Positive Effect of Ce Modification on Low-Temperature NH3-SCR Performance and Hydrothermal Stability over Cu-SSZ-16 Catalysts
Abstract
1. Introduction
2. Results and Discussion
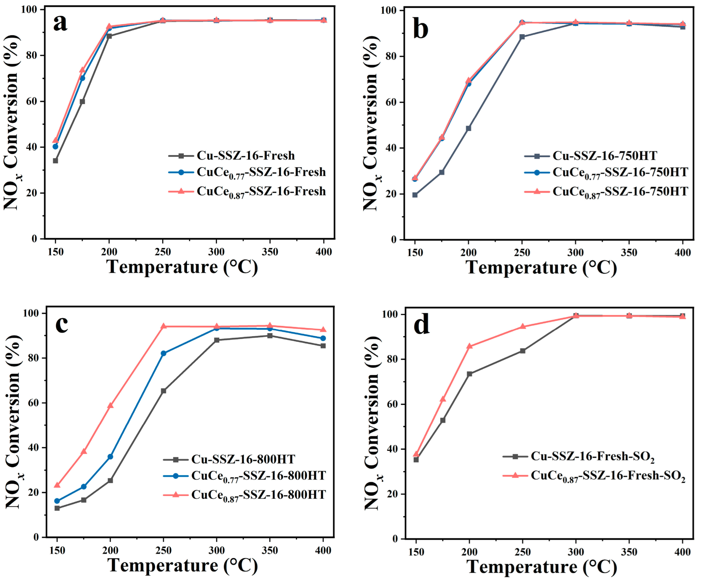
2.1. NH3-SCR Activity and SO2 Resistance Test
2.2. Structural Characterization
2.3. Cu and Ce Species
3. Materials and Methods
3.1. Synthesis and Hydrothermal Treatments
3.2. Characterization of the Catalysts
3.3. Catalytic Performance Tests
4. Conclusions
Supplementary Materials
Author Contributions
Funding
Data Availability Statement
Conflicts of Interest
References
- Skalska, K.; Miller, J.; Ledakowicz, S. Trends in NOx abatement: A review. Sci. Total Environ. 2010, 408, 3976–3989. [Google Scholar] [CrossRef] [PubMed]
- Lasek, J.A.; Lajnert, R. On the Issues of NOx as Greenhouse Gases: An Ongoing Discussion & hellip. Appl. Sci. 2022, 12, 10429. [Google Scholar] [CrossRef]
- Zhang, X.Y.; Dou, T.T.; Wang, Y.; Yang, J.Y.; Wang, X.; Guo, Y.Y.; Shen, Q.; Zhang, X.; Zhang, S.Q. Green synthesis of Cu-SSZ-13 zeolite by seed-assisted route for effective reduction of nitric oxide. J. Clean. Prod. 2019, 236, 117667. [Google Scholar] [CrossRef]
- Borfecchia, E.; Lomachenko, K.A.; Giordanino, F.; Falsig, H.; Beato, P.; Soldatov, A.V.; Bordiga, S.; Lamberti, C. Revisiting the nature of Cu sites in the activated Cu-SSZ-13 catalyst for SCR reaction. Chem. Sci. 2015, 6, 548–563. [Google Scholar] [CrossRef]
- Fu, G.Y.; Yang, R.N.; Liang, Y.Q.; Yi, X.F.; Li, R.; Yan, N.N.; Zheng, A.M.; Yu, L.; Yang, X.B.; Jiang, J.X. Enhanced hydrothermal stability of Cu/SSZ-39 with increasing Cu contents, and the mechanism of selective catalytic reduction of NOx. Microporous Mesoporous Mater. 2021, 320, 111060. [Google Scholar] [CrossRef]
- Li, R.; Zhu, Y.J.; Zhang, Z.P.; Zhang, C.Q.; Fu, G.Y.; Yi, X.F.; Huang, Q.T.; Yang, F.; Liang, W.C.; Zheng, A.M.; et al. Remarkable performance of selective catalytic reduction of NOx by ammonia over copper-exchanged SSZ-52 catalysts. Appl. Catal. B Environ. 2021, 283, 119641. [Google Scholar] [CrossRef]
- Zhao, Z.C.; Yu, R.; Zhao, R.R.; Shi, C.; Gies, H.; Xiao, F.S.; De Vos, D.; Yokoi, T.; Bao, X.H.; Kolb, U.; et al. Cu-exchanged Al-rich SSZ-13 zeolite from organotemplate-free synthesis as NH3-SCR catalyst: Effects of Na+ ions on the activity and hydrothermal stability. Appl. Catal. B Environ. 2017, 217, 421–428. [Google Scholar] [CrossRef]
- Hernández-Salgado, G.I.; López-Curiel, J.C.; Fuentes, G.A. A Comparative Study of the NH3-SCR Activity of Cu/SSZ-39 and Cu/SSZ-13 with Similar Cu/Al Ratios. Top. Catal. 2022, 65, 1495–1504. [Google Scholar] [CrossRef]
- Chokkalingam, A.; Chaikittisilp, W.; Iyoki, K.; Keoh, S.H.; Yanaba, Y.; Yoshikawa, T.; Kusamoto, T.; Okubo, T.; Wakihara, T. Ultrafast synthesis of AFX-Type zeolite with enhanced activity in the selective catalytic reduction of NOx and hydrothermal stability. RSC Adv. 2019, 9, 16790–16796. [Google Scholar] [CrossRef]
- Li, R.; Jiang, X.Q.; Lin, J.C.; Zhang, Z.P.; Huang, Q.T.; Fu, G.Y.; Zhu, Y.J.; Jiang, J.X. Understanding the influence of hydrothermal treatment on NH3-SCR of NOx activity over Cux-SSZ-16. Chem. Eng. J. 2022, 441, 136021. [Google Scholar] [CrossRef]
- Gao, F.; Washton, N.M.; Wang, Y.; Kollár, M.; Szanyi, J.; Peden, C.H.F. Effects of Si/Al ratio on Cu/SSZ-13 NH3-SCR catalysts: Implications for the active Cu species and the roles of Brønsted acidity. J. Catal. 2015, 331, 25–38. [Google Scholar] [CrossRef]
- Guo, A.Q.; Xie, K.P.; Lei, H.R.; Rizzotto, V.; Chen, L.M.; Fu, M.L.; Chen, P.R.; Peng, Y.; Ye, D.Q.; Simon, U. Inhibition Effect of Phosphorus Poisoning on the Dynamics and Redox of Cu Active Sites in a Cu-SSZ-13 NH3-SCR Catalyst for NOx Reduction. Environ. Sci. Technol. 2021, 55, 12619–12629. [Google Scholar] [CrossRef]
- Wu, Q.; Fan, C.; Wang, Y.; Chen, X.P.; Wang, G.M.; Qin, Z.X.; Mintova, S.; Li, J.H.; Chen, J.J. Direct incorporating small amount of Ce (III) in Cu-SAPO-18 catalysts for enhanced low-temperature NH3-SCR activity: Influence on Cu distribution and Si coordination. Chem. Eng. J. 2022, 435, 134890. [Google Scholar] [CrossRef]
- Chen, Z.; Fan, C.; Pang, L.; Ming, S.J.; Liu, P.; Li, T. The influence of phosphorus on the catalytic properties, durability, sulfur resistance and kinetics of Cu-SSZ-13 for NOx reduction by NH3-SCR. Appl. Catal. B Environ. 2018, 237, 116–127. [Google Scholar] [CrossRef]
- Liu, K.; Yan, Z.D.; Shan, W.P.; Shan, Y.L.; Shi, X.Y.; He, H. Quantitative determination of the Cu species, acid sites and NH3-SCR mechanism on Cu-SSZ-13 and H-SSZ-13 at low temperatures. Catal. Sci. Technol. 2020, 10, 1135–1150. [Google Scholar] [CrossRef]
- Usui, T.; Liu, Z.D.; Ibe, S.; Zhu, J.; Anand, C.; Igarashi, H.; Onaya, N.; Sasaki, Y.; Shiramata, Y.; Kusamoto, T.; et al. Improve the Hydrothermal Stability of Cu-SSZ-13 Zeolite Catalyst by Loading a Small Amount of Ce. ACS Catal. 2018, 8, 9165–9173. [Google Scholar] [CrossRef]
- Luo, J.Y.; Gao, F.; Kamasamudram, K.; Currier, N.; Peden, C.; Yezerets, A. New insights into Cu/SSZ-13 SCR catalyst acidity. Part I: Nature of acidic sites probed by NH3 titration. J. Catal. 2017, 348, 291–299. [Google Scholar] [CrossRef]
- Martini, A.; Borfecchia, E.; Lomachenko, K.A.; Pankin, I.A.; Negri, C.; Berlier, G.; Beato, P.; Falsig, H.; Bordiga, S.; Lamberti, C. Composition-driven Cu-speciation and reducibility in Cu-CHA zeolite catalysts: A multivariate XAS/FTIR approach to complexity. Chem. Sci. 2017, 8, 6836–6851. [Google Scholar] [CrossRef] [PubMed]
- Zhang, R.Q.; McEwen, J.S.; Kollár, M.; Gao, F.; Wang, Y.L.; Szanyi, J.; Peden, C. NO Chemisorption on Cu/SSZ-13: A Comparative Study from Infrared Spectroscopy and DFT Calculations. ACS Catal. 2014, 4, 4093–4105. [Google Scholar] [CrossRef]
- Paolucci, C.; Khurana, I.; Parekh, A.A.; Li, S.C.; Shih, A.J.; Li, H.; Di, I.; John, R.; Albarracin-Caballero, J.D.; Yezerets, A.; et al. Dynamic multinuclear sites formed by mobilized copper ions in NOx selective catalytic reduction. Science 2017, 357, 898–903. [Google Scholar] [CrossRef]
- Song, J.; Wang, Y.L.; Walter, E.D.; Washton, N.M.; Mei, D.H.; Kovarik, L.; Engelhard, M.H.; Prodinger, S.; Wang, Y.L.; Peden, C.; et al. Toward Rational Design of Cu/SSZ-13 Selective Catalytic Reduction Catalysts: Implications from Atomic-Level Understanding of Hydrothermal Stability. ACS Catal. 2017, 7, 8214–8227. [Google Scholar] [CrossRef]
- Gao, F.; Szanyi, J. On the hydrothermal stability of Cu/SSZ-13 SCR catalysts. Appl. Catal. A Gen. 2018, 560, 185–194. [Google Scholar] [CrossRef]
- Chen, J.L.; Peng, G.; Liang, T.Y.; Zhang, W.B.; Zheng, W.; Zhao, H.R.; Guo, L.; Wu, X.Q. Catalytic Performances of Cu/MCM-22 Zeolites with Different Cu Loadings in NH3-SCR. Nanomaterials 2020, 10, 2170. [Google Scholar] [CrossRef] [PubMed]
- Kim, Y.J.; Lee, J.K.; Min, K.M.; Hong, S.B.; Nam, I.-S.; Cho, B.K. Hydrothermal stability of CuSSZ13 for reducing NOx by NH3. J. Catal. 2014, 311, 447–457. [Google Scholar] [CrossRef]
- Fickel, D.W.; D’Addio, E.; Lauterbach, J.; Lobo, R.F. The ammonia selective catalytic reduction activity of copper-exchanged small-pore zeolites. Appl. Catal. B Environ. 2011, 102, 441–448. [Google Scholar] [CrossRef]
- Xie, J.L.; Jin, Q.Q.; Fang, D.; Ye, Y.L.; Hou, S.S.; Wang, X.H.; He, F. Effect of La/Ce modification over Cu based Y zeolite catalysts on high temperature selectivity for selective catalytic reduction with ammonia. J. Clean. Prod. 2022, 362, 132255. [Google Scholar] [CrossRef]
- Wang, Y.; Li, G.G.; Zhang, S.Q.; Zhang, X.Y.; Zhang, X.; Hao, Z.P. Promoting effect of Ce and Mn addition on Cu-SSZ-39 zeolites for NH3-SCR reaction: Activity, hydrothermal stability, and mechanism study. Chem. Eng. J. 2020, 393, 124782. [Google Scholar] [CrossRef]
- Mao, J.W.; Xu, B.; Hu, Y.K.; Zhang, C.Y.; Meng, H.M. Effect of Ce metal modification on the hydrothermal stability of Cu-SAPO-34 catalyst. J. Fuel Chem. Technol. 2020, 48, 1208–1216. [Google Scholar] [CrossRef]
- Deng, D.; Deng, S.J.; He, D.D.; Wang, Z.H.; Chen, Z.P.; Ji, Y.; Yan, G.P.; Hou, G.J.; Liu, L.C.; He, H. A comparative study of hydrothermal aging effect on cerium and lanthanum doped Cu/SSZ-13 catalysts for NH3-SCR. J. Rare Earth. 2021, 39, 969–978. [Google Scholar] [CrossRef]
- Li, R.; Liang, Y.Q.; Zhang, Z.P.; Huang, Q.T.; Jiang, X.Q.; Yang, R.N.; Yu, L.; Jiang, J.X. Understanding roles of Ce on hydrothermal stability of Cu-SSZ-52 catalyst for selective catalytic reduction of NOx with NH3. Catal. Today 2022, 405-406, 125–134. [Google Scholar] [CrossRef]
- Fickel, D.W.; Lobo, R.F. Copper Coordination in Cu-SSZ-13 and Cu-SSZ-16 Investigated by Variable-Temperature XRD. J. Phys. Chem. C 2010, 114, 1633–1640. [Google Scholar] [CrossRef]
- Shi, Y.J.; Li, Z.M.; Wang, J.L.; Zhou, R.X. Synergistic effect of Pt/Ce and USY zeolite in Pt-based catalysts with high activity for VOCs degradation. Appl. Catal. B Environ. 2021, 286, 119936. [Google Scholar] [CrossRef]
- Chen, B.H.; Xu, R.N.; Zhang, R.D.; Liu, N. Economical Way to Synthesize SSZ-13 with Abundant Ion-Exchanged Cu+ for an Extraordinary Performance in Selective Catalytic Reduction (SCR) of NOx by Ammonia. Environ. Sci. Technol. 2014, 48, 13909–13916. [Google Scholar] [CrossRef] [PubMed]
- Prodinger, S.; Derewinski, M.A.; Wang, Y.L.; Washton, N.M.; Walter, E.D.; Szanyi, J.; Gao, F.; Wang, Y.L.; Peden, C. Sub-micron Cu/SSZ-13: Synthesis and application as selective catalytic reduction (SCR) catalysts. Appl. Catal. B Environ. 2017, 201, 461–469. [Google Scholar] [CrossRef]
- Klinowski, J. Solid-state NMR studies of molecular sieve catalysts. Chem. Rev. 1991, 91, 1459–1479. [Google Scholar] [CrossRef]
- Zhao, Y.Y.; Choi, B.C.; Kim, D. Effects of Ce and Nb additives on the de-NOx performance of SCR/CDPF system based on Cu-beta zeolite for diesel vehicles. Chem. Eng. Sci. 2017, 164, 258–269. [Google Scholar] [CrossRef]
- Liu, W.J.; Long, Y.F.; Liu, S.N.; Zhou, Y.Y.; Tong, X.; Yin, Y.J.; Li, X.Y.; Hu, K.; Hu, J.J. Promotional effect of Ce in NH3-SCO and NH3-SCR reactions over Cu-Ce/SCR catalysts. J. Ind. Eng. Chem. 2022, 107, 197–206. [Google Scholar] [CrossRef]
- Zhao, S.; Huang, L.M.; Jiang, B.Q.; Cheng, M.; Zhang, J.W.; Hu, Y.J. Stability of Cu–Mn bimetal catalysts based on different zeolites for NOx removal from diesel engine exhaust. Chinese J. Catal. 2018, 39, 800–809. [Google Scholar] [CrossRef]
- Shan, Y.L.; Shi, X.Y.; Yan, Z.D.; Liu, J.J.; Yu, Y.B.; He, H. Deactivation of Cu-SSZ-13 in the presence of SO2 during hydrothermal aging. Catal. Today 2019, 320, 84–90. [Google Scholar] [CrossRef]
- Chen, L.; Li, J.H.; Ablikim, W.; Wang, J.; Chang, H.Z.; Ma, L.; Xu, J.Y.; Ge, M.F.; Arandiyan, H. CeO2–WO3 Mixed Oxides for the Selective Catalytic Reduction of NOx by NH3 Over a Wide Temperature Range. Catal. Lett. 2011, 141, 1859–1864. [Google Scholar] [CrossRef]
- Zhang, Z.P.; Li, R.M.; Wang, M.J.; Li, Y.S.; Tong, Y.M.; Yang, P.P.; Zhu, Y.J. Two steps synthesis of CeTiOx oxides nanotube catalyst: Enhanced activity, resistance of SO2 and H2O for low temperature NH3-SCR of NOx. Appl. Catal. B Environ. 2021, 282, 119542. [Google Scholar] [CrossRef]
- Li, H.R.; Yi, X.F.; Miao, J.F.; Chen, Y.T.; Chen, J.S.; Wang, J.X. Improved Sulfur Resistance of COMMERCIAl V2O5-WO3/TiO2 SCR Catalyst Modified by Ce and Cu. Catalysts 2021, 11, 906. [Google Scholar] [CrossRef]
- Chen, L.; Ren, S.; Jiang, Y.H.; Liu, L.; Wang, M.M.; Yang, J.; Chen, Z.C.; Liu, W.Z.; Liu, Q.C. Effect of Mn and Ce oxides on low-temperature NH3-SCR performance over blast furnace slag-derived X supported catalysts. Fuel 2022, 320, 123969. [Google Scholar] [CrossRef]
- Bie, X.; Jiao, K.; Gong, C.; Qu, B.; Liu, D.; Ma, S. The Role of Medium Acid Sites Tuned by Ce Adding in Moderate-Temperature NH3-SCR. Catal. Lett. 2022, 152, 2270–2279. [Google Scholar] [CrossRef]
- Vennestrøm, P.; Katerinopoulou, A.; Tiruvalam, R.R.; Kustov, A.; Moses, P.G.; Concepcion, P.; Corma, A. Migration of Cu Ions in SAPO-34 and Its Impact on Selective Catalytic Reduction of NOx with NH3. ACS Catal. 2013, 3, 2158–2161. [Google Scholar] [CrossRef]
- Guan, B.; Jiang, H.; Peng, X.S.; Wei, Y.F.; Liu, Z.Q.; Chen, T.; Lin, H.; Huang, Z. Promotional effect and mechanism of the modification of Ce on the enhanced NH3-SCR efficiency and the low temperature hydrothermal stability over Cu/SAPO-34 catalysts. Appl. Catal. A Gen. 2021, 617, 118110. [Google Scholar] [CrossRef]
- Xiang, X.; Cao, Y.; Sun, L.; Wu, P.F.; Cao, L.; Xu, S.T.; Tian, P.; Liu, Z.M. Improving the low-temperature hydrothermal stability of Cu-SAPO-34 by the addition of Ag for ammonia selective catalytic reduction of NOx. Appl. Catal. A Gen. 2018, 551, 79–87. [Google Scholar] [CrossRef]
- Chen, Z.Q.; Liu, L.; Qu, H.X.; Zhou, B.J.; Xie, H.F.; Zhong, Q. Migration of cations and shell functionalization for Cu-Ce-La/SSZ-13@ZSM-5: The contribution to activity and hydrothermal stability in the selective catalytic reduction reaction. J. Catal. 2020, 392, 217–230. [Google Scholar] [CrossRef]
- Nanba, T.; Masukawa, S.; Ogata, A.; Uchisawa, J.; Obuchi, A. Active sites of Cu-ZSM-5 for the decomposition of acrylonitrile. Appl. Catal. B Environ. 2005, 61, 288–296. [Google Scholar] [CrossRef]
- Ma, Y.Y.; Li, Z.F.; Zhao, N.; Teng, Y.L. One-pot synthesis of Cu–Ce co-doped SAPO-5/34 hybrid crystal structure catalysts for NH3-SCR reaction with SO2 resistance. J. Rare Earth. 2021, 39, 1217–1223. [Google Scholar] [CrossRef]
- Zhang, T.; Liu, J.; Wang, D.X.; Zhao, Z.; Wei, Y.C.; Cheng, K.; Jiang, G.Y.; Duan, A.J. Selective catalytic reduction of NO with NH3 over HZSM-5-supported Fe–Cu nanocomposite catalysts: The Fe–Cu bimetallic effect. Appl. Catal. B Environ. 2014, 148–149, 520–531. [Google Scholar] [CrossRef]
- Su, W.K.; Li, Z.G.; Peng, Y.; Li, J.H. Correlation of the changes in the framework and active Cu sites for typical Cu/CHA zeolites (SSZ-13 and SAPO-34) during hydrothermal aging. PCCP 2015, 17, 29142–29149. [Google Scholar] [CrossRef] [PubMed]
- Ma, L.; Cheng, Y.S.; Cavataio, G.; McCabe, R.W.; Fu, L.X.; Li, J.H. Characterization of commercial Cu-SSZ-13 and Cu-SAPO-34 catalysts with hydrothermal treatment for NH3-SCR of NOx in diesel exhaust. Chem. Eng. J. 2013, 225, 323–330. [Google Scholar] [CrossRef]
- Luo, J.Y.; Wang, D.; Kumar, A.; Li, J.H.; Kamasamudram, K.; Currier, N.; Yezerets, A. Identification of two types of Cu sites in Cu/SSZ-13 and their unique responses to hydrothermal aging and sulfur poisoning. Catal. Today 2016, 267, 3–9. [Google Scholar] [CrossRef]
- Wang, A.; Arora, P.; Bernin, D.; Kumar, A.; Kamasamudram, K.; Olsson, L. Investigation of the robust hydrothermal stability of Cu/LTA for NH3-SCR reaction. Appl. Catal. B Environ. 2019, 246, 242–253. [Google Scholar] [CrossRef]










| Catalysts | Component Content a | SBET b (m2⋅g−1) | Pore Volume b (cm3⋅g−1) | ||
|---|---|---|---|---|---|
| Si/Al | Cu (wt.%) | Ce (wt.%) | |||
| Cu-SSZ-16-Fresh | 3.4 | 2.2 | - | 523 | 0.247 |
| CuCe0.77-SSZ-16-Fresh | 3.4 | 2.2 | 0.77 | 577 | 0.251 |
| CuCe0.87-SSZ-16-Fresh | 3.3 | 2.1 | 0.87 | 605 | 0.261 |
| Cu-SSZ-16-800HT | 3.1 | 2.8 | - | 13 | 0.030 |
| CuCe0.77-SSZ-16-800HT | 3.1 | 2.8 | 1.0 | 30 | 0.035 |
| CuCe0.87-SSZ-16-800HT | 3.1 | 2.7 | 1.1 | 37 | 0.060 |
| Catalysts | 27Al NMR Peak/ppm Relative Concentration (%) | |||
|---|---|---|---|---|
| 57 | 51 | 30 | −1 | |
| SSZ-16-Fresh | 45.8 | 53.3 | - | 0.9 |
| Cu-SSZ-16-Fresh | 19.9 | 61.5 | 6.8 | 11.8 |
| CuCe0.77-SSZ-16-Fresh | 25.1 | 58.1 | 7.1 | 9.7 |
| CuCe0.87-SSZ-16-Fresh | 27.2 | 56.9 | 9.1 | 6.8 |
| Catalysts | Cu2+ (%) | Cu+ (%) | Ce3+/(Ce3+ + Ce4+) (%) |
|---|---|---|---|
| Cu-SSZ-16-Fresh | 32.8 | 67.2 | - |
| CuCe0.77-SSZ-16-Fresh | 40.4 | 59.6 | 44.4 |
| CuCe0.87-SSZ-16-Fresh | 62.6 | 37.4 | 54.4 |
| Cu-SSZ-16-800HT | 20.7 | 79.3 | - |
| CuCe0.77-SSZ-16-800HT | 33.5 | 66.5 | 37.8 |
| CuCe0.87-SSZ-16-800HT | 35.8 | 64.2 | 43.0 |
| Catalysts | [Cu(OH)]+-Z (%) | Cu2+-2Z (%) | CuOx (%) |
|---|---|---|---|
| Cu-SSZ-16-Fresh | 11.8 | 62.0 | 26.2 |
| CuCe0.77-SSZ-16-Fresh | 13.0 | 67.6 | 19.4 |
| CuCe0.87-SSZ-16-Fresh | 14.1 | 74.4 | 11.5 |
| Cu-SSZ-16-800HT | - | 51.4 | 48.6 |
| CuCe0.77-SSZ-16-800HT | - | 54.0 | 46.0 |
| CuCe0.87-SSZ-16-800HT | - | 56.0 | 44.0 |
Disclaimer/Publisher’s Note: The statements, opinions and data contained in all publications are solely those of the individual author(s) and contributor(s) and not of MDPI and/or the editor(s). MDPI and/or the editor(s) disclaim responsibility for any injury to people or property resulting from any ideas, methods, instructions or products referred to in the content. |
© 2023 by the authors. Licensee MDPI, Basel, Switzerland. This article is an open access article distributed under the terms and conditions of the Creative Commons Attribution (CC BY) license (https://creativecommons.org/licenses/by/4.0/).
Share and Cite
Liang, Y.; Li, R.; Liang, R.; Li, Z.; Jiang, X.; Jiang, J. Positive Effect of Ce Modification on Low-Temperature NH3-SCR Performance and Hydrothermal Stability over Cu-SSZ-16 Catalysts. Catalysts 2023, 13, 742. https://doi.org/10.3390/catal13040742
Liang Y, Li R, Liang R, Li Z, Jiang X, Jiang J. Positive Effect of Ce Modification on Low-Temperature NH3-SCR Performance and Hydrothermal Stability over Cu-SSZ-16 Catalysts. Catalysts. 2023; 13(4):742. https://doi.org/10.3390/catal13040742
Chicago/Turabian StyleLiang, Yuqian, Rui Li, Ruicong Liang, Zhanhong Li, Xiangqiong Jiang, and Jiuxing Jiang. 2023. "Positive Effect of Ce Modification on Low-Temperature NH3-SCR Performance and Hydrothermal Stability over Cu-SSZ-16 Catalysts" Catalysts 13, no. 4: 742. https://doi.org/10.3390/catal13040742
APA StyleLiang, Y., Li, R., Liang, R., Li, Z., Jiang, X., & Jiang, J. (2023). Positive Effect of Ce Modification on Low-Temperature NH3-SCR Performance and Hydrothermal Stability over Cu-SSZ-16 Catalysts. Catalysts, 13(4), 742. https://doi.org/10.3390/catal13040742

