Abstract
An efficient and environmentally benign one-pot condensation of cyclic diketones, aldehydes and naphthols was achieved with 1,4-diazabicyclo[2-2-2]octane supported on Amberlyst-15 as a novel catalyst, producing a variety of benzoxanthenones in good to excellent yields. The advantages of this multicomponent reaction include the use of a heterogeneous catalyst, solventless conditions and a simple methodology that is atom-economical and results in low E-factor values. A total of 17 xanthene derivatives, including two novel molecules, were synthesized and then characterized. Aromatic aldehydes carrying an electron-withdrawing group provided excellent yields. Appreciable results were also obtained using aliphatic aldehydes. The catalyst is fully recyclable and can be reused up to six times.
1. Introduction
In one-pot, multicomponent reactions (MCRs), three or more substrates react in the same pot to provide one final product [1]. The synthetic efficiency of such reactions is particularly valued in the fields of organic synthesis and pharmaceutical chemistry due to the reduction in the number of isolation and purification steps compared to linear synthesis. MCRs are also more economically profitable, less energy-demanding and less time-consuming [2].
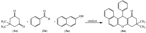
The continuous increase in research interest in the synthesis of xanthene derivatives is due to their low production costs and ample possibilities of functionalization [3]. The controlled direction of benzannulation and the regiochemistry are responsible for the absorption and emission frequencies of the molecule [4]. Xanthene derivatives can be used as fluorescent materials for pH sensors, dyes and laser technologies [5,6]. They also have appreciable pharmaceutical activities as anti-inflammatory, antibacterial and antiviral agents [7,8,9]. In recent years, benzoxanthenes have also been experimentally tested in live cell imaging and light-emitting diodes [10,11]. A number of protocols are available in the literature for the synthesis of benzo[α]xanthene derivatives employing multicomponent systems, which generally involve a reaction between an activated methylene source, an aldehyde and an aromatic nucleophile such as 2-napthol. When 1-naphthol is employed, the corresponding benzo[c]xanthene derivative is produced. The one-pot, multicomponent reaction between dimedone (1a), benzaldehyde (2a) and 2-naphthol (3a) to form the tetrahydro-benzo[α]xanthene-11-one derivative 4a in the presence of a heterogeneous catalyst is referred to as the model reaction (Scheme 1).
Scheme 1.
Model reaction between dimedone (1a), benzaldehyde (2a) and 2-naphthol (3a) in the presence of a heterogeneous catalyst to form the tetrahydrobenzo[α]xanthene-11-one derivative (4a).
In general, appreciable results have been achieved in terms of reaction efficiency. However, most of the synthetic methodologies reported in the literature are not as efficient in terms of environmental sustainability. The use of homogeneous or metal-based catalysts is still widespread [12,13]. Moreover, many research papers still report the use of toxic solvents, such as dichloromethane [14]. Most of the catalysts used are not efficient in term of product selectivity, and side product formation is common [15]. Homogeneous catalysts were mainly employed at the first stages of research on the synthesis of xanthene derivatives. Both Brønsted and Lewis acids were found to perform well, resulting in appreciable yields of product within short times. The reaction efficiency of homogeneous catalysts can be explained in terms of their active interaction with the reactants, which are in the same physical state as the catalyst. However, a number of limitations are associated with this catalytic method, including complex workup procedures, the use of toxic solvents and harsh conditions and inefficient recovery of the catalyst from the reaction mixture [16]. Some examples include the use of trichloroacetic acid [16], oxalic acid [17] and ruthenium (III) chloride [18].
In recent years, a growing number of publications reported the use of heterogeneous catalysts, since they can be easily recycled, thereby decreasing waste formation, and also usually result in a clean and safe synthetic process. Most supported catalysts are easily prepared from cheap materials and are stable at relatively high temperatures. Some examples include the use of Fe3O4/SiO2-supported polyphosphoric acid, NaHSO4/SiO2 and Cu/SiO2 [12,19,20]. In continuation of our studies on MCRs under green and heterogeneous catalysis [21,22] we developed a green and environmentally sustainable method for the synthesis of various xanthene derivatives with low E-factor values using DABCO/Amberlyst-15 as a fully recyclable heterogeneous catalyst and under solventless conditions.
2. Results
2.1. Catalyst Screening and Reaction Condition Optimization
Catalyst screening was carried out in order to identify which type of catalysts perform best. All trials were carried out at an oil bath temperature of 120 °C, with the reactants dimedone (1a), benzaldehyde (2a) and 2-naphthol (3a) in a 1.3:1:1 ratio and 2.6:2:2 mmol scale. All heteropolyacids in this study used were in powder form. The results are reported in Table 1, where rows highlighted in green identify the best yields.
Table 1.
Catalyst screening from the model reaction between dimedone (1a), benzaldehyde (2a) and 2-naphthol (3a).
According to the screening, it appears that both acidic and basic catalysis afford appreciable yields of product within relatively short reaction times. The trial in the absence of catalyst did not result in product formation, confirming that a catalyst was needed for the reaction to take place. Weakly acidic catalysts such as Amberlyst-15, CuI and CuCl2 performed poorly, resulting in low product yields. More acidic catalysts, such as phosphotungstic acid on alumina (H3[P(W3O10)4]/Al₂O₃), provided appreciable yields, with silicotungstic acid on Amberlyst-15 (H4[W12SiO40]/Amberlyst-15) providing the highest yield amongst the reported acidic catalysts. Montmorillonite catalysts also provided unsatisfactory yields. They are clay minerals that behave as Lewis acid catalysts. Montmorillonite K30, which is more acidic than montmorillonite K10, performed slightly better, but provided an overall low yield compared to the other catalysts. Cu(II)-loaded montmorillonite K10 performed well, providing a satisfactory 60% product yield of. Both the copper(II) ions and the mineral ions on the MK10 surface are believed to take part in the catalytic process. The increased catalytic activity is thought to be due to the increased acidity of the loaded clay catalyst and higher number of coordination sites. Unexpectedly, H4[W12SiO40]/montmorillonite K10 resulted in a low yield of product (only 29%). However, a higher yield of product was obtained when supporting H4[W12SiO40] on Amberlyst-15. The acidity of Amberlyst-15 is due to the sulfonic groups. Silicotungstic is a highly acidic heteropoly acid. When anchored on an acidic support such as Amberlyst-15, the acidic properties of the loaded catalyst are increased, resulting in improved yields of product.
While the moderately basic Amberlyst-A21 catalyst performed well, more basic catalysts such as 1,4-diazabicyclo[2.2.2]octane (DABCO) resulted in a low product yield of. Amberlyst-A-21 is an ion-exchange resin, with the basic character provided by the dimethyl amino groups bonded to the resin matrix. DABCO is a caged tertiary diamine, behaving as a strong hindered amine base in chemical synthesis. The best yield (85%) was obtained using the DABCO/Amberlyst-15 catalyst, which shows both basic and acidic properties. In the form of beads, DABCO/Amberlyst-15 is very easy to handle. Its preparation is simple and does not involve harsh conditions. It is a fully organically based catalyst with a lower toxicity than metal-based catalysts such as CuI, CuCl2 and H4[W12SiO40]-loaded catalysts. Furthermore, as a heterogeneous catalyst, it can easily be isolated from the reaction mixture by simple filtration.
Then, the optimization of the process was carried out on the model reaction with dimedone, benzaldehyde and 2-naphtol in a 1.3:1:1 ratio (2.6:2:2 mmol scale), respectively, using DABCO/Amberlyst-15 in different quantities and loadings, as reported in Table 2. The reaction was then tested under different temperatures, reactant ratios and reaction times and under almost solventless conditions (0.5 mL). The reaction was monitored through the use of thin-layer chromatography using a solvent mixture of 7:3 hexane: ethyl acetate. The best result (yield = 92%, entry 11) was obtained using 24% mmol of 30.00% w/w DABCO on Amberlyst-15, with the reactants in a 1.3:1:1 ratio, under solventless conditions and at an oil bath temperature of 120 °C under mild stirring for 2 h. The product was dried under vacuum overnight.
Table 2.
Reaction condition optimization using DABCO/Amberlyst-15.
In order to demonstrate the efficiency of the synthetic pathway for high-volume productions, the model reaction was scaled-up by factors of 3× and 5×, under the aforementioned optimal selected conditions, obtaining identical results.
2.2. Substrate Screening
The developed optimized method has the advantage of being both efficient, producing a high yield of product within a relatively short time, and environmentally benign. Therefore, we moved on to the next part of the study, investigating the versatility of the reaction using different substrates using the developed optimal method. The reaction was carried out using different aromatic and aliphatic aldehydes and by replacing dimedone with cyclohexanedione or 2-naphthol with 1-naphthol in order to determine how the yield and reaction times would vary compared to those of the model reaction, as shown in Table 3. Each reaction was carried out with diketone, aldehyde and naphthol on a 2.6:2:2 mmol scale, using 24% mmol of 30.00% w/w DABCO/Amberlyst-15 at an oil bath temperature of 120 °C under neat conditions.
Table 3.
Yields and reaction times for the synthesis of various xanthenes (4a–q) from diketones (1a–b), aldehydes (2a–o) and naphthols (3a–b).
To explain the obtained results from the perspective of the substrate scope, a plausible mechanism was proposed for the preparation of tetrahydrobenzoxanthen-11-one derivatives using DABCO/Amberlyst-15 catalyst (Scheme 2). As reported in the literature [27], the reaction proceeds via the formation of a Knoevenagel intermediate (vii) from the reaction between dimedone and benzaldehyde. The catalysts aids in the keto–enol tautomerization of dimedone (1), forming an enolate. The next step of the mechanism involves the nucleophilic attack of the enolate to the carbonyl carbon of benzaldehyde (2a). The formed intermediate (v) is protonated by the catalyst, which bears one of the methylene hydrogens from the enolization step, forming intermediate vi. The high reaction temperature employed favors a dehydration step to form Knoevenagel intermediate vii. The next step is the Michael addition reaction of 2-naphthol (3a) with the Knoevenagel intermediate (vii), which is a Michael acceptor, producing intermediate viii. Ring cyclization is achieved by nucleophilic attack of the alkoxide ion to the naphthyl carbonyl carbon to form intermediate ix. A dehydration step yields the xanthene product (4a).
Scheme 2.
Proposed mechanism for the model reaction catalyzed by DABCO/Amberlyst-15, described herein as HDABCO+A15−.
The aldehyde is involved in the first step of the reaction mechanism, which is the Knoevenagel condensation reaction between dimedone and the aldehyde. The reactivity of the aldehyde depends on its substituents. Electron-withdrawing groups increase the electrophilicity of the carbonyl carbon, making it more prone to undergo nucleophilic attack by the enolate ion from dimedone. The results of negative inductive effects can be appreciated by comparing the yields and reaction times of the products obtained using 4-fluorobenzaldehyde (2b), 4-chlorobenzaldehyde (2c), 4-nitrobenzaldehyde (2f) and 4-cyanobenzaldehyde (2k) as substrates. Instead, 4-hydroxybenzaldehyde (2g) and heptanal (2o) were less reactive, as indicated by the increase in reaction time. This is due to the positive mesomeric effect exerted by the hydroxyl group in 4-hydroxylbenzaldehyde and by the positive inductive effect of the alkyl chain in heptanal. A high yield of product (84%) was obtained using 1-naphthol (3b), forming a benzo[c]xanthene (4q). The yield was slightly lower than that obtained with 2-naphthol (entry 1) due to the lower electron density at the β position of 1-naphthol.
2.3. Hot Filtration Test
In order to confirm that the reaction was running under heterogeneous catalysis, a hot filtration test was carried out. The test involved filtration of the catalyst from the reaction mixture when the first traces of product were observed (15 min after the initial heating and stirring). The filtrate was then allowed to react for 24 h in the absence of the catalyst. Only a trace amount of product was obtained at the end of the reaction (<1 mg), which probably formed when the heterogeneous catalyst was still present in the reaction mixture. The obtained result confirmed the heterogeneity of the catalytic system.
2.4. Catalyst Recycling Test
The model reaction between dimedone (1a), benzaldehyde (2a) and 2-naphthol (3a) was repeated for up to five cycles with the same recycled catalyst, obtaining a minor decrease in the product yield (from 92% to 79%), as shown in Figure 1. The reduced yield was probably due to some of the reaction constituents being adsorbed onto the catalyst. In the sixth cycle, the yield dropped drastically, so it was decided to stop the recycling of the catalyst. Between each cycle, the catalyst was filtered and dried in an oven at 100 °C overnight. After the sixth cycle, the filtrate was injected into the GC to check that DABCO did not leach out. The test confirmed that no DABCO was present in the mixture.
Figure 1.
Catalyst recycling test for the model reaction between dimedone, benzaldehyde and 2-naphthol.
2.5. Green Metrics
In order to quantify the environmental impact of the synthetic pathways considered in this study and therefore discuss the overall greenness of the processes, calculation of environmental performance metrics was needed. Two mass-based metrics were considered: the E factor and the atom economy. Both methods measure the formation of waste in the synthetic process. The E factor takes into account the chemicals used, solvent losses and all other process requirements. It represents the amount of waste generated per kilogram of product, as shown in the equation below (Equation (1)). Its calculation allows for efficient quantification of the “environmental acceptability” of the process [28]. The closer the E-factor value is to zero, the more the process can be regarded as environmentally innocuous. The E factor of the model reaction is equal to:
Most of the synthesized products have an E-factor value close to zero, indicating that little waste is produced. This is a result of the catalyst being recycled and the solventless conditions employed. Another important parameter in green chemistry is the atom economy (AE), a theoretical value that indicates the efficiency of a chemical reaction [29]. It can be defined as the proportion of reagent atoms incorporated into the final product. The AE is calculated as the ratio of the molecular weight of the desired product over the molecular weight of all the reactants used in the process (Equation (2)). The atom economy of the model reaction is equal to:
A high atom economy indicates that most of the reactants are incorporated into the final product structure, with minimum waste formation. Most reactions resulted in the incorporation of more than 90% of the starting materials into the final product, with minimal waste production. The mechanism behind these reactions involves the elimination of two water molecules. As water molecules are small fragments, only a minimal decrease in the total incorporation of the starting materials was observed, as highlighted by the high obtained atom economy values.
3. Materials and Methods
3.1. General
All commercially available chemicals were purchased from Aldrich (St. Louis, MO, USA) and used without further purification. IR spectra were recorded on an IR Affinity-1 FTIR spectrometer (Shimadzu, Kyoto, Japan) calibrated against a 1602 cm−1 polystyrene absorbance spectrum. Samples were analyzed as thin films in between sodium chloride discs. The 1H NMR spectra were recorded on an Avance III HD® NMR spectrometer (Bruker, Coventry, England) equipped with an Ascend 500 11.75 Tesla superconducting magnet operating at 500.13 MHz for 1H and a multinuclear 5 mm PABBO probe (Bruker, Coventry, UK). Samples were dissolved in the deuterated solvent specified in the section on the analytical information. Melting points of products were measured using a Stuart® SMP11 melting point determination apparatus fitted with a mercury thermometer. Reactions were monitored using TLC plates composed of silica on PET with a fluorescent indicator and GC on a Shimadzu GC-2010 plus gas chromatograph equipped with a flame ionization detector and HiCap 5 GC column with dimensions of 0.32 mm (internal diameter) × 30 m (length) × 0.25 mm (film thickness), using nitrogen as carrier gas. Plates were observed under a UV lamp at a wavelength of 254 nm before staining in an iodine-saturated chamber.
3.2. Overall Method
A double-necked, round-bottom flask was secured to a Liebig condenser, and 2.6 mmol of dimedone, 2 mmol of benzaldehyde, 2 mmol of 2-naphthol and 24 mmol of DABCO/Amberlyst-15 (30% w/w) were added to it. The reaction mixture was stirred in an oil bath at 120 °C. The reaction progress was monitored by TLC and GC. The reaction was stopped when the starting materials were consumed. The reaction mixture was then allowed to cool down to room temperature and, after that, acetone (5 mL) was added. The mixture was left under mild stirring for 10 min to allow all the solid materials to dissolve. The catalyst was filtered off using a sintered funnel, and the reaction mixture was concentrated with a rotary evaporator at 40 °C under reduced pressure to remove the solvent. The obtained crude product was weighed and purified by recrystallisation using an 8:2 methanol/water solvent mixture. To maximize crystal formation, the mixture was left at room temperature for 24 h, then placed in a fridge for 24 h, followed by a further 24 h in a freezer. The product was then filtered off and washed with 1 mL of diethyl ether. The purified product was left to air dry for 24 h, then stored in a desiccator. The product was characterized by recording the melting point and by retrieving the IR and 1H-NMR spectra. In the case of novel compounds or when deemed necessary, 13C-NMR and MS analyses were also carried out.
3.3. Hot Filtration Test
A filtration test was carried out to assess the heterogeneity of the catalytic system. The optimized model reaction was repeated. Fifteen minutes after the initial heating and stirring, it was ensured that product formation occurred by running a TLC plate. The catalyst was then filtered off, and the filtrate was left to react for 24 h in the absence of the catalyst. If leaching of the catalyst occurred from the resin support, product formation would have been expected. After that, the mixture was filtered to check if any crystals of the product could be recovered.
3.4. Catalyst Recycling Test
A catalyst recycling test was carried out by repeating the model reaction for a number of cycles, using the same recycled catalyst in every new cycle until a substantial decrease in the product yield was observed. Between cycles, the catalyst was washed with ethanol and dried in the oven at 100 °C for 24 h. A reaction time of 2.0 h was maintained for all cycles.
3.5. Analytical Information
9,9-dimethyl-12-phenyl-8,9,10,12-tetrahydrobenzo[a]xanthen-11-one (4a) [30] C25H22O2. White solid. MP: 150–152 °C. IR (NaCl, cm−1): 3061 (w), 3026 (w), 2959 (m), 2930 (m), 1601 (s), 1493 (m), 1470 (w), 1447 (m), 1385 (m), 1377 (s), 1304 (m) 1252 (m), 1166 (m), 1119 (m), 1069 (m), 1043 (m), 760 (m), 721.4 (m), 696.3 (m). 1H-NMR (500 MHz, CDCl3): δ 7.99 (d, J = 8.4 Hz, 1H, Ar–H), 7.78–7.75 (m, 2H, Ar–H), 7.43 (ddd, J = 8.3, 6.8, 1.1 Hz, 1H, Ar–H), 7.37 (ddd, J = 8.3, 6.8, 1.1 Hz, 1H, Ar–H), 7.35–7.31 (m, 3H, Ar–H), 7.16 (td, J = 7.4, 7.2 Hz, 2H, Ar–H), 7.05 (tt, J = 7.4, 1.2 Hz, 1H, Ar–H), 5.71 (s, 1H, CH), 2.57 (s, 2H, CH2), 2.28 (AB system, J = 16.3 Hz, 2H, CH2), 1.12 (s, 3H, CH3), 0.96 (s, 3H, CH3). 13C-NMR (126 MHz, Chloroform-d): δ 196.81, 163.83, 147.73, 144.72, 131.47, 131.38, 128.79, 128.39 (2C), 128.34, 128.19 (2C), 126.96, 126.75, 126.20, 124.85, 123.65, 117.68, 114.25, 50.88, 41.38, 34.68, 32.22, 29.26, 27.13. MS (ES+): m/z 355.16 [M+] (≈10%), 277.19 (≈50%), 221.07 (≈15%), 193.10 (≈30%), 165.01 (100%).
12-phenyl-8,9,10,12-tetrahydrobenzo[a]xanthen-11-one (4b) [30] C23H18O2. White solid. MP: 192–195 °C. IR (NaCl, cm−1): 3056 (w), 3022 (w), 2952 (w), 2888 (w), 1647 (m), 1593 (s), 1492 (w), 1452 (w), 1421 (w), 1374 (m), 1284 (w), 1223 (s), 1188 (m), 1137 (w), 1029 (w), 999.4 (w), 951 (w), 772.1 (s), 698.8 (m). 1H-NMR (500 MHz, Chloroform-d): δ 7.96 (d, J = 8.4 Hz, 1H, Ar–H), 7.78–7.75 (m, 2H, Ar–H), 7.42 (ddd, J = 8.2, 6.7, 1.1 Hz, 1H, Ar–H), 7.37 (ddd, J = 8.2, 6.7, 1.1 Hz, 1H, Ar–H), 7.35–7.32 (m, 3H, Ar–H), 7.18–7.15 (m, 2H, Ar–H), 7.08–7.04 (m, 1H, Ar–H), 5.74 (s, 1H, CH), 2.10–1.96 (m, 6H, CH2).
9,9-dimethyl-12-(4-fluorophenyl)-8,9,10,12-tetrahydrobenzo[a]xanthen-11-one (4c) [31] C25H21O2F. White solid. MP: 180–182 °C. IR (NaCl, cm−1): 3069 (w), 3013 (w), 2959 (m), 2928 (w), 1651 (s), 1595 (s), 1506 (m), 1468 (w), 1373 (s), 1225 (s), 1182 (m), 1157 (m), 1015 (w), 839 (m), 814 (m), 756.1 (m), 663.5 (w), 613.4 (w), 538.1 (w). 1H-NMR (500 MHz, acetone-d6): δ 8.05 (d, J = 8.1 Hz, 1H, Ar–H), 7.92–7.89 (m, 2H, Ar–H), 7.51–7.48 (m, 2H, Ar–H), 7.44–7.41 (m, 3H, Ar–H), 7.36 (dd, J = 8.8, 5.4 Hz, 2H, Ar–H) 6.94 (t, 2H, J = 8.9 Hz, Ar–H), 5.68 (s, 1H, CH), 2.67 (AB system, J = 17.2 Hz, 2H, CH2), 2.35 (d, J = 17.4 Hz, 1H, CH2), 2.19 (dd, J = 16.0, 1.5 Hz, 1H, CH2), 1.13 (s, 3H, CH3), 0.96 (s, 3H, CH3). 13C-NMR (126 MHz, acetone-d6): δ 196.44, 164.54, 162.08 (d, J = 243.5 Hz, C–F), 148.81, 142.26, 135.50, 132.63, 132.19, 131.15, 130.13 (2C), 129.54, 128.01, 125.93, 124.42, 118.32, 118.18 (2C), 115.59, 51.38, 41.63, 32.80, 32.34, 29.52, 27.00.
9,9-dimethyl-12-(4-chlorophenyl)-8,9,10,12-tetrahydrobenzo[a]xanthen-11-one (4d) [30] C25H21O2F. White solid. MP: 178–181 °C. IR (NaCl, cm−1): 3075 (w), 3019 (w), 2958 (w), 2949 (w), 1653 (s), 1594 (s), 1517 (s), 1373 (s), 1345 (s), 1225 (s), 1014 (w), 831.2 (m), 750.4 (m), 663.5 (m), 513.1 (w). 1H-NMR (500 MHz, acetone-d6): δ 8.04 (d, J = 8.5 Hz, 1H, Ar–H), 7.93–7.89 (m, 2H, Ar–H), 7.53–7.47 (m, 1H, Ar–H), 7.46–7.40 (m, 2H, Ar–H), 7.37–7.34 (m, 2H, Ar–H) 7.23–7.18 (m, 2H, Ar–H), 5.67 (s, 1H, CH), 2.80 (s, 1H, CH2), 2.74–2.60 (AB system, J = 17.4 Hz, 2H, CH2), 2.35 (d, J = 16.1 Hz, 1H, CH2), 2.19 (d, J = 16.1 Hz, 1H, CH2), 1.13 (s, 3H, CH3), 0.96 (s, 3H, CH3).
9,9-dimethyl-12-(2,4-dichlorophenyl)-8,9,10,12-tetrahydrobenzo[a]xanthen-11-one (4e) [31] C25H20O2Cl2. White solid. MP: 180–182 °C. IR (NaCl, cm−1): 3057 (w), 3013 (w), 2957 (w), 2928 (w), 1651 (s), 1595 (m), 1557 (m), 1518 (m), 1470 (m), 1371 (s), 1223 (s), 1167 (m), 1140 (m), 1103 (m), 1045 (w), 1026 (w), 846.8 (m), 815.9 (m), 771.5 (s), 665.4 (w). 1H-NMR (500 MHz, Chloroform-d): δ 8.15 (d, J = 8.5 Hz, 1H, Ar–H), 7.78–7.75 (m, 2H, Ar–H), 7.50–7.47 (m, 1H, Ar–H), 7.41–7.38 (m, 1H, Ar–H), 7.29–7.27 (m, 2H, Ar–H) 7.22 (m, 1H, Ar–H), 7.06 (dd, J = 8.5, 2.2 Hz, 1H, Ar–H), 5.94 (s, 1H, CH), 2.74–2.60 (m, 2H, CH2), 2.27 (AB system, 2H, J = 16.3 Hz, CH2), 1.14 (s, 3H, CH3), 1.01 (s, 3H, CH3).
9,9-dimethyl-12-(2-chlorophenyl)-8,9,10,12-tetrahydrobenzo[a]xanthen-11-one (4f) [31] C25H21O2F. White solid. MP: 172–174 °C. IR (NaCl, cm−1): 3063 (w), 2982 (w), 2955 (w), 1721 (m), 1609 (s), 1470 (m), 1381 (m), 1290 (m), 1229 (m), 1140 (m), 1070 (m), 987.6 (m), 744.5 (m), 694.4 (w). 1H-NMR (500 MHz, Chloroform-d): δ 7.90 (d, J = 8.4 Hz, 1H, Ar–H), 7.80–7.76 (m, 2H, Ar–H), 7.45–7.42 (m, 1H, Ar–H), 7.40–7.37 (m, 1H, Ar–H), 7.32 (d, J = 8.9 Hz, 1H, Ar–H), 7.28–7.26 (m, 2H, Ar–H), 7.14–7.12 (m, 1H, Ar–H), 5.68 (s, 1H, CH), 2.57 (s, 2H, CH2), 2.28 (AB system, J = 16.4 Hz, 2H, CH2), 1.12 (s, 3H, CH3), 0.96 (s, 3H, CH3).
9,9-dimethyl-12-(4-nitrophenyl)-8,9,10,12-tetrahydrobenzo[a]xanthen-11-one (4g) [32] C25H21NO4. White solid. MP: 177–179 °C. IR (NaCl, cm−1): 3075 (w), 3019 (w), 2958 (w), 2949 (w), 1652 (s), 1595 (s), 1516 (s), 1373 (s), 1345 (s), 1225 (s), 1167 (w), 1015 (w), 833.2 (m), 750.3 (s), 690.5 (w). 1H-NMR (500 MHz, acetone-d6): δ 8.14–8.03 (m, 3H, Ar–H), 7.96 (d, J = 8.9 Hz, 1H, Ar–H), 7.92 (d, J = 8.0 Hz, 1H, Ar–H), 7.65–7.62 (m, 2H, Ar–H), 7.53 (ddd, J = 8.4, 6.9, 1.4 Hz, 1H, Ar–H), 7.48–7.39 (m, 2H, Ar–H), 5.82 (s, 1H, CH), 2.76–2.64 (m, 2H, CH2), 2.39 (d, J = 16.1 Hz, 1H, CH2), 2.21 (dd, J = 16.1, 1.5 Hz, 1H, CH2), 1.14 (s, 3H, CH3), 0.95 (s, 3H, CH3).
9,9-dimethyl-12-(4-hydroxyphenyl)-8,9,10,12-tetrahydrobenzo[a]xanthen-11-one (4h) [31] C25H22O3. White solid. MP: 220–222 °C. IR (NaCl, cm−1): 3310 (br, m), 3019 (w), 2958 (w), 1634 (s), 1592 (s), 1511 (s), 1540 (m), 1378 (s), 1225 (s), 1711 (m), 1029 (w), 837.1 (m), 756.8 (s), 665 (w), 539.8 (w). 1H-NMR (500 MHz, acetone-d6): δ 8.09 (d, J = 8.5 Hz, 1H, Ar–H), 7.89- 7.86 (m, 2H, Ar–H), 7.50 (ddd, J = 8.4, 6.8, 1.4 Hz, 1H, Ar–H), 7.46–7.37 (m, 2H, Ar–H), 7.17–7.13 (m, 2H, Ar–H), 6.65–6.62 (m, 2H, Ar–H), 5.58 (s, 1H, CH), 2.70–2.58 (m, 2H, Ar–H), 2.33 (d, J = 16.1 Hz, 1H, CH2), 2.17 (dd, J = 16.1, 1.5 Hz, 1H, CH2, 1.13 (s, 3H, CH3), 0.98 (s, 3H, CH3). 13C-NMR (126 MHz, chloroform-d): δ 198.22, 164.59, 154.67, 147.77, 136.76, 131.73, 131.58, 129.70 (2C), 128.93, 128.56, 127.16, 125.10, 123.97, 118.08, 117.18, 115.51 (2C), 114.70, 51.06, 41.61, 34.10, 32.54, 29.39, 27.34.
9,9-dimethyl-12-(2-hydroxyphenyl)-8,9,10,12-tetrahydrobenzo[a]xanthen-11-one (4i) [33] C25H22O3. White solid. MP: 220–222 °C. IR (NaCl, cm−1): 3201 (br, m), 3052 (w), 2951 (w), 2945 (w), 1630 (s), 1593 (s), 1483 (s), 1380 (m), 1234 (s), 1144 (w), 1070 (w), 1030 (w), 848.6 (w), 809.7 (m), 765.3 (m), 720.3 (w), 688.5 (w). 1H-NMR (500 MHz, dimethyl sulfoxide-d6): δ 9.62 (s, 1H, OH), 8.30 (d, J = 8.4, 1H, Ar–H), 7.87 (d, J = 7.8 Hz, 1H, Ar–H), 7.85 (d, J = 8.8 Hz, 1H, Ar–H), 7.48 (ddd, J = 8.8, 6.8, 1.4 Hz, 1H, Ar–H), 7.42–7.38 (m, 1H, Ar–H), 7.39 (d, J = 8.4 Hz, 1H, Ar–H), 7.00 (d, J = 7.6 Hz, 1H), 6.89–6.85 (m, 1H, Ar–H), 6.70 (dd, J = 8.0, 0.8 Hz, 1H, Ar–H), 6.61–6.59 (m, 1H, Ar–H), 5.75 (s, 1H, CH), 2.70 (d, J = 16.4 Hz, 1H, CH2), 2.58 (d, J = 16.3 Hz, 1H, CH2) 2.34 (d, J = 15.2 Hz, 1H, CH2), 2.11 (d, J = 15.3 Hz, 1H, CH2), 1.07 (s, 3H, CH3), 0.94 (s, 3H, CH3). 13C-NMR (126 MHz, chloroform-d): δ 200.81, 167.01, 153.07, 148.02, 132.92, 131.72, 131.30, 129.30, 128.94, 128.43, 128.08, 122.70, 125.44, 123.64, 121.73, 119.02, 117.67, 116.76, 114.11, 50.44, 41.77, 32.57, 29.24, 28.20, 27.40.
9,9-dimethyl-12-(2-methoxyphenyl)-8,9,10,12-tetrahydrobenzo[a]xanthen-11-one (4j) [31] C26H24O3. White solid. MP:165–167 °C. IR (NaCl, cm−1): 3064 (w), 3007 8w), 2956 (m), 2934 (m), 1717 (s), 1596 (s), 1489 (m), 1464 (m), 1379 (m), 1240 (s), 1166 (w), 1106 (w), 1056 (m), 1001 (m), 812.9 (w), 753.1 (s), 664.5 (w), 576 (w), 516.8 (w). 1H-NMR (500 MHz, Chloroform-d): δ 7.77–7.76 (m, 1H, Ar–H), 7.71 (d, J = 8.9 Hz, 1H), 7.31–7.27 (m, 2H, Ar–H), 7.22–7.19 (m, 2H, Ar–H), 7.06 (d, J = 8.9 Hz, 1H, Ar–H), 6.96 (d, J = 8.3 Hz, 1H, Ar–H), 6.89 (td, J = 7.6, 1.2 Hz, 1H, Ar–H), 6.79 (dd, J = 8.1, 1.2 Hz, 1H, Ar–H), 5.62 (s, 1H, CH), 3.71 (s, 3H, CH3), 2.44–2.10 (m, 4H, CH2), 1.13 (s, 3H, CH3), 1.02 (s, 3H, CH3). 13C-NMR (126 MHz, chloroform-d): δ 205.27, 189.41, 157.32, 156.66, 132.58, 130.08, 129.28, 128.68, 128.50, 128.38, 127.66, 127.01, 126.64, 123.89, 123.71, 120.17, 119.01, 116.65, 110.33, 55.46, 53.90, 33.17, 33.06, 31.40, 29.41, 26.75.
9,9-dimethyl-12-(furan-2-yl)-8,9,10,12-tetrahydrobenzo[a]xanthen-11-one (4k) [34] C23H20O3. Pale pink solid. MP: 170–172 °C. IR (NaCl, cm−1): 3069 (m), 3011(m), 2958 (s), 2930 (m), 1651 (s), 1595 (m), 1516 (w), 1374 (s), 1225 (s), 1177 (s), 1030 (m), 814 (s), 751.2 (s), 698.2 (s), 667.4 (m). 1H-NMR (500 MHz, Chloroform-d): δ 8.04 (dd, J = 8.6, 1.1 Hz, 1H, Ar–H), 7.81 (d, J = 8.1 Hz, 1H, Ar–H), 7.78 (d, J = 9.0 Hz, 1H, Ar–H) 7.48 (ddd, J = 8.4, 6.8, 1.4 Hz, 1H, Ar–H), 7.42 (ddd, J = 8.0, 6.8, 1.2 Hz, 1H, Ar–H), 7.31 (d, J = 9.0 Hz, 1H, Ar–H), 7.00 (dd, J = 4.9, 1.4 Hz, 1H, Ar–H), 6.77–6.74 (m, 2H, Ar–H), 6.04 (s, 1H, CH), 2.56 (s, 2H, CH2), 2.35 (s, 2H, CH2), 1.13 (s, 3H, CH3), 1.05 (s, 3H, CH3). 13C-NMR (126 MHz, Chloroform-d): δ 197.04, 164.77, 148.74, 147.94, 131.60, 131.57, 129.30, 128.62, 127.36, 126.48, 125.25, 125.18, 124.21, 123.69, 117.35, 117.27, 113.98, 51.03, 41.55, 32.44, 29.57, 29.48, 27.41.
9,9-dimethyl-12-(4-cyanophenyl)-8,9,10,12-tetrahydrobenzo[a]xanthen-11-one (4l) [3] C26H21NO2. Pale brown solid. MP: 199–201 °C. IR (NaCl, cm−1): 3059 (w), 3017 (w), 2958 (m), 2930 (w), 2226 (m), 1651 (s), 1595 (m), 1516 (m), 1499 (m), 1468 (w), 1373 (s), 1224 (s), 1024 (w), 933.5 (w), 846.8 (m), 814 (m), 754.1 (s), 665.5 (w), 553.5 (w). 1H-NMR (500 MHz, Chloroform-d): δ 7.84–7.80 (m, 3H, Ar–H), 7.47–7.39 (m, 6H, Ar–H), 7.34 (d, J = 8.9 Hz, 1H, Ar–H), 5.76 (s, 1H, CH), 2.59 (AB system, J = 18.4 Hz, 2H, CH2), 2.29 (AB system, J = 16.0 Hz, 2H, CH2), 1.13 (s, 3H, CH3), 0.95 (s, 3H, CH3). 13C-NMR (126 MHz, Chloroform-d): δ 196.90, 164.69, 150.03, 147.98, 132.34 (2C), 131.71, 131.21, 129.69, 129.42 (2C), 129.79, 127.49, 125.36, 123.31, 119.02, 117.23, 116.28, 113.28, 110.29, 50.94, 41.55, 35.17, 32.41, 29.44, 27.21.
9,9-dimethyl-12-(4-methylphenyl)-8,9,10,12-tetrahydrobenzo[a]xanthen-11-one (4m) [31] C26H24O2. White solid. MP: 174–176 °C. IR (NaCl, cm−1): 3069 (m), 3011 (m), 2958 (s), 2930 (m), 1651 (s), 1595 (m), 1516 (m), 1374 (s), 1225 (s), 1177 (m), 1030 (w), 814 (m), 715.2 (s), 698.2 (s), 667.4 (m). 1H-NMR (500 MHz, Chloroform-d): δ 8.0 (d, J = 8.0 Hz, 1H, Ar–H), 7.77 (d, J = 8.1 Hz, 1H, Ar–H), 7.74 (d, J = 9.0 Hz, 1H, Ar–H), 7.42 (ddd, J = 8.4, 6.9, 1.4 Hz, 1H, Ar–H), 7.36 (ddd, J = 8.0, 6.8, 1.2 Hz, 1H, Ar–H), 7.31 (d, J = 8.9 Hz, 1H, Ar–H), 7.22 (d, J = 8.1 Hz, 2H, Ar–H), 6.97 (d, J = 7.9 Hz, 2H, Ar–H), 5.66 (s, 1H, CH), 2.56 (s, 2H, CH2), 2.27 (AB system, J = 16.1 Hz, 2H, CH2), 2.19 (s, 3H, CH3), 1.11 (s, 3H, CH3), 0.98 (s, 3H, CH3). 13C-NMR (126 MHz, Chloroform-d): δ 197.08, 163.95, 147.88, 142.05, 135.83, 131.68, 131.62, 129.12 (2C), 128.89, 128.55, 128.46 (2C), 127.14, 125.03, 123.87, 118.08, 117.22, 114.58, 51.12, 41.61, 34.48, 32.46, 29.45, 27.46, 21.16.
9,9-dimethyl-12-butyl-8,9,10,12-tetrahydrobenzo[a]xanthen-11-one (4n) [35] C23H26O2. White solid. MP: 121–123 °C. IR (NaCl, cm−1): 3059 (w), 3010 (w), 2956 (m), 2930 (m), 2859 (w), 1655 (s), 1651 (s), 1595 (m), 1464 (w), 1392 (m), 1287 (w), 1224 (s), 1117 (m), 1146 (w), 1024 (w), 812.5 (m), 748.4 (mw), 654.6 (w). 1H-NMR (500 MHz, Chloroform-d): δ 8.10 (d, J = 8.4 Hz, 1H, Ar–H), 7.82 (d, J = 8.1 Hz, 1H, Ar–H), 7.70 (d, J = 8.8 Hz, 1H, Ar–H), 7.54 (ddd, J = 8.4, 6.8, 1.4 Hz, 1H, Ar–H), 7.44 (ddd, J = 8.0, 6.8, 1.1 Hz, 1H, Ar–H), 7.20 (d, J = 8.7 Hz, 1H, Ar–H), 4.72 (t, J = 4.6 Hz, 1H, CH), 2.55 (AB system, J = 17.2 Hz, 2H, CH2), 2.36 (AB system, J = 16.8 Hz, 2H, CH2), 1.81–1.73 (m, 2H, CH2), 1.19 (s, 3H, CH3), 1.15 (s, 3H, CH3), 1.14–1.01 (m, 5H, CH2), 0.93–0.79 (m, 1H, CH2), 0.72 (t, J = 7.2 Hz, 3H, CH3).
9,9-dimethyl-12-pentyl-8,9,10,12-tetrahydrobenzo[a]xanthen-11-one (4o) C24H28O2. White solid. MP: 128–130 °C. IR (NaCl, cm−1): 3075 (w), 2955 (m), 2930 (m), 2868 (w), 1651 (s), 1595 (m), 1464 (w), 1392 (m), 1225 (s), 1177 (m), 1144 (w), 1025 (w), 812 (m), 772.2 (m), 654.6 (w). 1H-NMR (500 MHz, Chloroform-d) δ 8.10 (d, J = 8.3 Hz, 1H, Ar–H), 7.82 (d, J = 8.1 Hz, 1H, Ar–H), 7.70 (d, J = 9.1 Hz, 1H, Ar–H), 7.54 (ddd, J = 8.4, 6.8, 1.4 Hz, 1H, Ar–H), 7.44 (ddd, J = 8.1, 6.8, 1.2 Hz, 1H, Ar–H), 7.20 (d, J = 8.8 Hz, 1H, Ar–H), 4.74 (t, J = 4.6 Hz, 1H, CH), 2.54 (AB system, J = 17.2 Hz, 2H, CH2), 2.36 (AB system, J = 16.2 Hz, 2H, CH2), 1.81–1.68 (m, 2H, Ar–H), 1.19 (s, 3H, CH3), 1.15 (s, 3H, CH3), 1.14–1.01 (m, 5H, CH3), 1.91–1.82 (m, 1H, CH2), 0.72 (t, J = 7.0 Hz, 3H, CH3). 13C-NMR (126 MHz, Chloroform-d): δ 197.70, 166.26, 148.06, 131.62, 131.43, 127.73, 128.13, 126.87, 124.95, 123.42, 118.63, 116.99, 113.01. 51.24, 41.58, 35.22, 32.30, 32.04, 29.88, 28.17, 27.44, 24.75, 22.68, 14.14. MS (ES+): m/z = m/z = 349.22 [M+] (≈10%), 277.43 (100%), 221.12 (≈55%), 208.05 (≈60%), 194.00 (≈60%), 165.06 (≈20%).
9,9-dimethyl-12-hexyl-8,9,10,12-tetrahydrobenzo[a]xanthen-11-one (4p) C25H30O2. White solid. MP: 134–136 °C. IR (NaCl, cm−1): 3066 (w), 2955 (m), 2930 (m), 2868 (w), 2857 (w), 1655 (s), 1651 (s), 1595 (m), 1462 (w), 1392 (s), 1224 (s), 1177 (m), 1144 (w), 1026 (w), 814 (m), 770.7 (s), 654.8 (w). 1H-NMR (500 MHz, Chloroform-d) δ 8.10 (d, J = 8.5 Hz, 1H, Ar–H), 7.82 (d, J = 8.2 Hz, 1H, Ar–H), 7.70 (d, J = 8.9 Hz, 1H, Ar–H), 7.54 (ddd, J = 8.4, 6.8, 1.3 Hz, 1H, Ar–H), 7.44 (ddd, J = 8.0, 6.8, 1.2 Hz, 1H, Ar–H), 7.19 (d, J = 8.9 Hz, 1H, Ar–H), 4.72 (t, J = 4.6 Hz, 1H, CH), 2.55 (AB system, J = 17.6 Hz, 2H, CH2), 2.36 (AB system, J = 15.8 Hz, 2H, CH2), 1.81–1.72 (m, 2H, Ar–H), 1.19 (s, 3H, CH3), 1.15 (s, 3H, CH3), 1.14–1.05 (m, 7H, CH2), 0.89–0.84 (m, 1H, CH2), 0.76 (t, J = 7.1 Hz, 3H, CH3). 13C-NMR (126 MHz, Chloroform-d): δ 197.6, 166.11, 148.48, 131.45, 131.25, 128.56, 127.96, 126.70, 124.78, 123.25, 118.45, 116.82, 112.84, 51.06, 41.41, 35.09, 32.14, 31.73, 29.70, 29.35, 28.00, 27.27, 24.89, 22.55, 13.99. MS (ES+): m/z = 363.22 [M+] (≈10%), 277.45 (100%), 221.13 (≈30%), 208.12 (≈40%), 193.89 (≈40%), 165.07 (≈10%).
10,10-dimethyl-7-phenyl-10,11-dihydro-7H-benzo[c]xanthen-8(9H)-one (4q) [36] White solid. MP: 146–148 °C. IR (NaCl, cm−1): 3061 (w), 3024 (w), 2958 (m), 2928 (w), 1594 (s), 1493 (w), 1447 (m), 1373 (s), 1302 (m), 1250 (m), 1155 (m), 1044 (m), 867.7 (m), 779.2 (m), 756.2 (m), 595.3 (m), 581.7 (m). 1H-NMR (500 MHz, Chloroform-d): δ 7.99 (d, J = 8.5 Hz, 1H, Ar–H), 7.78–7.76 (m, 2H, Ar–H), 7.42 (ddd, J = 8.5, 6.9, 1.4 Hz, 1H, Ar–H), 7.37 (ddd, J = 8.21, 6.9, 1.2 Hz, 1H, Ar–H), 7.35–7.32 (m, 3H, Ar–H), 7.17–7.15 (m, 2H, Ar–H), 7.06–7.04 (m, 1H, Ar–H), 5.71 (s, 1H, CH), 2.57 (s, 2H, CH2), 2.32–2.27 (AB system, J = 16.4 Hz, 2H, CH2), 1.12 (s, 3H, CH3), 0.96 (s, 3H, CH3).
4. Conclusions
An efficient and environmentally benign synthetic pathway was developed for the synthesis of various xanthene derivatives in a one-pot, multicomponent reaction between an activated methylene source, an aldehyde and an aromatic alcohol in a ratio of 1.3:1:1 in the presence of 24 mol% of 30% w/w DABCO/Amberlyst-15 as a heterogeneous catalyst. All reactions were carried out under mild reaction conditions using a solventless system, with most xanthene derivatives produced in relatively short reaction times (2 h). The catalyst is fully recoverable and reusable for up to six runs. Its preparation is easy, safe and environmentally benign. DABCO/Amberlyst-15 was able to catalyze a wide range of reactions from different aldehydes, providing products with good to excellent yields. A total of 17 xanthene derivatives, including two novel molecules, were synthesized and fully characterized. A high atom economy of 90.77% and low E factor of 0.32 for the model reaction confirm the environmental benignity of the synthetic process. The model reaction was consistent with the previously obtained results when scaling it up by a factor of 5×, demonstrating that the synthetic protocol can potentially be exploited for higher-volume industrial production.
Supplementary Materials
The following supporting information can be downloaded at: https://www.mdpi.com/article/10.3390/catal13030561/s1.
Author Contributions
G.B. conceived and designed the experiments; R.D.N. and R.B. performed the experiments; G.B. analyzed the data; G.B. and R.D.N. wrote the paper. All authors have read and agreed to the published version of the manuscript.
Funding
This research received no external funding.
Data Availability Statement
The data presented in this study are available in the article or Supplementary Materials.
Acknowledgments
The authors thank the University of Malta for financial support. The authors would also like to thank Robert M. Borg for assistance with the acquisition of the NMR spectra.
Conflicts of Interest
The authors declare no conflict of interest.
References
- Syamala, M. Recent Progress in three-component reactions. An update. Org. Prep. Proced. Int. 2009, 41, 1–68. [Google Scholar] [CrossRef]
- John, S.E.; Gulati, S.; Shankaraiah, N. Recent advances in multi-component reactions and their mechanistic insights: A triennium review. Org. Chem. Front. 2021, 8, 4237–4287. [Google Scholar] [CrossRef]
- Shirini, F.; Yahyazadeh, A.; Mohammadi, K. One-pot synthesis of various xanthene derivatives using ionic liquid 1,3-disulfonic acid imidazolium hydrogen sulfate as an efficient and reusable catalyst under solvent-free conditions. Chin. Chem. Lett. 2014, 25, 341–347. [Google Scholar] [CrossRef]
- Brémond, É.; Alberto, M.E.; Russo, N.; Ricci, G.; Ciofini, I.; Adamo, C. Photophysical properties of NIR-emitting fluorescence probes: Insights from TD-DFT. Phys. Chem. Chem. Phys. 2013, 15, 10019–10027. [Google Scholar] [CrossRef] [PubMed]
- Knight, C.G.; Stephens, T. Xanthene-dye-labelled phosphatidylethanolamines as probes of interfacial pH. Studies in phospholipid vesicles. Biochem. J. 1989, 258, 683–687. [Google Scholar]
- Madhav, J. Dipyridine cobalt chloride: A novel and efficient catalyst for the synthesis of 14-aryl 14H-dibenzo[a.j]xanthenes under solvent-free conditions. Arkivoc 2008, 2, 204–209. [Google Scholar] [CrossRef]
- Ghasemzadeh, M.A.; Safaei-Ghomi, J. Zinc oxide nanoparticles: A highly efficient and readily recyclable catalyst for the synthesis of xanthenes. Chin. Chem. Lett. 2012, 23, 1225–1229. [Google Scholar]
- El-Brashy, A.; El-Sayed Metwally, M.; El-Sepai, F. Spectrophotometric determination of some fluoroquinolone antibacterials by binary complex formation with xanthene dyes. Farmaco 2004, 59, 809–817. [Google Scholar] [CrossRef]
- Safaei-Ghomi, J.; Ghasemzadeh, M.A.; Zahedi, S. FeCl3 nano SiO2: An efficient heterogeneous nano catalyst for the synthesis of 14-aryl-14H-dibenzo[a,j]xanthenes and 1,8-dioxo-octahydro-xanthenes under solvent-free conditions. S. Afr. J. Chem. 2012, 65, 191–195. [Google Scholar]
- Whitaker, J.E.; Haugland, R.P.; Prendergast, F.G. Spectral and photophysical studies of benzo[c]xanthene dyes: Dual emission pH sensors. Anal. Biochem. 1991, 194, 330–344. [Google Scholar] [CrossRef]
- Arppe, R.; Näreoja, T.; Nylund, S.; Mattsson, L.; Koho, S.; Rosenholm, J.M.; Soukka, T.; Schäferling, M. Photon upconversion sensitized nanoprobes for sensing and imaging of pH. Nanoscale 2014, 6, 6837–6843. [Google Scholar] [CrossRef] [PubMed]
- Khurana, J.M.; Lumb, A.; Pandey, A.; Magoo, D. Green approaches for the synthesis of 12-aryl-8,9,10,12-tetrahydrobenzo[a]xanthen-11-ones in aqueous media and under microwave irradiation in solventless conditions. Synth. Commun. 2012, 42, 1796–1803. [Google Scholar] [CrossRef]
- Nandi, G.; Samai, S.; Kumar, R.; Singh, M. An efficient one-pot synthesis of tetrahydrobenzo[a]xanthene-11-one and diazabenzo[a]anthracene-9,11-dione derivatives under solvent free condition. Tetrahedron 2009, 65, 7129–7134. [Google Scholar] [CrossRef]
- Sadeghi, B.; Hassanabadi, A.; Taghvatalab, E. Nanoparticle silica supported sulfuric acid (NPs SiO2-H2SO4): A solid phase acidic catalyst for the one-pot synthesis of benzo[a]xanthene-11-one derivatives. J. Chem. Res. 2011, 35, 707–708. [Google Scholar] [CrossRef]
- Dutta, A.K.; Gogoi, P.; Saikia, S.; Borah, R. N,N-disulfo-1,1,3,3-tetramethylguanidinium carboxylate ionic liquids as reusable homogeneous catalysts for multicomponent synthesis of tetrahydrobenzo[a]xanthene and tetrahydrobenzo[a]acridine derivatives. J. Mol. Liq. 2017, 225, 585–591. [Google Scholar] [CrossRef]
- Jaber, Z.K.; Abbasi, S.Z.; Pooladian, B.; Jokar, M. Efficient, one-pot synthesis of tetrahydrobenzo[a]xanthen-11-ones and dibenzo[a,j]xanthenes using trichloroacetic acid as a solid heterogeneous catalyst under solvent-free conditions. E-J. Chem. 2011, 8, 1895–1899. [Google Scholar] [CrossRef]
- Terra, B.; Osorio, A.; de Oliveira, A.; Santos, R.; Mouro, A.; de Araújo, N.; da Silva, C.; Martins, F.; Vieira, L.; Bonaventura, D.; et al. Natural organic acid as green catalyst for xanthenones synthesis: Methodology, mechanism and calcium channel blocking activity. J. Braz. Chem. Soc. 2017, 28, 2313–2325. [Google Scholar] [CrossRef]
- Khoshnood, J. One-pot synthesis of tetrahydrobenzo[a]xanthen-11-one derivatives catalyzed by ruthenium chloride hydrate as a homogeneous catalyst. Can. J. Chem. 2011, 89, 623–627. [Google Scholar]
- Amarloo, F.; Zhiani, R.; Mehrzad, J. Novel Fe3O4/SiO2/PPA magnetic nanoparticles: Preparation, characterization, and first catalytic application to the solvent- free synthesis of tetrahydrobenzo[a]xanthene-11-ones. Russ. J. Org. Chem. 2019, 55, 1584–1590. [Google Scholar] [CrossRef]
- Oskooie, H.A.; Heravi, M.M.; Karimi, N.; Kohansal, G. Cu/SiO2-catalyzed one-pot synthesis of 12-aryl-8,9,10,12-tetrahydrobenzo[α]xanthen-11-ones under solvent-free conditions. Synth. Commun. 2011, 41, 2763–2768. [Google Scholar] [CrossRef]
- Bosica, G.; Cachia, F.; De Nittis, R.; Mariotti, N. Efficient one-pot synthesis of 3,4-dihydropyrimidin-2(1H)-ones via a three-component Biginelli reaction. Molecules 2021, 26, 3753. [Google Scholar] [CrossRef] [PubMed]
- Bosica, G. Sustainable Organic Synthesis: Tools and Strategies; Royal Society of Chemistry; Heterogeneous Catalysis; Protti, S., Palmieri, A., Eds.; Royal Society of Chemistry: London, UK, 2021; Chapter 3; pp. 45–67. [Google Scholar] [CrossRef]
- Baba, T.; Ono, Y.; Ishimoto, T.; Moritaka, S.; Tanooka, S. Heteropoly acids supported on acidic ion-exchange resin as highly active solid-acid catalysts. Bull. Chem. Soc. Jpn. 1985, 58, 2155–2156. [Google Scholar] [CrossRef]
- Sharghi, H.; Jokar, M. Highly stereoselective facile synthesis of β-amino carbonyl compounds via a Mannich-type reaction catalyzed by γ-Al2O3/MeSO3H (alumina/methanesulfonic acid: AMA) as a recyclable, efficient, and versatile heterogeneous catalyst. Can. J. Chem. 2010, 88, 14–26. [Google Scholar] [CrossRef]
- Laszlo, P.; Mathy, A. Catalysis of Friedel-Crafts alkylation by a montmorillonite doped with transition-metal cations. Helv. Chim. Acta 1987, 70, 577–586. [Google Scholar] [CrossRef]
- Zhu, S.; Zhu, Y.; Gao, X.; Mo, T.; Zhu, Y.; Li, Y. Production of bioadditives from glycerol esterification over zirconia supported heteropolyacids. Bioresour. Technol. 2013, 130, 45–51. [Google Scholar] [CrossRef]
- Balou, J.; Khalilzadeh, M.A.; Zareyee, D. An efficient and reusable nano catalyst for the synthesis of benzoxanthene and chromene derivatives. Sci. Rep. 2019, 9, 3605. [Google Scholar] [CrossRef]
- Sheldon, R.A. The E-Factor: Fifteen years on. Green Chem. 2007, 9, 1273–1283. [Google Scholar] [CrossRef]
- Trost, B.M. The atom economy—A search for synthetic efficiency. Science 1991, 254, 1471–1477. [Google Scholar] [CrossRef]
- Li, J.; Tang, W.; Lu, L.; Su, W. Strontium triflate catalyzed one-pot condensation of β-naphthol, aldehydes and cyclic 1,3-dicarbonyl compounds. Tetrahedron Lett. 2008, 49, 7117–7120. [Google Scholar] [CrossRef]
- Sadeghi, B. Silica supported boron trifluoride nanoparticles (BF3-SiO2NPs): An efficient and reusable catalyst for one-pot synthesis of benzo[a]xanthene-11-onederivatives. Sci. Iran. 2014, 21, 708–714. [Google Scholar]
- Kidwai, M.; Jahan, A.; Mishra, N.K. A novel method for the synthesis of tetrahydrobenzo-[a]-xanthen-11-one derivatives using cerium (III) chloride as a highly efficient catalyst. Comptes Rendus Chim. 2012, 15, 324–330. [Google Scholar] [CrossRef]
- Halimehjani, A.Z.; Keshavarzi, N. One-pot three-component route for the synthesis of functionalized 4H-chromenes catalyzed by ZrOCl2·8H2O in water. J. Heterocycl. Chem. 2018, 55, 522–529. [Google Scholar] [CrossRef]
- Shinde, P.V.; Shingare, B.B.; Shingate and Murlidhar, S. An organocatalyzed expeditious synthetic route to tetrahydrobenzo[a]xanthen-11-ones via grinding technique. Lett. Org. Chem. 2011, 8, 568–572. [Google Scholar] [CrossRef]
- Gao, S.; Tsai, C.; Yao, C. A simple and green approach for the synthesis of tetrahydrobenzo-[a]-xanthen-11-one derivatives using tetrabutyl ammonium fluoride in water. Synlett 2009, 6, 949–954. [Google Scholar] [CrossRef]
- Li, J.; Lu, L.; Su, W. A new strategy for the synthesis of benzoxanthenes catalyzed by proline triflate in water. Tetrahedron Lett. 2010, 51, 2434–2437. [Google Scholar] [CrossRef]
Disclaimer/Publisher’s Note: The statements, opinions and data contained in all publications are solely those of the individual author(s) and contributor(s) and not of MDPI and/or the editor(s). MDPI and/or the editor(s) disclaim responsibility for any injury to people or property resulting from any ideas, methods, instructions or products referred to in the content. |
© 2023 by the authors. Licensee MDPI, Basel, Switzerland. This article is an open access article distributed under the terms and conditions of the Creative Commons Attribution (CC BY) license (https://creativecommons.org/licenses/by/4.0/).


















