Abstract
In the presented work, titanosilicate with the MWW structure (Ti-MWW) was hydrothermally synthesized using boron and titanium precursors, with piperidine as a structure-directing agent. The resulting layered zeolite precursor, with a Si/Ti molar ratio of 50, was treated in an HNO3 solution to remove extraframework Ti and B species. The acid-modified zeolite was functionalized with transition metal cations (Cu2+, Fe2+, Mn2+) and trinuclear oligocations (Fe(3) and Mn(3)). The application of this catalytic system is supported by the presence of titanium in the catalytic support structure—similar to a commercial system, V2O5–TiO2. The obtained samples were characterized with respect to their structure (P-XRD, DRIFT), textural parameters (low-temperature N2 sorption), surface acidity (NH3-TPD), transition metal content (ICP-OES) and form (UV–vis DRS) as well as catalyst’s reducibility (H2-TPR). Ti-MWW zeolite samples modified with transition metals were evaluated as catalysts for the selective catalytic reduction of NO with ammonia (NH3-SCR). The effective temperature range for the NO conversion varied depending on the type of active phase used to functionalize the porous support. The catalytic performance was influenced by transition metal content, its form, and accessibility for reactants as well as interactions between the active phase and titanium-containing support. Among the catalysts tested, the copper-modified Ti-MWW zeolite showed the most promising results, maintaining 90% NO conversion rates across a relatively broad temperature range from 200 to 325 °C. This catalyst meets the requirements of modern NH3-SCR installations, which aim to operate in the low-temperature region, below 250 °C.
1. Introduction
The development of industry driven by society’s requirements has impacted both the environment and people’s health. The progress of civilization has undoubtedly improved the quality of life across various areas, e.g., food and energy production, medicine and transportation sectors. Air pollution has emerged as one of the most serious health risks for the global population in recent decades. Harmful pollutants in the air, such as nitrogen, carbon and sulphur oxides, contribute to a rise in many systemic diseases within society, including heart and lung problems. Among the abovementioned, nitrogen oxides (NOx; NO + NO2) are considered to contribute to the most serious effects due to their excessive emission [1]. The reduction of nitrogen oxides emissions from stationary sources is most often achieved using selective catalytic reduction (SCR) technology with ammonia (NH3-SCR). However, the commercially available NH3-SCR catalyst, based on the vanadia-titania system, is only effective within a limited temperature range of 300–400 °C [1], which restricts its use beyond this range. The main drawback of this catalytic system is its relatively narrow temperature range of efficient operation. In industrial installations, a catalyst, typically deposited on a monolithic honeycomb, is positioned upstream of the electrostatic precipitator (ESP). Consequently, the exhaust gases, loaded with high dust content, move across the monolith, potentially leading to blockage of the channels (high-dust system) [2,3]. Nevertheless, reorganizing the installation to place the monolith downstream of the gas cleaning system could allow the catalyst to operate with pre-treated flue gas. This shift to a low-dust configuration could prevent premature catalyst deactivation. The challenge, though, lies in the fact that the gas temperature downstream of the ESP is around 250 °C, while the commercial V2O5–TiO2 catalyst is effective within a 300–400 °C range [3]. To avoid the additional costs of heating the gases after the ESP, there is a strong need for extensive research aimed at developing a new generation of catalytic systems for low-temperature NH3-SCR that meet the demands of modern NH3-SCR installations.
Given the limitations of current commercial catalysts, significant effort has been directed toward developing more effective NH3-SCR catalysts [4]. The strategies for constructing these improved catalysts focus on carefully selecting both the support material and the type of catalytically active phase, mainly transition metals cations, such as copper, iron, manganese or cobalt [4]. A variety of materials, including modified porous supports, e.g., mesoporous silicas [5,6] or zeolites [7,8,9,10], have been widely tested for the design of these new catalysts. Zeolites are a fundamental group among porous materials, due to their unique properties [11]. Their application arises from key characteristics such as high surface area, crystallinity, cation exchange capacity, and acidic properties. Additionally, the microporous structure of zeolites offers advantages like shape selectivity, making them highly effective in various catalytic processes. In most cases, zeolites are known as crystalline aluminosilicates. However, incorporating heteroelements, such as titanium, boron or iron, into their matrix has expanded their use into other areas of catalysis [12,13]. This has had the effect of enhancing their versatility and performance in different chemical reactions, e.g., oxidation processes [12]. An example of zeolite that can be considered as a heteroatomic derivative of the classical aluminium-silicon form is MCM-22, belonging to the MWW family. This titanium-containing material was successfully synthesised by Wu et al. [14] using Ti, B and Si precursors, together with a structure-directing agent in the form of a cyclic secondary amine. The synthesis procedure also includes an interesting approach based on the extraction of extraframework titanium species by acid treatment of the layered MWW precursor. Such an approach resulted in the removal of Ti without degradation of the zeolite structure.
The presented studies are devoted to the verification of the catalytic performance of modern heteroelement MCM-22 zeolite, modified with various sources of the active phase, in the NH3-SCR process. To obtain catalysts with different forms of deposited transition metals, the solutions of their cations (Cu, Fe and Mn) and oligocations (Fe(3) and Mn(3)) salts were used as precursors.
2. Results and Discussion
Powder XRD (P-XRD) diffraction patterns recorded for uncalcined and calcined MWW zeolites are presented in Figure 1A and Figure 1B, respectively. The analysis of the MCM-22(P) diffractogram (Figure 1A) indicates its layered structure, due to the presence of (002) reflection, characteristic of MWW sheets ordering along the c-direction [14]. The other P-XRD reflections, shown in Figure 1A, are related to the parallel to the ab-planes and correspond to the crystalline zeolitic layers. Treatment of the layered MCM-22 precursor with a 2 M HNO3 solution was performed to remove extraframework titanium species prone to be transformed into the anatase phase under the conditions of the calcination process. The acid treatment of as-synthesized zeolite resulted in a disappearance of the (002) reflection corresponding to the layered arrangement of MWW sheets in a diffractogram of the MCM-22(P)-A sample. This effect is most likely due to the partial elimination of Ti species acting as a support, as well as the removal of the organic template located between the zeolitic layers. Such a phenomenon may induce the creation of T-O-T bonds to form the three-dimensional architecture of the MWW framework [14]. The calcination process, for both parent and acid-treated zeolites, caused the formation of a 3-dimensional structure of MWW-type zeolite. Figure 1B shows diffractograms of calcined zeolites. The diffraction reflections at around 7.3°, 8.0° and 10.1° are assigned to (100), (101) and (102) reflections, respectively [15]. Their presence confirms the preservation of the MWW structure of the MCM-22 and MCM-22-A samples, even when harsh post-synthetic treatment conditions were applied.
Figure 1.
Powder XRD patterns of the MWW zeolitic samples (A) as-prepared and (B) calcined.
The XRD powder patterns of the transition metals (TM) modified MCM-22-A zeolite are presented in Figure 2. The reflections characteristic of the MWW family are maintained for all obtained samples. It is worth notice that the reflection corresponding to the internal structure of the MWW sheet (100) was not changed, thus indicating the preservation of the ordered architecture of the MWW layers. Exceptional diffraction patterns were recorded for the sample modified with manganese oligocations, Mn(3)-MCM-22-A. In this case, the reflections characteristic of zeolite are less intensive than in the diffractogram of the MCM-22-A sample. What is more, the reflections assigned to the manganese oxide phase, MnOx, constituting the dominant component of the material were identified [16]. Their average crystallite size is about 45 nm, which indicates the location of these manganese oxide crystallites outside the porous structure of the zeolite (pores below 2 nm) [17].
Figure 2.
Powder XRD patterns of transition metals-modified MCM-22-A samples; ★ corresponds to MnOx.
The chemical composition of the obtained materials was analysed using inductively coupled plasma optical emission spectrometry (ICP-OES). The sample’s elemental content (Ti, B, Cu, Fe, Mn) is presented in Table 1. The molar ratios of components used in the synthesis gel were selected based on the literature [14] and were as follows: Si/B = 0.75 and Si/Ti = 50. The real boron content in the synthesized zeolite, MCM-22, is much smaller than expected, as the Si/B ratio is 13. This phenomenon has been presented earlier, also by other authors [14,18], indicating less preferential incorporation of boron over silicon and titanium into the zeolite structure. The molar silicon-to-titanium ratio (Si/Ti = 49) obtained for the parent zeolite indicates that all titanium introduced into the synthesis gel was used for the formation of the zeolite material. The acid treatment of the as-synthesized and then calcined zeolite resulted in the MCM-22-A sample with molar Si/B and Si/Ti ratios of 33 and 74, respectively. Thus, the contact of zeolite with an acidic medium led to the extraction of B and Ti species causing the decrease of titanium content (1.0 wt.%) and the formation of the low-boron (0.5 wt.%) material. In the case of MCM-22-A zeolite functionalized with transition metals, their content is various, despite the use of metal salt solutions with the same concentrations. The TM content ranges from 0.2 to as much as 33.0 wt.%, with the lowest percentages introduced using monomeric cations (excluding copper cations) and the highest TM loading by using manganese three-nuclear organic oligocations.
Table 1.
Chemical composition, textural parameters and surface acidity of the samples.
SEM micrographs recorded for the MCM-22 and MCM-22-A zeolite are shown in Figure 3(A,A1) and Figure 3(B,B1), respectively. The scanning electron images revealed the presence of a characteristic bird’s nest-like shape, typical of microporous MWW zeolite. The diameter of MCM-22 polycrystals (Figure 3(A,A1)), arranged as spherical agglomerates, is in the range of 5–15 µm. The zeolite particle size increased after acid treatment, Figure 3(B,B1), forming larger agglomerates with a width of approx. 15–30 µm. Thus, the post-synthesis modification of zeolite with nitric acid influenced the material’s morphology, leading to the formation of larger crystalline structures. The formation of such agglomerates can probably be related to the partial dissolution of zeolite crystals and their subsequent sticking during acid treatment. In the case of the MCM-22-A sample and its modification with transition metal cations, results presenting the samples’ morphology (SEM) and chemical analysis (EDX) are shown (Figure S1). Elemental mapping of MCM-22-A material proves the presence of the well-dispersed species of titanium and boron in the zeolite framework (Figure S1A). According to SEM-EDX elemental mapping, the uniform distribution of copper, iron and manganese was confirmed (Figure S1B,C,E). Therefore, the application of monomeric transition metals cations results in the introduction of the phase characterized with good dispersion. For the materials obtained as a result of MCM-22-A functionalization with trinuclear iron (Figure S1D) or manganese oligocations (Figure S1F) the presence of more aggregated metal oxide forms was identified. Their presence is particularly noticeable in the case of the Mn(3)-MCM-22-A sample (Figure S1F), where the bulky oxide crystallites, with sizes of 3–7 µm, are located on the surface of the zeolite crystals.
Figure 3.
SEM images recorded for the MCM-22 (A,A1) and MCM-22-A (B,B1) zeolites at various magnifications.
Figure 4 presents nitrogen adsorption–desorption isotherms recorded for the zeolitic samples (Figure 4A) as well as their analogues modified with transition metals (Figure 4B). A microporous structure of the MCM-22 material was confirmed based on the shape of the isotherms, which can be assigned as type I (according to the IUPAC taxonomy) (Figure 4A) [19]. The high nitrogen uptakes observed at low relative pressure are connected with an adsorbate condensation in micropores, which is typical for zeolites. The N2 adsorption–desorption isotherm of the acid-treated sample, MCM-22-A, is similar to the isotherm of the parent MCM-22 sample. Hence, the microporous nature of the material was not disturbed by the applied post-synthesis modification. In the case of TM functionalized zeolites, the isotherm’s shape remained unchanged after their deposition (Figure 4B). However, the adsorbed volume of N2 decreased in comparison to MCM-22-A, especially for the Mn(3)-MCM-22-A sample, as a result of partial clogging of micropores by metal oxide aggregates. The hysteresis loop observed at high p/p0 values, approximately 0.9, is likely due to the presence of larger pores formed between the aggregated zeolite crystals [19]. Its shape belongs to the H4 category according to the IUPAC taxonomy and occurs most often in the case of materials demonstrating type I or II isotherms. The presence of larger zeolite crystals was confirmed by the SEM analysis (Figure 3), thus adsorbate condensation between zeolite grains is most likely responsible for the observed hysteresis loop.
Figure 4.
N2 adsorption–desorption isotherms of (A) zeolitic precursors and (B) transition metals modified MCM-22-A samples. Empty points denote desorption.
The pore size distribution in the range of micropores and mesopores are presented in Figure 5A and Figure 5B, respectively. Their curve indicates that all obtained samples are characterized by well-defined microporous structures (Figure 5A). The average pore size is about 0.55 nm and is slightly reduced by modification of the zeolite with transition metal cations. Thus, the introduced transition metal cations were probably deposited on the pore walls, decreasing their diameter. This effect is the most intensive in the case of the Mn(3)-MCM-22-A sample, hence in this case the MnOx phase could additionally clog the pores leading to a slight reduction in the diameters of the zeolite channels. The aperture distribution curve recorded in the mesopores range (Figure 5B) points out that the mesopores are absent in the studied samples. Thus, it confirms that the observed hysteresis loop (Figure 4) is related to nitrogen condensation in the macropores between zeolite aggregates.
Figure 5.
Pore size distributions recorded in the range of (A) micropores and (B) mesopores for the zeolitic precursors and transition metals modified MCM-22-A.
Textural parameters achieved for the studied MWW series, including their specific surface area (SBET), micropores surface (SMIC) and volume (VMIC), are collected in Table 1. Porosimetric values (SBET = 539 m2/g, SMIC = 448 m2/g, VMIC = 0.185 cm3/g), obtained for the MCM-22 sample are relatively high, thus proving that the maintained zeolite has the MWW structure and high crystallinity [14], which is in good agreement with the abovementioned P-XRD results (Figure 1B). The porous character, in terms of surface area and pore volume of acid-modified MCM-22 zeolite, is slightly decreased in comparison to its precursor. Nevertheless, the reductions of these parameters are fairly minor (0.7–4%), and these materials still exhibit relatively good textural properties. In the case of transition metals’ functionalized zeolites, it can be stated that a part of the TM was deposited in the form of more aggregated metal oxide species located on the crystal’s surface, as well as inside of micropore voids and, thus, it caused the overall decrease in the porous character of the studied materials. It is especially noticeable for the Mn(3)-MCM-22-A sample and is consistent with the P-XRD (Figure 2) as well as ICP-OES (Table 1) results, indicating a high proportion of MnOx in this material.
UV–vis DR spectra of zeolites (MCM-22, MCM-22-A) and MCM-22-A modified with TM cations are shown in Figure 6A and Figure 6B–D, respectively. The analysis of the UV–vis DR spectra enables the determination of the form and aggregation of titanium and transition metals species in the studied samples. The spectrum of MCM-22 (Figure 6A) presents a broad signal in the range of 190–350 nm, centred at around 260 nm, possibly being a superposition of the bands related to Ti4+ cations in tetrahedral coordination incorporated into the zeolite matrix, extraframework titanium species (octahedrally coordinated Ti4+ cations) and partially polymerized hexacoordinated titanium species [20]. The band corresponding to LMCT (ligand-metal charge transfer) in tetrahedrally coordinated TiO4 is expected at around 210–220 nm [15,20]. The absorption region between 230 and 250 nm is related to monomeric titanium cations in octahedral coordination, while a range of 260–320 nm represents the band assigned to the presence of partly polymerized hexacoordinated titanium species containing Ti–O–Ti links [20]. The band placed above 320 nm is connected with the presence of bulky anatase—TiO2 [15]. Thus, in the case of MCM-22 zeolite, the observed absorption comes from various titanium forms, with the most significant contribution of octahedrally coordinated extraframework Ti4+ cations indicated by the intensive maximum at 260 nm. For zeolite treated in an aqueous solution of HNO3, MCM-2-A, the band maximum is shifted towards a lower wavelength (centred around 215 nm) compared to the MCM-22 sample. According to the literature [13,21], this band is related to tetrahedrally coordinated Ti species in the zeolite framework. Hence, the applied acidic modification resulted in the extraction of the majority of the octahedrally coordinated extraframework Ti cations and more aggregated titanium species. The removal of Ti species is also confirmed by ICP-OES results (Table 1), which indicated the decreased amount of titanium for the MCM-22-A sample compared to untreated MCM-22. In conclusion, Ti4+ cations, after acidic treatment, are located in the zeolite framework in the form of highly dispersed cations.
Figure 6.
UV–vis DR spectra of the zeolitic precursors—MCM-22 and MCM-22-A (A) and MCM-22-A modified with: copper cations (B), iron cations and oligocations (C), manganese cations and oligocations (D). The dashed line indicates the wavelength ranges characteristic of a given form of transition metals.
Figure 6B–D show cumulative spectra of transition metals modified MCM-22-A, thus the observed absorption is due to the presence of two light absorbers in the UV–vis range [22,23,24]. Nevertheless, it is possible to determine the form and aggregation of transition metal species deposited on the surface of acid-treated zeolite. In the case of the copper-modified materials, one can distinguish regions corresponding to monomeric copper cations (below 300 nm), small copper clusters (300–450 nm), CuO crystallites (450–600 nm) and Cu2+ ions in pseudo-octahedral coordination (e.g., Cu(H2O)62+) (above 600 nm) [25]. For the Cu-MCM-22-A sample (Figure 6B), there are two bands, with the first centred at around 220 nm assigned to the LMCT transition from lattice oxygen to copper cations (O2− → Cu2+) [23,25] and the second broad band above 600 nm corresponding to the d-d transition of Cu2+ ions in pseudo-octahedral coordination [25]. For the analysed sample, only a small shoulder related to (Cu → O → Cu)2+ clusters can be found. Thus, it can be assumed that copper is deposited mainly in the form of well-dispersed cations, without the formation of more aggregated oxide species. The spectra recorded for the iron-functionalised zeolites using mononuclear and trinuclear iron salts are presented in Figure 6C. The absorption band below 300 nm is linked to the presence of monomeric Fe3+ ions, while the band between 300 and 400 nm is associated with small oligomeric FexOy species. The band above 400 nm is likely due to more aggregated iron oxide species [26]. The spectra of Fe-modified MCM-22-A indicate that iron was introduced in various forms, including monomeric cations, oligomeric (Fe → O → Fe)3+ species, as well as bulky oxide aggregates. However, it can be clearly seen that the contribution of monomeric iron cations is dominating over oligonuclear and metal oxide species. What is more, in the case of a sample modified with iron oligocations (Fe(3)-MCM-22-A, Figure 6C), the influence of the used iron precursor, [Fe3(OCOCH3)7∙OH∙2H2O]NO3, was indicated. For this sample, the presence of more aggregated iron forms was detected, as a result of the application of a more complex trinuclear cation in ion-exchange procedure. Figure 6D shows the spectra of Mn-MCM-22-A and Mn(3)-MCM-22-A, respectively. For the zeolite modified with manganese cations, Figure 6D, a sharp band located at around 205 nm is observed. Takehira et al. attributed the band at lower wavelengths to the charge transfer transition from O2− to Mn3+ in tetrahedral coordination [27]. In the case of the sample modified with Mn(3) (Figure 6D), the absorption region is very broad due to the presence of various manganese forms in the sample. Thus, the spectrum corresponds to the presence of MnOx [28] in this material, which is in line with the P-XRD results discussed earlier.
The FTIR spectra of the Ti-MWW zeolites, MCM-22 and MCM-22-A, are shown in Figure 7. The recorded spectra indicate the presence of the bands typical of MCM-22 zeolite, confirming its successful synthesis. The FTIR bands observed in the first region of the spectra, above 3000 cm−1, are related to the hydroxyl stretching vibration modes. The bands at 3745, 3645 and 3450 cm−1 correspond to the terminal Si-OH groups [14,29], Ti-OH [30] and adsorbed water molecules [14,31], respectively. Moreover, in the spectrum, the bands of stretching, asymmetric and symmetric T–O–T modes (T = Si or Ti) at 1245 cm−1, stretching groups of T–O bonds in TO4 (T = Si or Ti) at 1095 cm−1 and O–Si–O stretching at 810 cm−1 [20,32,33] were identified. The band, which is crucial in the analysis of Ti-containing zeolites, comes from the Si–O–Ti stretching mode and should be located at around 960 cm−1 [20,32,33]. This band was found for MCM-22 and MCM-22-A, but is not present in the spectrum of alumina–silica MCM-22 described in the literature, which indicates that titanium was introduced into the MWW framework in the case of the obtained samples [8,14]. In the case of boria–titania MWW zeolite, this band can overlap with the band from the stretching vibrations of Si-O-B groups [14]. Thus, for the MCM-22 sample, this band is located at about 940 cm−1, which results from the superposition of the bands originating from the Si–O–Ti and Si–O–B groups. However, as previously demonstrated (ICP-OES results, Table 1), the process of acid treatment and subsequent calcination of the layered precursor effectively removed almost all boron from the sample (MCM-22-A). Therefore, the position of the Si–O–Ti band for the acid-modified zeolites is shifted towards a higher wavenumber, around 952 cm−1. Such FTIR analysis proved a successful incorporation of titanium species into the MWW matrix.
Figure 7.
FTIR spectra recorded for the zeolitic precursors (MCM-22 and MCM-22-A).
The Raman spectra recorded for MCM-22 and its analogue treated with nitric acid are presented in Figure 8. In the spectra of MCM-22, bands characteristic of the zeolite structure were identified, which was determined by the presence of bands such as these located at 345 cm−1 corresponding to zeolite ring structural vibrations [8] or at around 1250 cm−1 possibly related to the symmetrical stretching mode of (O–T–O) the TO4 tetrahedra (T: tetrahedral atoms: Si or Ti) [34,35]. The bands attributed to the bending and symmetric modes of Ti–O–Si moieties were found at around 475 and 525 cm−1 [35,36]. In the analysed spectrum of the MCM-22 sample the bands at 820 and 950 cm−1 were also found. These bands are associated with titanium in octahedral and tetrahedral positions, respectively [37]. The absorption band at 275 cm−1 is linked to the presence of titanium cations in octahedral coordination, located outside of the MWW framework [35]. The increased aggregation of titanium in the MCM-22 sample is evidenced by the bands located at approximately 145 and 640 cm−1. Their occurrence can most probably be attributed to the presence of more aggregated forms of anatase [38]. In the case of the acid-treated sample, MCM-22-A, the removal of extra-lattice and more aggregated titanium species can be observed. Due to the absence of the bands characteristic of anatase (145 and 640 cm−1) and octahedrally coordinated forms of titanium (275 cm−1), it can be concluded that, in this sample, titanium is present only in the zeolite framework. This is in accordance with UV–vis DR results (Figure 6A).
Figure 8.
Raman spectra of the MCM-22 and MCM-22-A samples excited with λ = 785 nm.
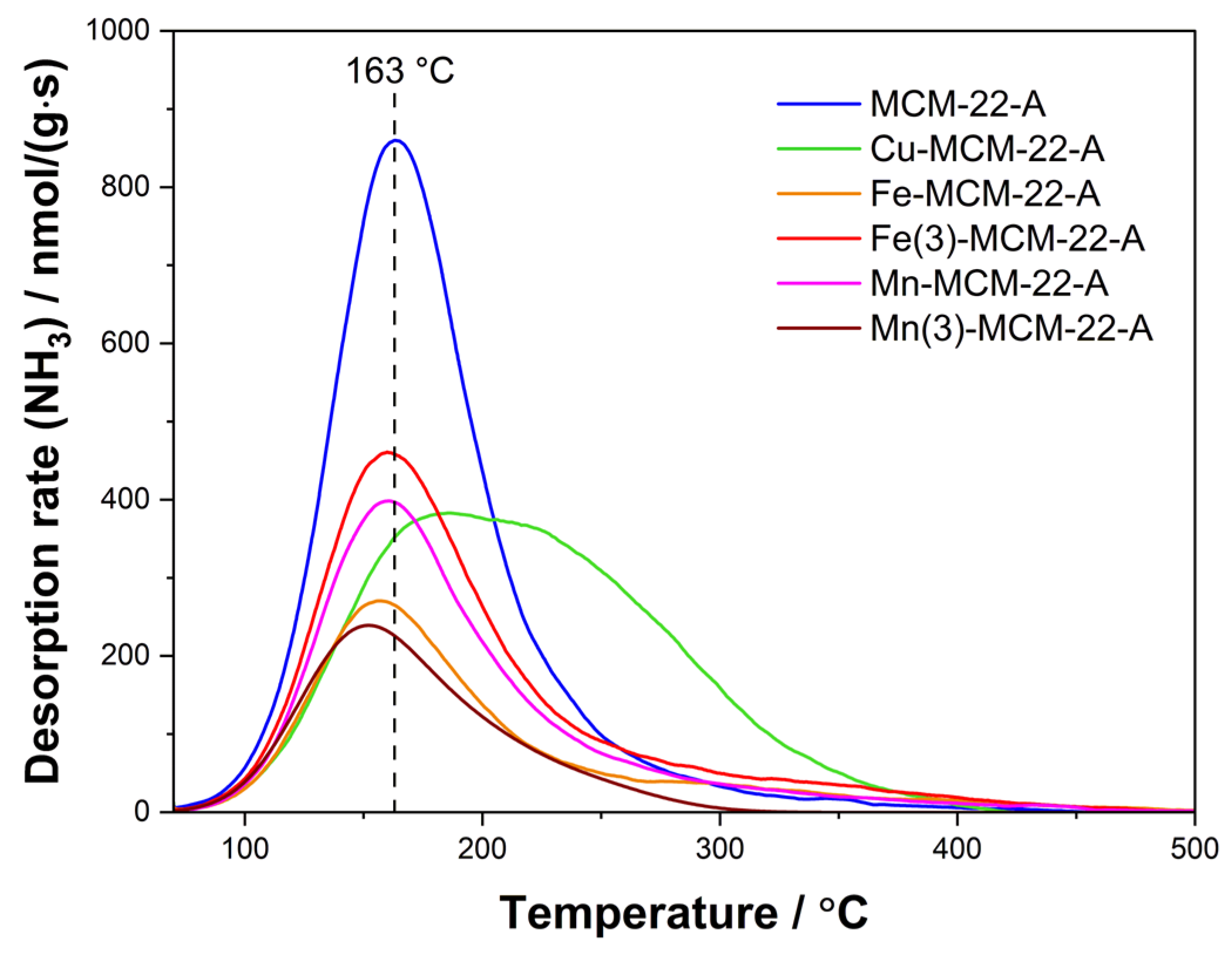
The character of surface acidity (concentration and relative strength of acid sites) was determined using the method of temperature-programmed desorption of ammonia (NH3-TPD). According to the literature data [39,40], titanium silicates are described as materials that possess exclusively the Lewis type of acid sites. These sites may arise from the presence of Ti3+ cations, which are possibly formed by the charge relocation process (O2−Ti4+) → (O−Ti3+) [41,42]. The concentration of acid sites (CA) determined for all the studied samples is collected in Table 1, while the thermodesorption profiles for acid-treated zeolite, MCM-22-A, and its transition metals-modified analogues are presented in Figure 9. The CA calculated for the zeolitic precursors shows a large number of acid sites for the parent zeolite −1022 µmol/g, which decreased after acid modification by almost 2.5 times (419 µmol/g). This result, together with an analysis of chemical composition determined by ICP-OES (Table 1), indicates that, for the MCM-22-A sample, the removal of elements contributing to the total surface acidity (most likely titanium species) occurred. The shape of the NH3-TPD profile of MCM-22 zeolite consists of one intensive maximum located at around 183 °C (Figure S2). A similar result was obtained by Alvear et al. [40], who stated that unsaturated tetrahedral titanium species can accept electrons and therefore play the role of the Lewis acid sites. The acid treatment of zeolite caused the shift of the ammonia desorption maximum towards a temperature lower by 20 °C (Figure 9) in comparison to the MCM-22 profile (Figure S1). Thus, the MCM-22-A sample is characterized by the presence of weaker acid sites in comparison to the starting untreated material. The decreased temperature of the ammonia desorption maximum for the sample treated with HNO3 can be related to the removal of titanium, which exhibits acidic properties.
Figure 9.
NH3-TPD profiles recorded for MCM-22-A zeolite and its TM-modified forms.
Deposition of transition metals into MCM-22-A decreased its surface acidity (Table 1). The decrease in acid sites concentration determined for Cu-MCM-22-A was significantly lower in comparison to other TM-modified zeolites, slightly above 50 µmol/g. For the other samples, the acid sites concentration dropped more significantly, especially in the case of oligocation-modified zeolite (Fe(3)-MCM-22-A and Mn(3)-MCM-22-A). In those cases, the decrease in the concentrations of acid sites can be related to the deposition of more aggregated, even bulky, oxide species that tend to cover the surface of the catalytic support, thereby blocking the access of ammonia molecules to its acidic centres. This hypothesis is confirmed by both P-XRD (Figure 2) and UV–vis DR (Figure 6) results. The ammonia desorption profiles recorded for the transition metals-modified zeolite changed after the ion-exchange procedure (Figure 9). The transition metal species play the role of acceptor for the free electron ammonia pair, due to the presence of unoccupied d-orbitals of copper, iron and manganese cations and the creation of donor-acceptor bonds (NH3 → TM, coordination bonds) [31,43,44]. The temperature of NH3-desorption maximum moved to a lower temperature region compared to MCM-22-A, indicating a weakening of the acid strength of the sites after introducing transition metal species into the zeolitic samples. The only exception is the ammonia desorption profile recorded for copper-functionalized MCM-22-A, containing a broad maximum in the range between 70 and 400 °C, which is a possible superposition of two peaks centred at about 190 and 230 °C. Thus, the deposition of copper resulted in partial coverage of Ti-sites but also the formation of new, much stronger acid sites related to copper species able to chemosorb ammonia molecules by the formation of donor-acceptor bonds by transfer of a free pair of ammonia into unoccupied d-orbitals of copper cations [42]. In the case of other deposited TM, the effect of covering Ti-sites dominates over the formation of new ammonia chemisorption sites. This could possibly be related to the formation of more aggregated metal oxide species.
The reducibility of TM species deposited on the surface of MCM-22-A zeolite was studied by using the method of temperature-programmed reduction with hydrogen (H2-TPR). The shape of thermoreduction profiles, presented in Figure 10A–C, depends on the type and form of transition metal species introduced into zeolite.
Figure 10.
H2-TPR profiles of MCM-22-A modified with (A) copper cations, (B) iron cations and oligocations and (C) manganese cations and oligocations. The arrows indicate which scale should be used for interpretation (right or left).
The reduction of copper-containing materials is usually based on two steps [42]. The first, low-temperature one, is related to the reduction of both Cu2+ → Cu° in copper oxide species and monomeric cations Cu2+ → Cu+. Further, the second maximum above 300 °C is attributed to the next stage of the monomeric Cu+ → Cu0 reduction process [42]. Thus, the H2-TPR profile recorded for the Cu-MCM-22-A sample (Figure 10A) has a typical shape of copper-containing catalysts. It consists of two maxima, with one located at around 220 °C and the other placed at about 490 °C. As previously mentioned, such a profile allows for the conclusion that the sample contains both aggregated CuO forms and monomeric copper cations. What is more, the integration of obtained signals indicates that around 83% of copper is present in the form of isolated cations and 17% in the form of more aggregated CuO forms.
Due to the various oxidation states, the interpretation of iron and manganese-containing catalysts is much more complex when comparing Cu-modified samples. The H2-TPR profiles of iron-modified MCM-22-A obtained for the samples functionalized with iron cations and oligocations are shown in Figure 10B. The reduction profiles of both catalysts consist of a broad peak spread in the temperature regions of 200–800 °C and 200–600 °C for Fe-MCM-22-A and Fe(3)-MCM-22-A, respectively. The H2-TPR profile of the Fe-MCM-22-A sample presents three reduction peaks: a main maximum at around 440 °C, shoulder at around 310 °C and low-intensive reduction peak at about 770 °C. The reduction profile of the Fe(3)-MCM-22-A sample also depicts three peaks, while their intensities and positions are quite different from the Fe-MCM-22-A sample. The increased intensity of reduction peaks recorded for Fe(3)-MCM-22-A is directly connected with higher iron content in this sample comparing the Fe-MCM-22-A sample (ICP-OES results, Table 1). In the case of Fe(3)-oligocation-modified zeolite, the main reduction peak is placed at about 380 °C and additionally two shoulders are located at around 275 and 485 °C. According to Rutkowska et al. [45], the dominant H2 consumption maximum, depending on the sample type located at around 380 and 440 °C, is assigned to the reduction of monomeric iron cations Fe3+ to Fe2+. The difference in the reduction temperature is dependent on the aggregation of iron species and decreases with an increase in the size of iron oxide aggregates [31,46,47]. Thus, the functionalization of zeolite using a complex iron precursor, Fe(3) oligocations, led to an increased aggregation of iron deposited on the catalyst’s surface. In the recorded H2-TPR profiles, the low-temperature shoulders, found for both iron-modified samples, can be related to the reduction of Fe3+ → Fe2+ in aggregated iron oxide species with limited interaction with the zeolitic support [31]. The shoulder present in the H2-TPR profile of the Fe(3)-MCM-22-A sample located at about 485 °C is possibly assigned with the reduction of small Fe3O4 aggregates to FeO [44]. Such a shoulder was not detected for the sample modified with iron cations, indicating a lower contribution of aggregated iron oxide species in this material. The presence of a high-temperature band at about 770 °C corresponds to the reduction of FeO to metallic Fe [48]. The H2-TPR analysis is in line with the UV–vis DR spectra recorded for the Fe-modified samples (Figure 6C).
Red-ox properties of the Mn-modified zeolites were also studied by temperature-programmed reduction with H2 (Figure 10). First of all, the profiles differ in the hydrogen consumption required to reduce manganese species, due to its different contents (ICP-OES results, Table 1). Therefore, two scales were used to present the results in Figure 10C. In the case of zeolite modified with manganese oligocations Mn(3), two reduction peaks are presented, first at 360 °C attributed to the manganese reduction process from 4+ to 3+ interacting with titanium reduction from Ti4+ to Ti3+, and second one at 470 °C corresponding to the reduction of Mn3+ to Mn2+ [49]. For the Mn-MCM-22-A, the reduction profile consists of a broad peak of H2-consumption, starting at 250 °C and ending at around 650 °C. The three maxima are probably related to the multi-step reduction of manganese species. The first H2 peak at 350 °C is possibly associated with the reduction of MnO2 to Mn2O3 [50]. The shoulder at about 450 °C can be connected with the Mn2O3 to Mn3O4 reduction [50]. The low-intensive peak located at around 580 °C corresponds to the reduction of Mn3O4 to MnO [51].
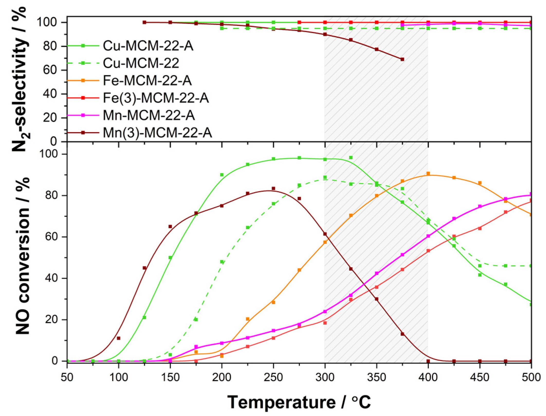
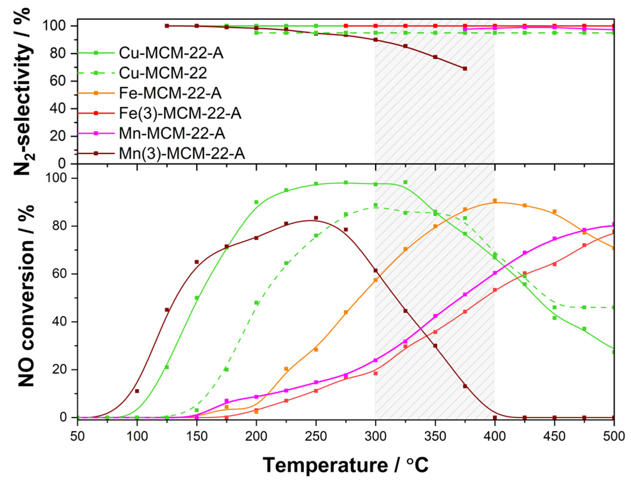
The commercial catalyst-promoted V2O5–TiO2 system, used in the NH3-SCR process, exhibits high activity and selectivity to N2 in the moderate temperature range of 300–400 °C [3,52]. The requirements of modern NH3-SCR installations are related to the shift of the effective operation window towards lower temperatures, around 250 °C or lower [3,53]. It follows that the commercial catalytic system is not suitable for application in this region due to the higher effective operating temperature.
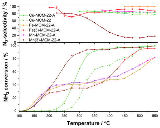
The catalytic properties of transition metals modified-MCM-22-A were verified in the selective catalytic reduction of NO with ammonia (NH3-SCR) process. The synthesized catalysts are found to be active in this reaction (Figure 11). For a better description of the obtained sample’s activity, the region in which V2O5–TiO2 exhibits good catalytic properties is marked with a grey hatched area. The effective temperature range for the NO conversion varies depending on the type of active phase used to functionalize the porous support. The samples of the studied series, characterized by the lowest starting temperature, are based on MCM-22-A modified with copper cations and manganese oligocations (Figure 11). For these two samples, the effective operation window is located below 300 °C, thus these catalysts seem to be interesting for potential application in the retrofitted commercial SCR installations. The NO conversion starts at about 100 and 125 °C for the Mn(3)-MCM-22-A and Cu-MCM-22-A, respectively. In the case of Mn(3)-functionalized zeolite, the level of NH3-SCR effectiveness increased up to 250 °C. Around this temperature, the maximum process efficiency was achieved, reaching about 80% of the nitrogen(II) oxide conversion. In the case of the second sample mentioned before, Cu-MCM-22-A, the window of effective catalyst operation is broader in comparison to Mn(3)-containing zeolite. The NO conversion on a level of 90% was maintained from 200 to 325 °C. For both discussed samples, the selectivity to nitrogen, which is a desired reaction product, was very high, above 90%, below 275 °C. At higher temperatures, a decrease in the catalyst efficiency is observed. It is related to the competitive process of direct ammonia oxidation by O2 present in the reaction mixture [6]. The increased low-temperature activity of the catalysts containing manganese or copper species was also described by other authors [54,55]. They are pointing out that, in the case of Mn or Cu-containing catalysts, the excellent red-ox properties are responsible for their low-temperature NH3-SCR activity [56,57,58]. Also, other transition metal cations are considered as an interesting source of the active phase of catalysts for use in NH3-SCR. This is particularly related to their d-orbitals, which are capable of receiving and losing electrons, thus readily switching between different oxidation states. Chen et al. [59] reported the low-temperature activity of TiO2 modified with transition metal cations in the process of selective catalytic reduction of nitrogen oxides with ammonia. According to them, the low-temperature NO conversion increased in the presence of catalysts containing to following components: Ni << V << Fe < Co << Cr ≤ Cu < Mn. Therefore, it is expected that iron-modified materials will be less active in the low-temperature region and slightly more active at higher temperatures.
Figure 11.
Temperature dependence of NO conversion and N2 selectivity in SCR of NO with NH3 for the TM-modified Ti-MWW zeolite; the shaded area is the effective operating range of the commercial V2O5–TiO2 catalyst.
The Fe(3)-MCM-22-A sample can be described as a high-temperature NH3-SCR catalyst. The NO conversion started at 175 °C and gradually increased to 400 °C, where the maximum reaction efficiency was expressed as the NO conversion was reached at around 90%. The N2-selectivity obtained for this samples is close to 100%. It is worth mentioning that, in the studied series, zeolite functionalized with iron oligocations was more active in comparison to its analogue modified with monomeric cations (Fe-MCM-22-A, Figure 11). Most likely, the reasons for this phenomenon are related to the chemical composition of both materials (Table 1). In the case of the Fe(3)-MCM-22-A sample, the iron content is equal to 3.0 wt.%, while in Fe(3)-MCM-22-A is much lower—around 0.7 wt.%. The Fe content in both materials is different despite the same functionalization procedure. Therefore, the Fe content may be influenced by the type of used precursor, with a higher molecular complexity of the iron salt. The same situation, with regard to the catalytic performance and its chemical composition, was observed for materials containing manganese (Mn-MCM-22-A and Mn(3)-MCM-22-A). The use of manganese oligocations also influenced the catalyst composition and consequently, its catalytic efficiency in the NH3-SCR process.
In addition to the type and content of the catalytically active components, also its form plays an important role. Manganese can be present in numerous forms, due to its variable valence states, including +2, +3 or +4 [54]. Therefore, the effectiveness of the catalysts is influenced by the contribution of manganese species with various oxidation states. In the case of the Mn(3)-MCM-22-A sample, the presence of various Mnx+ species was confirmed by previously presented results (P-XRD (Figure 2), UV–vis DR (Figure 6D) and H2-TPR (Figure 10C)). For the Mn-MCM-22-A sample, mainly monomeric Mn3+ in tetrahedral coordination are present. The interactions of the reaction reagents with deposited manganese species vary depending on the manganese oxidation state. Especially in the case of NO-to-NO2 oxidation, as the most reactive ones are considered to be Mn4+ cations [60]. Thus, their presence may affect the overall catalytic performance in NH3-SCR as nitrogen(IV) oxide formation and conversion according to fast SCR pathways (2NH3 + NO + NO2 → 2N2 + 3H2O) is postulated as one of the main mechanisms of the low-temperature NOx conversion [60]. The verification of the obtained samples’ activity in the nitrogen(II)oxide oxidation is discussed later. In the case of copper-containing catalysts, copper form and aggregation act as the crucial factors influencing the low-temperature NH3-SCR performance. It was reported that aggregated copper species are less active in the low-temperature NO conversion compared with their analogues containing highly dispersed species, mainly monomeric copper cations [3,25]. For the Cu-MCM-22-A catalyst, it is confirmed, based on the UV–vis DR (Figure 6B) and H2-TPR (Figure 10A) studies, that copper is deposited mainly in the form of monomeric copper cations. Therefore, the high catalytic activity of this catalyst can be related to the form of deposited copper. Regarding, the iron-containing catalysts, it is stated that the NH3-SCR activity of catalysts increased together with an increase in iron loading and aggregation [44]. Nevertheless, it should be pointed out that the excessive formation of iron oxide aggregates leads to the intensified oxidation of ammonia, which is a competitive process to the NO conversion during the NH3-SCR reaction. The higher catalytic activity of Fe(3)-MCM-22-A compared to Fe-MCM-22-A may be connected with the higher contribution of more aggregated iron species, confirmed by UV–vis DR (Figure 6C) and H2-TPR (Figure 10B) results.
The availability of reagents to the transition metal cations is directly related to their form and content. The method that allows for determining the accessibility of acid sites for the substrates of the catalytic process is temperature-programmed desorption of ammonia (NH3-TPD). These sites are considered as active or adsorption centres during the catalytic reaction, due to their interactions with the probe molecule of NH3. However, it is difficult to clearly determine the type of interaction between ammonia and acid sites for the studied samples. This is related to the composition of the samples, in which three components can contribute to the total acidity of the material (boron [61], titanium [40] and transition metal cations [6]). In such systems, ammonia molecules can form donor-acceptor bonds with boron, titanium and transition metals species, e.g., copper, NH3 → Cun+ [43], which are referred to as Lewis-type acid sites. Thus, the concentration of acid centres determined by NH3-TPD measurements (Table 1) correspond to the number of acid centres present on the material’s surface and available to ammonia molecules. As it was previously discussed, the deposition of TM cation resulted in the decrease in concentration as well as density of acid centres. Consequently, it reduces the number of adsorption/active centres for the NH3-SCR process substrates. The lowest reduction in acid sites concentration is observed for the Cu-MCM-22-A sample, which was found to be the most active in the studied series. Hence, it can be concluded that the concentration of acid centres is of great importance for the NO conversion.
The fast-SCR process is considered to be responsible for the low-temperature NOx conversion [42]. It proceeds according to the equation: 2NH3 + NO + NO2 → 2N2 + 3H2O, thus the formation of NO2 is essential for this process. Therefore, efficient catalysts for low-temperature NH3-SCR should also exhibit activity in the oxidation of NO-to-NO2. In order to verify the activity of the obtained catalysts in nitrogen(IV) oxide production, the studies of NO oxidation were performed. The results of these experiments are presented in Figure 12. In the case of a reaction without a catalyst, the NO-to-NO2 oxidation level was around 2–2.5%. The application of the studied catalysts resulted in an increase in the reaction efficiency, reached a stable level around 100 °C and started to enhance NO conversion at higher temperatures. For the zeolite without transition metal cations (catalytic support, MCM-22-A), only the reaching of a stable level of NO2 formation was observed. Thus, it seems that titanium species are inactive in the oxidation of NO-to-NO2. The estimated NO conversion value in this case is about 4%. The catalytic performance of the TM-modified zeolite in this reaction is improved compared to the result obtained for MCM-22-A material, especially for the copper cations and manganese oligocations modified samples. For those catalysts, the conversion of nitrogen(II) oxide was the most intensified and was around 11 and 7%, in the case of Cu-MCM-22-A and Mn(3)-MCM-22-A samples, respectively. The other catalysts showed lower efficiency of the NO oxidation, about 3–3.5%, which may have influenced their worse catalytic activity in the NH3-SCR process. For Cu- and Mn(3)-functionalized MCM-22-A, the intensified production of nitrogen(IV) oxides starts at around 115 °C and reaches a maximum at 375 °C and 390 °C, respectively. The drop in the NO2 formation after reaching the maximum at higher temperatures is related to the thermodynamic limits of NO-to-NO2 oxidation, due to the exothermic character of this process [62]. Thus, in the studied series of the samples, the Cu-MCM-22-A and Mn(3)-MCM-22-A catalysts are exceptionally active in the formation of NO2, which is a critical step for the low-temperature conversion of NOx.
Figure 12.
NO-to-NO2 oxidation over MCM-22-A and its transition metals modified forms.
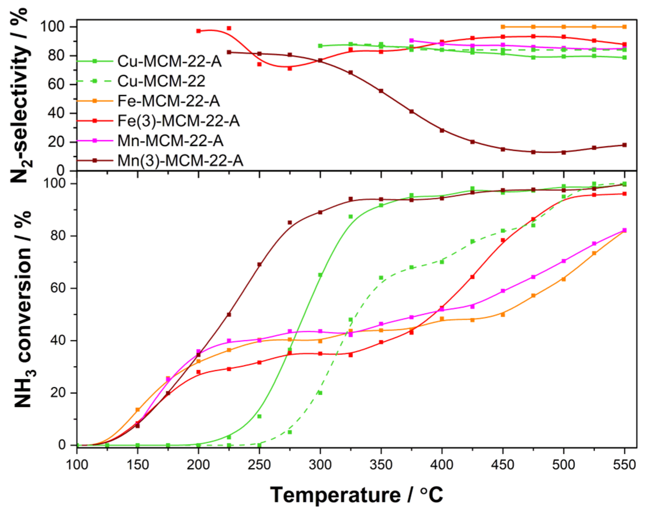
As previously mentioned, the competitive process of direct ammonia oxidation (AMOX, 4NH3 + 3O2 → 2N2 + 6H2O), accompanying the NH3-SCR reaction, limits NO conversion at higher temperatures region. Apart from N2, nitrogen oxides can also be produced by ammonia oxidation, which is an even more serious problem. Therefore, the activity of the synthesized catalysts was verified in the process of direct ammonia oxidation, AMOX (Figure 13). Similarly to the NH3-SCR process (Figure 11), the catalytic activity of the TM-zeolites strongly depends on their composition, although these differences are not as drastic as in the case of NH3-SCR. For almost all catalysts, except Cu-MCM-22-A, the NH3 conversion started at 125 °C and increased with increasing reaction temperature. In the presence of the sample Mn(3)-MCM-22-A, ammonia conversion around 90% was obtained at about 325 °C, which is the lowest temperature in the studied series. In the case of the Cu-modified sample, 90% of the ammonia conversion was achieved at about 375 °C. It is worth mentioning that the selectivity of copper-containing zeolite towards N2 is relatively high and did not drop below 80% at temperatures up to 550 °C. On the other side, for the manganese-modified sample, Mn(3)-MCM-22-A, selectivity to nitrogen decreased rapidly above 300 °C. The main product of ammonia oxidation was N2O. The other studied catalysts are moderately active and highly selective in ammonia oxidation. Nevertheless, it can be concluded that the decrease in the NO conversion (Figure 11) can be directly connected with the competitive process of ammonia oxidation, especially in the high temperatures range.
Figure 13.
Results of ammonia oxidation over TM-modified Ti-MWW zeolite.
In order to verify the influence of aggregated titanium species on the catalytic activity of the copper-modified MCM-22 zeolite (without acidic treatment), the NH3-SCR and AMOX studies were performed. The results of these tests were added to Figure 9 and Figure 11, for NO and NH3 conversion curves, respectively. It can be seen that the Cu-MCM-22 sample presented lower catalytic activity in both studied processes in comparison to its acid-modified analogue. Thus, it can be postulated that the effect of synergy between copper and titanium is higher when titanium is presented in a well-dispersed form in the zeolite framework.
For the most active NH3-SCR catalyst, Cu-MCM-22-A, a 20-h isothermal stability test was done (Figure 14). During the first two hours of the experiment, the NO conversion decreased from nearly 89% to around 86%. For the rest of the time, the catalyst’s activity remained stable with around 86% of reacted nitrogen(II) oxide. The selectivity to nitrogen was stable during the performed test and was close to 100%.
Figure 14.
Long-term NH3-SCR over Cu-MCM-22-A catalyst at 200 °C.
As a final step, to verify the influence of water vapour on the catalyst’s activity, NH3-SCR stability studies with periodical changes in the reaction mixture humidity were also carried out (Figure 15). After 60 min of the NH3-SCR test, 5 vol.% of H2O was added to the reaction mixture. During 2 h of the stability studies, the presence of water vapour caused around a 15% drop in the NO conversion. After the following one-hour dry cycle, the NO conversion lasted at a constant level around 72%. Thus, the presence of water vapour decreases the efficiency of the Cu-MCM-22-a catalyst, but still presents high catalytic efficiency. Nevertheless, it can be stated that the obtained Cu-modified catalyst demonstrated high stability under the conditions of the performed NH3-SCR process on a laboratory scale.
Figure 15.
Isothermal NH3-SCR activity studies at 200 °C of Cu-MCM-22-A catalyst with the periodical changes of reaction mixture humidity, dry (1 h)–wet (2 h)–dry (1 h).
3. Experimental Methods
3.1. Catalyst Preparation
3.1.1. MCM-22 and MCM-22-A
The layered precursor of MWW zeolite, denoted as MCM-22(P), composed of boron, silicon and titanium, was synthesized according to the procedure described by Přech et al. [13]. The MCM-22(P) was obtained using fumed silica (SiO2; Aerosil 200, Overlack, Hanau, Germany), titanium(IV) n-butoxide (TBOTi; 99+%, Acros Organics, Geel, Belgium), boric acid (H3BO3; 99.5%, Sigma-Aldrich, St. Louis, MO, USA), deionized water (H2O) and piperidine (PI; 99%, Sigma-Aldrich, St. Louis, MO, USA) as a structure directing agent. The composition of gel for the MCM-22(P) synthesis was as follows: 1 SiO2:0.02 TiO2:0.67 B2O3:1.4 PI:19 H2O, while the assumed Si/Ti molar ratio was equal to 50. In the first step, PI was added to H2O, stirred for 15 min, and divided into two solutions (1st part and 2nd part). Then, a titanium precursor was added dropwise to the 1st solution, while the 2nd solution was mixed with H3BO3, and both mixtures were independently stirred for 50 min. Subsequently, 12.86 g of SiO2 was separated into two parts and successively slowly added to the solutions containing Ti and B, followed by stirring for 1 h. Afterwards, the two slurries were combined and stirred for the following 60 min. The prepared synthesis gel was aged in a PTFE-lined stainless-steel autoclave with rotation (60 rpm) at 130 °C for 24 h, then at 150 °C for another 24 h and finally at 170 °C for 5 days. The obtained solid, MCM-22(P), was collected by filtration, washed with distilled water and dried at 60 °C overnight. Subsequently, part of the dried zeolite was stirred at 85 °C in 2 M HNO3 for 15 h using a liquid: solid ratio of 20 mL:1 g. The product, MCM-22(P)-A, was separated by centrifugation, washed with H2O and dried overnight at 60 °C. Finally, part of the as-synthesized and acid-treated zeolites was calcined at 550 °C for 6 h in the airflow with a heating rate of 1 °C/min and named as MCM-22 and MCM-22-A, respectively. The scheme for the synthesis and acid treatment of zeolites is presented in Scheme 1.
Scheme 1.
Schemes for the synthesis of the catalytic support (A) and its post-synthesis modifications (B).
3.1.2. Ion-Exchange Procedure
The obtained 3D MCM-22-A zeolite was modified with copper (Cu(CH3COO)2·H2O; 99%, Sigma-Aldrich, St. Louis, MO, USA), iron (FeSO4·7H2O; 99%, Sigma-Aldrich, St. Louis, MO, USA) and manganese (Mn(NO3)2·4H2O; 97%, Sigma-Aldrich, St. Louis, MO, USA) cations, as well as iron (Fe(3); synthesis procedure [63] and manganese (Mn(3); synthesis procedure [64]) oligocations. The chemical formulas of the used oligocations are as follows: [Fe3O(OCOCH3)6∙CH3COOH∙2H2O]+ and [Mn3O(OCOCH3)6∙CH3COOH]+. Ion-exchange was done using the proportion of 80 mL of 0.06 mol/dm3 transition metals salt aqueous solution per 1 g of MCM-22-A. The slurries were stirred under reflux, at 80 °C, for 6 h, then solids were recovered by filtration, washed with distilled H2O and dried overnight at 60 °C. Finally, transition metals-modified samples were subjected to calcination at 550 °C for 6 h in the airflow (heating rate of 1 °C/min). The obtained materials were named as x-MCM-22-A, where x denotes the corresponding transition metal cation or oligocations, e.g., Cu-MCM-22-A. The sample codes are listed in Table 1, while the scheme for modification is presented in Scheme 1B. As a comparison, untreated zeolite MCM-22 was also functionalized with copper cations using the modified procedure described above. The sample was named as Cu-MCM-22.
3.2. Catalysts Characterization
The structure of the obtained materials was determined using X-ray powder diffraction XRD. A Panalytical Aeris diffractometer (Malvern Panalytical, Malvern, UK) was used for the data collection in the 2 Θ range of 5–50 °, with the step 0.02 ° and the counting time 122 s per step.
The chemical composition of the samples was examined by the inductively coupled plasma optical emission spectroscopy method (ICP-OES) with an iCAP 7400 instrument (Thermo Fisher Scientific, Waltham, MA, USA). Prior to the ICP-OES experiment, samples were treated in a mixture composed of 6 mL HNO3 (67–69%, Honeywell, Charlotte, NC, USA), 2 mL HCl (30%, Honeywell, Charlotte, NC, USA), and 2 mL HF (47–51%, Honeywell, Charlotte, NC, USA) and digested using a microwave system at 190 °C (Ethos Easy, Milestone, Sorisole, Italy).
The samples’ morphologies and chemical analyses were studied using a scanning electron microscope (SEM) HITACHI SU8600 (Tokyo, Japan) equipped with an X-ray energy dispersive spectrometer Bruker XFlash 7 (Billerica, MA, USA). An accelerating voltage of 20 kV was used for imaging and chemical analysis. A secondary electron signal (upper and lower detector) was applied to observe the morphology of material particles.
The porosity of the samples was determined by the low-temperature nitrogen adsorption–desorption method (−196 °C), using a 3Flex apparatus (Micromeritics, Norcross, GA, USA), after their evacuation in vacuum conditions at 350 °C for 24 h. The specific surface area (SBET) of the catalysts was calculated using the Brunauer–Emmett–Teller (BET) model [65], while the surface and volume of micropores were determined by t-plot analysis.
The form and aggregation of transition metal species present in the studied samples were determined by means of UV–vis DR spectroscopy. The spectra were recorded in the range of 200–800 nm with a resolution of 2 nm using a spectrophotometer Lambda 650S (Perkin Elmer, Waltham, MA, USA).
FTIR spectra were collected on a Nicolet 6700 spectrometer (Thermo Scientific, Waltham, MA, USA), equipped with a DTGS detector, at a spectral resolution of 4 cm−1 with a KBr pellet technique. For each measurement, the dried sample (4 wt.% in KBr) was placed in the cell of the DRIFT (diffuse reflectance infrared Fourier transform) accessory and the spectrum was recorded in the range of 400–1400 cm−1 using the absorbance mode.
Raman spectra were recorded using a WITec Alpha 300M+ (Oxford Instruments Group, High Wycombe, UK) microscope equipped with a diode laser. Data was acquired at 785 nm with a 30-s exposure and two accumulations per single spectrum, along with 300 diffraction grating and a 50× LWD objective. Each spectrum shows an average of 10 measurements.
The concentration and strength of the acid centres of the obtained samples were determined by temperature-programmed desorption of ammonia, used as a probe molecule (NH3-TPD). The NH3-TPD measurement consisted of three stages: degassing of the sample, ammonia sorption and thermodesorption, which were performed in a quartz flow fixed-bed microreactor system equipped with a thermocouple. In this system, a quadrupole mass spectrometer (QMS) was used as a detector (PREVAC, Rogów, Poland), while mass controllers (Brooks Instrument, Hatfield, PA, USA) regulated the flow of gasses. Each time, the experiment began by evacuating the sample (50 mg) in the temperature range from ambient temperature to 500 °C, in a stream of pure helium—20 mL/min. After outgassing and cooling the system to 70 °C, the process of isothermal adsorption of ammonia (1 vol.% NH3 diluted He, flow: 20 mL/min) was carried out until the catalyst’s surface was saturated. Then, the catalyst was flushed with 20 mL/min of helium until a baseline level of ammonia line was reached. The final step, ammonia desorption, was conducted in the temperature range of 70–500 °C, with a temperature increase of 10 °C/min and in the 20 mL/min flow of pure He. The system was calibrated with the use of standardized gas mixtures enabling the transformation of the QMS detector signal into the ammonia desorption rate.
Temperature-programmed reduction with hydrogen (H2-TPR) was used to assess the reducibility of metal species supported on the surface of zeolite. The experiment was conducted in a fixed-bed flow microreactor equipped with a thermal conductivity detector (TCD, Valco, Houston, TX, USA). Before each H2-TPR experiment, 25 mg of the sample (with particle size between 160 and 315 µm) was degassed in a pure Ar flow at 550 °C for 20 min. Subsequently, the system was cooled to 80 °C, and the temperature-programmed reduction process was initiated. During H2-TPR, the catalyst was reduced in a 5 vol.% H2/Ar flow (10 mL/min) over a temperature range of 100–850 °C, with a heating rate of 10 °C/min.
3.3. Catalytic Studies
3.3.1. NH3-SCR, AMOX Catalytic Studies
The catalytic activity of the obtained transition metals modified MCM-22 as well as Cu-containing MCM-22 zeolite was studied in the processes of selective catalytic reduction of NO with ammonia (NH3-SCR) and ammonia oxidation (AMOX). The laboratory equipment used for the tests was based on a quartz flow, fixed-bed microreactor connected directly by a heated line to the quadrupole mass spectrometer (QMS, PREVAC, Rogów, Poland). The calibrated mixtures of reaction gasses, as well as pure helium, were supplied to the system by mass flow controllers (Brooks Instrument, Hatfield, PA, USA). The NH3-SCR reaction mixture was composed of 0.25 vol.% NO, 0.25 vol.% NH3 and 2.5 vol.% O2 diluted in helium, while for the AMOX studies, a mixture of 0.5 vol.% NH3 and 2.5 vol.% O2 diluted in helium was used. In both experiments, the total flow of gasses was equal to 40 mL/min. Every catalytic test was started by outgassing the sample (100 mg, particle size within 160–315 µm) in the flow of 20 mL/min (pure helium) from room temperature to 550 °C. Then, after cooling down the sample, the catalytic processes were performed in the temperature range from 50 to 500 °C (NH3-SCR) or from 100 to 550 °C (AMOX). For both experiments, the linear heating rate of 10 °C/min was programmed.
For the most active sample within the studied series, NH3-SCR stability tests were also conducted. Those experiments were performed in isothermal conditions at 200 °C. The first long-term test was conducted for 20 h, while the second was done with periodical exchange from dry to wet (5 vol.% of water vapour) reaction mixtures.
3.3.2. Oxidation of NO-to-NO2
The catalytic oxidation of nitrogen(II) oxide to nitrogen(IV) oxide was performed in the system similar to those used for NH3-SCR and AMOX experiments. The similarity referred to all elements of the system except catalyst mass, the composition of the reaction mixture and the detection system (an FTIR instead of a quadrupole mass spectrometer). For each NO-to-NO2 oxidation study, 50 mg of outgassed catalyst was tested in the catalytic reaction performed using the flow of gas mixture consisting of 0.5 vol.% NO and 2.5 vol.% O2 diluted in pure helium (total flow rate of 40 mL/min). The FTIR spectrometer Nicolet iS5 (Thermo Scientific, Waltham, MA, USA), with a 10 cm gas cell, was used to evaluate the signal of substrates and products of NO-to-NO2 oxidation. The FTIR detector was operated within a wavenumber range of 625–4000 cm−1 and a resolution of 4 cm−1. The detection bands used for NO2 and NO analysis were located at 1593 cm−1 and 1912 cm−1, respectively.
4. Conclusions
In the presented studies, MWW zeolite with boron and titanium, modified with transition metal cations with varying degrees of complexity of the precursor molecule, has been described for the first time as catalysts for use in the NH3-SCR process. Acid-treated 3D MWW-derivative containing titanium, boron and silicon (MCM-22-A) was synthesized and catalytically activated using transition metals salts. As a result of hydrothermal synthesis, titanium was successfully incorporated into the zeolite framework and then post-synthetically treated with an HNO3 solution to remove extraframework Ti species.
The catalytic activity verification of transition metals cations and oligocation-modified MCM-22-A indicated that the obtained catalysts are effective and selective in the NH3-SCR process. Functionalization of MCM-22-A with cations (Cu, Fe or Mn), resulted in their deposition mainly in highly dispersed forms. On the other hand, using oligomeric Fe(3) or Mn(3) salts for modification of the zeolite surface resulted in the formation of more aggregated iron or manganese species. In particular, the manganese oligocation-modified zeolite, the manganese oxide crystals, formed outside of the zeolite micropores were identified.
The samples obtained in the frame of these studies presented a very good catalytic performance in the NH3-SCR process. The temperature range of operation of the zeolite modified with copper cations and manganese oligocations was shifted below 300 °C, while for the other obtained catalysts, it mostly overlapped with the effective operation window of the classical V2O5–TiO2 system. Their catalytic activity in the studied reaction strictly depended on the type, content and form of transition metal species deposited on the surface of MCM-22-A. In the case of the most active sample, Cu-MCM-22-A, 90% of the NO conversion was achieved in the temperature range of 200–325 °C with the selectivity to nitrogen close to 100%. For the Cu-containing catalysts, relatively high copper content was introduced in a well-dispersed form and thus available to the reactants during the NO conversion.
Additionally, to the main studied reaction, other accompanying reactions also influenced the final NO conversion in the NH3-SCR process. The increased NO-to-NO2 oxidation over the obtained catalysts, especially Cu- and Mn(3)-MCM-22-A, indicated that low-temperature NO transformation could occur according to the fast-SCR pathway. What is more, the tested catalysts showed activity in the direct ammonia oxidation process, which limited the NH3-SCR performance in the high-temperature ranges. Nonetheless, nitrogen was found as the product of the NH3ox (AMOX) reaction.
Supplementary Materials
The following supporting information can be downloaded at: https://www.mdpi.com/article/10.3390/catal15010060/s1, Figure S1: SEM-EDX elemental mapping for Si, B, Ti and Cu, Fe, Mn elements on the MCM-22-A zeolite (A) and its transition metal cations modified forms (B–F); Cu-MCM-22-A (B), Fe-MCM-22-A (C), Fe(3)-MCM-22-A (D), Mn-MCM-22-A (E) and Mn(3)-MCM-22-A (F); Figure S2: NH3-TPD profiles recorded for MCM-22 zeolite.
Author Contributions
Conceptualization, A.J. and L.C.; methodology, A.J.; formal analysis, A.J.; investigation, A.J., N.K., K.F., A.K., M.R., W.M. and I.B.; data curation, A.J.; writing—original draft preparation, A.J.; writing—review and editing, A.J. and L.C.; visualization, A.J.; supervision, L.C.; project administration, A.J.; funding acquisition, A.J. All authors have read and agreed to the published version of the manuscript.
Funding
This research was funded by the National Science Centre (Poland) in the frame of project 2021/41/N/ST5/03358.
Data Availability Statement
The original data presented in the study are openly available in RODBUK Cracow Open Research Data Repository at https://doi.org/10.57903/UJ/Y453UZ.
Acknowledgments
The studies were carried out in the frame of project 2021/41/N/ST5/03358. The study was carried out using research infrastructure funded by the European Union in the framework of the Smart Growth Operational Programme, Measure 4.2; Grant No. POIR.04.02.00-00-D001/20, “ATOMIN 2.0—Center for materials research on ATOMic scale for the INnovative economy”.
Conflicts of Interest
The authors declare no conflicts of interest. All authors have read and agreed to the published version of the manuscript.
References
- Kadiyala, A.; Kumar, A. An Examination of the Sensitivity of Sulfur Dioxide, Nitric Oxide, and Nitrogen Dioxide Concentrations to the Important Factors Affecting Air Quality Inside a Public Transportation Bus. Atmosphere 2012, 3, 266–287. [Google Scholar] [CrossRef]
- Mladenović, M.; Paprika, M.; Marinković, A. Denitrification Techniques for Biomass Combustion. Renew. Sustain. Energy Rev. 2018, 82, 3350–3364. [Google Scholar] [CrossRef]
- Chmielarz, L.; Jankowska, A. Chapter Six—Mesoporous Silica-Based Catalysts for Selective Catalytic Reduction of NOx with Ammonia—Recent Advances. In Recent Highlights II; van Eldik, R., Hubbard, C.D., Eds.; Advances in Inorganic Chemistry; Academic Press: Cambridge, MA, USA; San Diego, CA, USA; Oxford, UK; London, UK, 2022; Volume 79, pp. 209–245. ISBN 978-0-323-99972-4. [Google Scholar]
- Lian, Z.; Li, Y.; Shan, W.; He, H. Recent Progress on Improving Low-Temperature Activity of Vanadia-Based Catalysts for the Selective Catalytic Reduction of NOx with Ammonia. Catalysts 2020, 10, 1421. [Google Scholar] [CrossRef]
- Jankowska, A.; Chłopek, A.; Kowalczyk, A.; Rutkowska, M.; Michalik, M.; Liu, S.; Chmielarz, L. Catalytic Performance of Spherical MCM-41 Modified with Copper and Iron as Catalysts of NH3-SCR Process. Molecules 2020, 25, 5651. [Google Scholar] [CrossRef] [PubMed]
- Jankowska, A.; Kowalczyk, A.; Rutkowska, M.; Michalik, M.; Chmielarz, L. Catalytic Performance of Bimetallic Systems (Cu-Fe, Cu-Mn, Fe-Mn) Based on Spherical MCM-41 Modified by Template Ion-Exchange in NH3-SCR Process. Catalysts 2022, 12, 885. [Google Scholar] [CrossRef]
- Rutkowska, M.; Díaz, U.; Palomares, A.E.; Chmielarz, L. Cu and Fe Modified Derivatives of 2D MWW-Type Zeolites (MCM-22, ITQ-2 and MCM-36) as New Catalysts for DeNOx Process. Appl. Catal. B 2015, 168–169, 531–539. [Google Scholar] [CrossRef]
- Jankowska, A.; Kowalczyk, A.; Rutkowska, M.; Mozgawa, W.; Gil, B.; Chmielarz, L. Silica and Silica–Titania Intercalated MCM-36 Modified with Iron as Catalysts for Selective Reduction of Nitrogen Oxides—The Role of Associated Reactions. Catal. Sci. Technol. 2020, 10, 7940–7954. [Google Scholar] [CrossRef]
- Tsaplin, D.; Gorbunov, D.; Ostroumova, V.; Naranov, E.; Kulikov, L.; Egazaryants, S.; Maximov, A. The Synthesis and Characterization of Novel Boron-Containing B/Al-ZSM-12 Zeolite. Mater. Chem. Phys. 2024, 326, 129825. [Google Scholar] [CrossRef]
- Tsaplin, D.E.; Ostroumova, V.A.; Kulikov, L.A.; Zolotukhina, A.V.; Sadovnikov, A.A.; Kryuchkov, M.D.; Egazaryants, S.V.; Maksimov, A.L.; Wang, K.; Luo, Z.; et al. Synthesis and Investigation of Zeolite TiO2/Al-ZSM-12 Structure and Properties. Catalysts 2023, 13, 216. [Google Scholar] [CrossRef]
- Borcuch, A.; Rutkowska, M.; Marzec, A.; Kowalczyk, A.; Michalik, M.; Moreno, J.M.; Díaz, U.; Chmielarz, L. Selective Ammonia Oxidation over ZSM-5 Zeolite: Impact of Catalyst’s Support Porosity and Type of Deposited Iron Species. Catal. Today 2020, 348, 223–229. [Google Scholar] [CrossRef]
- Tatsumi, T. Metal-Substituted Zeolites as Heterogeneous Oxidation Catalysts. In Modern Heterogeneous Oxidation Catalysis; Mizuno, N., Ed.; WILEY-VCH Verlag GmbH & Co. KGaA: Weinheim, Germany, 2009; pp. 125–155. ISBN 9783527627547. [Google Scholar]
- Přech, J.; Eliášová, P.; Aldhayan, D.; Kubů, M. Epoxidation of Bulky Organic Molecules over Pillared Titanosilicates. Catal. Today 2015, 243, 134–140. [Google Scholar] [CrossRef]
- Wu, P.; Tatsumi, T.; Komatsu, T.; Yashima, T. A Novel Titanosilicate with MWW Structure. I. Hydrothermal Synthesis, Elimination of Extraframework Titanium, and Characterizations. J. Phys. Chem. B 2001, 105, 2897–2905. [Google Scholar] [CrossRef]
- Pitínová-Štekrová, M.; Eliášová, P.; Weissenberger, T.; Shamzhy, M.; Musilová, Z.; Čejka, J. Highly Selective Synthesis of Campholenic Aldehyde over Ti-MWW Catalysts by α-Pinene Oxide Isomerization. Catal. Sci. Technol. 2018, 8, 4690–4701. [Google Scholar] [CrossRef]
- Qiu, J.; Wang, W.; Wang, J.; Zhao, M.; Chen, Y. Efficient Monolithic MnOx Catalyst Prepared by Heat Treatment for Ozone Decomposition. Environ. Sci. Pollut. Res. 2022, 29, 44324–44334. [Google Scholar] [CrossRef]
- Chen, J.; Peng, G.; Liang, T.; Zhang, W.; Zheng, W.; Zhao, H.; Guo, L.; Wu, X. Catalytic Performances of Cu/MCM-22 Zeolites with Different Cu Loadings in NH3-SCR. Nanomaterials 2020, 10, 2170. [Google Scholar] [CrossRef] [PubMed]
- Millini, R.; Perego, G.; Bellussi, G. Synthesis and Characterization of Boron-containing Molecular Sieves. Top. Catal. 1999, 9, 13–34. [Google Scholar] [CrossRef]
- Thommes, M.; Kaneko, K.; Neimark, A.V.; Olivier, J.P.; Rodriguez-Reinoso, F.; Rouquerol, J.; Sing, K.S.W. Physisorption of Gases, with Special Reference to the Evaluation of Surface Area and Pore Size Distribution (IUPAC Technical Report). Pure Appl. Chem. 2015, 87, 1051–1069. [Google Scholar] [CrossRef]
- Dubiel, W.; Kowalczyk, A.; Jankowska, A.; Michalik, M.; Mozgawa, W.; Kobielusz, M.; Macyk, W.; Chmielarz, L. Silica-Titania Mesoporous Silicas of MCM-41 Type as Effective Catalysts and Photocatalysts for Selective Oxidation of Diphenyl Sulfide by H2O2. Green Process. Synth. 2023, 12, 20230052. [Google Scholar] [CrossRef]
- Zecchina, A.; Spoto, G.; Bordiga, S.; Ferrero, A.; Petrini, G.; Leofanti, G.; Padovan, M. Framework and Extraframework Ti in Titanium-Silicalite: Investigation by Means of Physical Methods. In Zeolite Chemistry and Catalysis; Jacobs, P.A., Jaeger, N.I., Kubelková, L., Wichterlová, B., Eds.; Studies in Surface Science and Catalysis; Elsevier: Amsterdam, The Netherlands, 1991; Volume 69, pp. 251–258. ISBN 978-0-444-88245-5. [Google Scholar]
- Dubiel, W.; Ba Tran, L.; Jankowska, A.; Kowalczyk, A.; Michalik, M.; Mozgawa, W.; Mazur, M.; Huy Nguyen, N.; Chmielarz, L. Synergistic Catalytic Effect of Titanium and Iron Incorporated to Spherical MCM-41 in Selective Catalytic Oxidation of Diphenyl Sulphide with H2O2. Polyhedron 2024, 262, 117158. [Google Scholar] [CrossRef]
- Díaz-Sánchez, M.; Murgu, R.N.; Díaz-García, D.; Méndez-Arriaga, J.M.; Prashar, S.; Urbán, B.; Pinkas, J.; Lamač, M.; Horáček, M.; Gómez-Ruiz, S. Synergistic Effect of Cu,F-Codoping of Titanium Dioxide for Multifunctional Catalytic and Photocatalytic Studies. Adv. Sustain. Syst. 2021, 5, 2000298. [Google Scholar] [CrossRef]
- Visuvamithiran, P.; Shanthi, K.; Palanichamy, M.; Murugesan, V. Direct Synthesis of Mn-Ti-SBA-15 Catalyst for the Oxidation of Ethylbenzene. Catal. Sci. Technol. 2013, 3, 2340–2348. [Google Scholar] [CrossRef]
- Kowalczyk, A.; Święs, A.; Gil, B.; Rutkowska, M.; Piwowarska, Z.; Borcuch, A.; Michalik, M.; Chmielarz, L. Effective Catalysts for the Low-Temperature NH3-SCR Process Based on MCM-41 Modified with Copper by Template Ion-Exchange (TIE) Method. Appl. Catal. B 2018, 237, 927–937. [Google Scholar] [CrossRef]
- Rutkowska, M.; Borcuch, A.; Marzec, A.; Kowalczyk, A.; Samojeden, B.; Moreno, J.M.; Díaz, U.; Chmielarz, L. Influence of Iron Aggregation on the Catalytic Performance of Desilicated MFI in the DeNOx Process. Microporous Mesoporous Mater. 2020, 304, 109114. [Google Scholar] [CrossRef]
- Zhang, Q.; Wang, Y.; Itsuki, S.; Shishido, T.; Takehira, K. Manganese-Containing MCM-41 for Epoxidation of Styrene and Stilbene. J. Mol. Catal. A Chem. 2002, 188, 189–200. [Google Scholar] [CrossRef]
- Velu, S.; Shah, N.; Jyothi, T.M.; Sivasanker, S. Effect of Manganese Substitution on the Physicochemical Properties and Catalytic Toluene Oxidation Activities of Mg–Al Layered Double Hydroxides. Microporous Mesoporous Mater. 1999, 33, 61–75. [Google Scholar] [CrossRef]
- Wu, P.; Komatsu, T.; Yashima, T. Characterization of Titanium Species Incorporated into Dealuminated Mordenites by Means of IR Spectroscopy and 18O-Exchange Technique. J. Phys. Chem. 1996, 100, 10316–10322. [Google Scholar] [CrossRef]
- Zhang, S.; Jin, S.; Tao, G.; Wang, Z.; Liu, W.; Chen, Y.; Luo, J.; Zhang, B.; Sun, H.; Wang, Y.; et al. The Evolution of Titanium Species in Boron-Containing Ti-MWW Zeolite during Post-Treatment Revealed by UV Resonance Raman Spectroscopy. Microporous Mesoporous Mater. 2017, 253, 183–190. [Google Scholar] [CrossRef]
- Kowalczyk, A.; Borcuch, A.; Michalik, M.; Rutkowska, M.; Gil, B.; Sojka, Z.; Indyka, P.; Chmielarz, L. MCM-41 Modified with Transition Metals by Template Ion-Exchange Method as Catalysts for Selective Catalytic Oxidation of Ammonia to Dinitrogen. Microporous Mesoporous Mater. 2017, 240, 9–21. [Google Scholar] [CrossRef]
- Juybar, M.; Khanmohammadi Khorrami, M.; Bagheri Garmarudi, A.; Zandbaaf, S. Determination of Acidity in Metal Incorporated Zeolites by Infrared Spectrometry Using Artificial Neural Network as Chemometric Approach. Spectrochim. Acta A Mol. Biomol. Spectrosc. 2020, 228, 117539. [Google Scholar] [CrossRef] [PubMed]
- Mansouri, N.; Rikhtegar, N.; Ahmad Panahi, H.; Atabi, F.; Shahraki, B.K. Porosity, Characterization and Structural Properties of Natural Zeolite—Clinoptilolite—As a Sorbent. Environ. Prot. Eng. 2013, 39, 139–152. [Google Scholar] [CrossRef]
- Attila, Ö.; King, H.E.; Meirer, F.; Weckhuysen, B.M. 3D Raman Spectroscopy of Large Zeolite ZSM-5 Crystals. Chem.—Eur. J. 2019, 25, 7158–7167. [Google Scholar] [CrossRef] [PubMed]
- Hammond, C.; Tarantino, G. Switching off H2O2 Decomposition during TS-1 Catalysed Epoxidation via Post-Synthetic Active Site Modification. Catalysts 2015, 5, 2309–2323. [Google Scholar] [CrossRef]
- Fan, F.; Feng, Z.; Li, C. UV Raman Spectroscopic Studies on Active Sites and Synthesis Mechanisms of Transition Metal-Containing Microporous and Mesoporous Materials. Acc. Chem. Res. 2010, 43, 378–387. [Google Scholar] [CrossRef] [PubMed]
- Geidel, E.; Lechert, H.; Döbler, J.; Jobic, H.; Calzaferri, G.; Bauer, F. Characterization of Mesoporous Materials by Vibrational Spectroscopic Techniques. Microporous Mesoporous Mater. 2003, 65, 31–42. [Google Scholar] [CrossRef]
- Choi, H.C.; Jung, Y.M.; Kim, S. Bin Size Effects in the Raman Spectra of TiO2 Nanoparticles. Vib. Spectrosc. 2005, 37, 33–38. [Google Scholar] [CrossRef]
- Kumar, P.; Gupta, J.K.; Muralidhar, G.; Rao, T.S.R.P. Acidity Studies on Titanium Silicalites-1 (TS-1) by Ammonia Adsorption Using Microcalorimetry. In Recent Advances In Basic and Applied Aspects of Industrial Catalysis; Rao, T.S.R.P., Dhar, G.M., Eds.; Studies in Surface Science and Catalysis; Elsevier: Amsterdam, The Netherlands, 1998; Volume 113, pp. 463–472. ISBN 978-0-444-82920-7. [Google Scholar]
- Alvear, M.; Schmidt, C.; Reinsdorf, O.; Lebron-Rodrigez, E.; Al Abdulghani, A.; Hermans, I.; Peurla, M.; Lastusaari, M.; Eränen, K.; Murzin, D.Y.; et al. Ti-MWW Catalysts for Propylene Oxide Production: Influence of Si/Ti Ratio and Calcination Conditions. Catal. Lett. 2024, 154, 834–845. [Google Scholar] [CrossRef]
- Bordiga, S.; Boscherini, F.; Coluccia, S.; Genonic, F.; Lamberti, C.; Leofanti, G.; Marchese, L.; Petrini, G.; Vlaic, G.; Zecchina, A. XAFS Study of Ti-Silicalite: Structure of Framework Ti(IV) in Presence and in Absence of Reactive Molecules (H2O, NH3). Catal. Lett. 1994, 26, 195–208. [Google Scholar] [CrossRef]
- Święs, A.; Kowalczyk, A.; Michalik, M.; Díaz, U.; Palomares, A.E.; Chmielarz, L. Titanium–Silicon Ferrierites and Their Delaminated Forms Modified with Copper as Effective Catalysts for Low-Temperature NH3-SCR. RSC Adv. 2021, 11, 10847–10859. [Google Scholar] [CrossRef]
- Jankowska, A.; Chłopek, A.; Kowalczyk, A.; Rutkowska, M.; Mozgawa, W.; Michalik, M.; Liu, S.; Chmielarz, L. Enhanced Catalytic Performance in Low-Temperature NH3-SCR Process of Spherical MCM-41 Modified with Cu by Template Ion-Exchange and Ammonia Treatment. Microporous Mesoporous Mater. 2021, 315, 110920. [Google Scholar] [CrossRef]
- Jankowska, A.; Ciuba, J.; Kowalczyk, A.; Rutkowska, M.; Piwowarska, Z.; Michalik, M.; Chmielarz, L. Mesoporous Silicas of MCM-41 Type Modified with Iron Species by Template Ion-Exchange Method as Catalysts for the High-Temperature NH3-SCR Process—Role of Iron Species Aggregation, Silica Morphology and Associated Reactions. Catal. Today 2022, 390–391, 281–294. [Google Scholar] [CrossRef]
- Rutkowska, M.; Jankowska, A.; Różycka-Dudek, E.; Dubiel, W.; Kowalczyk, A.; Piwowarska, Z.; Llopis, S.; Díaz, U.; Chmielarz, L. Modification of MCM-22 Zeolite and Its Derivatives with Iron for the Application in N2O Decomposition. Catalysts 2020, 10, 1139. [Google Scholar] [CrossRef]
- Arena, F.; Gatti, G.; Martra, G.; Coluccia, S.; Stievano, L.; Spadaro, L.; Famulari, P.; Parmaliana, A. Structure and Reactivity in the Selective Oxidation of Methane to Formaldehyde of Low-Loaded FeOx/SiO2 Catalysts. J. Catal. 2005, 231, 365–380. [Google Scholar] [CrossRef]
- Zhang, Q.; Li, Y.; An, D.; Wang, Y. Catalytic Behavior and Kinetic Features of FeOx/SBA-15 Catalyst for Selective Oxidation of Methane by Oxygen. Appl. Catal. A 2009, 356, 103–111. [Google Scholar] [CrossRef]
- Lai, Y.; Veser, G. The Nature of the Selective Species in Fe-HZSM-5 for Non-Oxidative Methane Dehydroaromatization. Catal. Sci. Technol. 2016, 6, 5440–5452. [Google Scholar] [CrossRef]
- Liu, Q.; Yang, J.; Luo, M.; Yang, Z.; Zhao, Q. Low-Temperature Selective Catalytic Reduction of NO with NH3 Over Mn–Ti Oxide Catalyst: Effect of the Synthesis Conditions. Catal. Lett. 2021, 151, 966–979. [Google Scholar] [CrossRef]
- Ettireddy, P.R.; Ettireddy, N.; Mamedov, S.; Boolchand, P.; Smirniotis, P.G. Surface Characterization Studies of TiO2 Supported Manganese Oxide Catalysts for Low Temperature SCR of NO with NH3. Appl. Catal. B 2007, 76, 123–134. [Google Scholar] [CrossRef]
- Ramakrishna, C.; Gopi, T.; Shekar, S.C.; Gupta, A.K.; Krishna, R. Vapor Phase Catalytic Degradation Studies of Diethyl Sulfide with MnO/Zeolite-13X Catalysts in Presence of Air. Environ. Prog. Sustain. Energy 2018, 37, 1705–1712. [Google Scholar] [CrossRef]
- Putluru, S.S.R.; Schill, L.; Godiksen, A.; Poreddy, R.; Mossin, S.; Jensen, A.D.; Fehrmann, R. Promoted V2O5/TiO2 Catalysts for Selective Catalytic Reduction of NO with NH3 at Low Temperatures. Appl. Catal. B 2016, 183, 282–290. [Google Scholar] [CrossRef]
- Jankowska, A.; Kowalczyk, A.; Rutkowska, M.; Michalik, M.; Chmielarz, L. Spherical Al-MCM-41 Doped with Copper by Modified TIE Method as Effective Catalyst for Low-Temperature NH3-SCR. Molecules 2021, 26, 1807. [Google Scholar] [CrossRef] [PubMed]
- Damma, D.; Ettireddy, P.R.; Reddy, B.M.; Smirniotis, P.G. A Review of Low Temperature NH3-SCR for Removal of NOx. Catalysts 2019, 9, 349. [Google Scholar] [CrossRef]
- Gomułka, A.; Iwaszko, O.; Kowalczyk, A.; Piwowarska, Z.; Rutkowska, M.; Chmielarz, L. Catalytic Functionalization of MCM-41 and MCM-48 with Copper by Modified Template Ion-Exchange Method for Low-Temperature NH3-SCR Process: The Role of Complexing Agents for Copper Dispersion. Res. Chem. Intermed. 2024, 50, 5399–5426. [Google Scholar] [CrossRef]
- Boningari, T.; Smirniotis, P.G. Impact of Nitrogen Oxides on the Environment and Human Health: Mn-Based Materials for the NOx Abatement. Curr. Opin. Chem. Eng. 2016, 13, 133–141. [Google Scholar] [CrossRef]
- Thirupathi, B.; Smirniotis, P.G. Nickel-Doped Mn/TiO2 as an Efficient Catalyst for the Low-Temperature SCR of NO with NH3: Catalytic Evaluation and Characterizations. J. Catal. 2012, 288, 74–83. [Google Scholar] [CrossRef]
- Lei, H.; Rizzotto, V.; Guo, A.; Ye, D.; Simon, U.; Chen, P. Recent Understanding of Low-Temperature Copper Dynamics in Cu-Chabazite NH3-SCR Catalysts. Catalysts 2021, 11, 52. [Google Scholar] [CrossRef]
- Chen, Z.; Wang, F.; Li, H.F.; Yang, Q.; Wang, L.; Li, X. Low-Temperature Selective Catalytic Reduction of NOx with NH3 over Fe–Mn Mixed-Oxide Catalysts Containing Fe3Mn3O8 Phase. Ind. Eng. Chem. Res. 2012, 51, 202–212. [Google Scholar] [CrossRef]
- Lu, X.; Song, C.; Jia, S.; Tong, Z.; Tang, X.; Teng, Y. Low-Temperature Selective Catalytic Reduction of NOX with NH3 over Cerium and Manganese Oxides Supported on TiO2–Graphene. Chem. Eng. J. 2015, 260, 776–784. [Google Scholar] [CrossRef]
- Bo, S.; Wang, T.; Lv, T.; Wu, H.; Feng, Z.; Miao, L.; Feng, Z.; Ren, L.; Meng, C. Rapid Synthesis of Boron-MWW Zeolite Through a Solvent-Free Strategy. Chem. Res. Chin. Univ. 2024, 40, 1245–1255. [Google Scholar] [CrossRef]
- Qi, G.; Li, W. NO Oxidation to NO2 over Manganese-Cerium Mixed Oxides. Catal. Today 2015, 258, 205–213. [Google Scholar] [CrossRef]
- Maes, N.; Vansant, E.F. Study of Fe2O3-Pillared Clays Synthesized Using the Trinuclear Fe(III)-Acetato Complex as Pillaring Precursor. Microporous Mater. 1995, 4, 43–51. [Google Scholar] [CrossRef]
- Andrulis, P.J.; Dewar, M.J.S.; Dietz, R.; Hunt, R.L. Aromatic Oxidation by Electron Transfer. III.1 Oxidation of 1- and 2-Methoxynaphthalene by Manganic Acetate2. J. Am. Chem. Soc. 1966, 88, 5473–5478. [Google Scholar] [CrossRef]
- Rouquerol, J.; Llewellyn, P.; Rouquerol, F. Is the Bet Equation Applicable to Microporous Adsorbents? In Characterization of Porous Solids VII; Llewellyn, P.L., Rodriquez-Reinoso, F., Rouqerol, J., Seaton, N., Eds.; Studies in Surface Science and Catalysis; Elsevier: Amsterdam, The Netherlands, 2007; Volume 160, pp. 49–56. ISBN 978-0-444-52022-7. [Google Scholar]
Disclaimer/Publisher’s Note: The statements, opinions and data contained in all publications are solely those of the individual author(s) and contributor(s) and not of MDPI and/or the editor(s). MDPI and/or the editor(s) disclaim responsibility for any injury to people or property resulting from any ideas, methods, instructions or products referred to in the content. |
© 2025 by the authors. Licensee MDPI, Basel, Switzerland. This article is an open access article distributed under the terms and conditions of the Creative Commons Attribution (CC BY) license (https://creativecommons.org/licenses/by/4.0/).















