Next Article in Journal
Density Functional Theory Study of the Regioselectivity in Copolymerization of bis-Styrenic Molecules with Propylene Using Zirconocene Catalyst
Next Article in Special Issue
Ultrasound/Chlorine: A Novel Synergistic Sono-Hybrid Process for Allura Red AC Degradation
Previous Article in Journal
Production of Taxifolin from Astilbin by Fungal Biotransformation
Previous Article in Special Issue
High-Temperature Abatement of N2O over FeOx/CeO2-Al2O3 Catalysts: The Effects of Oxygen Mobility
 
 
Font Type:
Arial Georgia Verdana
Font Size:
Aa Aa Aa
Line Spacing:
Column Width:
Background:
Article

Fenton-like Remediation for Industrial Oily Wastewater Using Fe78Si9B13 Metallic Glasses

1
Shi-Changxu Innovation Center for Advanced Materials, Institute of Metal Research, Chinese Academy of Sciences, Shenyang 110016, China
2
College of Mechanical Engineering, Shenyang University, Shenyang 110044, China
3
School of Materials Science and Engineering, University of Science and Technology of China, Shenyang 110016, China
4
CAS Key Laboratory of Nuclear Materials and Safety Assessment, Institute of Metal Research, Chinese Academy of Sciences, Shenyang 110016, China
5
Qingdao Yunlu Advanced Materials Technology Co., Ltd., Qingdao 266232, China
*
Author to whom correspondence should be addressed.
Catalysts 2022, 12(9), 1038; https://doi.org/10.3390/catal12091038
Submission received: 10 August 2022 / Revised: 3 September 2022 / Accepted: 5 September 2022 / Published: 12 September 2022

Abstract

:
Metallic glasses (MGs) with a unique atomic structure have been widely used in the catalytic degradation of organic pollutants in the recent years. Fe78Si9B13 MGs exhibited excellent catalytic performance for the degradation of oily wastewater in a Fenton-like system for the first time. The oil removal and chemical oxygen demand (COD) removal from the oily wastewater were 72.67% and 70.18% within 60 min, respectively. Quenching experiments were performed to verify the production of active hydroxyl radicals (·OH) by activating hydrogen peroxide (H2O2). The formation of ·OH species can significantly contribute to the degradation reaction of oily wastewater. Fe78Si9B13 MG ribbons were highly efficient materials that exhibited superior reactivity towards H2O2 activation in oily wastewater treatment. The study revealed the catalytic capability of metallic glasses, presenting extensive prospects of their applications in oily wastewater treatment.

1. Introduction

Waste sludge containing large amounts of mineral oil is produced in the metal manufacturing process, which is classified as a high concentration hazardous waste [1,2,3]. About 10~20 tons of oily wastewater will be produced from cleaning 1 ton of waste sludge. This leads to a huge discharge of oily wastewater. The organic pollutants in oily wastewater have certain characteristics, such as high concentration, complex composition, biological toxicity and refractory [4,5,6,7]. At present, a large number of advanced treatment technologies for oily wastewater are systematically implemented [8,9,10,11]. Compared to conventional techniques, advanced oxidation processes (AOPs) have been extensively studied as a promising technique due to their superior degradation and mineralization efficiency of pollutants in wastewater [12,13]. Very recently, owing to the advantage of abundant natural resources, low cost and environmental friendliness, Fe-based catalytic materials have been extensively used for the degradation of organic contaminants in AOPs system. However, the catalysts like magnetite (Fe3O4) [14] and zero valent iron (ZVI) [15] still have certain disadvantages, such as low efficiency, poor reusability, fast decay and secondary pollution [16]. To overcome the aforementioned limitations, Fe-based MGs are utilized, which could effectively enhance the catalytic activity by improving the internal atomic arrangement [17] and tuning the chemical composition [18,19].
Metallic glasses with short range ordered and long range disordered atomic structure were usually employed as structural materials for different industrial applications due to improved mechanical properties, soft ferromagnetism and corrosion resistance [20,21,22]. Additionally, a great number of studies have been showed that the metallic glasses with various alloy systems exhibited superior catalytic degradation behaviors of organic pollutants owing to high reactivity [23,24,25]. For instance, the Cu46Zr42Al7Y5 MG ribbons showed excellent catalytic performance for acid orange Ⅱ degradation with a degradation efficiency of 96.05% and a COD removal of 51.73% [26]. A maximum degradation efficiency of 98% for congo red is achieved using Mg60Zn35Ca5 MG powders [27]. Moreover, the direct blue 2B solutions can be completely degraded by Al-based MG ribbons under wide pH conditions [19]. Similarly, the unexpected organic pollutant degradation performance of Fe-based MGs was revealed. Amorphous Fe84B16 exhibited degradation of direct blue 6 dye 1.8 and 89 times faster compared to the Fe-B crystalline alloy and commercial iron powder, respectively [28]. Furthermore, Fe78Si9B13 MGs exhibited excellent production rate of active radical species among various Fe-based catalysts [29]. As a result, Fe78Si9B13 MGs have been widely used for wastewater treatment [30,31,32], providing an environmentally functional material for the catalytic degradation of organic contaminants.
In this work, oily wastewater degradation and mineralization were investigated using Fe78Si9B13 MGs. These catalytic materials serve as an alternative Fe2+ releasing source that can produce ·OH radicals by activating H2O2 (Fenton-like system). Fe78Si9B13 MGs were found to be highly efficient catalysts that showed improved degradation performance of oily wastewater in terms of oil removal and COD removal. Moreover, the stability and durability of Fe78Si9B13 MGs were discussed based on recycling experiments. The catalytic mechanism was proposed based on the structural and morphological variations of catalysts combined with free radical quenching experiments.

2. Materials and Methods

2.1. Materials

The alloy ingots with nominal composition of Fe78Si9B13 were prepared by arc melting of a mixture of Fe, Si and B with greater purity than 99.9 wt% under a Ti-gettered Ar atmosphere. The master alloy ingot was melted by induction heating in a quartz crucible. The molten master alloy ingot was ejected onto a chilled copper roll surface to prepare the as-melt MG ribbons of Fe78Si9B13. The waste oily sludge was supplied by Shenyang General Magnetic Co., Ltd., Shenyang, China. The oily wastewater was prepared by stirring for 30 min and centrifuging sludge mixtures with an oil–water ratio of 1:20, 1:40, 1:60 and 1:80 (wt%).

2.2. Characterization

The structural features of the as-melt and reacted Fe78Si9B13 ribbons were characterized by X-ray diffraction (XRD, Rigaku D/max-2500PC, Tokyo, Japan) with Co-Kα radiation. The surface morphologies of the ribbons before and after the catalytic organic pollutant degradation were characterized using a scanning electron microscope (SEM, Zeiss SUPPA 55, Oberkochen, Germany). The crystallization behavior of the melt and reacted ribbons was characterized by differential scanning calorimetry (Netzsch DSC 404C, Selbu, Germany).

2.3. Analytical Methods

All oily wastewater removal experiments were conducted in a 250 mL glass beaker with a stirring speed of 300 rpm by a mechanical stirrer (Changzhou Jaboson Instrument JJ-1, Changzhou, China). The oily wastewater of 200 mL in a glass beaker was placed in a thermostat water bath at the desired temperature. The solution pH values were adjusted by diluted HCl solution (1 mol·L−1) and diluted NaOH (0.1 mol·L−1). At every 10 min interval, about 10 mL aliquot of the reaction mixture was collected and centrifuged. The supernatant liquid was tested by infrared spectrophotometer (Tianjin Tianguang TJ270-30A, Tianjin, China) and chemical oxygen demand detector (COD, Beijing Lianhua 5B-3(B), Beijing, China). The ion concentration of the oily wastewater samples before and after the reactions was measured by inductively coupled plasma-optical emission spectrometer (ICP-OES 720, Agilent Technologies Inc., Palo Alto, America). The active radical species were analyzed using an electron paramagnetic resonance spectrometer (EPR, Bruker A300, Karlsruhe, Germany) with 5,5-dimethyl-1-pyrroline N-oxide (DMPO) as the spin-trapping agent.

3. Results and Discussion

3.1. Catalytic Capability

3.1.1. Effect of pH Value

Figure 1a shows the effect of pH value (from 2 to 7) on oil removal. It is observed that the oil removal sharply reduces with increasing of pH value. Oil removal of 72.67% can be achieved within 60 min at pH = 3. In contrast, only 52.14% oil removal was observed at pH = 7. The enhanced degradation performance at lower pH value may be due to the influence of pH on stability of H2O2 [33,34]. As shown in Figure 1b, the COD removal of 70.18% was achieved within 60 min at pH = 3, indicating the favorable mineralization efficiency of oily wastewater. Under a high pH system, some side effects lead to reducing the degradation capability due to formation of sediment, following Equations (1) and (2) [35,36].
Fe2+ + 2OH → Fe(OH)2
4Fe(OH)2 + 2H2O + O2 → 4Fe(OH)3

3.1.2. Effect of H2O2 Concentration

As shown in Figure 2a, the oil removal is 55.10% when the H2O2 concentration is 0.08 mol·L−1. Apparently, the oil removal increased to 63.34% and 70.97% within 60 min at H2O2 concentrations of 0.10 and 0.14 mol·L−1, respectively. As the H2O2 concentration increased further to 0.16 mol·L−1, the oil removal decreased. COD removal displayed the similar results as shown in Figure 2b. The degradation capability of COD removal increases and then decreases with H2O2 concentration. The reason may be that the quantity of ·OH radicals play a significant role in the oily wastewater degradation [37,38]. Moreover, the excessive H2O2 concentration results in ·OH radicals self-quenching to form the weak oxidizing hydroperoxy radicals (·O2H radicals) via Equations (3) and (4).
H2O2 + ·OH → ·O2H + H2O
HO2· + HO2· → H2O2 + O2

3.1.3. Effect of Catalyst Dosage

As seen from Figure 3a, the oil removal significantly enhanced from 53.35% to 72.23% within 60 min when the catalyst dosage increased from 0.5 g·L−1 to 1.5 g·L−1. The oil removal slightly increased with a further increase in catalyst loading to 2.0 g·L−1. COD removal increased with an increase in the catalyst loading as shown in Figure 3b. When the MG ribbon dosage is 2.0 g·L−1, the COD removal stabilized at around 72%. Normally, the organic molecule decomposition takes place via direct surface reaction on active iron species [39]. Increasing the amount of catalyst provides more active sites, thereby achieving faster production rate of ·OH radical species. However, excessive addition of catalyst would provide more Fe3+, which would work against catalytic efficiency [40,41].

3.1.4. Effect of Oil–Water Mass Ratio

As the oil–water mass ratio increases, the initial oil concentration increases. As seen in Figure 4a, the faster oil removal is observed for the lower the oil–water mass ratio in the first 10 min of reaction. Figure 4b shows the effect of the oil–water mass ratio on COD removal with an oil to water in the ratio (by mass) 1:80 to 1:20. With the increase of the oil–water mass ratio, the COD removal is obviously reduced. This is because more organic molecules exist in the system of larger oil–water mass ratio as the reaction progresses, thereby leading to the weak degradation behaviors in the presence of the same amount of ·OH radicals.

3.1.5. Effect of Reaction Temperature

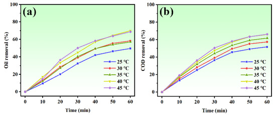
Regarding chemical reactions, the reaction temperature can be always considered as an important experimental parameter. According to the principle of reaction kinetics, the molecules colliding with each other in solution will be accelerated and energized with the increase of reaction temperature, thus speeding up the reaction. The evaluation of the degradation behaviors in temperature ranging from 25 to 45 °C as shown in Figure 5a,b. The oil removal and COD removal remarkably increase along with the increase of reaction temperature. When the temperature increases to 45 °C, the degradation behavior is not significantly improved.

3.1.6. Stability and Reusability

The stability and reusability of metallic glassy catalysts are the extremely important capabilities for degradation of organic pollutants [42]. Figure 6 shows the catalytic reusability using Fe78Si9B13 MGs from the 1st to 3rd run for degrading oily wastewater. Clearly, the COD removal still maintains as high as 68% after 60 min for three cycles, suggesting the excellent reuse life. Notably, the COD removal for the 2nd run is little better than that for the 1st run due to surface activation. The slight decay is observed on the ribbon surface after the 2nd run, forming SiO2 layers during the degradation of oily wastewater [8]. Abundant Fe2+ irons can be supplied by falling the oxide layers for activating H2O2, thereby further improving the catalytic reusability [43,44]. For the 3rd run, the COD removal slightly decreases due to the side effect of oxide deposition.

3.2. Structures and Surface Morphology

In order to further investigate stability, the structures and surface morphology of the ribbons were characterized, respectively. Figure 7a displays the XRD patterns of the as-received and reused 3rd Fe78Si9B13 metallic glass ribbons. The XRD patterns of as-received and reused ribbons present a broad diffraction peak at 2θ = 40~50°, indicating that all the ribbons are mainly in the amorphous state [45]. However, the 3rd run recycled Fe78Si9B13 metallic glass ribbons have a crystallization peak, indicating crystalline precipitated phase of α-Fe on the surface of the ribbons [46,47]. As shown in Figure 7b, each of DSC curves clearly displays the exothermic peak, further obtaining thermodynamic parameters of Tp1 and Tp2. The amorphous nature was also verified by DSC measurements. According to the existence of two exothermic peaks in DSC curves and the intensity of Tp1 and Tp2 is raised, the crystallization process can be roughly divided into two steps: one is the precipitation process of primary α-Fe phase and the other is the precipitation process of boride [48]. According to the Dubois model [49], Fe-Si-B series alloys are composed of Fe-B and Fe-Si regions. The precipitation of α-Fe may accelerate the decomposition of Fe-B region due to heteronucleation [50].
Figure 8 shows the SEM images of the melt-spun, 1st and 3rd reused Fe78Si9B13 ribbons. It can be observed that the surface morphology of melt-spun ribbons is very smooth without obvious surface defects as shown in Figure 8a. Although the surface of the ribbons presents a slight decay with several corrosion areas in Figure 8b, most of the surface remains relative smooth. As seen from Figure 8c, some corrosion products are precipitated and accumulated on the surface of the ribbons for area B, except for the small regions of smooth surface for area A. These products are covered with active substances, further leading to the reduction of catalytic degradation reaction.

3.3. Reaction Mechanism

It has been recognized that the mechanism for degradation of organic contaminants is attributed to the catalytic oxidation of activated ·OH radicals in the Fenton process. The o-Phenylenediamine (OPDA) as typical catcher of ·OH radicals was used to verify the catalytic contribution of ·OH radicals. The OPDA will react with ·OH radicals to form 2,3-diaminophenazine (DAPN) stabilizing in solution for a long time. Figure 9a shows the effect of OPDA concentration on COD removal from 0 to 20 mmol·L−1. It is observed that the COD removal sharply decreases with increasing of OPDA concentration. Meanwhile, the reaction rate rapidly decreases in Figure 9b. The reason may be that the active ·OH radicals preferentially combine with OPDA to produce DAPN rather than degrading organic pollutants.
The active radical species were observed by EPR technique with DMPO as spin-trapping agent. As shown in Figure 10, variation for aliquots of samples collected at 10 min and 20 min of reaction interval in intensity of ·OH radicals is obvious between 3480 and 3540 of magnetic field. The relative intensity of ·OH radicals increased with the prolongation of reaction time. To combine with the above results, ·OH radicals play an important role in the whole Fenton-like degradation process of oily wastewater.
Various ion concentrations of solution system before and after the reactions are analyzed in Table 1. The variation on majority of ions concentration is slight, whereas iron ions in solution have a great increased. A mass of Fe2+ and Fe3+ flow into the solution because of corrosion action and Fe0 plays an important role is confirmed at the same time. Furthermore, Figure 11 shows the forming process of ·OH radicals in the Fenton reaction. It is well known that Fe2+ acts as the main active source to activate H2O2 producing active species for ·OH radicals (Equation (5)) [16]. However, the formation of Fe2+ is more likely by direct reaction between zero-valent iron in the Fe78Si9B13 ribbons and a small amount of H2O2 molecules (Equation (6)) [23]. In addition, the electrons of amorphous Fe atom on 4s2 orbital are extraordinarily unstable and active, thereby leading to forming Fe2+ by losing electrons (Equation (7)) [11] Besides this, there are reciprocal transitions between the iron ions for the Fe2+ and Fe3+ under certain conditions as the reaction continues (Equations (8)–(10)). According to the continuous reaction process, the Fe2+ will react with H2O2 to produce moderate activated ·OH radicals, contributing to enhancing the catalytic degradation reaction [9]. Therefore, the major reaction equations are as the following Equations (5)–(10):
Fe2+ + H2O2 → Fe3+ + OH + ·OH
Fe0 + H2O2 → Fe2+ + 2OH
Fe0 → Fe2+ + 2e
Fe3+ + H2O2 → Fe2+ + O2H + H+
Fe3+ + ·O2H → Fe2+ + O2 + H+
Fe0 + 2Fe3+ → 3Fe2+

4. Conclusions

In this work, the Fe78Si9B13 MGs as efficient catalysts demonstrate excellent catalytic degradation behavior towards oily wastewater treatment in H2O2 activation system. The conclusions are as follows:
(1) The oil removal and COD removal of oily wastewater are achieved as high as 72.67% and 70.18% within 60 min using Fe78Si9B13 MG ribbons under the optimum conditions, respectively.
(2) The Fe78Si9B13 MGs present the superior stability and reusability for 3 times with high COD removal during oily wastewater degradation.
(3) The enhanced degradation performance may be mainly attributed to activate H2O2 molecules to generate ·OH radicals in the EPR analysis and quenching experiments. The Fe78Si9B13 MGs provide a potential strategy for activating abundant ·OH radicals during oily wastewater degradation.

Author Contributions

Conceptualization, Y.L. and Z.Z.; methodology, B.Z. and Z.Z.; validation, Y.L., B.Z. and Z.Z.; writing—original draft preparation, Y.L.; writing—review and editing, Y.L., B.Z., G.M., S.Z., H.Z. and Z.Z.; supervision, G.M. and Z.Z.; funding acquisition, H.Z. and Z.Z.; All authors have read and agreed to the published version of the manuscript.

Funding

The work was supported by the National Natural Science Foundation of China (51801209 and 52074257), the Fund of Qingdao (19-9-2-1-wz).

Data Availability Statement

All relevant data are included in the paper.

Conflicts of Interest

The authors declare no conflict of interest.

References

  1. Zhang, B.; Huang, K.; Wang, Q.; Li, G.; Wu, T.; Li, Y. Highly efficient treatment of oily wastewater using magnetic carbon nanotubes/layered double hydroxides composites. Colloids Surf. A 2020, 586, 124187. [Google Scholar] [CrossRef]
  2. Khalifa, O.; Banat, F.; Srinivasakannan, C.; AlMarzooqi, F.; Hasan, S.W. Ozonation-assisted electro-membrane hybrid reactor for oily wastewater treatment: A methodological approach and synergy effects. J. Clean. Prod. 2021, 289, 125764. [Google Scholar] [CrossRef]
  3. Zhong, L.; Sun, C.; Yang, F.; Dong, Y. Superhydrophilic spinel ceramic membranes for oily emulsion wastewater treatment. J. Water Process Eng. 2021, 42, 102161. [Google Scholar] [CrossRef]
  4. Ahmad, T.; Guria, C.; Mandal, A. A review of oily wastewater treatment using ultrafiltration membrane: A parametric study to enhance the membrane performance. J. Water Process Eng. 2020, 36, 101289. [Google Scholar] [CrossRef]
  5. Behroozi, A.H.; Ataabadi, M.R. Improvement in microfiltration process of oily wastewater: A comprehensive review over two decades. J. Environ. Chem. Eng. 2020, 9, 104981. [Google Scholar] [CrossRef]
  6. Zhao, C.L.; Zhou, J.Y.; Yan, Y.; Yang, L.W.; Xing, G.H.; Li, H.Y.; Wu, P.; Wang, M.Y.; Zheng, H.L. Application of coagulation/flocculation in oily wastewater treatment: A review. Sci. Total Environ. 2021, 765, 142795. [Google Scholar] [CrossRef]
  7. Liang, H.; Esmaeili, H. Application of nanomaterials for demulsification of oily wastewater: A review study. Environ. Technol. Innov. 2021, 22, 101498. [Google Scholar] [CrossRef]
  8. Ikhsan, S.N.W.; Yusof, N.; Aziz, F.; Ismail, A.F.; Jaafar, J.; Salleh, W.N.W.; Misdan, N. Superwetting materials for hydrophilic-oleophobic membrane in oily wastewater treatment. J. Environ. Manag. 2021, 290, 112565. [Google Scholar] [CrossRef]
  9. Ismail, N.H.; Salleh, W.N.W.; Ismail, A.F.; Hasbullah, H.; Yusof, N.; Aziz, F.; Jaafar, J. Hydrophilic polymer-based membrane for oily wastewater treatment: A review. Sep. Purif. Technol. 2020, 233, 116007. [Google Scholar] [CrossRef]
  10. Liu, C.H.; Xia, J.Y.; Gu, J.C.; Wang, W.Q.; Liu, Q.Q.; Yan, L.K.; Chen, T. Multifunctional CNTs-PAA/MIL101(Fe)@P composite membrane for high-throughput oily wastewater remediation. J. Hazard. Mater. 2021, 403, 123547. [Google Scholar] [CrossRef]
  11. Yaacob, N.; Sean, G.P.; Nazri, N.A.M.; Ismail, A.F.; Abidin, M.N.Z.; Subramaniam, M.N. Simultaneous oily wastewater adsorption and photodegradation by ZrO2-TiO2 heterojunction photocatalysts. J. Water Process Eng. 2021, 39, 101644. [Google Scholar] [CrossRef]
  12. Jia, Z.; Liang, S.X.; Zhang, W.C.; Wang, W.M.; Yang, C.; Zhang, L.C. Heterogeneous photo Fenton-like degradation of the cibacron brilliant red 3B-A dye using amorphous Fe78Si9B13 and Fe73.5Si13.5B9Cu1Nb3 alloys: The influence of adsorption. J. Taiwan Inst. Chem. Eng. 2017, 71, 128–136. [Google Scholar] [CrossRef]
  13. Jia, Z.; Miao, J.; Lu, H.; Habibi, D.; Zhang, W. Photocatalytic degradation and absorption kinetics of cibacron brilliant yellow 3G-P by nanosized ZnO catalyst under simulated solar light. J. Taiwan Inst. Chem. Eng. 2015, 60, 267–274. [Google Scholar] [CrossRef]
  14. Usman, M.; Faure, P.; Hanna, K.; Abdelmoula, M.; Ruby, C. Application of magnetite catalyzed chemical oxidation (Fenton-like and persulfate) for the remediation of oil hydrocarbon contamination. Fuel 2012, 96, 270–276. [Google Scholar] [CrossRef]
  15. Grčić, I.; Papić, S.; Žižek, K.; Koprivanac, N. Zero-valent iron (ZVI) Fenton oxidation of reactive dye wastewater under UV-C and solar irradiation. Chem. Eng. J. 2012, 195, 77–90. [Google Scholar] [CrossRef]
  16. Jia, Z.; Zhang, W.; Wang, W.; Habibi, D. Amorphous Fe78Si9B13 alloy: An efficient and reusable photo-enhanced Fenton-like catalyst in degradation of cibacron brilliant red 3B-A dye under UV–vis light. Appl. Catal. B Environ. 2016, 192, 46–56. [Google Scholar] [CrossRef]
  17. Song, D.S.; Kim, J.H.; Fleury, E.; Kim, W.T.; Kim, D.H. Synthesis of ferromagnetic Fe-based bulk glassy alloys in the Fe-Nb-B-Y system. J. Alloys Compd. 2005, 389, 159–164. [Google Scholar] [CrossRef]
  18. Liu, P.; Zhang, J.L.; Zha, M.Q.; Shek, C.H. Synthesis of an Fe Rich Amorphous Structure with a Catalytic Effect to Rapidly Decolorize Azo Dye at Room Temperature. ACS Appl. Mater. Interfaces 2014, 6, 5500–5505. [Google Scholar] [CrossRef]
  19. Wang, P.; Wang, J.-Q.; Li, H.; Yang, H.; Huo, J.; Wang, J.; Chang, C.; Wang, X.; Li, R.-W.; Wang, G. Fast decolorization of azo dyes in both alkaline and acidic solutions by Al-based metallic glasses. J. Alloys Compd. 2017, 701, 759–767. [Google Scholar] [CrossRef]
  20. Wang, W.H. Bulk metallic glasses with functional physical properties. Adv. Mater. 2009, 21, 4524–4544. [Google Scholar] [CrossRef]
  21. Li, H.; Pang, S.; Liu, Y.; Sun, L.; Liaw, P.K.; Zhang, T. Biodegradable Mg–Zn–Ca–Sr bulk metallic glasses with enhanced corrosion performance for biomedical applications. Mater. Des. 2015, 67, 9–19. [Google Scholar] [CrossRef]
  22. Baron-Wiechec, A.; Szewieczek, D.; Nawrat, G. Corrosion of amorphous and nanocrystalline Fe-based alloys and its influence on their magnetic behavior. Electrochim. Acta 2007, 52, 5690–5695. [Google Scholar] [CrossRef]
  23. Wang, X.; Pan, Y.; Zhu, Z.; Wu, J. Efficient degradation of rhodamine B using Fe-based metallic glass catalyst by Fenton-like process. Chemosphere 2014, 117, 638–643. [Google Scholar] [CrossRef]
  24. Zhao, B.W.; Zhu, Z.W.; Qin, X.D.; Li, Z.K.; Zhang, H.F. Highly efficient and stable CuZr-based metallic glassy catalysts for azo dye degradation. J. Mater. Sci. Technol. 2020, 46, 88–97. [Google Scholar] [CrossRef]
  25. Wang, J.Q.; Liu, Y.H.; Chen, M.W.; Luzgin, D.V.L.; Inoue, A.; Perepezko, J.H. Excellent capability in degrading azo dyes by MgZn-based metallic glass powders. Sci. Rep. 2012, 2, 418. [Google Scholar] [CrossRef]
  26. Yang, X.; Xu, X.C.; Xiang, Q.C.; Qu, Y.D.; Ren, Y.L.; Qiu, K.Q. The catalytic performance of Cu46Zr47-xAl7Yx amorphous ribbons in the degradation of AOII dye wastewater. Environ. Sci. Pollut. R. 2021, 28, 48038–48052. [Google Scholar] [CrossRef]
  27. Ramya, M.; Karthika, M.; Selvakumar, R.; Raj, B.; Ravi, K. A facile and efficient single step ball milling process for synthesis of partially amorphous Mg-Zn-Ca alloy powders for dye degradation. J. Alloys Compd. 2017, 696, 185–192. [Google Scholar] [CrossRef]
  28. Tang, Y.; Shao, Y.; Chen, N.; Yao, K.-F. Rapid decomposition of Direct Blue 6 in neutral solution by Fe–B amorphous alloys. RSC Adv. 2015, 5, 6215–6221. [Google Scholar] [CrossRef]
  29. Jia, Z.; Kang, J.; Zhang, W.C.; Wang, W.M.; Yang, C.; Sun, H.; Habibi, D.; Zhang, L.C. Surface aging behavior of Fe-based amorphous alloys as catalysts during heterogeneous photo Fenton-like process for water treatment. Appl. Catal. B Environ. 2017, 204, 537–547. [Google Scholar] [CrossRef]
  30. Ghorbani, M.; Vakili, M.H.; Ameri, E. Fabrication and evaluation of a biopolymer-based nanocomposite membrane for oily wastewater treatment. Mater. Today Commun. 2021, 28, 102560. [Google Scholar] [CrossRef]
  31. Liang, S.X.; Jia, Z.; Zhang, W.C.; Li, X.; Wang, W.M.; Lin, H.C.; Zhang, L.C. Ultrafast activation efficiency of three peroxides by Fe78Si9B13 metallic glass under photo-enhanced catalytic oxidation: A comparative study. Appl. Catal. B Environ. 2018, 221, 108–118. [Google Scholar] [CrossRef]
  32. Zhang, C.; Wang, Y.; Zhang, X.; Guo, H. Fe78Si9B13 amorphous alloys for the decolorization process of azo dye aqueous solutions with different initial concentrations at different reaction temperatures. Vacuum 2020, 176, 109301. [Google Scholar] [CrossRef]
  33. Lai, B.; Zhang, Y.; Chen, Z.; Yang, P.; Zhou, Y.; Wang, J. Removal of p-nitrophenol (PNP) in aqueous solution by the micron-scale iron–copper (Fe/Cu) bimetallic particles. Appl. Catal. B Environ. 2014, 144, 816–830. [Google Scholar] [CrossRef]
  34. Weng, C.-H.; Tao, H. Highly efficient persulfate oxidation process activated with Fe0 aggregate for decolorization of reactive azo dye Remazol Golden Yellow. Arab. J. Chem. 2018, 11, 1292–1300. [Google Scholar] [CrossRef]
  35. Yamaguchi, R.; Kurosu, S.; Suzuki, M.; Kawase, Y. Hydroxyl radical generation by zero-valent iron/Cu (ZVI/Cu) bimetallic catalyst in wastewater treatment: Heterogeneous Fenton/Fenton-like reactions by Fenton reagents formed in-situ under oxic conditions. Chem. Eng. J. 2018, 334, 1537–1549. [Google Scholar] [CrossRef]
  36. Xiong, Z.; Lai, B.; Yang, P.; Zhou, Y.; Wang, J.; Fang, S. Comparative study on the reactivity of Fe/Cu bimetallic particles and zero valent iron (ZVI) under different conditions of N2, air or without aeration. J. Hazard. Mater. 2015, 297, 261–268. [Google Scholar] [CrossRef] [PubMed]
  37. Chen, Q.; Yan, Z.C.; Zhang, H.; Kim, K.; Wang, W.M. Role of nanocrystallites of Al-based glasses and H2O2 in degradation azo dyes. Materials 2021, 14, 39. [Google Scholar] [CrossRef]
  38. Qin, X.; Xu, J.; Zhu, Z.; Li, Z.; Fang, D.; Fu, H.; Zhang, S.; Zhang, H. Co78Si8B14 metallic glass: A highly efficient and ultra-sustainable Fenton-like catalyst in degrading wastewater under universal pH conditions. J. Mater. Sci. Technol. 2022, 113, 105–116. [Google Scholar] [CrossRef]
  39. Weber, E.J. Iron-Mediated Reductive Transformations: Investigation of Reaction Mechanism. Environ. Sci. Technol. 1996, 30, 716–719. [Google Scholar] [CrossRef]
  40. SLiang, X.; Jia, Z.; Zhang, W.C.; Wang, W.M.; Zhang, L.C. Rapid malachite green degradation using Fe73.5Si13.5B9Cu1Nb3 metallic glass for activation of persulfate under UV-vis light. Mater. Des. 2017, 119, 244–253. [Google Scholar]
  41. Qin, X.D.; Li, Z.K.; Zhu, Z.W.; Fu, H.M.; Li, H.; Wang, A.M.; Zhang, H.W.; Zhang, H.F. Mechanism and kinetics of treatment of acid orange II by aged Fe-Si-B metallic glass powders. J. Mater. Sci. Technol. 2017, 33, 1147–1152. [Google Scholar] [CrossRef]
  42. Zhu, S.; Xiang, Q.; Ma, C.; Ren, Y.; Qiu, K. Continuous electrocoagulation degradation of oily wastewater with Fe78Si9B13 amorphous ribbons. Environ. Sci. Pollut. Res. 2020, 27, 40101–40108. [Google Scholar] [CrossRef] [PubMed]
  43. Liang, C.; Guo, Y.-Y. Mass Transfer and Chemical Oxidation of Naphthalene Particles with Zerovalent Iron Activated Persulfate. Environ. Sci. Technol. 2010, 44, 8203–8208. [Google Scholar] [CrossRef] [PubMed]
  44. Wang, L.; Yao, Y.; Zhang, Z.; Sun, L.; Lu, W.; Chen, W.; Chen, H. Activated carbon fibers as an excellent partner of Fenton catalyst for dyes decolorization by combination of adsorption and oxidation. Chem. Eng. J. 2014, 251, 348–354. [Google Scholar] [CrossRef]
  45. Yurdakal, S.; Loddo, V.; Augugliaro, V.; Berber, H.; Palmisano, G. Photodegradation of pharmaceutical drugs in aqueous TiO2 suspensions: Mechanism and kinetics. Catal. Today 2007, 129, 9–15. [Google Scholar] [CrossRef]
  46. Huang, C.-M.; Pan, G.-T.; Li, Y.-C.M.; Li, M.-H.; Yang, T.C.-K. Crystalline phases and photocatalytic activities of hydrothermal synthesis Ag3VO4 and Ag4V2O7 under visible light irradiation. Appl. Catal. A Gen. 2009, 358, 164–172. [Google Scholar] [CrossRef]
  47. Ma, Y.; Rheingans, B.; Liu, F.; Mittemeijer, E.J. Isochronal crystallization kinetics of Fe40Ni40B20 amorphous alloy. J. Mater. Sci. 2013, 48, 5596–5606. [Google Scholar] [CrossRef]
  48. Niu, Y.; Bian, X.; Wang, W. Origin of ductile–brittle transition of amorphous Fe78Si9B13 ribbon during low temperature annealing. J. Non-Cryst. Solids 2004, 341, 40–45. [Google Scholar] [CrossRef]
  49. Mariano, N.; Souza, C.; May, J.; Kuri, S. Influence of Nb content on the corrosion resistance and saturation magnetic density of FeCuNbSiB alloys. Mater. Sci. Eng. A 2003, 354, 1–5. [Google Scholar] [CrossRef]
  50. Lin, B.; Bian, X.; Wang, P.; Luo, G. Application of Fe-based metallic glasses in wastewater treatment. Mater. Sci. Eng. B 2012, 177, 92–95. [Google Scholar] [CrossRef]
Figure 1. Effect of pH value on (a) oil removal and (b) COD removal. (H2O2 concentration: 0.12 mol·L−1, catalyst dosage: 1.5 g·L−1, oil–water mass ratio: 1:60, temperature: 40 °C).
Figure 1. Effect of pH value on (a) oil removal and (b) COD removal. (H2O2 concentration: 0.12 mol·L−1, catalyst dosage: 1.5 g·L−1, oil–water mass ratio: 1:60, temperature: 40 °C).
Catalysts 12 01038 g001
Figure 2. Effect of H2O2 concentration on (a) oil removal and (b) COD removal. (pH = 3, catalyst dosage: 1.5 g·L−1, oil–water mass ratio: 1:60, temperature: 40 °C).
Figure 2. Effect of H2O2 concentration on (a) oil removal and (b) COD removal. (pH = 3, catalyst dosage: 1.5 g·L−1, oil–water mass ratio: 1:60, temperature: 40 °C).
Catalysts 12 01038 g002
Figure 3. Effect of catalyst dosage on (a) oil removal and (b) COD removal. (H2O2 concentration: 0.12 mol·L−1, pH = 3, oil–water mass ratio: 1:60, temperature: 40 °C).
Figure 3. Effect of catalyst dosage on (a) oil removal and (b) COD removal. (H2O2 concentration: 0.12 mol·L−1, pH = 3, oil–water mass ratio: 1:60, temperature: 40 °C).
Catalysts 12 01038 g003
Figure 4. Effect of oil–water mass ratio on (a) oil removal and (b) COD removal (H2O2 concentration: 0.12 mol·L−1, pH = 3, catalyst dosage: 1.5 g·L−1, temperature: 40 °C).
Figure 4. Effect of oil–water mass ratio on (a) oil removal and (b) COD removal (H2O2 concentration: 0.12 mol·L−1, pH = 3, catalyst dosage: 1.5 g·L−1, temperature: 40 °C).
Catalysts 12 01038 g004
Figure 5. Effect of reaction temperature on (a) oil removal and (b) COD removal. (H2O2 concentration: 0.12 mol·L−1, pH = 3, catalyst dosage: 1.5 g·L−1, oil–water mass ratio: 1:60).
Figure 5. Effect of reaction temperature on (a) oil removal and (b) COD removal. (H2O2 concentration: 0.12 mol·L−1, pH = 3, catalyst dosage: 1.5 g·L−1, oil–water mass ratio: 1:60).
Catalysts 12 01038 g005
Figure 6. Reaction runs for oily wastewater removal by Fe78Si9B13/H2O2 system (H2O2 concentration: 0.12 mol·L−1, pH = 3, catalyst dosage: 1.5 g·L−1, oil–water mass ratio: 1:60, temperature: 40 °C).
Figure 6. Reaction runs for oily wastewater removal by Fe78Si9B13/H2O2 system (H2O2 concentration: 0.12 mol·L−1, pH = 3, catalyst dosage: 1.5 g·L−1, oil–water mass ratio: 1:60, temperature: 40 °C).
Catalysts 12 01038 g006
Figure 7. (a) XRD patterns and (b) DSC curves of the melt-spun and 3rd reused Fe78Si9B13 metallic glass ribbons.
Figure 7. (a) XRD patterns and (b) DSC curves of the melt-spun and 3rd reused Fe78Si9B13 metallic glass ribbons.
Catalysts 12 01038 g007
Figure 8. SEM images of the (a) as-received, (b) 1st and (c) 3rd reused Fe78Si9B13 metallic glass ribbons.
Figure 8. SEM images of the (a) as-received, (b) 1st and (c) 3rd reused Fe78Si9B13 metallic glass ribbons.
Catalysts 12 01038 g008
Figure 9. Effect of OPDA concentration on (a) the normalized as a function of reaction time, (b) COD removal and reaction rate. (H2O2 concentration: 0.12 mol·L−1, pH = 3, catalyst dosage: 1.5 g·L−1, oil–water mass ratio: 1:60, temperature: 40 °C).
Figure 9. Effect of OPDA concentration on (a) the normalized as a function of reaction time, (b) COD removal and reaction rate. (H2O2 concentration: 0.12 mol·L−1, pH = 3, catalyst dosage: 1.5 g·L−1, oil–water mass ratio: 1:60, temperature: 40 °C).
Catalysts 12 01038 g009
Figure 10. Intensity of ·OH radicals in oily wastewater during the Fenton-like process.
Figure 10. Intensity of ·OH radicals in oily wastewater during the Fenton-like process.
Catalysts 12 01038 g010
Figure 11. Schematic illustration for the Fenton-like degradation of oily wastewater using Fe78Si9B13 metallic glassy ribbons.
Figure 11. Schematic illustration for the Fenton-like degradation of oily wastewater using Fe78Si9B13 metallic glassy ribbons.
Catalysts 12 01038 g011
Table 1. Comparative variations of ion concentration before and after the reaction.
Table 1. Comparative variations of ion concentration before and after the reaction.
IonIon Concentration (mg·L−1)
Before ReactionAfter Reaction
Li+<0.2<0.2
K+6.48.1
Mg+5.47.1
Fe2+/Fe3+2.5251.3
Ca2+29.940.3
Si4+4.010.7
B3+5.811.7
Publisher’s Note: MDPI stays neutral with regard to jurisdictional claims in published maps and institutional affiliations.

Share and Cite

MDPI and ACS Style

Liu, Y.; Zhao, B.; Ma, G.; Zhang, S.; Zhang, H.; Zhu, Z. Fenton-like Remediation for Industrial Oily Wastewater Using Fe78Si9B13 Metallic Glasses. Catalysts 2022, 12, 1038. https://doi.org/10.3390/catal12091038

AMA Style

Liu Y, Zhao B, Ma G, Zhang S, Zhang H, Zhu Z. Fenton-like Remediation for Industrial Oily Wastewater Using Fe78Si9B13 Metallic Glasses. Catalysts. 2022; 12(9):1038. https://doi.org/10.3390/catal12091038

Chicago/Turabian Style

Liu, Yulong, Bowen Zhao, Guofeng Ma, Shiming Zhang, Haifeng Zhang, and Zhengwang Zhu. 2022. "Fenton-like Remediation for Industrial Oily Wastewater Using Fe78Si9B13 Metallic Glasses" Catalysts 12, no. 9: 1038. https://doi.org/10.3390/catal12091038

APA Style

Liu, Y., Zhao, B., Ma, G., Zhang, S., Zhang, H., & Zhu, Z. (2022). Fenton-like Remediation for Industrial Oily Wastewater Using Fe78Si9B13 Metallic Glasses. Catalysts, 12(9), 1038. https://doi.org/10.3390/catal12091038

Note that from the first issue of 2016, this journal uses article numbers instead of page numbers. See further details here.

Article Metrics

Back to TopTop