Abstract
With the rapid development of industry and the increasing demand for transportation, traditional sources of energy have been excessively consumed. Biodiesel as an alternative energy source has become a research focus. The most common method for biodiesel production is transesterification, in which lipid and low carbon alcohol are commonly used as raw materials, in the presence of a catalyst. In the process of transesterification, the performance of the catalyst is the key factor of the biodiesel yield. This paper reviews the recent research progress on homogeneous and heterogeneous catalysts in biodiesel production. The advantages and disadvantages of current homogeneous acid catalysts and homogeneous base catalysts are discussed, and heteropolyacid heterogeneous catalysts and biomass-derived base catalysts are described. The applications of the homogeneous and heterogeneous catalyst derivatives ionic liquids/deep eutectic solvents and nanocatalysts/magnetic catalysts in biodiesel production are reviewed. The mechanism and economic cost of current homogeneous acid catalysts and homogeneous base catalysts are also analyzed. The unique advantages of each type of catalyst are compared to better understand the microscopic details behind biodiesel. Finally, some challenges of current biodiesel catalysts are summarized, and future research directions are presented. This review will provide general and in-depth knowledge on the achievements, directions, and research priorities in developing novel homogeneous/heterogeneous catalysts for the green and cost-effective production of biodiesel.
1. Introduction
Energy has always been considered a key source of sustaining the economic growth of any country, and fossil fuels such as coal, natural gas, and crude oil have been contributing as major sources for the fulfilment of this energy need. With the rapid expansion of industrialization and urbanization, by 2035, total world energy consumption is predicted to increase by 33% [1,2,3]. However, the depletion of these non-renewable resources, as well as their direct role in environmental problems such as global warming, has steered the wheel of desire to move towards an alternative way of conserving and utilizing energy [4,5,6]. The world’s attention has been drawn towards a more sustainable and eco-friendly strategy to produce renewable sources [7]. The aim is to produce non-toxic and biodegradable supplements which provide an ecologically friendly and cleaner strategy to overcome both environmental and economic barriers [8]. One of the most preferred renewable sources of energy in today’s era is “biofuel”. Among “biofuels”, biodiesel is one of the non-toxic, biodegradable, and renewable sources of energy. As shown in Figure 1, the share of biodiesel production in various countries in the world has been calculated [9]. In 2021, the annual production of biodiesel based on vegetable oil and animal oil reached 8.3 billion gallons, and the production is increasing with the passage of time. According to the stats released by the OECD-FAO, it is anticipated that 40% of the growth of total world energy consumption would be harvested from renewable sources of energy by 2035 [10], and biofuels will account for 27% of the global liquid fuel supply. Biodiesel is derived from various feedstocks, namely plant oils, fats derived from animals, and other sources. Biodiesel is produced through a very important process known as “transesterification or alcoholysis”, which incorporates a reaction of oil or fats with short alcoholic chains assisted by a catalyst [11,12]. A great advantage of biodiesel over petroleum fossil fuel is that it has less harmful gas emissions, such as carbon monoxide, sulfur dioxide, and aromatic hydrocarbons; can be easily used with fossil diesel by blending at any required ratio; and also requires zero modification to be used in general diesel engines [13,14]. Moreover, biodiesel has higher lubricity than petroleum diesel due to its lack of sulfur, thus enhancing engine longevity [15]. Thereby, biodiesel is an important energy source that can efficiently replace the conventional and inferior modes of fossil-based diesel engines or fuels.
Figure 1.
World biodiesel production, 2021 (percentage refers to production share of countries in the base period). Data adapted from [9], open access journal of Sustainability, 2021.
The most common method for biodiesel production is transesterification, in which lipid and low carbon alcohol are commonly used as raw materials, in the presence of a catalyst [16,17,18]. The “transesterification or alcoholysis” process has been designated as the typical process by which the triglycerides are reacted with typical methanol/alcohol in the presence of a catalyst that can be either heterogeneous or homogeneous to produce fatty acid alkyl esters (FAME) [19] (Figure 2). The component of biodiesel obtained by transesterification is close to that of traditional diesel. It is widely used for its advantages of mild reaction conditions and less by-products than in the preparation of biodiesel. In the process of transesterification, the efficiency is mainly affected by several factors including the quality of feedstock and the type of reactions, where the performance of the catalyst is the key factor of the biodiesel yield [20,21,22]. Catalysts used in biodiesel production are classified as homogeneous catalysts, heterogeneous catalysts, and enzymatic catalysts [5,23]. The incorporation of a catalysis-based transesterification reaction generally increases the rate of reaction and enhances the yield of the product. There are various categories related to the progress in research in finding out catalytic methods that provide an easy, efficient, and specific pathway for biodiesel production.
Figure 2.
Biofuel production, its utilization as multiple energy sources, and the associated biomass resources.
The transesterification process can be directed through a heterogenous mode or homogeneous mode. The homogeneous catalysis process is initiated through faster reactions and lower loading processes when compared to the heterogenous mode of production. The major disadvantage of using the homogeneous mode of biodiesel production is related to the inefficiency in reusing it, thus providing a non-economical medium of production analysis. The heterogeneous catalysis process has the ability of converting the biodiesel with significantly lower amounts of fatty acids and water composition, thus providing higher selectivity, activity, and water adaptability due to the availability of various active sites [24,25]. Moreover, it is gaining much attention in today’s era in terms of providing an efficient method for reusability and specificity in recovering high purity glycerin. However, some glitches still exist in the pathway relating to leaching related to active sites, deposition problems associated with reaction mixtures, and related applicability [26,27].
Various reviews about biodiesel catalysts have already been published, especially on heterogeneous catalysts and homogeneous catalysts. As shown in Table 1, some review articles on biodiesel catalysts have been produced in recent years. Witnessing the importance of biodiesel catalysts, the novelty aspect of this paper is to review the research work on the various catalysts used in biodiesel production produced to date by many researchers. In addition to discussing the advantages and disadvantages of current homogeneous catalysts and heterogeneous catalysts, heteropolyacid (HPA) catalysts and biomass-derived base catalysts are introduced. The applications of the homogeneous and heterogeneous catalyst derivatives ionic liquids (ILs)/deep eutectic solvents (DESs) and nanocatalysts/magnetic catalysts in biodiesel production are reviewed. The mechanism and economic cost of current homogeneous acid catalysts and homogeneous base catalysts are also analyzed. The unique advantages of each catalyst are compared in order to better understand the microscopic details behind biodiesel. Finally, the current problems of biodiesel catalysts and the research outlook are summarized.
Table 1.
Statistics of review articles on biodiesel catalysts in the last decade.
2. Homogeneous Catalysts for Biodiesel Production
Homogeneous catalysts function in the same phase (whether they are in liquid or gaseous form) as the reactants. Ideally, the homogeneous catalyst is dissolved in a solvent along with the substrate, which can be either an acid or a base. Homogeneous acid and base catalysts such as sulfuric acid (H2SO4), hydrochloric acid (HCl), sodium hydroxide (NaOH), and potassium hydroxide (KOH) are the most common homogeneous catalysts used in esterification and transesterification reactions [50,51]. The preferred catalysts used for the production of biodiesel are homogeneous catalysts, as they are simple to use and require less time to achieve a complete reaction. Therefore, homogeneous catalysts are currently the most widely used catalysts in industry. Table 2 shows the homogenous catalysts currently used for biodiesel production along with the yield and reaction conditions. It can be seen that homogeneous catalysts cannot be reused or regenerated, which is one of their major disadvantages. The separation of a homogeneous catalyst from products is difficult [52]. Homogeneous catalysts are partially miscible in biodiesel and miscible in glycerol, which results in problems of product separation from the reactant mixture. This requires more equipment to separate and results in a higher production cost [11,53]. In addition, the biodiesel yield of homogeneous acid catalysts will be a little higher compared to homogeneous base catalysts, but the homogeneous acid catalysts have problems such as the necessity for washing the products for catalyst removal and equipment corrosion. The poor yield of biodiesel prepared by homogeneous base catalysts is due to problems such as saponification. Excessive soap in the products can drastically reduce the FAME yield and inhibit the subsequent purification process of biodiesel, including glycerol separation and water washing.
Table 2.
Homogenous catalysts used for biodiesel production along with the yield and reaction conditions.
2.1. The Mechanism of Homogeneous Catalysts
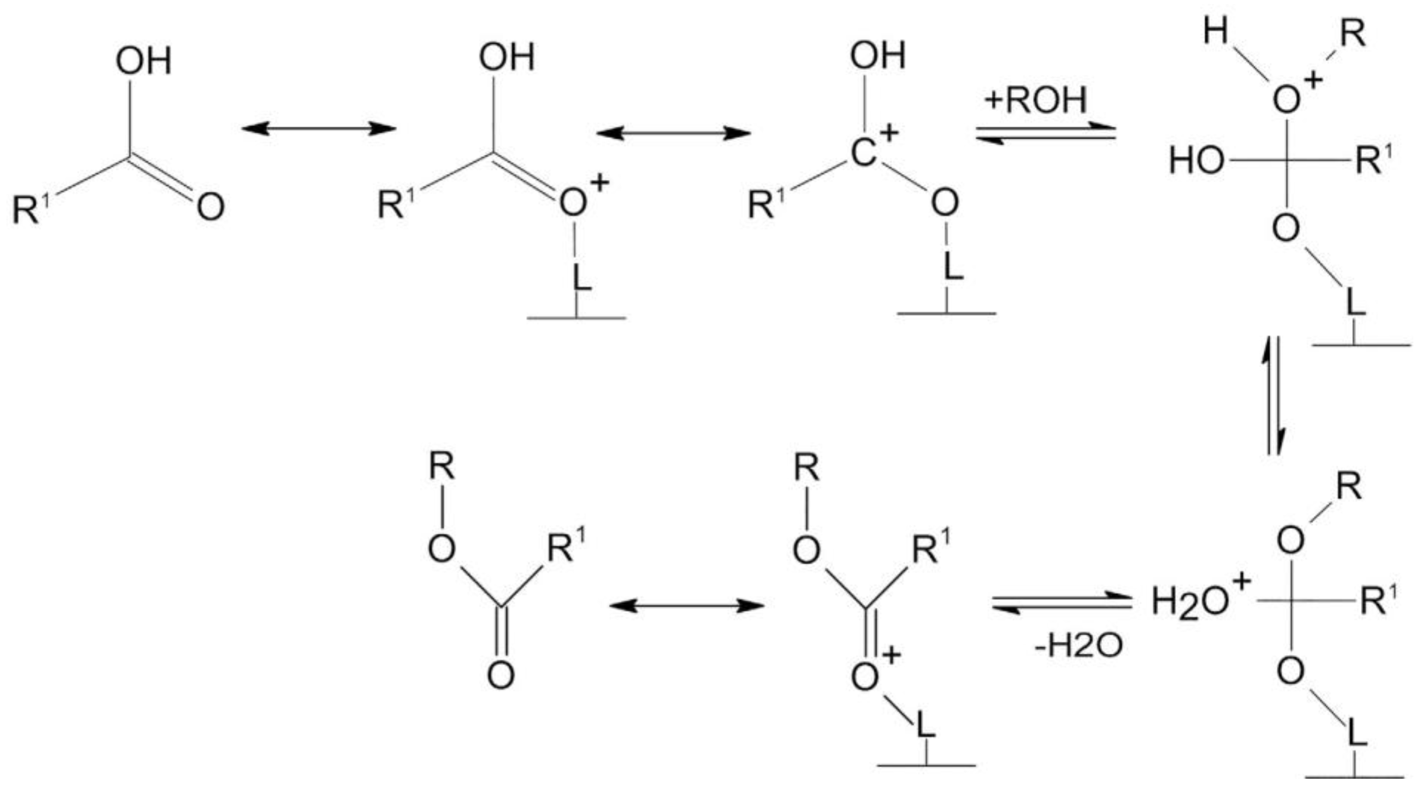
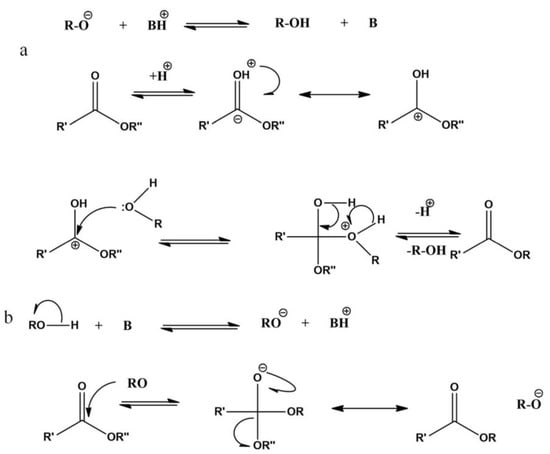
Homogeneous catalysis generally employs acid and base catalysts in liquid phases. The overall schematics showing the mechanism of homogeneous catalysis for biodiesel synthesis is shown Figure 3. In acid catalysts, both the Brønsted-type acid sites and Lewis-type acid sites could catalyze the FFA esterification. Figure 3a shows the generalized mechanism of homogeneous acid-catalyzed esterification for biodiesel synthesis, in which protonation of the acid group gives an oxonium ion that is readily attacked by an alcohol through an exchange reaction, accordingly generating the corresponding ester after losing a proton [69]. The reaction mechanism starts with the formation of cations, and alcohol acts as a nucleophile in the carbocation. In base catalysis, the protonation of the carbonyl group of the triglycerides occurs followed by an attack of the protonated carbon by the alcohol to form a tetrahedral intermediate (Figure 3b). The most important aspect of a homogeneous base-catalyzed reaction is the production of a nucleophilic alkoxide from the alcohol, which is used to attack the electrophilic portion of the triglyceride’s carbonyl group [70]. This tetrahedral is further broken down into a diglyceride ion and a fatty acid ester. Finally, the catalyst is recovered through proton transfer. It is worth noting that the homogeneous catalyst will eventually dissolve in the reaction mixture of ester and glycerol to undergo saponification and hydrolysis reactions, thus affecting the process cost and the final yield of the product. Figure 4 and Figure 5 show the reaction mechanism of the saponification and hydrolysis reactions [71]. The saponification reaction will prevent the release of glycerol from the alkyl ester layer [72]. Hydrolysis reactions produce wastewater leading to pollution and contamination of the surrounding environment.
Figure 3.
Chemical reactions of (a) acid-catalyzed transesterification reaction pathways and (b) base-catalyzed transesterification. Data adapted from [73], open access journal of catalysts, 2021.
Figure 4.
Hydrolysis reaction mechanism. Data adapted from [71], published by Elsevier, 2022.
Figure 5.
Saponification reaction mechanism. Data adapted from [71], published by Elsevier, 2022.
2.2. Homogeneous acid Catalysts
Acid catalysts have a better tolerance level in processing waste oils for biodiesel production than base catalysts. In two-step transesterification processes, acid is preferred as a catalyst first followed by a base for better results, especially when using organic substrates. Homogeneous acid catalysts can be used to synthesize biodiesel from renewable feedstocks such as animal fat, grease, and waste cooking oil [28]. The kinetics of the homogeneous phase catalyzed ester exchange reaction of soybeans was thoroughly studied by Nogales-Delgado et al. [74]. As a conclusion, a pseudo-first-order reaction mechanism was applied in all cases, with activation energies of 65.5–66 and 92.3 kj·mol−1 for KOH and CH3C6H4SO3H, respectively, proving the higher activation energy for acid catalysis compared to base catalysis. However, the process of synthesizing biodiesel with acid catalysts has many downsides, including slow reaction times, and it requires increased quantities of methanol. Iram et al. [75] used a raw material with a methanol to vegetable oil molar ratio of 2:1 and produced biodiesel using transesterification. It was found that higher methanol to vegetable oil molar ratios were required to reduce the acidic value of the catalyst used for the transesterification to within its desired limits. In addition to slow reaction times, homogeneous acid catalysts are corrosive, lead to excessive amounts of wastewater, and complex procedures are required to separate the catalyst from the reaction products for reuse [34]. Moreover, they are prone to residual acid, which leads to the production of substandard biodiesel [76]. This has led to the development of heterogeneous acid catalysts for this process.
2.3. Homogeneous Base Catalysts
In industrial-scale biodiesel production, the most common homogeneous base catalysts are usually KOH and NaOH. They have been shown to have high catalytic activity and are traditionally used commercially as low-cost catalysts [77]. Furthermore, homogeneous base catalysts are the most viable catalysts for mass production because the transesterification process using base catalysts is performed under low pressure and temperature conditions, conversion rate is faster in a short period of time, the conversion rate is outstanding with no intermediate steps, and the process is cost effective [27,78]. In fact, it was reported that the rate for a base-catalyzed reaction would be 4000 times faster compared to an acidic catalyst [27]. Chamola et al. [79] used NaOH in the transesterification of dry algae and achieved maximum biodiesel yields of 87.42%. Likewise, Sendekie et al. [80] investigated the conversion of biodiesel from desert date seed kernel oil with a NaOH catalyst using response surface methodology statistical analysis. The results revealed that the homogeneous base catalysis of non-edible oil under optimum reaction conditions (catalyst dosage of 0.79% wt) provides a high biodiesel yield of 93.16%. However, homogeneous base catalyst reactions are highly sensitive to the presence of FFAs and water. The homogeneous base catalysts are extremely hygroscopic and able to absorb water from the air throughout storage. The base homogeneous catalysts also produce water when dissolved in the alcohol reactant and thus affect the yield. Because the hydrolysis of oil leads to FFAs, which eventually react with the base catalyst to produce undesirable soap formation, a high FFA content of oil can form soap, thus affecting the activity of the homogeneous base catalyst and interfering with the biodiesel production and its quality [81,82]. In addition, the soap solution from the neutralization and saponification side reactions can hinder the separation and purification processes and generate large amounts of wastewater, increasing costs [30,83].
2.4. Derived Homogeneous Catalysts: Ionic Liquids/Deep Eutectic Solvents
To overcome the disadvantages of existing biodiesel production processes, novel technologies are emerging. In recent years, a new type of homogeneous catalyst, ILs/DESs, has been derived based on the traditional homogeneous catalyst. ILs are new green solvents composed of inorganic or organic anions and organic cations, usually as salts in the molten state. ILs have several excellent properties, such as super solubility, high conductivity, and high thermochemical stability, as well as tunable solubility for a variety of organic and inorganic compounds, making them widely used in industry [84,85]. As a novel green solvent and catalyst with a designable function, ionic liquid has the advantages of both the homogeneous and heterogeneous catalysts. It has comparable catalytic activity to conventional catalysts and is relatively easier to separate and reuse than conventional homogeneous acid–base catalysts. The use of IL as a catalyst, a cosolvent, or an extracting solvent has recently attracted attention in the field of biodiesel production [86]. Zhang et al. [87] synthesized ILs from N,N-Dimethyl-3-aminophenol, 1,3-propanesultone, and p-Hydroxybenzenesulfonic acid using the quaternization reaction and poly(acidic ionic liquid)s with formaldehyde and investigated the catalytic activity of the synthesized catalysts for the esterification reaction of oleic acid with methanol. The results showed that the ester yield could reach 93.3% under the optimal conditions. Han et al. [88] synthesized eleven ILs with tetraethylammonium (N2222) as the cation, namely [N2222] [AA]s. They were used in the transesterification reaction of soybean oil with methanol, and the results showed that arginine tetraethylammonium ([N2222] [Arg]) had the best catalytic performance and achieved 98.4% biodiesel conversion. Lin et al. [89] prepared seven different multi-SO3H functionalized ILs based on low-cost less-substituted amines and used them as catalysts for the synthesis of biodiesel from the esterification of oleic acid with methanol. The results showed that the conversion of various FFA feedstocks to biodiesel ranged from 93.59 to 94.33% at lower catalyst dosages, demonstrating the valuable potential of ILs to convert low-cost oils and fats into biodiesel.
In order to solve the problems of complex synthesis and the high cost of ILs, some classes of ILs, DESs, have been derived from ILs. DESs usually consist of a hydrogen bond donor (HBD) and a hydrogen bond acceptor (HBA), which are similar to ILs in physical and chemical properties and also have the excellent properties of ILs, such as good solubility, very low vapor pressure, high thermal and chemical stability, inexpensive and simple synthesis (generally only simple mixing is required), etc. In recent years, DES catalysts have also started to be used in biodiesel production. Zhang et al. [90] used allyltriphenylphosphonium bromide:p-TSA in a molar ratio of 1:3 as a catalyst for the conversion of FFA in vegetable oils. The results revealed that the reaction reached equilibrium at an approximate FFA conversion of 90% at optimal conditions of 160 °C, 5 wt% DES loading, and 10 min reaction time. Ranjan et al. [91] used crude glycerol–choline chloride-based DES and NaOH as catalysts for the preparation of biodiesel, using waste cooking oil as the raw material. The results showed that the biodiesel yield was up to 95% at the optimum reaction temperature of 65 °C and reaction time of 90 min. Liu et al. [92] synthesized five types of DES and found that, among them, (TOAB/p-TSOH) DES was the best catalyst for biodiesel production. Under optimal conditions, the FAME yield reached 99.2%. These remarkable advantages provide a broad application prospect for DES in scientific innovation in the field of biodiesel.
3. Heterogeneous Catalysts for Biodiesel Production
Heterogeneous catalysts are generally more suitable for continuous biodiesel reaction processes. Compared with homogeneous-type catalytic transesterification and esterification, heterogeneous catalysts are widely studied due to their high activity, high selectivity, easy separation from the products, and reusability [41]. Several types of solid base catalysts have been utilized for biodiesel production, such as base metal oxide, base metal carbonates or hydro-carbonates, anionic resins, and basic zeolites [43,92]. Table 3 shows the currently heterogeneous catalysts used for biodiesel production along with the yield and reaction conditions. It can be seen that heterogeneously catalyzed transesterification generally requires more severe operating conditions (relatively elevated temperatures and pressures and higher alcohol-to-oil molar ratio), and the performance of the conventional heterogeneous catalysts is generally lower compared to homogeneously catalyzed transesterification [38,93]. However, the biodiesel yield of recently developed heterogeneous catalysts can also reach the level of homogeneous catalysts, and in some cases even exceed it. Moreover, the separation and subsequent purification of the reaction products are relatively simple, and the recoverability of the catalysts is improved because the heterogeneous catalysts do not require water washing in the production of biodiesel, which simplifies the purification of the products [94,95]. Comparing Table 2 and Table 3, it can be seen that the recoverability and reusability of the heterogeneous catalysts are significantly enhanced compared to the homogeneous catalysts. The biodiesel yield and subsequent recycling performance of nanocatalysts/magnetic catalysts are excellent compared to the conventional solid acid–base catalysts. However, the heterogeneous catalysts suffer from catalyst poisoning and leaching. The poisoning problem is particularly pronounced when the catalytic process involves used cooking oils. The more serious problem is catalyst leaching, which increases the operational cost due to the need for catalyst replacement and leads to product contamination.
Table 3.
Heterogeneous catalysts used for biodiesel production along with the yield and reaction conditions.
3.1. The Mechanism of Heterogenous Catalysts
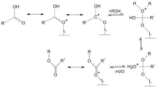
Adsorption is an important step in the transesterification reaction by heterogeneous catalysts. Heterogeneous catalysts have many active sites for the adsorption of the reactant [117]. In general, heterogenous acid catalysts provide positively charged acid sites for the FFA/triglycerides of oil to adsorb to, and the carbonyl oxygen in the FFA/triglycerides interacts with the Lewis acid site (L*) on the catalyst surface to form a carbon positive ion, initiating the transesterification reaction between methanol and the adsorbed triglyceride, as shown in Figure 6. Nucleophiles (methanol) that are formed from the deprotonation of the hydroxyl group attack the electrophilic carbon and undergo a rearrangement step to produce an intermediate that removes water molecules and forms methyl ester. In base heterogeneous catalysis, the basic groups produce negatively charged active sites for methanol adsorption. The adsorption of methanol in the Lewis alkaline sites (B-) of the catalyst forms an alkoxide ion. The combination of alkoxide ions and the alkyl group of oil (triglyceride) along with the alcohol produces a tetrahedral intermediate in the transesterification reaction [71]. Then, this intermediate takes the H+ from the surface basic site, and it is rearranged to form the ester [118]. The heterogeneous base catalyst mechanism is illustrated in Figure 7.
Figure 6.
Heterogeneous acid catalysis reaction mechanism (L, active site). Data adapted from [119], published by John Wiley & Sons, 2021.
Figure 7.
Heterogeneous base catalysts for biodiesel synthesis. Data adapted from [120], published by Elsevier, 2011.
3.2. Heterogenous Acid Catalysts
During the transesterification reaction, the heterogeneous acid catalyst is easy to recover, has a large number of active sites, moderate acidity and hydrophobicity, reduces diffusion problems, and can significantly improve biodiesel yields [121]. Acid sites on heterogeneous acid catalysts can be categorized into two types: Brønsted acid sites and Lewis acid sites. Brønsted acid sites are proton donor-type catalysts, which are favorable for esterification reactions. Lewis acid sites are electron pair acceptor-type catalysts, which are favorable for esterification reactions. Heterogeneous solid acid catalysts with both acid sites are active in both esterification and ester exchange reactions [42,122,123]. Heterogeneous acid catalysts have several advantages: they are reusable, have efficient conversion, and have easy separation and biodiesel filtration processes. The common solid acid catalysts that are used for biodiesel production include sulphated metal oxides, mixed metal oxides, sulphonated solids zeolite, resins, and HPA [124,125]. In addition, the use of heterogeneous acid catalysts is the most suitable when the feedstock contains high FFA and water content, as the catalyst has a high tolerance for both of these compounds [126]. A highly active biomass-based solid acid catalyst (SiO2@Cs-SO3H) was successfully prepared by a sulfonation process using renewable chitosan as a raw material by Zhang et al. [127]. The catalytic activity of SiO2@Cs-SO3H was evaluated using the esterification reaction of oleic acid (OA) and methanol. The results showed that the best experimental yield of biodiesel was 98.2%. Hamayun et al. [128] designed ammonium persulfate (APS) impregnated bentonite heterogeneous catalyst for the conversion of waste cooking oil to biodiesel. The results showed that the prepared catalyst had good catalytic activity for the conversion of high acid value feedstock (WCO) to biodiesel, avoided the formation of soap solution, and could obtain 93% biodiesel yield under mild reaction conditions. A heterogeneous solid acid catalyst was synthesized for the esterification reaction of fatty acid-rich waste chicken fat (CF) from tire polymer waste by Maafa et al. [129]. The FFA composition was reduced to less than 1% under the optimal reaction conditions of 5% TPC-SO3H catalyst, methanol to CF molar ratio of 15:1, and 120 min reaction at 70 °C. Even after three cycles, the conversion efficiency of the catalyst remained above 90%.
Heterogeneous acid catalysis has a lesser toxic effect and gives rise to fewer environmental problems compared to the homogeneous mode. In addition, HPA is a preferred source of heterogeneous catalytic processes. HPA is a metal–oxygen cluster compound composed of oxygen and metal atoms. The special composition structure endows HPA with unique catalytic properties [3]. HPA catalysts have been applied in the field of biodiesel catalysis. Among them, HPA with a Keggin structure is considered as an efficient catalyst for the transesterification reaction due to its water resistance and activity at high FFA content, as well as its high proton mobility and stability [130]. Kurhade et al. [131] investigated the biodiesel synthesis of the catalyst Al2O3 impregnated with 12-tungstophosphoric acid (H3PW12O40·nH2O). With a 10% catalyst loading and a pressure of 4 MPa, optimized conversion of 94.9% was achieved in 10 h. Gaurav et al. [122] also reported a kinetic model for single-step biodiesel production using the solid HPA catalyst HSIW/Al2O3 supported on alumina from a high FFA biodiesel feedstock. According to the findings, oleic acid esterification was the quickest, whereas palmitic acid esterification was the slowest.
3.3. Heterogenous Base Catalysts
Although heterogeneous base catalysts are usually less active than homogeneous base catalysts, they are currently a hot research topic for heterogeneous catalysts because of their potential advantages such as low toxicity, minimal corrosion, simple separation, recyclability, and reusability. Several heterogeneous base catalysts, such as base earth metal oxides, base-doped alumina, hydrotalcite, and base zeolites, have been widely used for biodiesel preparation [13]. Lai et al. [132] synthesized the base heterogeneous M2ZrO2 (with metal, M = Li (lithium), Na (sodium), and K (potassium)) composite catalysts for biodiesel production under transesterification using vegetable oil. It was found that Li2ZrO2 could be used for at least seven biodiesel production cycles without degradation, resulting in a biodiesel yield of 92%. Singh et al. [133] synthesized a bifunctional tin (Sn)-supported calcium oxide (CaO) catalyst using simple a solid-state method and used it for the single-step reaction of waste cooking oil to biodiesel. The results showed that the molar ratio of methanol to oil of 16.15:1, reaction time of 3.42 h, reaction temperature of 85.15 °C, and catalyst concentration of 2.22% relative to oil could achieve 97.39% biodiesel conversion under optimized conditions. Zhang et al. [134] prepared base heterogeneous SrO–CaO Al2O3 catalysts using the hydrothermal method. The best catalyst (0.4–SrO–CaO Al2O3) was screened by varying the mass ratio of SrO to CaO. The results showed that the base heterogeneous 0.4–SrO–CaO Al2O3 catalyst displayed the best performance in the transesterification reaction of palm oil along with methanol to produce biodiesel. The transesterification reaction resulted in a biodiesel yield of 98.17%, with a methanol to palm oil molar ratio of 18:1, a catalyst loading equal to 7.50 wt% of palm oil, a reaction temperature of 65 °C, and a reaction time of 3 h.
In recent years, in order to further reduce the fabrication cost of heterogeneous base catalysts, researchers have started to derive a number of heterogeneous base catalysts using biomass based on the concept of economical and environmentally friendly fabrication. Lin et al. [135] developed a CaO-based heterogeneous catalyst from recycled waste oyster shells and used it for the synthesis of biodiesel by the transesterification reaction of jatropha curcas oil (JCO). The results showed that the conversion of JCO to sustainable biodiesel occurred with a considerable yield of 91.1% under 180 min reaction time, 800 W microwave power, 65 °C reaction temperature, 9:1 methanol to oil ratio (MTOR), and 5 wt% catalyst loading. Chen et al. [136] prepared calcium-loaded activated carbon catalysts by the pyrolysis of peach shell followed by chemical activation with KOH and then calcium loading using the wet impregnation method for the transesterification of waste cooking oil using peach shell as the raw material. The prepared catalysts performed best at a calcium content of 20% and a calcination temperature of 650 °C. The catalyst yield was up to 96% under the optimized conditions of 65 °C, oil to methanol ratio of 1:8, catalyst concentration of 5 wt%, and reaction time of 160 min. The findings of this study lead to an economical and environmentally benign approach to biodiesel production. A novel porous solid base catalyst was prepared from dewatered paper sludge and applied to the preparation of biodiesel from soybean oil by Zhou et al. [137]. The results showed that the biodiesel yield was 91.6%. The prepared catalysts showed high catalytic activity, proving that the multiphase solid base catalyst derived from biomass is an economically feasible and green pathway for the preparation of biodiesel catalysts.
3.4. Derived Heterogenous Catalysts: Nanocatalysts/Magnetic Catalysts
Heterogeneous base catalysts are more sensitive to the FFA content in oil, and heterogeneous acid catalysts have disadvantages such as a high reaction temperature, a high alcohol-to-oil ratio, a lengthy reaction duration, and loss of catalytic activity due to leaching [138]. For these reasons, nanocatalysts have been proposed as an alternative to conventional catalysts. Great progress has been made in the catalytic technology of biodiesel production using nanocatalysts because they have high stability and high surface area. As indicated in Figure 8, nanocatalysts have several advantages. Furthermore, the nanocatalysts are easily removed from the reaction medium and reused in several reaction cycles. Therefore, nanocatalysts are increasingly playing a crucial role in the energy and environmental fields. Multiwall carbon nanocatalyst tube (MWCNT)-supported zinc oxide (ZnO/MWCNT) nanocatalysts were synthesized and reported for biodiesel production from Kesambi (Schleichera oleosa L.) Oil by Asri et al. [139,140]. The results showed that the biodiesel yield was 41.9% under the optimum conditions (catalyst loading of 4 wt%, MeOH:oil ratio of 15:1, temperature of 65 °C, and time of 300 min). Saeedi et al. [141] synthesized a KNZ/ZIF8 complex and used this complex for the transesterification of soybean oil with a methanol-to-oil ratio of 10:1 for 3.5 h. Heterogenous nanocatalysts are advantageous for biodiesel production due to their reusability, generation of minimal waste, and purification ease. Two different nanocatalysts with particle sizes of 50 nm and 20 nm were prepared for the preparation of biodiesel using the wet impregnation method by Ghosh et al. [142]. The catalysts had the maximum basic strength and the best transesterification activity with specific surface areas of 27.06 m2/g and 4.147 m2/g, respectively. It was shown that the FAME yields of biodiesel preparation using the two different nanocatalysts in the transesterification process were 93% and 99%, respectively, under optimal conditions.
Figure 8.
Main advantages of nanocatalysts. Data adapted from [143], published by Elsevier, 2020.
Nanocatalysts have better activity due to their higher specific surface area and smaller mass transfer limitations. However, the separation of nanocatalysts is relatively difficult and the mass loss during the separation process is serious and time and energy consuming, especially for the practical application of high-viscosity reaction mixtures, which has great limitations [49]. The magnetic solid catalysts derived on this basis have become a hot research topic for biodiesel transesterification and esterification reactions in recent years because of their easy separation and minimal mass loss under the action of an applied magnetic field. A magnetic acid–base catalyst (CaO-ZSM-5 zeolite/Fe3O4) was synthesized in waste eggshells and rice husk by Ngadi et al. [144]. It was used to catalyze the production of biodiesel from used cooking oil (UCO) containing high FFA values. The results showed that the addition of the Fe3O4 component made the catalyst magnetic, thus contributing to the improved separation of the catalyst. The catalytic activity of CaO-ZSM-5 zeolite/Fe3O4 showed a high biodiesel yield of 91%. The saturation magnetization value of the CaO-ZSM-5 zeolite/Fe3O4 catalyst was 31.759 emu/g, indicating that due to its ferromagnetic characteristics, the catalyst can be easily recovered by external magnets. Gonçalves et al. [145] prepared a magnetic catalyst, MoO3/SrFe2O4, for the transesterification of waste cooking oil, and the results of their study confirmed the success of the MoO3 anchorage of the SrFe2O4 material. The activity test showed that a biodiesel yield of 95.4% was obtained in 4 h at 164 °C. The MoO3/SrFe2O4 catalyst could be easily separated by a permanent magnet and showed high stability with a yield of 84% after five cycles. A magnetic cotton powder with high dispersion, high porosity, and high magnetic properties was prepared using a co-precipitation method and covered with tetraethyl orthosilicate (TEOS) on the surface of silica to form Cotton/Fe3O4@SiO2 by Matin et al. [146]. Finally, nanocatalyst-structured catalysts were prepared using the phosphotungstic acid (HPW) impregnation method and used for the preparation of biodiesel. The results showed that when the catalyst dosage was 3 wt%, the reaction time was 3.5 h, the reaction ratio was 12:1, and the reaction temperature was 70 °C. The oil yield was higher than 90% in all three attempts.
4. The Advantages and Disadvantages of Different Catalysts for Biodiesel Production
Biodiesel brings numerous benefits, and significant progress has been made in biodiesel catalyst research to date. Both homogeneous and multiphase catalysts have their own unique advantages for biodiesel production, but both also have drawbacks that hinder their large-scale industrial application. In Table 4, some specific advantages and limitations of the different types of catalysts appearing in this paper are described.
Table 4.
The advantages and disadvantages of different catalysts for biodiesel production.
5. Economic Considerations of Catalysts for Biodiesel Production
Biodiesel is more expensive to produce and has a slightly lower energy content compared to fossil fuels [151,152]. The high cost of production will reduce the market value and use. Technology, catalyst, and feedstock costs are key in determining the cost of biodiesel production [153]. The availability of technologies, catalysts, and feedstocks were investigated through an economic analysis to identify better low-cost biodiesel production processes by Hass et al. [154] based on the utilization of soy oil for biodiesel production in the presence of a base catalyst. The research shows that soy oil (raw material) comprises 88% of the unit production cost when the process is carried out in ASPEN PLUS. Apostolakou et al. [155] reported biodiesel production in which 75% of the total production cost was accounted for by the raw material in a small-scale plant, and this increased to 90% for a large-scale plant. It can be seen that in all cases, 75–90% of the operating costs were spent on raw materials. In addition to feedstock costs, production cost estimates for catalysts are one of the guiding principles for predicting the path to catalyst scale-up and commercialization. There are a number of economic parameters to consider when assessing the cost-effectiveness of the process, which has been widely reviewed. Key descriptors to successfully develop such estimates are a sound knowledge of catalyst synthesis steps, stoichiometry of catalyst composition, raw material consumption, and pricing [156,157]. Several studies have evaluated the economic feasibility of different catalysts for biodiesel production processes [158,159]. Marchetti et al. [160] proposed three case studies on biodiesel production using an enzymatic catalyst process, a homogeneous catalyst process, and a heterogeneous catalyst process. The NVP of the heterogeneous catalyst process showed a high profit at minimal investment. Gurunathan et al. [161] focused on sustainable biodiesel production from Calophyllum inophyllum oil using Zn-doped CaO synthesized from plaster of Paris. A biodiesel conversion of 91.95% was achieved when maintaining a methanol-to-oil ratio of 9.66:1, a concentration of catalyst of 5% (w/v), a time of 81.31 min, and a temperature of 56.71 °C, with a green chemistry value of 0.873. The input given includes the raw material Calophyllum inophyllum oil (0.40 USD/kg), catalyst (1.34 USD/kg), methanol (0.24 USD/kg), and sulfuric acid (0.07). RSM optimization of the 21 million kg/year biodiesel production plant was performed using Minitab-18 software, and a techno-economic analysis of the biodiesel production was performed using SuperPro software. The annual revenue of biodiesel was USD 15,224,000/year, with a payback period of about 1.15 years. Baskar et al. [162] used zinc-doped calcium oxide as a catalyst for biodiesel production from castor oil. The experiment was carried out, and the maximum biodiesel conversion of 84.9% was obtained at a methanol-to-oil ratio of 10.5:1, a temperature of 57 °C, a time of 70 min, a catalyst concentration of 2.2%, and a green chemistry balance of 0.896. Based on the experimental study, a 20.3 million kg annual capacity plant was simulated using SuperPro designer. In this analysis, biodiesel price (0.7 USD/kg), methanol cost (0.24 USD/kg), and catalyst cost (1.34 USD/kg) were constant, and the oil purchase cost varied from 0.25 to 0.5 USD/kg. The total revenue of the plant was 16,506,000 USD/yr, and the payback period was 2.88 years. In conclusion, the low-cost multiphase catalyst can be proved to be economically feasible.
The cost of each specific catalyst depends on various factors, including the source, synthesis method, and its reusability. Generally, using waste or biomass as sources of catalysts may reduce the price of commercially available solid catalysts [18]. The capital cost and operating cost of the proposed biodiesel production process using algal biomass residue after lipid extraction (LEA)-derived catalysts presented by Yusu et al. [163] was compared with that of a homogeneous catalyst and also with a previous study on biodiesel production over a biochar catalyst reported by Lee et al. [164]. The unit yield using LEA-derived catalysts was found to be lower than the unit production cost of biodiesel from waste cooking oil (1.81 USD/kg) reported by Lee et al. [164]. The unit cost ranged from 1.67 USD/kg to 1.74 USD/kg with a payback period of 1.32 to 5.57 yr. The use of LEA-derived catalysts resulted in a lower unit production cost of microalgal biodiesel (1.70–1.74 USD/kg) when compared to that of homogeneous catalysts (2.03 USD/kg). The Ni/C catalyst gave the lowest unit production cost of 1.70 USD/kg, and the Ni/Fe3O4-C gave the highest unit production cost (1.74 USD/kg). When compared to the capital cost (490,921 USD/yr), relatively higher operating costs were obtained using LEA-derived catalysts, Ni/C, and Ni/Fe3O4-C (51,207,939 USD/yr, 50,401,589 USD/yr, and 51,736,371 USD/yr, respectively). Thus, the preparation of heterogeneous catalysts for biodiesel from biomass or waste is an economical and environmentally feasible method.
6. Challenges and Future Perspectives
Although homogeneous and heterogeneous catalysts have been exhaustively studied, there are still limitations in their application. The following are some of the challenges of catalysts:
- Currently, most of the catalysts used in biodiesel industrial production are homogeneous catalysts, but these catalysts are not applicable to all types of feedstocks. Moreover, homogeneous catalysts have the problem of not being reused or regenerated, which greatly increases the cost of biodiesel production.
- Homogeneous catalysts suffer from difficulties in separation. Heterogeneous solid catalysts are simple to separate, but still fall short of the expected goals for industrial use, and the residual catalyst has a large impact on biodiesel quality.
- Short catalyst lifetime, low reaction rate, and high fabrication cost are the main problems of heterogeneous catalysts.
- In the case of homogeneous catalysts, there are the problems of catalyst poisoning and contamination. In addition, active site leaching and saponification problems can lead to significant contamination generation.
The following aspects need to be addressed in future works:
- It is necessary to further accelerate the transition of heterogeneous catalysts from laboratory research to industrial applications to enrich the existing catalyst types and achieve industrial-scale applications for biodiesel. Meanwhile, the development of homogeneous catalyst-derived ionic liquid catalysts is promoted to improve the stability and reusability of homogeneous catalysts.
- Explore the recycling potential of magnetic nanocatalysts and improve the reuse performance of commercial catalysts.
- Develop efficient biomass-derived catalysts for biodiesel production to reduce the associated costs. The introduction of HPA heterogeneous catalysts and nanocatalysts with excellent catalytic properties has improved the reaction efficiency and increased the service life of the catalysts.
- Explore environmentally friendly green catalysts, such as DES, and develop efficient biomass-derived green catalysts for biodiesel production.
7. Conclusions
Homogeneous and heterogeneous catalysts are the most researched biodiesel catalysts. This paper reviews the recent progress of homogeneous and heterogeneous catalysts in biodiesel production. Homogeneous acid/base catalysts, heterogeneous acid/base catalysts (including novel HPA heterogeneous acid catalysts/biomass-derived heterogeneous base catalysts), and their derivatives ILs/DESs homogeneous catalysts and nanocatalysts/magnetic catalysts are presented for current applications in biodiesel production. Homogeneous catalysts have the characteristics of uniform active centers and fast reaction rates. Heterogeneous catalysts are widely studied due to their high activity, high selectivity, easy separation from the products, and reusability. Compared with conventional heterogeneous acid catalysts, HPA heterogeneous catalysts have better catalytic performance. The biomass-derived heterogeneous base catalysts are more in line with the green development concept of environmental friendliness and economic efficiency. Homogeneous catalyst derivatives ILs/DESs possess excellent properties of both homogeneous and heterogeneous catalysts with higher stability and reusability. The large and efficient surface-to-volume ratio of the nanocatalysts conferred high catalytic activity, whereas the magnetic catalysts greatly improved the reusability of the heterogeneous catalysts and reduced the cost of biodiesel production. Finally, some challenges of current biodiesel catalysts are summarized, and future research directions are presented.
Author Contributions
All authors have contributed equally. All authors have read and agreed to the published version of the manuscript.
Funding
This research was funded by the Key Research and Development Program of Shandong Province, China (2017GSF217006), and the International Postdoctoral program of China Foreign Expert Bureau.
Data Availability Statement
Not applicable.
Conflicts of Interest
The authors declare no conflict of interest.
References
- Quah, R.V.; Tan, Y.H.; Mubarak, N.M.; Khalid, M.; Abdullah, E.C.; Nolasco-Hipolito, C. An overview of biodiesel production using recyclable biomass and non-biomass derived magnetic catalysts. J. Environ. Chem. Eng. 2019, 7, 103219. [Google Scholar] [CrossRef]
- Bateni, H.; Saraeian, A.; Able, C. A comprehensive review on biodiesel purification and upgrading. Biofuel Res. J. 2017, 4, 668–690. [Google Scholar] [CrossRef]
- Esmi, F.; Borugadda, V.B.; Dalai, A.K. Heteropoly acids as supported solid acid catalysts for sustainable biodiesel production using vegetable oils: A review. Catal. Today 2022, 404, 19–34. [Google Scholar] [CrossRef]
- Liu, Y.; Lin, T.; Cheng, C.; Wang, Q.; Lin, S.; Liu, C.; Han, X. Research Progress on Synthesis and Application of Cyclodextrin Polymers. Molecules 2021, 26, 1090. [Google Scholar] [CrossRef] [PubMed]
- Ong, H.C.; Tiong, Y.W.; Goh, B.H.H.; Gan, Y.Y.; Mofijur, M.; Fattah, I.M.R.; Chong, C.T.; Alam, M.A.; Lee, H.V.; Silitonga, A.S.; et al. Recent advances in biodiesel production from agricultural products and microalgae using ionic liquids: Opportunities and challenges. Energy Convers. Manag. 2021, 228, 113647. [Google Scholar] [CrossRef]
- Khan, S.; Naushad, M.; Iqbal, J.; Bathula, C.; Sharma, G. Production and harvesting of microalgae and an efficient operational approach to biofuel production for a sustainable environment. Fuel 2022, 311, 122543. [Google Scholar] [CrossRef]
- Jayed, M.H.; Masjuki, H.H.; Saidur, R.; Kalam, M.A.; Jahirul, M.I. Environmental aspects and challenges of oilseed produced biodiesel in Southeast Asia. Renew. Sustain. Energy Rev. 2009, 13, 2452–2462. [Google Scholar] [CrossRef]
- Rizwanul Fattah, I.M.; Kalam, M.A.; Masjuki, H.H.; Wakil, M.A. Biodiesel production, characterization, engine performance, and emission characteristics of Malaysian Alexandrian laurel oil. RSC Adv. 2014, 4, 17787–17796. [Google Scholar] [CrossRef]
- Ameen, M.; Ahmad, M.; Zafar, M.; Munir, M.; Mujtaba, M.M.; Sultana, S.; Rozina; El-Khatib, S.E.; Soudagar, M.E.M.; Kalam, M.A. Prospects of Catalysis for Process Sustainability of Eco-Green Biodiesel Synthesis via Transesterification: A State-Of-The-Art Review. Sustainability 2022, 14, 7032. [Google Scholar] [CrossRef]
- Zhu, L.; Kong, L.; Zhang, C. Numerical Study on Hysteretic Behaviour of Horizontal-Connection and Energy-Dissipation Structures Developed for Prefabricated Shear Walls. Appl. Sci. 2020, 10, 1240. [Google Scholar] [CrossRef]
- Tan, Y.H.; Abdullah, M.O.; Kansedo, J.; Mubarak, N.M.; Chan, Y.S.; Nolasco-Hipolito, C. Biodiesel production from used cooking oil using green solid catalyst derived from calcined fusion waste chicken and fish bones. Renew. Energy 2019, 139, 696–706. [Google Scholar] [CrossRef]
- Hanif, M.; Bhatti, I.A.; Shahzad, K.; Hanif, M.A. Biodiesel Production from Waste Plant Oil over a Novel Nano-Catalyst of Li-TiO2/Feldspar. Catalysts 2023, 13, 310. [Google Scholar] [CrossRef]
- Borges, M.E.; Díaz, L. Recent developments on heterogeneous catalysts for biodiesel production by oil esterification and transesterification reactions: A review. Renew. Sustain. Energy Rev. 2012, 16, 2839–2849. [Google Scholar] [CrossRef]
- Das, B.; Mohanty, K. A review on advances in sustainable energy production through various catalytic processes by using catalysts derived from waste red mud. Renew. Energy 2019, 143, 1791–1811. [Google Scholar] [CrossRef]
- Dehkhoda, A.M.; West, A.H.; Ellis, N. Biochar based solid acid catalyst for biodiesel production. Appl. Catal. A Gen. 2010, 382, 197–204. [Google Scholar] [CrossRef]
- Aransiola, E.F.; Ojumu, T.V.; Oyekola, O.O.; Madzimbamuto, T.F.; Ikhu-Omoregbe, D.I.O. A review of current technology for biodiesel production: State of the art. Biomass Bioenergy 2014, 61, 276–297. [Google Scholar] [CrossRef]
- Koranian, P.; Huang, Q.; Dalai, A.K.; Sammynaiken, R. Chemicals Production from Glycerol through Heterogeneous Catalysis: A Review. Catalysts 2022, 12, 122543. [Google Scholar] [CrossRef]
- Chandra Kishore, S.; Perumal, S.; Atchudan, R.; Sundramoorthy, A.K.; Alagan, M.; Sangaraju, S.; Lee, Y.R. A Review of Biomass-Derived Heterogeneous Catalysts for Biodiesel Production. Catalysts 2022, 12, 1501. [Google Scholar] [CrossRef]
- Mahlia, T.M.I.; Syazmi, Z.A.H.S.; Mofijur, M.; Abas, A.E.P.; Bilad, M.R.; Ong, H.C.; Silitonga, A.S. Patent landscape review on biodiesel production: Technology updates. Renew. Sustain. Energy Rev. 2020, 118, 109526. [Google Scholar] [CrossRef]
- Costantini, A.; Califano, V. Lipase Immobilization in Mesoporous Silica Nanoparticles for Biofuel Production. Catalysts 2021, 11, 629. [Google Scholar] [CrossRef]
- Nguyen, H.C.; Wang, F.-M.; Dinh, K.K.; Pham, T.T.; Juan, H.-Y.; Nguyen, N.P.; Ong, H.C.; Su, C.-H. Microwave-Assisted Noncatalytic Esterification of Fatty Acid for Biodiesel Production: A Kinetic Study. Energies 2020, 13, 2167. [Google Scholar] [CrossRef]
- Nguyen, H.C.; Liang, S.-H.; Li, S.-Y.; Su, C.-H.; Chien, C.-C.; Chen, Y.-J.; Huong, D.T.M. Direct transesterification of black soldier fly larvae (Hermetia illucens) for biodiesel production. J. Taiwan Inst. Chem. Eng. 2018, 85, 165–169. [Google Scholar] [CrossRef]
- Nguyen, H.C.; Nguyen, M.-L.; Su, C.-H.; Ong, H.C.; Juan, H.-Y.; Wu, S.-J. Bio-Derived Catalysts: A Current Trend of Catalysts Used in Biodiesel Production. Catalysts 2021, 11, 812. [Google Scholar] [CrossRef]
- de Lima, A.L.; Ronconi, C.M.; Mota, C.J.A. Heterogeneous basic catalysts for biodiesel production. Catal. Sci. Technol. 2016, 6, 2877–2891. [Google Scholar] [CrossRef]
- Gaide, I.; Makareviciene, V.; Sendzikiene, E.; Gumbytė, M.J.C. Rapeseed Oil Transesterification Using 1-Butanol and Eggshell as a Catalyst. Catalysts 2023, 13, 302. [Google Scholar] [CrossRef]
- Ling, J.S.J.; Tan, Y.H.; Mubarak, N.M.; Kansedo, J.; Saptoro, A.; Nolasco-Hipolito, C. A review of heterogeneous calcium oxide based catalyst from waste for biodiesel synthesis. SN Appl. Sci. 2019, 1, 810. [Google Scholar] [CrossRef]
- Lam, M.K.; Lee, K.T.; Mohamed, A.R. Homogeneous, heterogeneous and enzymatic catalysis for transesterification of high free fatty acid oil (waste cooking oil) to biodiesel: A review. Biotechnol. Adv. 2010, 28, 500–518. [Google Scholar] [CrossRef] [PubMed]
- Atadashi, I.M.; Aroua, M.K.; Abdul Aziz, A.R.; Sulaiman, N.M.N. The effects of catalysts in biodiesel production: A review. J. Ind. Eng. Chem. 2013, 19, 14–26. [Google Scholar] [CrossRef]
- Islam, A.; Taufiq-Yap, Y.H.; Chan, E.-S.; Moniruzzaman, M.; Islam, S.; Nabi, M.N. Advances in solid-catalytic and non-catalytic technologies for biodiesel production. Energy Convers. Manag. 2014, 88, 1200–1218. [Google Scholar] [CrossRef]
- Konwar, L.J.; Boro, J.; Deka, D. Review on latest developments in biodiesel production using carbon-based catalysts. Renew. Sustain. Energy Rev. 2014, 29, 546–564. [Google Scholar] [CrossRef]
- Lee, A.F.; Bennett, J.A.; Manayil, J.C.; Wilson, K. Heterogeneous catalysis for sustainable biodiesel production via esterification and transesterification. Chem. Soc. Rev. 2014, 43, 7887–7916. [Google Scholar] [CrossRef] [PubMed]
- Ruhul, A.M.; Kalam, M.A.; Masjuki, H.H.; Fattah, I.M.R.; Reham, S.S.; Rashed, M.M. State of the art of biodiesel production processes: A review of the heterogeneous catalyst. RSC Adv. 2015, 5, 101023–101044. [Google Scholar] [CrossRef]
- Troter, D.Z.; Todorović, Z.B.; Đokić-Stojanović, D.R.; Stamenković, O.S.; Veljković, V.B. Application of ionic liquids and deep eutectic solvents in biodiesel production: A review. Renew. Sustain. Energy Rev. 2016, 61, 473–500. [Google Scholar] [CrossRef]
- Abdullah, S.H.Y.S.; Hanapi, N.H.M.; Azid, A.; Umar, R.; Juahir, H.; Khatoon, H.; Endut, A. A review of biomass-derived heterogeneous catalyst for a sustainable biodiesel production. Renew. Sustain. Energy Rev. 2017, 70, 1040–1051. [Google Scholar] [CrossRef]
- Mardhiah, H.H.; Ong, H.C.; Masjuki, H.H.; Lim, S.; Lee, H.V. A review on latest developments and future prospects of heterogeneous catalyst in biodiesel production from non-edible oils. Renew. Sustain. Energy Rev. 2017, 67, 1225–1236. [Google Scholar] [CrossRef]
- Shan, R.; Lu, L.; Shi, Y.; Yuan, H.; Shi, J. Catalysts from renewable resources for biodiesel production. Energy Convers. Manag. 2018, 178, 277–289. [Google Scholar] [CrossRef]
- Chapman, J.; Ismail, A.; Dinu, C. Industrial Applications of Enzymes: Recent Advances, Techniques, and Outlooks. Catalysts 2018, 8, 238. [Google Scholar] [CrossRef]
- Vakros, J. Biochars and Their Use as Transesterification Catalysts for Biodiesel Production: A Short Review. Catalysts 2018, 8, 562. [Google Scholar] [CrossRef]
- Akubude, V.C.; Nwaigwe, K.N.; Dintwa, E. Production of biodiesel from microalgae via nanocatalyzed transesterification process: A review. Mater. Sci. Energy Technol. 2019, 2, 216–225. [Google Scholar] [CrossRef]
- Zhang, H.; Li, H.; Hu, Y.; Venkateswara Rao, K.T.; Xu, C.; Yang, S. Advances in production of bio-based ester fuels with heterogeneous bifunctional catalysts. Renew. Sustain. Energy Rev. 2019, 114, 109296. [Google Scholar] [CrossRef]
- Faruque, M.O.; Razzak, S.A.; Hossain, M.M. Application of Heterogeneous Catalysts for Biodiesel Production from Microalgal Oil—A Review. Catalysts 2020, 10, 1025. [Google Scholar] [CrossRef]
- Gupta, J.; Agarwal, M.; Dalai, A.K. An overview on the recent advancements of sustainable heterogeneous catalysts and prominent continuous reactor for biodiesel production. J. Ind. Eng. Chem. 2020, 88, 58–77. [Google Scholar] [CrossRef]
- Hamza, M.; Ayoub, M.; Shamsuddin, R.B.; Mukhtar, A.; Saqib, S.; Zahid, I.; Ameen, M.; Ullah, S.; Al-Sehemi, A.G.; Ibrahim, M. A review on the waste biomass derived catalysts for biodiesel production. Environ. Technol. Innov. 2021, 21, 101200. [Google Scholar] [CrossRef]
- Jayakumar, M.; Karmegam, N.; Gundupalli, M.P.; Bizuneh Gebeyehu, K.; Tessema Asfaw, B.; Chang, S.W.; Ravindran, B.; Kumar Awasthi, M. Heterogeneous base catalysts: Synthesis and application for biodiesel production—A review. Bioresour. Technol. 2021, 331, 125054. [Google Scholar] [CrossRef]
- Maheshwari, P.; Haider, M.B.; Yusuf, M.; Klemeš, J.J.; Bokhari, A.; Beg, M.; Al-Othman, A.; Kumar, R.; Jaiswal, A.K. A review on latest trends in cleaner biodiesel production: Role of feedstock, production methods, and catalysts. J. Clean. Prod. 2022, 355, 131588. [Google Scholar] [CrossRef]
- Ramos, M.D.N.; Milessi, T.S.; Candido, R.G.; Mendes, A.A.; Aguiar, A. Enzymatic catalysis as a tool in biofuels production in Brazil: Current status and perspectives. Energy Sustain. Dev. 2022, 68, 103–119. [Google Scholar] [CrossRef]
- Jamil, F.; Saleem, M.; Ali Qamar, O.; Khurram, M.S.; Al-Muhtaseb, A.a.H.; Inayat, A.; Akhter, P.; Hussain, M.; Rafiq, S.; Yim, H.; et al. State-of-the-art catalysts for clean fuel (methyl esters) production—A comprehensive review. J. Phys. Energy 2022, 5, 014005. [Google Scholar] [CrossRef]
- Karmee, S.K. Moving towards the Application of Biocatalysis in Food Waste Biorefinery. Fermentation 2023, 9, 73. [Google Scholar] [CrossRef]
- Xie, W.; Li, J. Magnetic solid catalysts for sustainable and cleaner biodiesel production: A comprehensive review. Renew. Sustain. Energy Rev. 2023, 171, 113017. [Google Scholar] [CrossRef]
- Ejikeme, P.M.; Anyaogu, I.D.; Ejikeme, C.L.; Nwafor, N.P.; Egbuonu, C.A.C.; Ukogu, K.; Ibemesi, J.A. Catalysis in Biodiesel Production by Transesterification Processes-An Insight. E-J. Chem. 2010, 7, 689051. [Google Scholar] [CrossRef]
- Granados, M.L.; Poves, M.D.Z.; Alonso, D.M.; Mariscal, R.; Galisteo, F.C.; Moreno-Tost, R.; Santamaría, J.; Fierro, J.L.G. Biodiesel from sunflower oil by using activated calcium oxide. Appl. Catal. B Environ. 2007, 73, 317–326. [Google Scholar] [CrossRef]
- López, D.E.; Goodwin, J.G.; Bruce, D.A.; Lotero, E. Transesterification of triacetin with methanol on solid acid and base catalysts. Appl. Catal. A Gen. 2005, 295, 97–105. [Google Scholar] [CrossRef]
- Zhang, F.; Wu, X.-H.; Yao, M.; Fang, Z.; Wang, Y.-T. Production of biodiesel and hydrogen from plant oil catalyzed by magnetic carbon-supported nickel and sodium silicate. Green Chem. 2016, 18, 3302–3314. [Google Scholar] [CrossRef]
- Campanelli, P.; Banchero, M.; Manna, L. Synthesis of biodiesel from edible, non-edible and waste cooking oils via supercritical methyl acetate transesterification. Fuel 2010, 89, 3675–3682. [Google Scholar] [CrossRef]
- Patil, P.; Deng, S.; Isaac Rhodes, J.; Lammers, P.J. Conversion of waste cooking oil to biodiesel using ferric sulfate and supercritical methanol processes. Fuel 2010, 89, 360–364. [Google Scholar] [CrossRef]
- Ehiri, R.; Ikelle, I.; Ozoaku, O.F. Acid-catalyzed transesterification reaction of beef tallow for biodiesel production by factor variation. Am. J. Eng. Res. 2014, 3, 174–177. [Google Scholar]
- Farag, H.A.; El-Maghraby, A.; Taha, N.A. Optimization of factors affecting esterification of mixed oil with high percentage of free fatty acid. Fuel Process. Technol. 2011, 92, 507–510. [Google Scholar] [CrossRef]
- Singh, A.; He, B.; Thompson, J.; Van Gerpen, J. Process optimization of biodiesel production using alkaline catalysts. Appl. Eng. Agric. 2006, 22, 597–600. [Google Scholar] [CrossRef]
- Abdullah; Rahmawati Sianipar, R.N.; Ariyani, D.; Nata, I.F. Conversion of palm oil sludge to biodiesel using alum and KOH as catalysts. Sustain. Environ. Res. 2017, 27, 291–295. [Google Scholar] [CrossRef]
- Dias, J.M.; Alvim-Ferraz, M.C.M.; Almeida, M.F. Comparison of the performance of different homogeneous alkali catalysts during transesterification of waste and virgin oils and evaluation of biodiesel quality. Fuel 2008, 87, 3572–3578. [Google Scholar] [CrossRef]
- Namwong, S.; Punsuvon, V. Biodiesel Production from Used Vegetable Oil Using Ethanol and Sodium Methoxide Catalyst. Key Eng. Mater. 2017, 723, 551–555. [Google Scholar] [CrossRef]
- Hayyan, A.; Ali Hashim, M.; Mjalli, F.S.; Hayyan, M.; AlNashef, I.M. A novel phosphonium-based deep eutectic catalyst for biodiesel production from industrial low grade crude palm oil. Chem. Eng. Sci. 2013, 92, 81–88. [Google Scholar] [CrossRef]
- Ünlü, A.E.; Arikaya, A.; Altundağ, A.; Takaç, S. Remarkable effects of deep eutectic solvents on the esterification of lactic acid with ethanol over Amberlyst-15. Korean J. Chem. Eng. 2020, 37, 46–53. [Google Scholar] [CrossRef]
- Wang, Y.; Zhao, D.; Chen, G.; Liu, S.; Ji, N.; Ding, H.; Fu, J. Preparation of phosphotungstic acid based poly(ionic liquid) and its application to esterification of palmitic acid. Renew. Energy 2019, 133, 317–324. [Google Scholar] [CrossRef]
- Zhang, H.; Li, H.; Pan, H.; Liu, X.; Yang, K.; Huang, S.; Yang, S. Efficient production of biodiesel with promising fuel properties from Koelreuteria integrifoliola oil using a magnetically recyclable acidic ionic liquid. Energy Convers. Manag. 2017, 138, 45–53. [Google Scholar] [CrossRef]
- Liu, Y.; Yan, H.; Liu, J.; Dong, W.; Cao, Z.; Hu, X.; Zhou, Z. Acidic deep eutectic solvents with long carbon chains as catalysts and reaction media for biodiesel production. Renew. Energy 2020, 162, 1842–1853. [Google Scholar] [CrossRef]
- Zhang, H.; Li, H.; Pan, H.; Wang, A.; Souzanchi, S.; Xu, C.; Yang, S. Magnetically recyclable acidic polymeric ionic liquids decorated with hydrophobic regulators as highly efficient and stable catalysts for biodiesel production. Appl. Energy 2018, 223, 416–429. [Google Scholar] [CrossRef]
- Pan, H.; Li, H.; Zhang, H.; Wang, A.; Jin, D.; Yang, S. Effective production of biodiesel from non-edible oil using facile synthesis of imidazolium salts-based Brønsted-Lewis solid acid and co-solvent. Energy Convers. Manag. 2018, 166, 534–544. [Google Scholar] [CrossRef]
- Melero, J.A.; Iglesias, J.; Morales, G. Heterogeneous acid catalysts for biodiesel production: Current status and future challenges. Green Chem. 2009, 11, 1285–1308. [Google Scholar] [CrossRef]
- Schuchardt, U.; Vargas, R.M.; Gelbard, G. Transesterification of soybean oil catalyzed by alkylguanidines heterogenized on different substituted polystyrenes. J. Mol. Catal. A Chem. 1996, 109, 37–44. [Google Scholar] [CrossRef]
- Ghosh, N.; Halder, G. Current progress and perspective of heterogeneous nanocatalytic transesterification towards biodiesel production from edible and inedible feedstock: A review. Energy Convers. Manag. 2022, 270, 116292. [Google Scholar] [CrossRef]
- Tajuddin, N.A.; Lee, A.F.; Wilson, K. 6—Production of biodiesel via catalytic upgrading and refining of sustainable oleagineous feedstocks. In Handbook of Biofuels Production, 2nd ed.; Luque, R., Lin, C.S.K., Wilson, K., Clark, J., Eds.; Woodhead Publishing: Swaston, UK, 2016; pp. 121–164. [Google Scholar]
- Alsultan, A.G.; Asikin-Mijan, N.; Ibrahim, Z.; Yunus, R.; Razali, S.Z.; Mansir, N.; Islam, A.; Seenivasagam, S.; Taufiq-Yap, Y.H. A Short Review on Catalyst, Feedstock, Modernised Process, Current State and Challenges on Biodiesel Production. Catalysts 2021, 11, 1261. [Google Scholar] [CrossRef]
- Encinar, J.M.; González, J.F.; Martínez, G.; Nogales-Delgado, S. Transesterification of Soybean Oil through Different Homogeneous Catalysts: Kinetic Study. Catalysts 2022, 12, 146. [Google Scholar] [CrossRef]
- Iram, S.; Tariq, I.; Ahmad, K.S.; Jaffri, S.B. Helianthus annuus based biodiesel production from seed oil garnered from a phytoremediated terrain. Int. J. Ambient. Energy 2020, 43, 1763–1771. [Google Scholar] [CrossRef]
- Obidike, L.I.; Yoro, K.O. Effect of zeolitic nano-catalyst on biodiesel yield and biochar formation during the pyrolysis of tallow. Biofuels 2021, 13, 683–692. [Google Scholar] [CrossRef]
- Thomas, S. Enhanced Oil Recovery—An Overview. Oil Gas Sci. Technol. 2007, 63, 9–19. [Google Scholar] [CrossRef]
- Ooi, H.K.; Koh, X.N.; Ong, H.C.; Lee, H.V.; Mastuli, M.S.; Taufiq-Yap, Y.H.; Alharthi, F.A.; Alghamdi, A.A.; Asikin Mijan, N. Progress on Modified Calcium Oxide Derived Waste-Shell Catalysts for Biodiesel Production. Catalysts 2021, 11, 194. [Google Scholar] [CrossRef]
- Chamola, R.; Khan, M.F.; Raj, A.; Verma, M.; Jain, S. Response surface methodology based optimization of in situ transesterification of dry algae with methanol, H2SO4 and NaOH. Fuel 2019, 239, 511–520. [Google Scholar] [CrossRef]
- Mekonnen, K.D.; Sendekie, Z.B. NaOH-Catalyzed Methanolysis Optimization of Biodiesel Synthesis from Desert Date Seed Kernel Oil. ACS Omega 2021, 6, 24082–24091. [Google Scholar] [CrossRef]
- Rizwanul Fattah, I.M.; Masjuki, H.H.; Kalam, M.A.; Mofijur, M.; Abedin, M.J. Effect of antioxidant on the performance and emission characteristics of a diesel engine fueled with palm biodiesel blends. Energy Convers. Manag. 2014, 79, 265–272. [Google Scholar] [CrossRef]
- Jothiramalingam, R.; Wang, M.K. Review of Recent Developments in Solid Acid, Base, and Enzyme Catalysts (Heterogeneous) for Biodiesel Production via Transesterification. Ind. Eng. Chem. Res. 2009, 48, 6162–6172. [Google Scholar] [CrossRef]
- Stojković, I.J.; Stamenković, O.S.; Povrenović, D.S.; Veljković, V.B. Purification technologies for crude biodiesel obtained by alkali-catalyzed transesterification. Renew. Sustain. Energy Rev. 2014, 32, 1–15. [Google Scholar] [CrossRef]
- Zhang, X.; Wang, J.; Song, Z.; Zhou, T. Data-Driven Ionic Liquid Design for CO2 Capture: Molecular Structure Optimization and DFT Verification. Ind. Eng. Chem. Res. 2021, 60, 9992–10000. [Google Scholar] [CrossRef]
- Zhang, Q.; Hu, Y.; Li, S.; Zhang, M.; Wang, Y.; Wang, Z.; Peng, Y.; Wang, M.; Li, X.; Pan, H. Recent advances in supported acid/base ionic liquids as catalysts for biodiesel production. Front. Chem. 2022, 10, 999607. [Google Scholar] [CrossRef] [PubMed]
- Zhao, H.; Zhang, C.; Crittle, T.D. Choline-based deep eutectic solvents for enzymatic preparation of biodiesel from soybean oil. J. Mol. Catal. B Enzym. 2013, 85, 243–247. [Google Scholar] [CrossRef]
- Bian, Y.; Shan, Q.; Guo, C.; Liu, C.; Zhang, J. Biodiesel Production Over Esterification Catalyzed by a Novel Poly(Acidic Ionic Liquid)s. Catal. Lett. 2021, 151, 3523–3531. [Google Scholar] [CrossRef]
- Wang, X.; Yang, K.; Cai, R.; ChenYang, Y.; Huang, Z.; Han, B. Optimization and kinetics of biodiesel production from soybean oil using new tetraethylammonium ionic liquids with amino acid-based anions as catalysts. Fuel 2022, 324, 124510. [Google Scholar] [CrossRef]
- Li, M.; Chen, J.; Li, L.; Ye, C.; Lin, X.; Qiu, T. Novel multi–SO3H functionalized ionic liquids as highly efficient catalyst for synthesis of biodiesel. Green Energy Environ. 2021, 6, 271–282. [Google Scholar] [CrossRef]
- Zhang, T.; Shahbaz, K.; Farid, M.M. Glycerolysis of free fatty acid in vegetable oil deodorizer distillate catalyzed by phosphonium-based deep eutectic solvent. Renew. Energy 2020, 160, 363–373. [Google Scholar] [CrossRef]
- Ranjan, A.; Dawn, S.S.; Nirmala, N.; Santhosh, A.; Arun, J. Application of deep eutectic solvent in biodiesel reaction: RSM optimization, CI engine test, cost analysis and research dynamics. Fuel 2022, 307, 121933. [Google Scholar] [CrossRef]
- Mat, R.; Adawiyah Samsudin, R.; Mohamed, M.; Johari, A. Solid Catalysts and theirs Application in Biodiesel Production. Bull. Chem. React. Eng. Catal. 2012, 7, 142–149. [Google Scholar] [CrossRef]
- Marinković, D.M.; Stanković, M.V.; Veličković, A.V.; Avramović, J.M.; Miladinović, M.R.; Stamenković, O.O.; Veljković, V.B.; Jovanović, D.M. Calcium oxide as a promising heterogeneous catalyst for biodiesel production: Current state and perspectives. Renew. Sustain. Energy Rev. 2016, 56, 1387–1408. [Google Scholar] [CrossRef]
- Refaat, A.A. Biodiesel production using solid metal oxide catalysts. Int. J. Environ. Sci. Technol. 2011, 8, 203–221. [Google Scholar] [CrossRef]
- Vásquez-Céspedes, S.; Betori, R.C.; Cismesia, M.A.; Kirsch, J.K.; Yang, Q. Heterogeneous Catalysis for Cross-Coupling Reactions: An Underutilized Powerful and Sustainable Tool in the Fine Chemical Industry? Org. Process Res. Dev. 2021, 25, 740–753. [Google Scholar] [CrossRef]
- Booramurthy, V.K.; Kasimani, R.; Pandian, S.; Ragunathan, B. Nano-sulfated zirconia catalyzed biodiesel production from tannery waste sheep fat. Environ. Sci. Pollut. Res. Int. 2020, 27, 20598–20605. [Google Scholar] [CrossRef]
- Shu, Q.; Liu, X.; Huo, Y.; Tan, Y.; Zhang, C.; Zou, L. Construction of a Brönsted-Lewis solid acid catalyst La-PW-SiO2/SWCNTs based on electron withdrawing effect of La(III) on π bond of SWCNTs for biodiesel synthesis from esterification of oleic acid and methanol. Chin. J. Chem. Eng. 2022, 44, 351–362. [Google Scholar] [CrossRef]
- Shi, W.; Zhao, J.; Yuan, X.; Wang, S.; Wang, X.; Huo, M. Effects of Brønsted and Lewis Acidities on Catalytic Activity of Heteropolyacids in Transesterification and Esterification Reactions. Chem. Eng. Technol. 2012, 35, 347–352. [Google Scholar] [CrossRef]
- Purova, R.; Narasimharao, K.; Ahmed, N.S.I.; Al-Thabaiti, S.; Al-Shehri, A.; Mokhtar, M.; Schwieger, W. Pillared HMCM-36 zeolite catalyst for biodiesel production by esterification of palmitic acid. J. Mol. Catal. A Chem. 2015, 406, 159–167. [Google Scholar] [CrossRef]
- Guldhe, A.; Singh, P.; Ansari, F.A.; Singh, B.; Bux, F. Biodiesel synthesis from microalgal lipids using tungstated zirconia as a heterogeneous acid catalyst and its comparison with homogeneous acid and enzyme catalysts. Fuel 2017, 187, 180–188. [Google Scholar] [CrossRef]
- Li, J.; Wang, X.; Zhu, W.; Cao, F. Zn1.2H0.6PW12O40 Nanotubes with double acid sites as heterogeneous catalysts for the production of biodiesel from waste cooking oil. ChemSusChem 2009, 2, 177–183. [Google Scholar] [CrossRef]
- Jiménez-Morales, I.; Santamaría-González, J.; Maireles-Torres, P.; Jiménez-López, A. Calcined zirconium sulfate supported on MCM-41 silica as acid catalyst for ethanolysis of sunflower oil. Appl. Catal. B Environ. 2011, 103, 91–98. [Google Scholar] [CrossRef]
- Nath, B.; Kalita, P.; Das, B.; Basumatary, S. Highly efficient renewable heterogeneous base catalyst derived from waste Sesamum indicum plant for synthesis of biodiesel. Renew. Energy 2020, 151, 295–310. [Google Scholar] [CrossRef]
- Han, Y.-Z.; Hong, L.; Wang, X.-Q.; Liu, J.-Z.; Jiao, J.; Luo, M.; Fu, Y.-J. Biodiesel production from Pistacia chinensis seed oil via transesterification using recyclable magnetic cellulose-based catalyst. Ind. Crops Prod. 2016, 89, 332–338. [Google Scholar] [CrossRef]
- Sai, B.A.; Subramaniapillai, N.; Mohamed MS, B.K.; Narayanan, A. Optimization of continuous biodiesel production from rubber seed oil (RSO) using calcined eggshells as heterogeneous catalyst. J. Environ. Chem. Eng. 2020, 8, 103603. [Google Scholar]
- Wang, H.; Covarrubias, J.; Prock, H.; Wu, X.; Wang, D.; Bossmann, S.H. Acid-Functionalized Magnetic Nanoparticle as Heterogeneous Catalysts for Biodiesel Synthesis. J. Phys. Chem. C 2015, 119, 26020–26028. [Google Scholar] [CrossRef]
- Alaei, S.; Haghighi, M.; Toghiani, J.; Rahmani Vahid, B. Magnetic and reusable MgO/MgFe2O4 nanocatalyst for biodiesel production from sunflower oil: Influence of fuel ratio in combustion synthesis on catalytic properties and performance. Ind. Crops Prod. 2018, 117, 322–332. [Google Scholar] [CrossRef]
- Kazemifard, S.; Nayebzadeh, H.; Saghatoleslami, N.; Safakish, E. Assessment the activity of magnetic KOH/Fe3O4@Al2O3 core-shell nanocatalyst in transesterification reaction: Effect of Fe/Al ratio on structural and performance. Environ. Sci. Pollut. Res. Int. 2018, 25, 32811–32821. [Google Scholar] [CrossRef]
- Xie, W.; Gao, C.; Li, J. Sustainable biodiesel production from low-quantity oils utilizing H6PV3MoW8O40 supported on magnetic Fe3O4/ZIF-8 composites. Renew. Energy 2021, 168, 927–937. [Google Scholar] [CrossRef]
- Sahu, O. Characterisation and utilization of heterogeneous catalyst from waste rice-straw for biodiesel conversion. Fuel 2021, 287, 119543. [Google Scholar] [CrossRef]
- Hu, S.; Guan, Y.; Wang, Y.; Han, H. Nano-magnetic catalyst KF/CaO–Fe3O4 for biodiesel production. Appl. Energy 2011, 88, 2685–2690. [Google Scholar] [CrossRef]
- Sreeprasanth, P.S.; Srivastava, R.; Srinivas, D.; Ratnasamy, P. Hydrophobic, solid acid catalysts for production of biofuels and lubricants. Appl. Catal. A Gen. 2006, 314, 148–159. [Google Scholar] [CrossRef]
- Gardy, J.; Osatiashtiani, A.; Céspedes, O.; Hassanpour, A.; Lai, X.; Lee, A.F.; Wilson, K.; Rehan, M. A magnetically separable SO4/Fe-Al-TiO2 solid acid catalyst for biodiesel production from waste cooking oil. Appl. Catal. B Environ. 2018, 234, 268–278. [Google Scholar] [CrossRef]
- Zhang, Y.; Niu, S.; Lu, C.; Gong, Z.; Hu, X. Catalytic performance of NaAlO2/γ-Al2O3 as heterogeneous nanocatalyst for biodiesel production: Optimization using response surface methodology. Energy Convers. Manag. 2020, 203, 112263. [Google Scholar] [CrossRef]
- Seffati, K.; Honarvar, B.; Esmaeili, H.; Esfandiari, N. Enhanced biodiesel production from chicken fat using CaO/CuFe2O4 nanocatalyst and its combination with diesel to improve fuel properties. Fuel 2019, 235, 1238–1244. [Google Scholar] [CrossRef]
- Li, T.-F.; Wang, X.-Q.; Jiao, J.; Liu, J.-Z.; Zhang, H.-X.; Niu, L.-L.; Zhao, C.-J.; Gu, C.-B.; Efferth, T.; Fu, Y.-J. Catalytic transesterification of Pistacia chinensis seed oil using HPW immobilized on magnetic composite graphene oxide/cellulose microspheres. Renew. Energy 2018, 127, 1017–1025. [Google Scholar] [CrossRef]
- Esmaeili, H. A critical review on the economic aspects and life cycle assessment of biodiesel production using heterogeneous nanocatalysts. Fuel Process. Technol. 2022, 230, 107224. [Google Scholar] [CrossRef]
- Sharma, S.; Saxena, V.; Baranwal, A.; Chandra, P.; Pandey, L.M. Engineered nanoporous materials mediated heterogeneous catalysts and their implications in biodiesel production. Mater. Sci. Energy Technol. 2018, 1, 11–21. [Google Scholar] [CrossRef]
- Tobío-Pérez, I.; Domínguez, Y.D.; Machín, L.R.; Pohl, S.; Lapuerta, M.; Piloto-Rodríguez, R. Biomassbased heterogeneous catalysts for biodiesel production: A comprehensive review. Int. J. Energy Res. 2021, 46, 3782–3809. [Google Scholar] [CrossRef]
- Chouhan, A.P.S.; Sarma, A.K. Modern heterogeneous catalysts for biodiesel production: A comprehensive review. Renew. Sustain. Energy Rev. 2011, 15, 4378–4399. [Google Scholar] [CrossRef]
- Chozhavendhan, S.; Vijay Pradhap Singh, M.; Fransila, B.; Praveen Kumar, R.; Karthiga Devi, G. A review on influencing parameters of biodiesel production and purification processes. Curr. Res. Green Sustain. Chem. 2020, 1, 1–6. [Google Scholar] [CrossRef]
- Gaurav, A.; Dumas, S.; Mai, C.T.Q.; Ng, F.T.T. A kinetic model for a single step biodiesel production from a high free fatty acid (FFA) biodiesel feedstock over a solid heteropolyacid catalyst. Green Energy Environ. 2019, 4, 328–341. [Google Scholar] [CrossRef]
- Zhang, Q.; Lei, D.; Luo, Q.; Wang, J.; Deng, T.; Zhang, Y.; Ma, P. Efficient biodiesel production from oleic acid using metal-organic framework encapsulated Zr-doped polyoxometalate nano-hybrids. RSC Adv. 2020, 10, 8766–8772. [Google Scholar] [CrossRef] [PubMed]
- Badruzzaman, A.; Yuda, A.; Ashok, A.; Kumar, A. Recent advances in cobalt based heterogeneous catalysts for oxygen evolution reaction. Inorg. Chim. Acta 2020, 511, 119854. [Google Scholar] [CrossRef]
- Farabi, M.S.A.; Ibrahim, M.L.; Rashid, U.; Taufiq-Yap, Y.H. Esterification of palm fatty acid distillate using sulfonated carbon-based catalyst derived from palm kernel shell and bamboo. Energy Convers. Manag. 2019, 181, 562–570. [Google Scholar] [CrossRef]
- Endalew, A.K.; Kiros, Y.; Zanzi, R. Inorganic heterogeneous catalysts for biodiesel production from vegetable oils. Biomass Bioenergy 2011, 35, 3787–3809. [Google Scholar] [CrossRef]
- Zhang, S.; Pan, H.; Huang, J.; Li, Y.; Zhang, H. A Highly Effective Biomass-Derived Solid Acid Catalyst for Biodiesel Synthesis Through Esterification. Front. Chem. 2022, 10, 882235. [Google Scholar] [CrossRef] [PubMed]
- Naeem, A.; Zaman, S.; Farooq, M.; Khan, I.W.; Ghazi, Z.A.; Saeed, T.; Hamayun, M. Biodiesel production from waste cooking oil employing natural bentonite supported heterogeneous catalyst: Waste to biodiesel. Korean J. Chem. Eng. 2022, 39, 1450–1459. [Google Scholar] [CrossRef]
- Maafa, I.M. Biodiesel Synthesis from High Free-Fatty-Acid Chicken Fat using a Scrap-Tire Derived Solid Acid Catalyst and KOH. Polymers 2022, 14, 643. [Google Scholar] [CrossRef] [PubMed]
- da Conceicao, L.R.V.; Reis, C.E.R.; De Lima, R.; Cortez, D.V.; De Castro, H.F. Keggin-structure heteropolyacid supported on alumina to be used in trans/esterification of high-acid feedstocks. RSC Adv. 2019, 9, 23450–23458. [Google Scholar] [CrossRef] [PubMed]
- Kurhade, A.; Dalai, A.K. Physiochemical characterization and support interaction of alumina-supported heteropolyacid catalyst for biodiesel production. Asia-Pac. J. Chem. Eng. 2018, 13, 2249. [Google Scholar] [CrossRef]
- Pandit, P.R.; Fulekar, M.H. Biodiesel production from microalgal biomass using CaO catalyst synthesized from natural waste material. Renew. Energy 2019, 136, 837–845. [Google Scholar] [CrossRef]
- Bharti, R.; Singh, B.; Oraon, R. Synthesis of Sn-CaO as a bifunctional catalyst and its application for biodiesel production from waste cooking oil. Biofuels 2023, 1–11. [Google Scholar] [CrossRef]
- Zhang, Y.; Niu, S.; Han, K.; Li, Y.; Lu, C. Synthesis of the SrO–CaO–Al2O3 trimetallic oxide catalyst for transesterification to produce biodiesel. Renew. Energy 2021, 168, 981–990. [Google Scholar] [CrossRef]
- Amesho, K.T.T.; Lin, Y.-C.; Chen, C.-E.; Cheng, P.-C.; Shangdiar, S. Kinetics studies of sustainable biodiesel synthesis from Jatropha curcas oil by exploiting bio-waste derived CaO-based heterogeneous catalyst via microwave heating system as a green chemistry technique. Fuel 2022, 323, 123876. [Google Scholar] [CrossRef]
- Hameed, A.; Naqvi, S.R.; Sikandar, U.; Chen, W.-H. One-Step Biodiesel Production from Waste Cooking Oil Using CaO Promoted Activated Carbon Catalyst from Prunus persica Seeds. Catalysts 2022, 12, 592. [Google Scholar] [CrossRef]
- Zhou, G.; Liang, Y.; Zheng, Z.; Ju, L. Application of dewatered paper sludge-derived porous solid base catalyst for biodiesel production: Physicochemical properties, reaction kinetics and thermodynamic studies. Env. Technol. 2022, 1–18. [Google Scholar] [CrossRef]
- Kim, J.; Jia, H.; Wang, P. Challenges in biocatalysis for enzyme-based biofuel cells. Biotechnol. Adv. 2006, 24, 296–308. [Google Scholar] [CrossRef]
- Asri, N.P.; Saraswati, R.; Hindarso, H.; Puspitasari, D.A.; Suprapto. Synthesis of biodiesel from kesambi (Schleichera oleosa L.) oil using carbon nanotube-supported zinc oxide heterogeneous catalyst. IOP Conf. Ser. Earth Environ. Sci. 2021, 749, 012048. [Google Scholar] [CrossRef]
- Asri, N.P.; Yuniati, Y.; Hindarso, H.; Suprapto; Yogaswara, R.R. Preparation of Multi-Walled Carbon Nanotubes Supported Zinc Oxide Catalyst for Transesterification of Kesambi (Schleichera oleosa) Oil. IOP Conf. Ser. Mater. Sci. Eng. 2020, 742, 012034. [Google Scholar] [CrossRef]
- Saeedi, M.; Fazaeli, R.; Aliyan, H. Nanostructured sodium–zeolite imidazolate framework (ZIF-8) doped with potassium by sol–gel processing for biodiesel production from soybean oil. J. Sol-Gel Sci. Technol. 2015, 77, 404–415. [Google Scholar] [CrossRef]
- Mittal, V.; Kumar Ghosh, U. Comparative analysis of two different nanocatalysts for producing biodiesel from microalgae. Mater. Today Proc. 2022, 63, 515–519. [Google Scholar] [CrossRef]
- Zhang, Y.; Duan, L.; Esmaeili, H. A review on biodiesel production using various heterogeneous nanocatalysts: Operation mechanisms and performances. Biomass Bioenergy 2022, 158, 106356. [Google Scholar] [CrossRef]
- Lani, N.S.; Ngadi, N. Highly efficient CaO–ZSM-5 zeolite/Fe3O4 as a magnetic acid–base catalyst upon biodiesel production from used cooking oil. Appl. Nanosci. 2022, 12, 3755–3769. [Google Scholar] [CrossRef]
- Arrais Gonçalves, M.; Karine Lourenço Mares, E.; Roberto Zamian, J.; Narciso da Rocha Filho, G.; Rafael Vieira da Conceição, L. Statistical optimization of biodiesel production from waste cooking oil using magnetic acid heterogeneous catalyst MoO3/SrFe2O4. Fuel 2021, 304, 121463. [Google Scholar] [CrossRef]
- Ghasemzadeh, B.; Matin, A.A.; Habibi, B.; Ebadi, M. Cotton/Fe3O4@SiO2@H3PW12O40 a magnetic heterogeneous catalyst for biodiesel production: Process optimization through response surface methodology. Ind. Crops Prod. 2022, 181, 114806. [Google Scholar] [CrossRef]
- Mansir, N.; Taufiq-Yap, Y.H.; Rashid, U.; Lokman, I.M. Investigation of heterogeneous solid acid catalyst performance on low grade feedstocks for biodiesel production: A review. Energy Convers. Manag. 2017, 141, 171–182. [Google Scholar] [CrossRef]
- Panchal, B.; Zhu, Z.; Qin, S.; Chang, T.; Zhao, Q.; Sun, Y.; Zhao, C.; Wang, J.; Bian, K.; Rankhamb, S. The current state applications of ethyl carbonate with ionic liquid in sustainable biodiesel production: A review. Renew. Energy 2022, 181, 341–354. [Google Scholar] [CrossRef]
- Guo, F.; Fang, Z.; Xu, C.C.; Smith, R.L. Solid acid mediated hydrolysis of biomass for producing biofuels. Prog. Energy Combust. Sci. 2012, 38, 672–690. [Google Scholar] [CrossRef]
- Nazloo, E.K.; Moheimani, N.R.; Ennaceri, H. Graphene-based catalysts for biodiesel production: Characteristics and performance. Sci. Total Environ. 2023, 859 (Pt 1), 160000. [Google Scholar] [CrossRef]
- Anuar, M.R.; Abdullah, A.Z. Challenges in biodiesel industry with regards to feedstock, environmental, social and sustainability issues: A critical review. Renew. Sustain. Energy Rev. 2016, 58, 208–223. [Google Scholar] [CrossRef]
- Orege, J.I.; Oderinde, O.; Kifle, G.A.; Ibikunle, A.A.; Raheem, S.A.; Ejeromedoghene, O.; Okeke, E.S.; Olukowi, O.M.; Orege, O.B.; Fagbohun, E.O.; et al. Recent advances in heterogeneous catalysis for green biodiesel production by transesterification. Energy Convers. Manag. 2022, 258, 115406. [Google Scholar] [CrossRef]
- Lin, L.; Cunshan, Z.; Vittayapadung, S.; Xiangqian, S.; Mingdong, D. Opportunities and challenges for biodiesel fuel. Appl. Energy 2011, 88, 1020–1031. [Google Scholar] [CrossRef]
- Haas, M.J.; McAloon, A.J.; Yee, W.C.; Foglia, T.A. A process model to estimate biodiesel production costs. Bioresour. Technol. 2006, 97, 671–678. [Google Scholar] [CrossRef] [PubMed]
- Apostolakou, A.A.; Kookos, I.K.; Marazioti, C.; Angelopoulos, K.C. Techno-economic analysis of a biodiesel production process from vegetable oils. Fuel Process. Technol. 2009, 90, 1023–1031. [Google Scholar] [CrossRef]
- Baddour, F.G.; Snowden-Swan, L.; Super, J.D.; Van Allsburg, K.M. Estimating Precommercial Heterogeneous Catalyst Price: A Simple Step-Based Method. Org. Process Res. Dev. 2018, 22, 1599–1605. [Google Scholar] [CrossRef]
- Gebremariam, S.N.; Marchetti, J.M. Economics of biodiesel production: Review. Energy Convers. Manag. 2018, 168, 74–84. [Google Scholar] [CrossRef]
- Gebremariam, S.N.; Marchetti, J.M. Techno-economic performance of a bio-refinery for the production of fuel-grade biofuel using a green catalyst. Biofuels Bioprod. Biorefining 2019, 13, 936–949. [Google Scholar] [CrossRef]
- Gebremariam, S.N.; Marchetti, J.M. Biodiesel production process using solid acid catalyst: Influence of market variables on the process’s economic feasibility. Biofuels Bioprod. Biorefining 2021, 15, 815–824. [Google Scholar] [CrossRef]
- Marchetti, J.M.; Errazu, A.F. Comparison of different heterogeneous catalysts and different alcohols for the esterification reaction of oleic acid. Fuel 2008, 87, 3477–3480. [Google Scholar] [CrossRef]
- Naveenkumar, R.; Baskar, G. Optimization and techno-economic analysis of biodiesel production from Calophyllum inophyllum oil using heterogeneous nanocatalyst. Bioresour. Technol. 2020, 315, 123852. [Google Scholar] [CrossRef]
- Naveenkumar, R.; Baskar, G. Process optimization, green chemistry balance and technoeconomic analysis of biodiesel production from castor oil using heterogeneous nanocatalyst. Bioresour. Technol. 2021, 320 (Pt A), 124347. [Google Scholar] [CrossRef]
- Mustapha, S.I.; Bux, F.; Isa, Y.M. Techno-economic analysis of biodiesel production over lipid extracted algae derived catalyst. Biofuels 2021, 13, 663–674. [Google Scholar] [CrossRef]
- Lee, J.C.; Lee, B.; Ok, Y.S.; Lim, H. Preliminary techno-economic analysis of biodiesel production over solid-biochar. Bioresour. Technol. 2020, 306, 123086. [Google Scholar] [CrossRef] [PubMed]
Disclaimer/Publisher’s Note: The statements, opinions and data contained in all publications are solely those of the individual author(s) and contributor(s) and not of MDPI and/or the editor(s). MDPI and/or the editor(s) disclaim responsibility for any injury to people or property resulting from any ideas, methods, instructions or products referred to in the content. |
© 2023 by the authors. Licensee MDPI, Basel, Switzerland. This article is an open access article distributed under the terms and conditions of the Creative Commons Attribution (CC BY) license (https://creativecommons.org/licenses/by/4.0/).







