Selective Hydrogenation of Acetylene over Pd-Co/C Catalysts: The Modifying Effect of Cobalt
Abstract
1. Introduction
2. Results
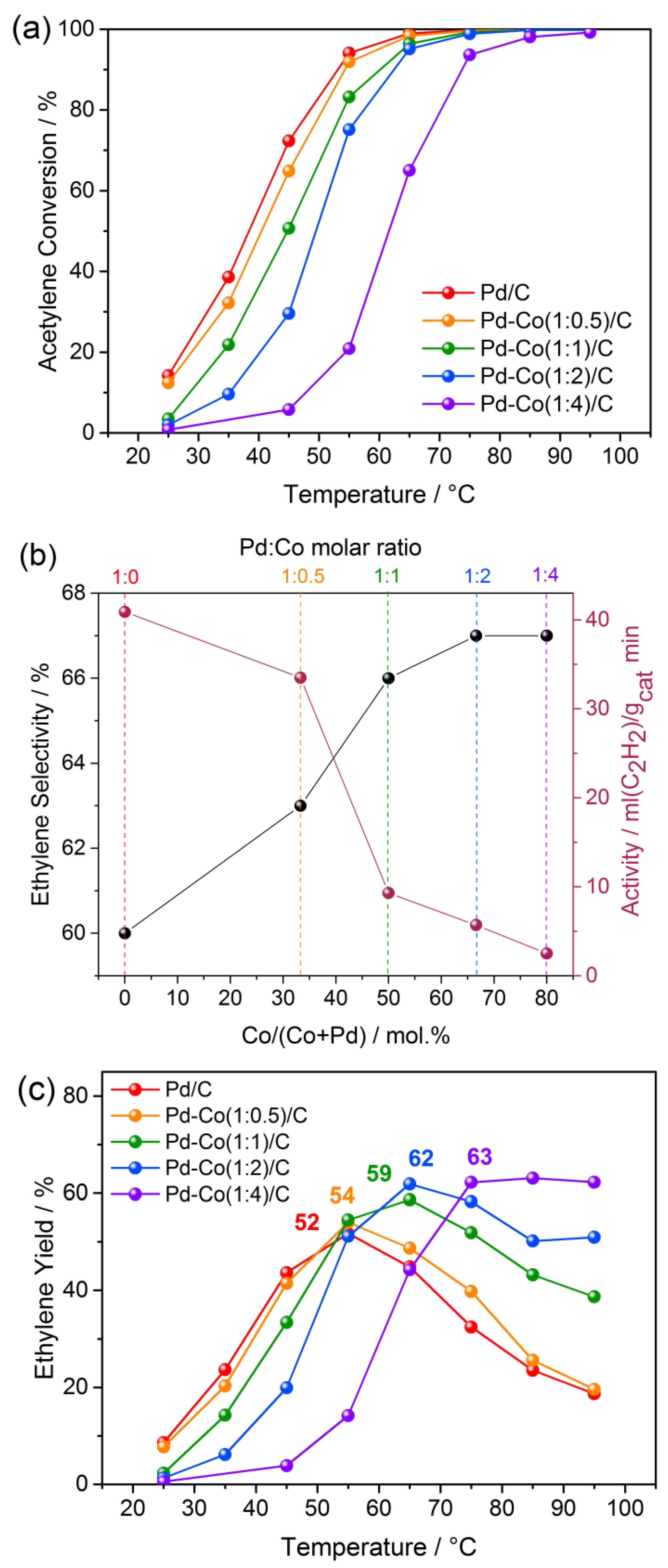
2.1. Catalytic Properties of Pd-Co/C Catalysts
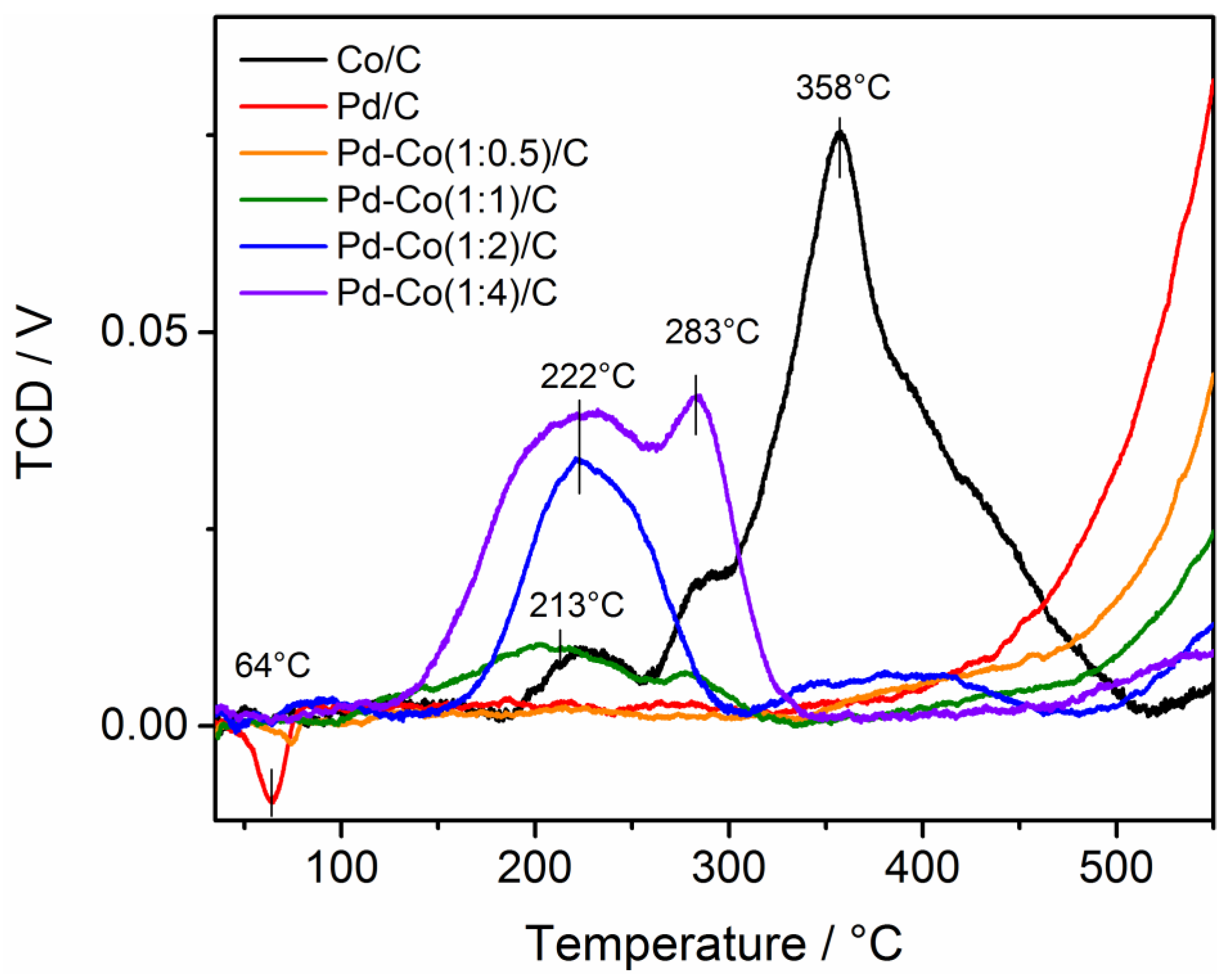
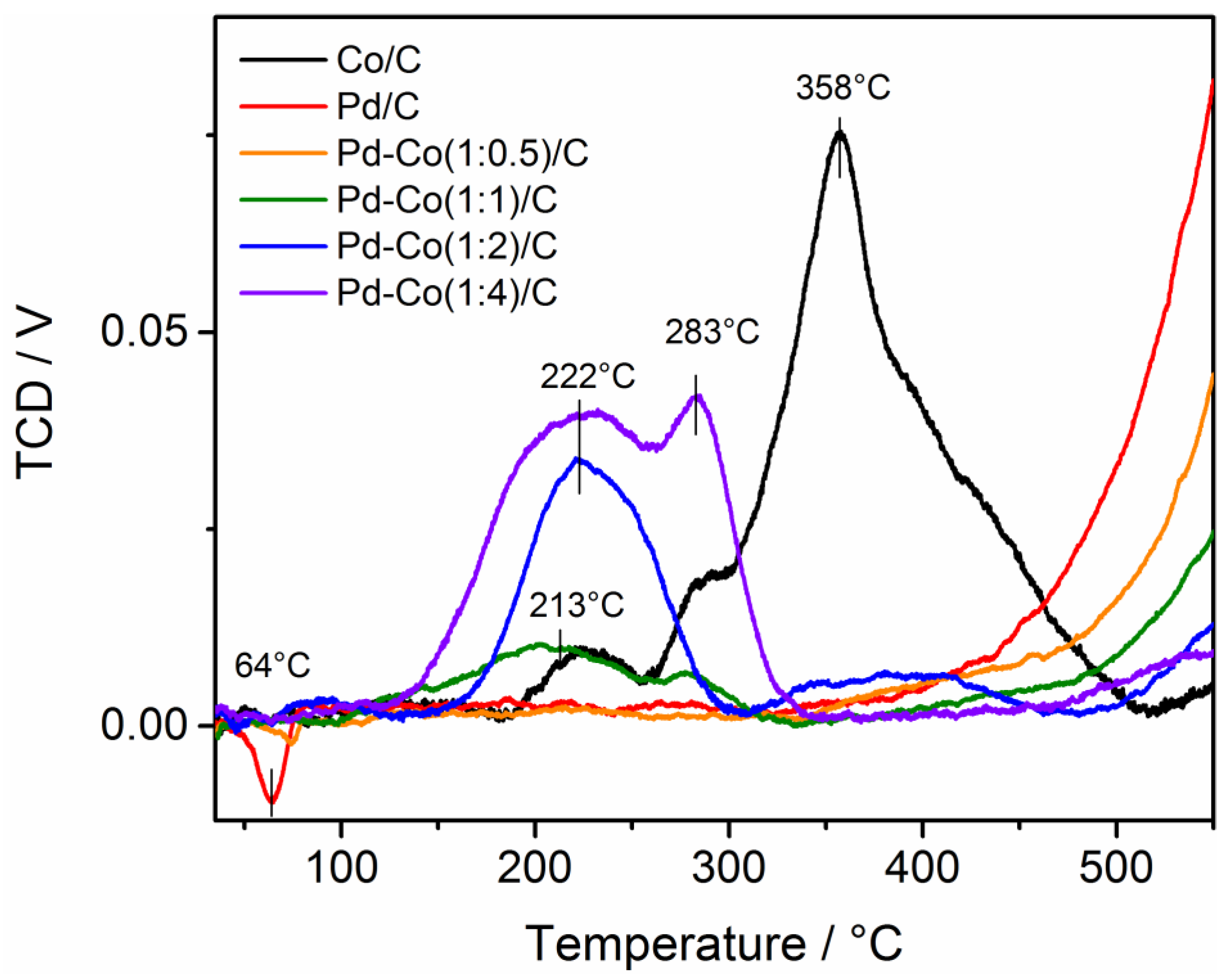
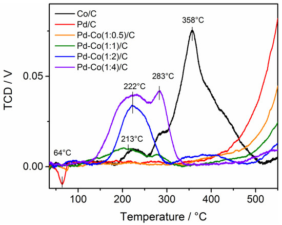
2.2. Temperature-Programmed Reduction
2.3. Structural Properties
2.4. Electronic Properties of the Active Component
3. Discussion
4. Materials and Methods
4.1. Catalyst Synthesis
4.2. Catalyst Characterization
4.3. Catalyst Tests
5. Conclusions
Supplementary Materials
Author Contributions
Funding
Data Availability Statement
Acknowledgments
Conflicts of Interest
References
- Gao, Y.; Neal, L.; Ding, D.; Wu, W.; Baroi, C.; Gaffney, A.M.; Li, F. Recent Advances in Intensified Ethylene Production—A Review. ACS Catal. 2019, 9, 8592–8621. [Google Scholar] [CrossRef]
- Kang, L.; Cheng, B.; Zhu, M. Pd/MCM-41 Catalyst for Acetylene Hydrogenation to Ethylene. R. Soc. Open Sci. 2019, 6, 191155. [Google Scholar] [CrossRef] [PubMed]
- Johnson, M.M.; Peterson, E.R.; Gattis, S.C. Process for Liquid Phase Hydrogenation. U.S. Patent 8410015B2, 4 December 2013. [Google Scholar]
- Smirnova, N.S.; Shlyapin, D.A.; Shitova, N.B.; Kochubey, D.I.; Tsyrul’nikov, P.G. EXAFS Study of Pd/Sibunit and Pd–Ga/Sibunit Catalysts for Liquid-Phase Hydrogenation of Acetylene to Ethylene. J. Mol. Catal. A Chem. 2015, 403, 10–14. [Google Scholar] [CrossRef]
- Pei, G.X.; Liu, X.Y.; Wang, A.; Lee, A.F.; Isaacs, M.A.; Li, L.; Pan, X.; Yang, X.; Wang, X.; Tai, Z.; et al. Ag Alloyed Pd Single-Atom Catalysts for Efficient Selective Hydrogenation of Acetylene to Ethylene in Excess Ethylene. ACS Catal. 2015, 5, 3717–3725. [Google Scholar] [CrossRef]
- Komeili, S.; Ravanchi, M.T.; Taeb, A. The Influence of Alumina Phases on the Performance of the Pd-Ag/Al2O3 Catalyst in Tail-End Selective Hydrogenation of Acetylene. Appl. Catal. A Gen. 2015, 502, 287–296. [Google Scholar] [CrossRef]
- Zhou, H.; Yang, X.; Li, L.; Liu, X.; Huang, Y.; Pan, X.; Wang, A.; Li, J.; Zhang, T. PdZn Intermetallic Nanostructure with Pd–Zn–Pd Ensembles for Highly Active and Chemoselective Semi-Hydrogenation of Acetylene. ACS Catal. 2016, 6, 1054–1061. [Google Scholar] [CrossRef]
- Glyzdova, D.V.; Smirnova, N.S.; Temerev, V.L.; Khramov, E.V.; Gulyaeva, T.I.; Trenikhin, M.V.; Shlyapin, D.A.; Tsyrul’nikov, P.G. Study of the Influence Exerted by Zinc Additive on the Structure and Catalytic Properties of Pd/Al2O3 Catalysts for Liquid-Phase Hydrogenation of Acetylene. Russ. J. Appl. Chem. 2017, 90, 1908–1917. [Google Scholar] [CrossRef]
- Stakheev, A.Y.; Smirnova, N.S.; Krivoruchenko, D.S.; Baeva, G.N.; Mashkovsky, I.S.; Yakushev, I.A.; Vargaftik, M.N. Single-Atom Pd Sites on the Surface of Pd–In Nanoparticles Supported on γ-Al2O3: A CO-DRIFTS Study. Mendeleev Commun. 2017, 27, 515–517. [Google Scholar] [CrossRef]
- Ma, R.; Yang, T.; Sun, J.; He, Y.; Feng, J.; Miller, J.T.; Li, D. Nanoscale Surface Engineering of PdCo/Al2O3 Catalyst via Segregation for Efficient Purification of Ethene Feedstock. Chem. Eng. Sci. 2019, 210, 115216. [Google Scholar] [CrossRef]
- Melnikov, D.; Stytsenko, V.; Saveleva, E.; Kotelev, M.; Lyubimenko, V.; Ivanov, E.; Glotov, A.; Vinokurov, V. Selective Hydrogenation of Acetylene over Pd-Mn/Al2O3 Catalysts. Catalysts 2020, 10, 624. [Google Scholar] [CrossRef]
- Guan, Z.; Xue, M.; Li, Z.; Zhang, R.; Wang, B. C2H2 Semi-Hydrogenation over the Supported Pd and Cu Catalysts: The Effects of the Support Types, Properties and Metal-Support Interaction on C2H4 Selectivity and Activity. Appl. Surf. Sci. 2020, 503, 144142. [Google Scholar] [CrossRef]
- Wang, Q.; Zhao, J.; Xu, L.; Yu, L.; Yao, Z.; Lan, G.; Guo, L.; Zhao, J.; Lu, C.; Pan, Z.; et al. Tuning Electronic Structure of Palladium from Wheat Flour-Derived N-Doped Mesoporous Carbon for Efficient Selective Hydrogenation of Acetylene. Appl. Surf. Sci. 2021, 562, 150141. [Google Scholar] [CrossRef]
- Huang, C.; Zhang, H.; Zhao, Y.; Chen, S.; Liu, Z. Diatomite-Supported Pd-M (M=Cu, Co, Ni) Bimetal Nanocatalysts for Selective Hydrogenation of Long-Chain Aliphatic Esters. J. Colloid Interface Sci. 2012, 386, 60–65. [Google Scholar] [CrossRef] [PubMed]
- Yoshii, T.; Nakatsuka, K.; Kuwahara, Y.; Mori, K.; Yamashita, H. Synthesis of Carbon-Supported Pd-Co Bimetallic Catalysts Templated by Co Nanoparticles Using the Galvanic Replacement Method for Selective Hydrogenation. RSC Adv. 2017, 7, 22294–22300. [Google Scholar] [CrossRef]
- L’Argentière, P.C.; Fígoli, N.S. Pd-W and Pd-Co Bimetallic Catalysts’ Sulfur Resistance for Selective Hydrogenation. Ind. Eng. Chem. Res. 1997, 36, 2543–2546. [Google Scholar] [CrossRef]
- Li, X.; Zhu, X.; Ren, Z.; Si, X.; Lu, R.; Lu, F. Cellulose Nanocrystal-Supported Pd-Co Bimetallic Catalyst for Selective Hydrogenation of 3-Nitrostyrene. ChemNanoMat 2022, 8, e202200059. [Google Scholar] [CrossRef]
- Jain, R.; Gopinath, C.S. New Strategy toward a Dual Functional Nanocatalyst at Ambient Conditions: Influence of the Pd-Co Interface in the Catalytic Activity of Pd@Co Core-Shell Nanoparticles. ACS Appl. Mater. Interfaces 2018, 10, 41268–41278. [Google Scholar] [CrossRef]
- Menezes, W.G.; Altmann, L.; Zielasek, V.; Thiel, K.; Bäumer, M. Bimetallic Co-Pd Catalysts: Study of Preparation Methods and Their Influence on the Selective Hydrogenation of Acetylene. J. Catal. 2013, 300, 125–135. [Google Scholar] [CrossRef]
- Dabiri, M.; Vajargahy, M.P. PdCo Bimetallic Nanoparticles Supported on Three-Dimensional Graphene as a Highly Active Catalyst for Sonogashira Cross-Coupling Reaction. Appl. Organomet. Chem. 2017, 31, e3594. [Google Scholar] [CrossRef]
- Krawczyk, M.; Sobczak, J.W. Surface Characterisation of Cobalt-Palladium Alloys. Appl. Surf. Sci. 2004, 235, 49–52. [Google Scholar] [CrossRef]
- Ellner, M. Partial Atomic Volume and Partial Molar Enthalpy of Formation of the 3D Metals in the Palladium-Based Solid Solutions. Metall. Mater. Trans. A 2004, 35A, 63–70. [Google Scholar] [CrossRef]
- Benavidez, A.D.; Burton, P.D.; Nogales, J.L.; Jenkins, A.R.; Ivanov, S.A.; Miller, J.T.; Karim, A.M.; Datye, A.K. Improved Selectivity of Carbon-Supported Palladium Catalysts for the Hydrogenation of Acetylene in Excess Ethylene. Appl. Catal. A Gen. 2014, 482, 108–115. [Google Scholar] [CrossRef]
- Yermakov, Y.I.; Surovikin, V.F.; Plaksin, G.V.; Semikolenov, V.A.; Likholobov, V.A.; Chuvilin, L.V.; Bogdanov, S.V. New Carbon Material as Support for Catalysts. React. Kinet. Catal. Lett. 1987, 33, 435–440. [Google Scholar] [CrossRef]
- Romanenko, A.V.; Voropaev, I.N.; Abdullina, R.M.; Chumachenko, V.A. Development of Palladium Catalysts on Carbon Supports from the Sibunit Family for Vegetable Oil Hydrogenation Processes. Solid Fuel Chem. 2014, 48, 356–363. [Google Scholar] [CrossRef]
- Simakova, I.L.; Simakova, O.A.; Romanenko, A.V.; Murzin, D.Y. Hydrogenation of Vegetable Oils over Pd on Nanocomposite Carbon Catalysts. Ind. Eng. Chem. Res. 2008, 47, 7219–7225. [Google Scholar] [CrossRef]
- Glyzdova, D.V.; Vedyagin, A.A.; Tsapina, A.M.; Kaichev, V.V.; Trigub, A.L.; Trenikhin, M.V.; Shlyapin, D.A.; Tsyrulnikov, P.G.; Lavrenov, A.V. A Study on Structural Features of Bimetallic Pd-M/C (M: Zn, Ga, Ag) Catalysts for Liquid-Phase Selective Hydrogenation of Acetylene. Appl. Catal. A Gen. 2018, 563, 18–27. [Google Scholar] [CrossRef]
- Glyzdova, D.V.; Afonasenko, T.N.; Khramov, E.V.; Leont’eva, N.N.; Prosvirin, I.P.; Bukhtiyarov, A.V.; Shlyapin, D.A. Liquid-Phase Acetylene Hydrogenation over Ag-Modified Pd/Sibunit Catalysts: Effect of Pd to Ag Molar Ratio. Appl. Catal. A Gen. 2020, 600, 117627. [Google Scholar] [CrossRef]
- Glyzdova, D.V.; Afonasenko, T.N.; Khramov, E.V.; Leont’eva, N.N.; Trenikhin, M.V.; Kremneva, A.M.; Shlyapin, D.A. Effect of Pretreatment with Hydrogen on the Structure and Properties of Carbon-Supported Pd-Ag-Nanoalloys for Ethylene Production by Acetylene Hydrogenation. Mol. Catal. 2021, 511, 111717. [Google Scholar] [CrossRef]
- Glyzdova, D.V.; Afonasenko, T.N.; Khramov, E.V.; Leont’eva, N.N.; Trenikhin, M.V.; Prosvirin, I.P.; Bukhtiyarov, A.V.; Shlyapin, D.A. Zinc Addition Influence on the Properties of Pd/Sibunit Catalyst in Selective Acetylene Hydrogenation. Top. Catal. 2020, 63, 139–151. [Google Scholar] [CrossRef]
- Glyzdova, D.V.; Afonasenko, T.N.; Khramov, E.V.; Trenikhin, M.V.; Prosvirin, I.P.; Shlyapin, D.A. Effect of Reductive Treatment Duration on the Structure and Properties of Pd−Zn/C Catalysts for Liquid-Phase Acetylene Hydrogenation. ChemCatChem 2022, 14, e202200893. [Google Scholar] [CrossRef]
- Chesnokov, V.V.; Chichkan, A.S.; Ismagilov, Z.R. Properties of Pd–Ag/C Catalysts in the Reaction of Selective Hydrogenation of Acetylene. Kinet. Catal. 2017, 58, 649–654. [Google Scholar] [CrossRef]
- Sarkany, A.; Weiss, A.H.; Guczi, L. Structure Sensitivity of Acetylene-Ethylene Hydrogenation over Pd Catalysts. J. Catal. 1986, 98, 550–553. [Google Scholar] [CrossRef]
- Ruta, M.; Semagina, N.; Kiwi-Minsker, L. Monodispersed Pd Nanoparticles for Acetylene Selective Hydrogenation: Particle Size and Support Effects. J. Phys. Chem. C 2008, 112, 13635–13641. [Google Scholar] [CrossRef]
- Hou, R.; Wang, T.; Lan, X. Enhanced Selectivity in the Hydrogenation of Acetylene Due to the Addition of a Liquid Phase as a Selective Solvent. Ind. Eng. Chem. Res. 2013, 52, 13305–13312. [Google Scholar] [CrossRef]
- Glyzdova, D.V.; Afonasenko, T.N.; Temerev, V.L.; Shlyapin, D.A. Acetylene Hydrogenation on Pd–Zn/Sibunit Catalyst: Effect of Solvent and Carbon Monoxide. Pet. Chem. 2021, 61, 490–497. [Google Scholar] [CrossRef]
- Klokov, S.V.; Lokteva, E.S.; Golubina, E.V.; Maslakov, K.I.; Isaikina, O.Y.; Trenikhin, M.V. Carbon-Supported Palladium–Cobalt Catalysts in Chlorobenzene Hydrodechlorination. Russ. J. Phys. Chem. A 2019, 93, 1986–2002. [Google Scholar] [CrossRef]
- Kittiruangrayab, S.; Burakorn, T.; Jongsomjit, B.; Praserthdam, P. Characterization of Cobalt Dispersed on Various Micro- and Nanoscale Silica and Zirconia Supports. Catal. Lett. 2008, 124, 376–383. [Google Scholar] [CrossRef]
- Oh, J.H.; Bae, J.W.; Park, S.J.; Khanna, P.K.; Jun, K.W. Slurry-Phase Fischer-Tropsch Synthesis Using Co/γ-Al2O3, Co/SiO2 and Co/TiO2: Effect of Support on Catalyst Aggregation. Catal. Lett. 2009, 130, 403–409. [Google Scholar] [CrossRef]
- Yang, F.; Mao, J.; Li, S.; Yin, J.; Zhou, J.; Liu, W. Cobalt-Graphene Nanomaterial as an Efficient Catalyst for Selective Hydrogenation of 5-Hydroxymethylfurfural into 2,5-Dimethylfuran. Catal. Sci. Technol. 2019, 9, 1329–1333. [Google Scholar] [CrossRef]
- Glyzdova, D.V.; Khramov, E.V.; Smirnova, N.S.; Prosvirin, I.P.; Bukhtiyarov, A.V.; Trenikhin, M.V.; Gulyaeva, T.I.; Vedyagin, A.A.; Shlyapin, D.A.; Lavrenov, A.V. Study on the Active Phase Formation of Pd-Zn/Sibunit Catalysts during the Thermal Treatment in Hydrogen. Appl. Surf. Sci. 2019, 483, 730–741. [Google Scholar] [CrossRef]
- Eswaramoorthi, I.; Dalai, A.K. A Comparative Study on the Performance of Mesoporous SBA-15 Supported Pd–Zn Catalysts in Partial Oxidation and Steam Reforming of Methanol for Hydrogen Production. Int. J. Hydrogen Energy 2009, 34, 2580–2590. [Google Scholar] [CrossRef]
- Fagherazzi, G.; Benedetti, A.; Polizzi, S.; Di Mario, A.; Pinna, F.; Signoretto, M.; Pernicone, N. Structural Investigation on the Stoichiometry of β-PdHx in Pd/SiO2 Catalysts as a Function of Metal Dispersion. Catal. Lett. 1995, 32, 293–303. [Google Scholar] [CrossRef]
- Fukumuro, N.; Fukai, Y.; Sugimoto, H.; Ishii, Y.; Saitoh, H.; Yae, S. Superstoichiometric Hydride PdHx ≤ 2 Formed by Electrochemical Synthesis: Dissolution as Molecular H2 Proposed. J. Alloys Compd. 2020, 825, 153830. [Google Scholar] [CrossRef]
- Artemev, E.M.; Buzmakov, A.E.; Tsikalov, V.S.; Yakimov, L.E. Magnetic Properties and Phase Composition of Thin Films of Co-Pd Alloys. Izv. Ross. Akad. Nauk. Seriya Fiz. 2016, 80, 1567–1569. [Google Scholar] [CrossRef]
- Denton, A.R.; Ashcroft, N.W. Vegards Law. Phys. Rev. A 1991, 43, 3161–3164. [Google Scholar] [CrossRef]
- Afonasenko, T.N.; Temerev, V.L.; Glyzdova, D.V.; Leont’eva, N.N.; Trenikhin, M.V.; Prosvirin, I.P.; Shlyapin, D.A. The Nature of Modifying Effect of Gallium on Pd-Ga/Al2O3 Catalyst for Liquid-Phase Selective Acetylene Hydrogenation. Mater. Lett. 2021, 305, 130843. [Google Scholar] [CrossRef]
- Choi, S.; Oh, M. Well-Arranged and Confined Incorporation of PdCo Nanoparticles within a Hollow and Porous Metal-Organic Framework for Superior Catalytic Activity. Angew. Chem. 2019, 131, 876–881. [Google Scholar] [CrossRef]
- Du, L.; Feng, D.; Xing, X.; Fu, Y.; Fonseca, L.F.; Yang, D. Palladium/Cobalt Nanowires with Improved Hydrogen Sensing Stability at Ultra-Low Temperatures. Nanoscale 2019, 11, 21074–21080. [Google Scholar] [CrossRef]
- Wells, A.F. Structural Inorganic Chemistry; Clarendon Press: Oxford, UK, 1984. [Google Scholar]
- Zhu, L.; Yang, Z.; Zheng, J.; Hu, W.; Zhang, N.; Li, Y.; Zhong, C.J.; Ye, H.; Chen, B.H. Decoration of Co/Co3O4 Nanoparticles with Ru Nanoclusters: A New Strategy for Design of Highly Active Hydrogenation. J. Mater. Chem. A 2015, 3, 11716–11719. [Google Scholar] [CrossRef]
- Tang, C.; Feng, Z.; Bai, X. Magnetic N-Doped Partially Graphitized Carbon-Loaded Pd-Co Alloy Nanoparticles for Efficient Hydrogen Production. Colloids Surf. A Physicochem. Eng. Asp. 2022, 648, 129348. [Google Scholar] [CrossRef]
- Maheswari, S.; Karthikeyan, S.; Murugan, P.; Sridhar, P.; Pitchumani, S. Carbon-Supported Pd-Co as Cathode Catalyst for APEMFCs and Validation by DFT. Phys. Chem. Chem. Phys. 2012, 14, 9683–9695. [Google Scholar] [CrossRef] [PubMed]
- Matolinova, I.; Fabik, S.; Masek, K.; Sedlacek, L.; Skala, T.; Veltruska, K.; Matolin, V. Influence of Pd–Co bimetallic interaction on CO adsorption properties of PdxCo1−x alloys: XPS, TPD and static SIMS studies. Vacuum 2003, 71, 41–45. [Google Scholar] [CrossRef]
- Xue, H.; Tang, J.; Gong, H.; Guo, H.; Fan, X.; Wang, T.; He, J.; Yamauchi, Y. Fabrication of PdCo Bimetallic Nanoparticles Anchored on Three-Dimensional Ordered N-Doped Porous Carbon as an Efficient Catalyst for Oxygen Reduction Reaction. ACS Appl. Mater. Interfaces 2016, 8, 20766–20771. [Google Scholar] [CrossRef] [PubMed]
- Li, T.; Wang, R.; Yang, M.; Zhao, S.; Li, Z.; Miao, J.; Da Gao, Z.; Gao, Y.; Song, Y.Y. Tuning the Surface Segregation Composition of a PdCo Alloy by the Atmosphere for Increasing Electrocatalytic Activity. Sustain. Energy Fuels 2019, 4, 380–386. [Google Scholar] [CrossRef]
- Kohiki, S.; Ikeda, S. Photoemission from Small Palladium Clusters Supported on Various Substrates. Phys. Rev. B 1986, 34, 3786–3797. [Google Scholar] [CrossRef]
- Taran, O.P.; Descorme, C.; Polyanskaya, E.M.; Ayusheev, A.B.; Besson, M.; Parmon, V.N. Sibunit-Based Catalytic Materials for the Deep Oxidation of Organic Ecotoxicants in Aqueous Solutions. III: Wet Air Oxidation of Phenol over Oxidized Carbon and Rr/C Catalysts. Catal. Ind. 2013, 5, 164–174. [Google Scholar] [CrossRef]
- Gates-Rector, S.; Blanton, T. The Powder Diffraction File: A Quality Materials Characterization Database. Powder Diffr. 2019, 34, 352–360. [Google Scholar] [CrossRef]
- Lutterotti, L. Total Pattern Fitting for the Combined Size-Strain-Stress-Texture Determination in Thin Film Diffraction. Nucl. Instrum. Methods Phys. Res. Sect. B Beam Interact. Mater. At. 2010, 268, 334–340. [Google Scholar] [CrossRef]
- Scofield, J.H. Hartree-Slater Subshell Photoionization Cross-Sections at 1254 and 1487 EV. J. Electron Spectrosc. Relat. Phenom. 1976, 8, 129–137. [Google Scholar] [CrossRef]








| Catalyst | Phases | wt.% | Lattice Parameter a, Å | Crystallite Size **, nm |
|---|---|---|---|---|
| Pd/C | PdH, Fm(-)3m | 100 | 4.0271(3) | 9.3 |
| Pd-Co(1:0.5)/C | PdCo *, Fm(-)3m | 100 | 3.842(1) | 2.5 |
| Pd-Co(1:1)/C | PdCo, Fm(-)3m | 100 | 3.798(1) | 2.5 |
| Pd-Co(1:2)/C | PdCo, Fm(-)3m α-Co, Fm(-)3m β-Co, P63/mmc | 71 20 9 | 3.744(2) 3.549 a 2.514, c 4.105 | 2.5 3.7 6.3 |
| Pd-Co(1:4)/C | PdCo, Fm(-)3m α-Co, Fm(-)3m β-Co, P63/mmc | 79 12 9 | 3.739(2) 3.549(1) a 2.514, c 4.105 | 2.5 13.6 10.1 |
| Catalyst | Pd/C | Co/C | (Pd + Co)/C | Co/Pd |
|---|---|---|---|---|
| Co/C | 0 | 0.002 | 0.002 | – |
| Pd/C | 0.001 | 0 | 0.001 | 0 |
| Pd-Co(1:0.5)/C | 0.001 | 0.001 | 0.002 | 0.47 |
| Pd-Co(1:1)/C | 0.001 | 0.001 | 0.003 | 0.93 |
| Pd-Co(1:2)/C | 0.001 | 0.002 | 0.003 | 1.89 |
| Pd-Co(1:4)/C | 0.001 | 0.004 | 0.005 | 3.87 |
Disclaimer/Publisher’s Note: The statements, opinions and data contained in all publications are solely those of the individual author(s) and contributor(s) and not of MDPI and/or the editor(s). MDPI and/or the editor(s) disclaim responsibility for any injury to people or property resulting from any ideas, methods, instructions or products referred to in the content. |
© 2023 by the authors. Licensee MDPI, Basel, Switzerland. This article is an open access article distributed under the terms and conditions of the Creative Commons Attribution (CC BY) license (https://creativecommons.org/licenses/by/4.0/).
Share and Cite
Yurpalova, D.V.; Afonasenko, T.N.; Prosvirin, I.P.; Bukhtiyarov, A.V.; Panafidin, M.A.; Vinokurov, Z.S.; Trenikhin, M.V.; Gerasimov, E.Y.; Gulyaeva, T.I.; Kovtunova, L.M.; et al. Selective Hydrogenation of Acetylene over Pd-Co/C Catalysts: The Modifying Effect of Cobalt. Catalysts 2023, 13, 739. https://doi.org/10.3390/catal13040739
Yurpalova DV, Afonasenko TN, Prosvirin IP, Bukhtiyarov AV, Panafidin MA, Vinokurov ZS, Trenikhin MV, Gerasimov EY, Gulyaeva TI, Kovtunova LM, et al. Selective Hydrogenation of Acetylene over Pd-Co/C Catalysts: The Modifying Effect of Cobalt. Catalysts. 2023; 13(4):739. https://doi.org/10.3390/catal13040739
Chicago/Turabian StyleYurpalova, Daria V., Tatyana N. Afonasenko, Igor P. Prosvirin, Andrey V. Bukhtiyarov, Maxim A. Panafidin, Zakhar S. Vinokurov, Mikhail V. Trenikhin, Evgeny Yu. Gerasimov, Tatyana I. Gulyaeva, Larisa M. Kovtunova, and et al. 2023. "Selective Hydrogenation of Acetylene over Pd-Co/C Catalysts: The Modifying Effect of Cobalt" Catalysts 13, no. 4: 739. https://doi.org/10.3390/catal13040739
APA StyleYurpalova, D. V., Afonasenko, T. N., Prosvirin, I. P., Bukhtiyarov, A. V., Panafidin, M. A., Vinokurov, Z. S., Trenikhin, M. V., Gerasimov, E. Y., Gulyaeva, T. I., Kovtunova, L. M., & Shlyapin, D. A. (2023). Selective Hydrogenation of Acetylene over Pd-Co/C Catalysts: The Modifying Effect of Cobalt. Catalysts, 13(4), 739. https://doi.org/10.3390/catal13040739

