metal oxide catalyst and magnification of CO2 desorption peak at 100–350 °C (inset).
Figure 4.
NH3–TPD profile of the prepared mixed metal oxide catalyst.
2.3. Combustion Behaviors of Biomass Using TG-DTG and DSC Analysis
The combustion behavior of biomass was investigated using the TG-DTG technique under an air atmosphere with a flow rate of 60 mL/min, and the results are illustrated in Figure 5. The DTG curve of bark (Figure 5a) is separated into three stages. The first stage, in the range of 50–200 °C, corresponded to the evaporation of moisture with a mass loss of 12.83 wt%. The second stage was attributed to the volatilization of hemicellulose, cellulose, and lignin in the temperature ranges of 200–350, 350–430, and 430–510 °C [24,25,26], respectively, with a total mass loss of 68.37 wt%. The third stage, in the temperature range of 550–650 °C, corresponded to the combustion of residual volatile matter and char, with a mass loss of 3.45 wt%. These three stages were also observed for paper sludge (Figure 5b) and waste paper reject (Figure 5c). However, the combustion behavior of both biomasses differed from that of woody biomass because the paper sludge and waste paper reject were more heterogeneous materials than bark. The third stage, as mentioned above, of paper sludge and waste paper reject extended up to around 700 °C, with mass loss of 7.18 and 5.01 wt%, respectively. For the second stage, which was the volatilization of volatile matter, extreme mass loss was observed in the temperature range of 200–500 °C, with a mass loss of 58.54 and 73.72 wt% for paper sludge and waste paper reject, respectively [27].
Figure 5.
TG–DTG curves of biomass combustion: (a) bark, (b) paper sludge, and (c) waste paper reject.
The combustion characteristic parameters of the biomass, i.e., maximum mass loss rate (DTGmax), average mass loss rate (DTGmean), temperature of maximum weight loss rate (Tm), ignition temperature (Ti), burnout temperature (Tb), time of maximum mass loss rate (tm), ignition time (ti), burnout time (tb), time at DTG/DTGmax = 1/2, ignition index (Ci), burnout index (Cb), and combustibility index (S), are summarized in Table 3. The ignition temperature (Ti) of bark, paper sludge, and waste paper reject were 264.3, 271.8, and 271.8 °C, respectively. The result can be described that a large amount of volatile matter and the energy released by them, as well as the higher H/C ratio (see Table 1), reduced their ignition temperature, due to the ignition temperature depending on the initial release of volatile matter, and on how instantly the heat was released by volatile combustion [10,27].
Table 3.
Combustion characteristic parameters of biomass with and without a catalyst.
The burnout temperature (Tb) of biomass is defined as the temperature at which the weight loss rate was less than 1 wt%/min. At this temperature, the combustion was assumed to be almost complete. Normally, a lower burnout temperature suggests that the fuel burned rapidly [28]. Among the biomass, bark showed the lowest burnout temperature at 616.9 °C, which is a generally accepted reason why the lower ash content is an important factor leading to the high burnout index [29]. The burnout index (Cb) is inversely proportional to burnout temperature; lowering the burnout temperature provides higher burnout efficiency. Additionally, the combustibility index (S) exhibited the same trend as the ignition and burnout index.
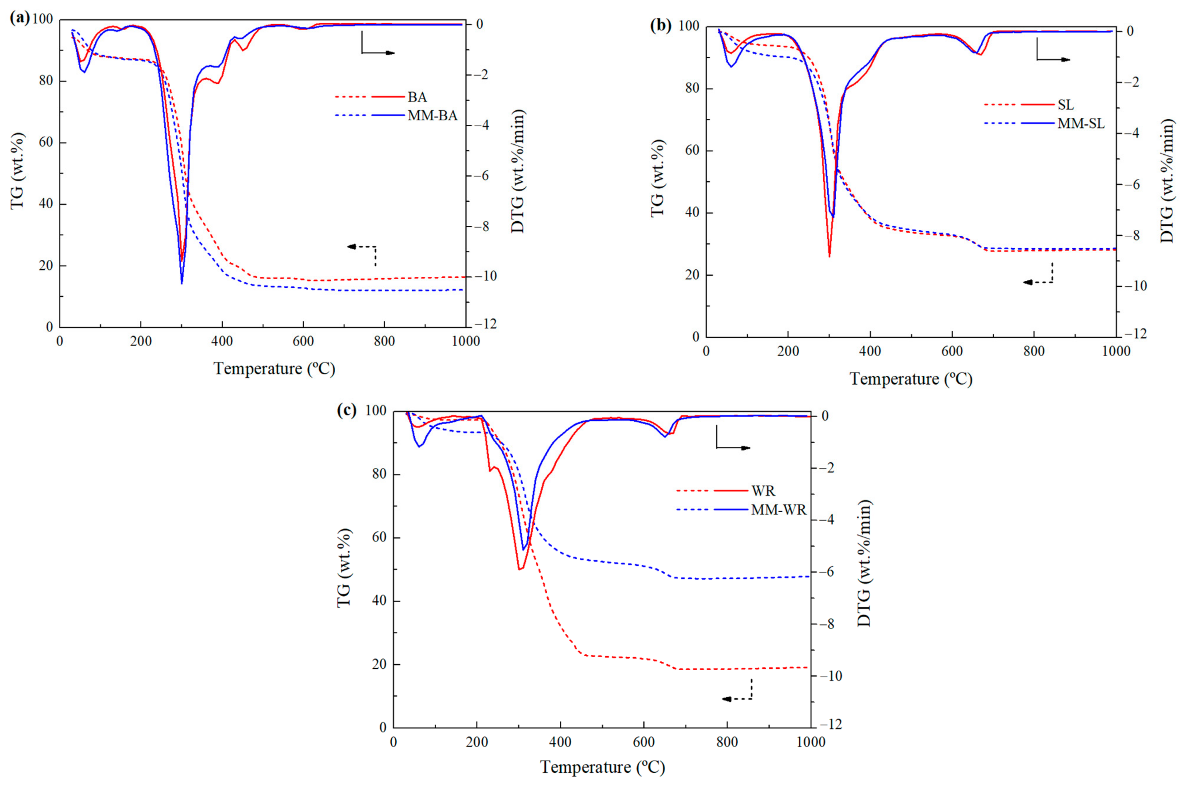
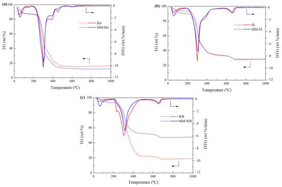
The biomass combustion, with an addition of a mixed metal oxide catalyst, was also investigated using the TG-DTG profile, as shown in Figure 6. The percentages of residue mass for bark (BA) and paper sludge (SL) combustion with a catalyst were similar to those without a catalyst; however, waste paper reject (WR) with a catalyst was higher than without due to the heterogeneity of the waste paper reject. The combustion characteristics parameters of biomass with a catalyst are also presented in Table 3. When comparing the combustion behavior of biomass with and without a catalyst, the ignition temperature of combustion was not significantly different. Nevertheless, the burnout temperature of bark, paper sludge, and waste paper reject with a catalyst (MM-BA, MM-SL, and MM-WR) decreased from 616.9 to 482.6 °C, 682.0 to 672.5 °C, and 678.1 to 669.9 °C, respectively, compared to those without a catalyst (BA, SL, and WR). It can be indicated that a mixed metal oxide catalyst improved biomass combustion reactivity via accelerated char combustion. This is because the metal oxide acts as an oxygen carrier, which promotes the oxygen transfer to the char [6,10,12,30,31].
Figure 6.
The biomass combustion profile with and without mixed a metal oxide catalyst: (a) bark, (b) paper sludge, and (c) waste paper reject (solid arrow point to DTG value for solid line graph and dashed arrow point to TG value for dashed line graph).
The direction of heat flow during the combustion process as a function of temperature was investigated by the DSC technique, as illustrated in Figure 7. The heat flow of combustion for all biomass, with and without a catalyst, showed two distinct exothermic reaction regions. The first region, at temperatures ranging from 200 to 350 °C, refers to hemicellulose volatilization, while the second region, from 350 to 500 °C, reflects cellulose and lignin combustion. Both regions indicated the reactivity of biomass fuels [32]. The enthalpy for combustion of bark (BA), bark with catalyst (MM-BA), paper sludge (SL), paper sludge with catalyst (MM-SL), waste paper reject (WR), and waste paper reject with catalyst (MM-WR) were 214.8, 248.7, 156.6, 192.3, 280.8, and 135.8 J/g, respectively.
Figure 7.
DSC curves of biomass combustion with and without mixed metal oxide catalyst.
2.4. Combustion Behavior of Biomass Using a Packed-Bed Reactor
The combustion process is the most obvious and the oldest method to create energy from biomass. During combustion, material is burned in the presence of oxygen and converted into CO2 and H2O while releasing energy. However, the combustion process consists of many overlapping processes: drying, pyrolysis, tar cracking, and gasification. Pyrolysis (Equation (1)) is the thermal degradation of biomass in the absence of oxygen to produce solid, liquid, or gaseous fuels or valuable chemicals. Tar cracking (Equation (2)) is the process of cracking tar molecules into gases, lighter hydrocarbons, char, and steam. Gasification is the process of converting biomass or carbonaceous solids (char) into gaseous products at high temperatures using gasification agents such as air/O2, H2O, and CO2. The gasification process includes oxidation (Equations (3)–(6)), Boudouard (Equation (7)), carbon steam reforming (Equation (8)), methane production (Equation (9)), water–gas shift (Equation (10)), and methane steam reforming (Equation (11)) [33].
Biomass → H2 + CO + CO2 + H2O + Hydrocarbons + Tar + Char
Tar → H2 + CO + CO2 + H2O + Char + light hydrocarbons
C + O2 → CO2
C + 1/2O2 → CO
CO + 1/2O2 → CO2
H2 + 1/2O2 → H2O
C + CO2 ⇌ 2CO
C + H2O ⇌ H2 + CO
C + 2H2 ⇌ CH4
CO + H2O ⇌ CO2 + H2
CH4 + H2O ⇌ CO + 3H2
Figure 8 exhibits the formation of gaseous products during the combustion process of bark, paper sludge, and waste paper reject, with and without a mixed metal oxide catalyst at 700 °C using 21%O2/Ar as an oxidant. The production of H2, CO, CH4, C2H4, C2H6, and CO2 was detected in all experiments, which corresponded to the products described in Equations (1)–(11). Bark (BA) exhibited the highest reactivity (highest total gas yield) towards the combustion conditions. These results related to the higher combustibility index (Table 3) of bark when compared to paper sludge (SL) and waste paper reject (WR). The addition of the catalyst boosted the total gas production, due to a significant rise in CO2 and H2 concentrations. This could be due to the thermochemical reactions between char, tar, and Fe2O3, Al2O3, and CaO in the catalyst, as follows:
Figure 8.
Production of gaseous products from the combustion process of bark, paper sludge, and waste paper reject at 700 °C with (MM-BA, MM-SL, and MM-WR) and without (BA, SL, and WR) mixed metal oxide catalyst.
(1) Iron oxide (Fe₂O₃) acts as an oxygen carrier, promoting biomass tar conversion (Equation (2)) and char gasification (Equations (12)–(14)). The produced CO was then catalytically converted to H2 and CO2 via a water–gas shift process (Equations (15) and (16)) [34]. The produced Fe3O4 can be oxidized to produce active Fe2O3 (Equation (17)).
C + 3Fe2O3 → 2Fe3O4 + CO
C + Fe3O4 → 3FeO + CO
C + FeO → Fe + CO
CO + Fe2O3 → 2FeO + CO2
3FeO + H2O → Fe3O4 + H2
Fe3O4 + 1/4O2 → 3/2Fe2O3
(2) The addition of Al2O3 in the catalyst greatly improved the activity of the Fe2O3 catalyst for the decomposition and gasification of biomass tar [34].
(3) CaO is a well-known CO2 adsorbent that interacts with CO2 to form CaCO3, as shown in Equation (18), leading to the in situ removal of CO2 during biomass gasification, driving the chemical equilibrium shift to produce a higher quantity of H2 [33].
CaO + CO2 → CaCO3
3. Material and Methods
3.1. Biomass and Catalyst Preparations
Different biomass materials from paper industrial waste, i.e., bark, paper sludge and waste paper reject, were provided by Siam Kraft Industry Co., Ltd. (Wangsala, Kanchanaburi, Thailand). The source of various metal oxide precursors is industrial waste, i.e., clinker, used cement, bentonite clay, and iron mill scale. All industrial waste precursors were crushed and then calcined at 900 °C (10 °C/min) for 2 h under 21%O2/Ar for iron mill scale and calcined in air at 700 °C (10 °C/min) for 12 h for clinker, used cement and bentonite clay. Mixed metal oxide catalyst was prepared via physical mixing of metal oxide precursors, including iron mill scale, clinker, used cement, and bentonite clay with the compositions of SiO2, Al2O3, Fe2O3, and CaO at 78.6, 9.3, 4.3, and 7.8 wt%, respectively. Finally, the mixed metal oxide was calcined in air at 900 °C for 4 h.
3.2. Characterizations
Biomass are characterized by proximate and ultimate analyses. The proximate analysis gives the content of moisture, volatile, fixed carbon, and ash. The ultimate analysis gives the composition of elements such as carbon, hydrogen, oxygen, sulfur, and nitrogen. The crystalline structures of metal oxide precursors, i.e., iron mill scale, clinker, used cement, and bentonite clay, were characterized using X-ray diffraction (XRD). The metal oxide compositions in clinker, used cement, bentonite clay, and mixed metal oxide catalyst were determined using X-ray fluorescence (XRF). The N2 adsorption–desorption isotherm of a mixed metal oxide catalyst was measured at −196 °C, and the specific surface area was calculated by the multiple-point Brunauer–Emmett–Teller (BET) method. The acidity and basicity of the catalyst were characterized using NH3 and CO2-temperature programmed desorption (TPD), respectively. Before the TPD process, the catalyst was pretreated at 150 °C for 1 h with a flow rate of 100 mL/min of Ar. After that, the catalyst was exposed to 50 mL/min of 5% NH3/Ar at 50 °C for NH3-TPD or 100 mL/min of 5% CO2/Ar at 100 °C for CO2-TPD. During the TPD process, the temperature of the catalyst increased from room temperature to 800 °C, with a heating rate of 5 °C/min under Ar flow of 100 mL/min. The gases (NH3 or CO2) desorption profiles were measured in real time by a mass spectrometer (GSD 320, OmniStar, Puchheim, Germany).
3.3. Combustion Behavior Using Thermogravimetric Analysis
Biomass combustion was performed in a thermogravimetric analyzer (TGS/DSC3 + Metler Toledo) and the sample weight loss and rate of weight loss were plotted as functions of time or temperature. The sample (about 4 mg) was spread uniformly in the crucible, and the temperature was increased at a rate of 10 °C/min from room temperature to 1000 °C under an air atmosphere (60 mL/min). To investigate the effect of catalyst addition on biomass combustion performance, the biomass/catalyst weight ratio of 1:1 was used. The combustion of biomass without a catalyst was labeled BA, SL, and WR, whereas the combustion with a catalyst was labeled MM-BA, MM-SL, and MM-WR for bark, paper sludge, and waste paper reject, respectively.
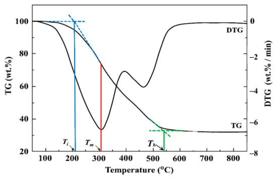
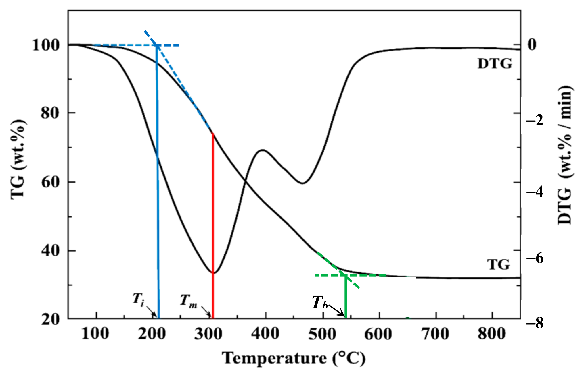
The combustion parameters, i.e., ignition temperature (Ti), burnout temperature (Tb), and maximum weight loss rate temperature (Tm), were directly obtained from the TG-DTG thermogram, as illustrated in Figure 9. The combustion parameters were employed to calculate the combustion performance of the fuels using Equations (19)–(21) [12]. The ignition index (Ci) indicates the reactivity of fuel in the early stages of combustion. The burnout index (Cb) is used to evaluate the burnout performance. Moreover, the combustibility index (S) represents the combustion performances of the fuels during the whole combustion process. The higher ignition, burnout, and combustibility indexes indicates better ignition, burnout, and combustion reactivity, respectively [35].
Figure 9.
The demonstration plot for determination of ignition temperature (Ti), burnout temperature (Tb), and maximum weight loss rate temperature (Tm).
The variables DTGmax, DTGmean, ti, tb, tm, and ∆t½ represent maximum mass loss rate, average mass loss rate, ignition time, burnout time, time at maximum mass loss rate, and time at DTG/DTGmax = 1/2, respectively.
3.4. Combustion Behavior Using a Packed-Bed Reactor
The catalytic combustion of biomass was carried out using a quartz tube packed-bed reactor. An amount of 1.0 g of catalyst was placed into the quartz tube reactor. The reactor temperature was controlled by furnace and monitored using a thermocouple. An amount of 1.0 g of biomass was pelletized and put in a biomass feeder above the reactor. The reactor was heated to 700 °C, under 21%O2/Ar flow. After the reactor temperature was reached, the biomass in the feeder was fed into the reactor. The gaseous products were collected in a 5 L Tedlar gas sample bag for 45 min before being analyzed using a gas chromatograph (GC). Biomass combustion without a catalyst was also performed in the same procedure, but with quartz sand instead of the catalyst.
4. Conclusions
The biomass materials from paper industrial waste, i.e., bark, paper sludge, and waste paper reject, were characterized by proximate and ultimate analysis. All biomasses have high moisture, volatile matter, and oxygen content. The combustion behaviors of biomass were divided into three stages; the first stage (50–200 °C) was attributed to drying, the second stage (200–500 °C) was devolatilization, and the third stage (500–700 °C) was residual volatile and char burning. The ignition, burnout, and combustibility indexes were used to indicate the combustion reactivity of biomass, with the higher ignition, burnout, and combustibility indexes resulting in better ignition, burnout and combustion reactivity, respectively. These values are related to the compositions of biomass, such as the amount of volatile matter and the H/C ratio. The addition of a mixed metal oxide catalyst, which was prepared from the physical mixing of industrial waste, i.e., clinker, used cement, bentonite clay, and iron mill scale with the percentages of SiO2, Al2O3, Fe2O3, and CaO of 78.57, 9.28, 4.28, and 7.85, has no significant effect on ignition temperature of biomass. However, the burnout temperature of biomass with a catalyst was reduced from 616.9 to 482.6 °C, 682.0 to 672.5 °C, and 678.1 to 669.9 °C for bark, paper sludge, and waste paper reject, respectively, when compared to that without a catalyst. These results indicated that the mixed metal oxide catalyst addition enhanced combustion reactivity via the accelerated char combustion of biomass. Furthermore, the products produced during the combustion process, with and without a catalyst, were investigated using a packed-bed reactor. The production of gases, including H2, CO, CH4, C2H4, C2H6, and CO2, was observed during the combustion process of bark, paper sludge, and waste paper reject at 700 °C, both with and without mixed metal oxide catalyst. However, higher compositions of H2 and CO2 were found in the presence of catalyst which are attributed to the catalyst addition improved the tar decomposition and water-gas shift reaction.
Author Contributions
N.S.: writing—original draft, validation, project administration, conceptualization. V.T.: validation, methodology, investigation, formal analysis. A.M.: writing—editing, visualization, investigation, formal analysis, data curation. U.W.H.: writing—review and editing, supervision, resources, project administration, funding acquisition, conceptualization. I.S.: writing—review and editing, supervision, resources, project administration, funding acquisition, conceptualization. All authors have read and agreed to the published version of the manuscript.
Funding
This research has received funding support from the NRCT (contract number N41A640254 & N83A670023), King Mongkut’s University of Technology North Bangkok (contract number KMUTNB-FF-66-52), and NSRF via the Program Management Unit for Human Resources & Institutional Development, Research and Innovation (contact number B48G660108).
Data Availability Statement
The data that support the findings of this study are available on request.
Conflicts of Interest
The authors declare no conflicts of interest.
References
- Liu, L.; Memon, M.Z.; Xie, Y.; Gao, S.; Guo, Y.; Dong, J.; Gao, Y.; Li, A.; Ji, G. Recent Advances of Research in Coal and Biomass Co-Firing for Electricity and Heat Generation. Circ. Econ. 2023, 2, 100063. [Google Scholar] [CrossRef]
- Gil, M.V.; Rubiera, F. Coal and Biomass Cofiring: Fundamentals and Future Trends; Suárez-Ruiz, I., Diez, M.A., Rubiera, F., Eds.; Woodhead Publishing: Oviedo, Spain, 2019; ISBN 978-0-08-102201-6. [Google Scholar]
- Hupa, M.; Karlström, O.; Vainio, E. Biomass Combustion Technology Development—It Is All about Chemical Details. Proc. Combust. Inst. 2017, 36, 113–134. [Google Scholar] [CrossRef]
- Orang, N.; Tran, H. Effect of Feedstock Moisture Content on Biomass Boiler Operation. Tappi J. 2015, 14, 629–637. [Google Scholar] [CrossRef]
- Dorner, R.W.; Srinivasan, N.; Shah, J.; Chen, H.-T. Method for Reducing Slag in Biomass Combustion. U.S. Patent No. 20120312206, 13 December 2012. [Google Scholar]
- Hu, Y.; Wang, Z.; Cheng, X.; Liu, M.; Ma, C. Effects of Catalysts on Combustion Characteristics and Kinetics of Coal-Char Blends. IOP Conf. Ser. Earth Environ. Sci. 2018, 133, 012023. [Google Scholar] [CrossRef]
- Zou, C.; Wen, L.; Zhang, S.; Bai, C.; Yin, G. Evaluation of Catalytic Combustion of Pulverized Coal for Use in Pulverized Coal Injection (PCI) and Its Influence on Properties of Unburnt Chars. Fuel Process. Technol. 2014, 119, 136–145. [Google Scholar] [CrossRef]
- Ueda, S.; Watanabe, K.; Inoue, R.; Ariyama, T. Catalytic Effect of Fe, CaO and Molten Oxide on the Gasification Reaction of Coke and Biomass Char. ISIJ Int. 2011, 51, 1262–1268. [Google Scholar] [CrossRef]
- Zhang, S.; Chen, Z.D.; Chen, X.J.; Gong, X.Z. Effects of Ash/K2CO3/Fe2O3 on Ignition Temperature and Combustion Rate of Demineralized Anthracite. J. Fuel Chem. Technol. 2014, 42, 166–174. [Google Scholar] [CrossRef]
- Vamvuka, D.; Tsamourgeli, V.; Galetakis, M. Study on Catalytic Combustion of Biomass Mixtures with Poor Coals. Combust. Sci. Technol. 2014, 186, 68–82. [Google Scholar] [CrossRef]
- Nzihou, A.; Stanmore, B.; Sharrock, P. A Review of Catalysts for the Gasification of Biomass Char, with Some Reference to Coal. Energy 2013, 58, 305–317. [Google Scholar] [CrossRef]
- Wang, Z.; Hong, C.; Xing, Y.; Li, Y.; Feng, L.; Jia, M. Combustion Behaviors and Kinetics of Sewage Sludge Blended with Pulverized Coal: With and without Catalysts. Waste Manag. 2018, 74, 288–296. [Google Scholar] [CrossRef]
- Fang, S.; Yu, Z.; Lin, Y.; Lin, Y.; Fan, Y.; Liao, Y.; Ma, X. Effects of Additives on the Co-Pyrolysis of Municipal Solid Waste and Paper Sludge by Using Thermogravimetric Analysis. Bioresour. Technol. 2016, 209, 265–272. [Google Scholar] [CrossRef] [PubMed]
- Blanco, P.H.; Wu, C.; Onwudili, J.A.; Williams, P.T. Characterization and Evaluation of Ni/SiO2 Catalysts for Hydrogen Production and Tar Reduction from Catalytic Steam Pyrolysis-Reforming of Refuse Derived Fuel. Appl. Catal. B Environ. 2013, 134–135, 238–250. [Google Scholar] [CrossRef]
- Wahab, R.; Khan, F.; Al-Khedhairy, A.A. Hematite Iron Oxide Nanoparticles: Apoptosis of Myoblast Cancer Cells and Their Arithmetical Assessment. RSC Adv. 2018, 8, 24750–24759. [Google Scholar] [CrossRef]
- Park, C.; Jung, J.; Lee, C.W.; Cho, J. Synthesis of Mesoporous α-Fe2O3 Nanoparticles by Non-Ionic Soft Template and Their Applications to Heavy Oil Upgrading. Sci. Rep. 2016, 6, 39136. [Google Scholar] [CrossRef] [PubMed]
- Zhutovsky, S.; Shishkin, A. Recycling of Hydrated Portland Cement Paste into New Clinker. Constr. Build. Mater. 2021, 280, 122510. [Google Scholar] [CrossRef]
- Yang, Z.; Zhang, Y.; Liu, L.; Seetharaman, S.; Wang, X.; Zhang, Z. Integrated Utilization of Sewage Sludge and Coal Gangue for Cement Clinker Products: Promoting Tricalcium Silicate Formation and Trace Elements Immobilization. Materials 2016, 9, 275. [Google Scholar] [CrossRef]
- Wang, J.; Zhang, S.; Xu, D.; Zhang, H. Catalytic Activity Evaluation and Deactivation Progress of Red Mud/Carbonaceous Catalyst for Efficient Biomass Gasification Tar Cracking. Fuel 2022, 323, 124278. [Google Scholar] [CrossRef]
- Mazumder, J.; De Lasa, H. Fluidizable Ni/La2O3-ΓAl2O3 Catalyst for Steam Gasification of a Cellulosic Biomass Surrogate. Appl. Catal. B Environ. 2014, 160–161, 67–79. [Google Scholar] [CrossRef]
- Yang, S.; Zhang, X.; Chen, L.; Yuan, Q.; Sun, L.; Xie, X.; Zhao, B.; Si, H. Characteristics and Catalytic Properties of Bi-Functional Fe/CaO Catalyst for Syngas Production from Pyrolysis of Biomass. J. Biobased Mater. Bioenergy 2017, 10, 415–422. [Google Scholar] [CrossRef]
- Mazumder, A.S.M.J.I. Steam Gasification of Biomass Surrogates: Catalyst Develpment and Kinetic Modelling. Ph.D. Thesis, The University of Western Ontario Supervisor, London, ON, Canada, 2014. [Google Scholar]
- Viinikainen, T.; Rönkkönen, H.; Bradshaw, H.; Stephenson, H.; Airaksinen, S.; Reinikainen, M.; Simell, P.; Krause, O. Acidic and Basic Surface Sites of Zirconia-Based Biomass Gasification Gas Clean-up Catalysts. Appl. Catal. A Gen. 2009, 362, 169–177. [Google Scholar] [CrossRef]
- Wyasu, G.; Gimba, C.E.; Agbaji, E.B.; Ndukwe, G.I. Thermo-Gravimetry(TGA) and DSC of Thermal Analysis Techniques in Production of Active Carbon from Lignocellulosic Materials. Pelagia Res. Libr. Adv. Appl. Sci. Res. 2016, 7, 109–115. [Google Scholar]
- Bryś, A.; Bryś, J.; Ostrowska-Ligęza, E.; Kaleta, A.; Górnicki, K.; Głowacki, S.; Koczoń, P. Wood Biomass Characterization by DSC or FT-IR Spectroscopy. J. Therm. Anal. Calorim. 2016, 126, 27–35. [Google Scholar] [CrossRef]
- Müsellim, E.; Tahir, M.H.; Ahmad, M.S.; Ceylan, S. Thermokinetic and TG/DSC-FTIR Study of Pea Waste Biomass Pyrolysis. Appl. Therm. Eng. 2018, 137, 54–61. [Google Scholar] [CrossRef]
- Vamvuka, D.; Sfakiotakis, S. Combustion Behaviour of Biomass Fuels and Their Blends with Lignite. Thermochim. Acta 2011, 526, 192–199. [Google Scholar] [CrossRef]
- Okoroigwe, E.C.; Enibe, S.O.; Onyegegbu, S.O. Determination of Oxidation Characteristics and Decomposition Kinetics of Some Nigerian Biomass. J. Energy S. Afr. 2016, 27, 39–49. [Google Scholar] [CrossRef]
- Yang, S.; Lei, M.; Li, M.; Liu, C.; Xue, B.; Xiao, R. Comprehensive Estimation of Combustion Behavior and Thermochemical Structure Evolution of Four Typical Industrial Polymeric Wastes. Energies 2022, 15, 2487. [Google Scholar] [CrossRef]
- Zhang, L.; Duan, F.; Huang, Y. Effect of Organic Calcium Compounds on Combustion Characteristics of Rice Husk, Sewage Sludge, and Bituminous Coal: Thermogravimetric Investigation. Bioresour. Technol. 2015, 181, 62–71. [Google Scholar] [CrossRef]
- Gong, X.; Guo, Z.; Wang, Z. Reactivity of Pulverized Coals during Combustion Catalyzed by CeO2 and Fe2O3. Combust. Flame 2010, 157, 351–356. [Google Scholar] [CrossRef]
- Kok, M.V.; Özgür, E. Thermal Analysis and Kinetics of Biomass Samples. Fuel Process. Technol. 2013, 106, 739–743. [Google Scholar] [CrossRef]
- Narnaware, S.L.; Panwar, N.L. Catalysts and Their Role in Biomass Gasification and Tar Abetment: A Review. Biomass Convers. Biorefinery 2021. [Google Scholar] [CrossRef]
- Azhar Uddin, M.; Tsuda, H.; Wu, S.; Sasaoka, E. Catalytic Decomposition of Biomass Tars with Iron Oxide Catalysts. Fuel 2008, 87, 451–459. [Google Scholar] [CrossRef]
- Wang, X.D.; Xue, J.J.; Zhu, Y.J.; Liu, C.R.; Hu, X.Y.; Liang, H.; Dong, C.Q. The Study of Combustion Characteristics of Corn Stalks and Cobs via TGA-DTG-DSC Analysis. IOP Conf. Ser. Earth Environ. Sci. 2019, 354, 012130. [Google Scholar] [CrossRef]
Disclaimer/Publisher’s Note: The statements, opinions and data contained in all publications are solely those of the individual author(s) and contributor(s) and not of MDPI and/or the editor(s). MDPI and/or the editor(s) disclaim responsibility for any injury to people or property resulting from any ideas, methods, instructions or products referred to in the content. |
© 2025 by the authors. Licensee MDPI, Basel, Switzerland. This article is an open access article distributed under the terms and conditions of the Creative Commons Attribution (CC BY) license (https://creativecommons.org/licenses/by/4.0/).








