Production of 1,3-Butadiene from Ethanol Using Treated Zr-Based Catalyst
Abstract
:1. Introduction
2. Results and Discussion
2.1. Crystalline Properties of the Catalyst
2.2. XPS Analytical Profile of the Catalyst
2.3. BET Profiles of the Catalyst
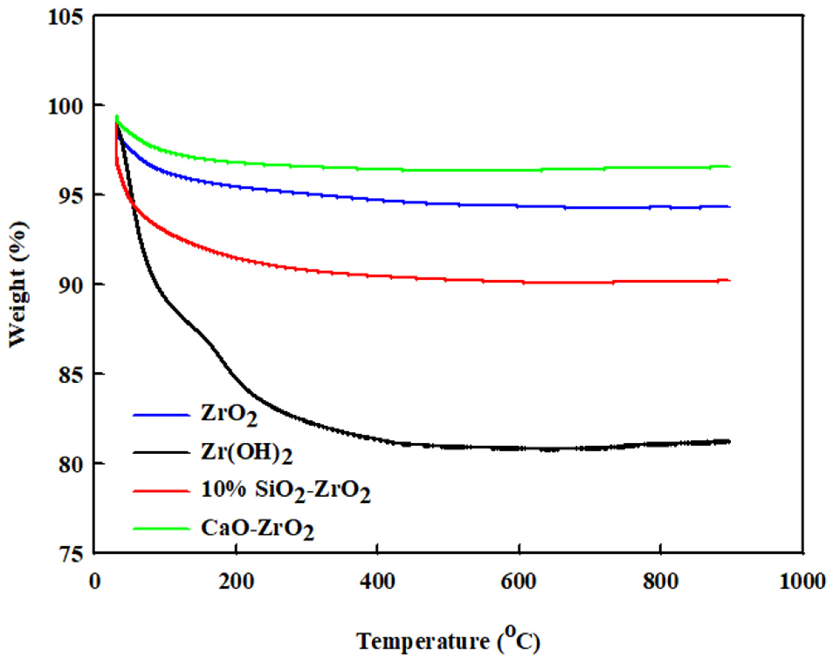
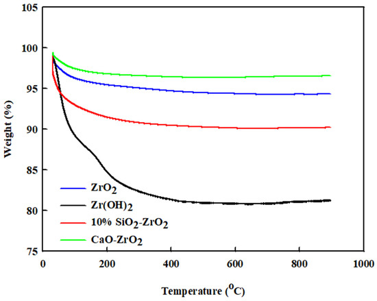
2.4. Measurement of Catalyst Deposition and Regeneration Using TGA
2.5. Effect of Weight Hourly Space Velocity (WHSV)
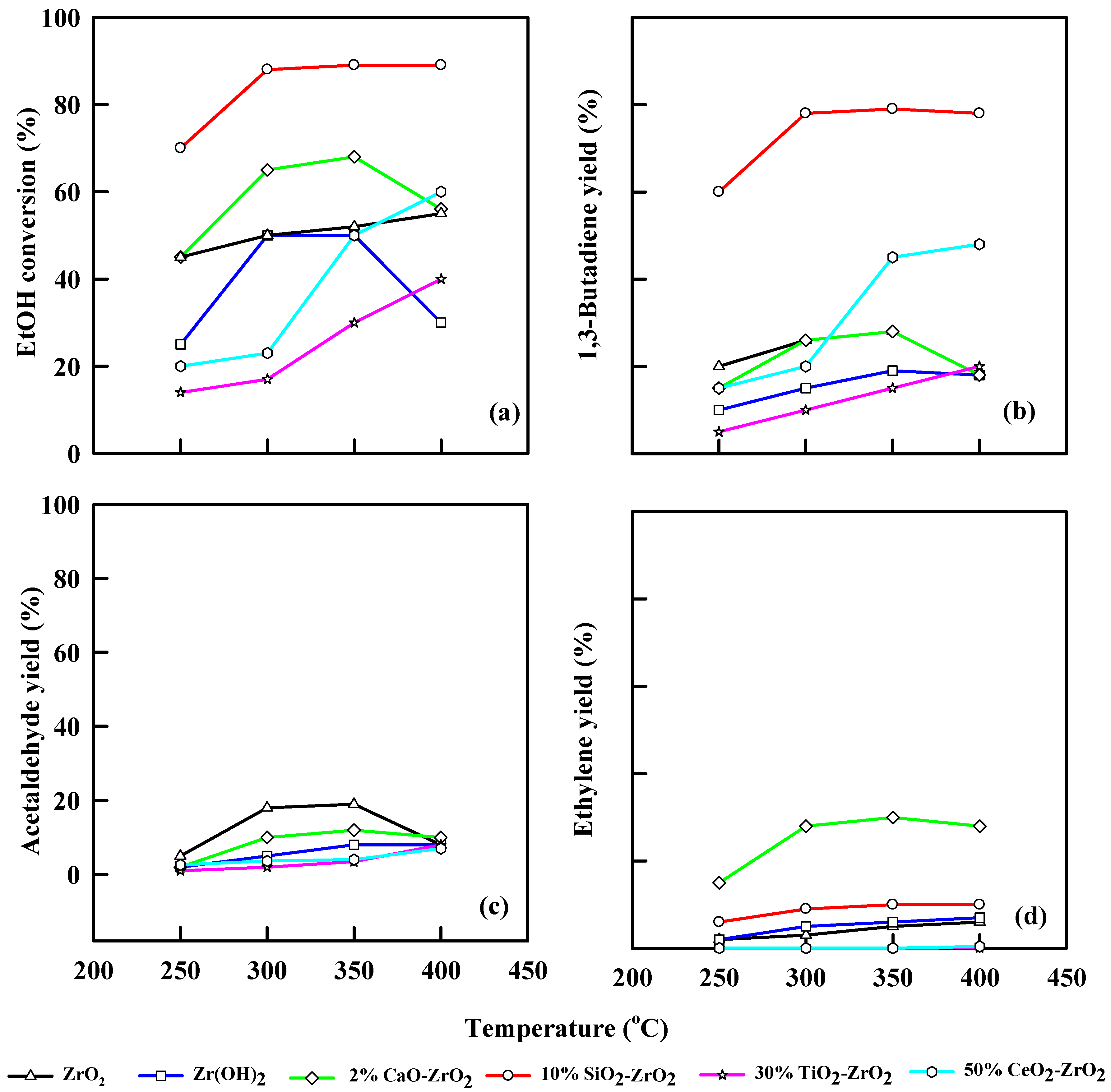
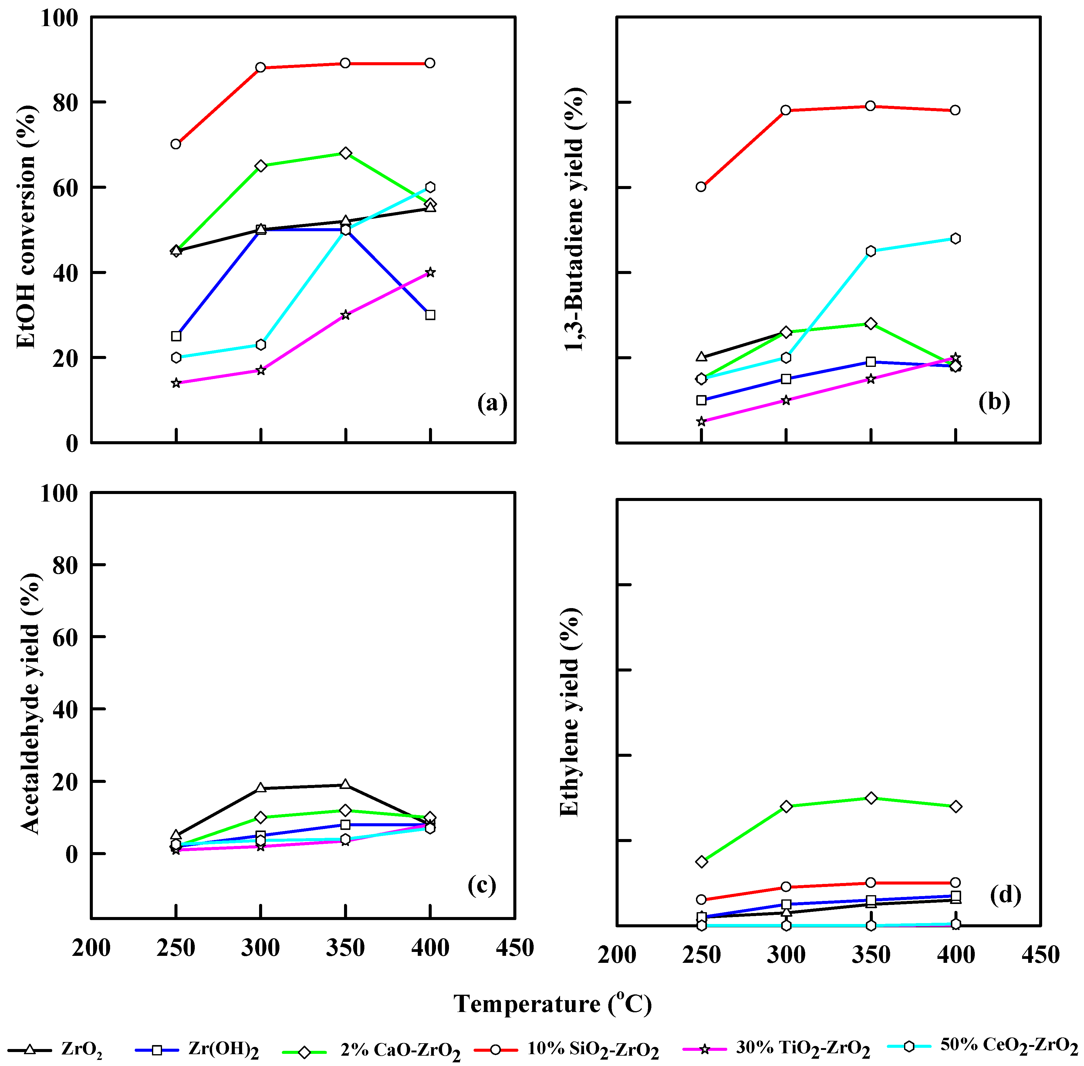
2.5.1. Effect of Catalyst at WHSV = 2.5 h−1
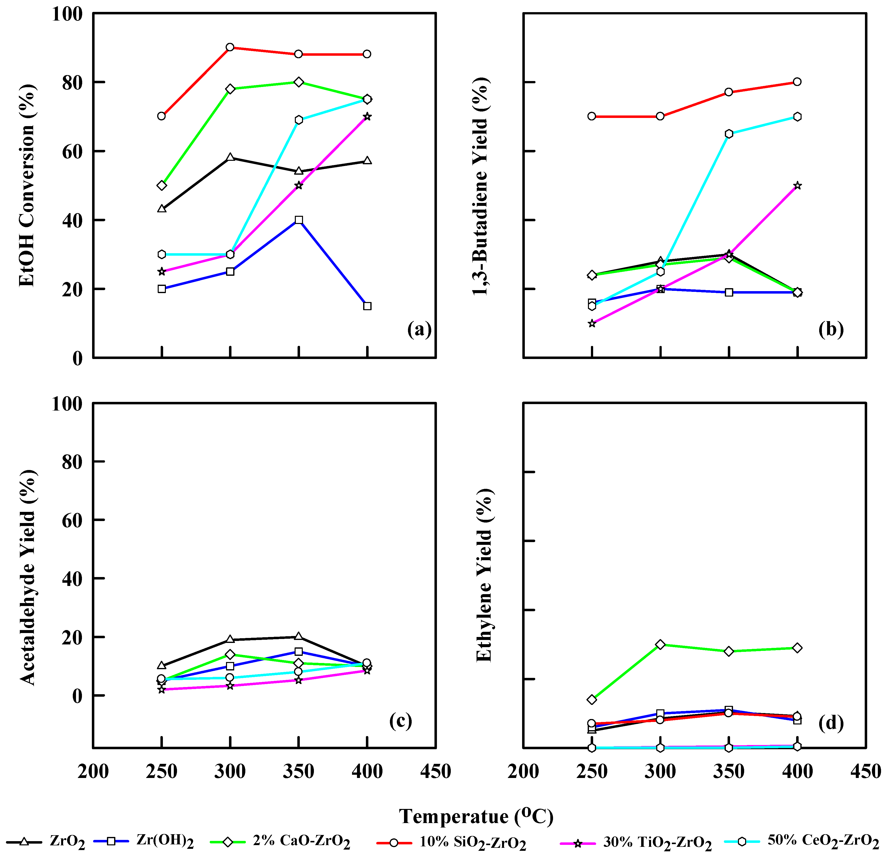
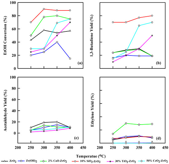
2.5.2. Effect of Catalyst at WHSV = 1.25 h−1
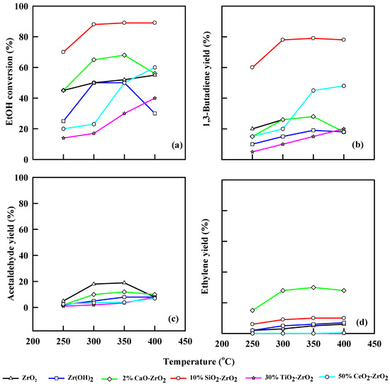
2.5.3. Effect of Catalyst at WHSV = 6.0 h−1
2.5.4. Effect of WHSV of Ethanol at 0.75 h−1
2.6. Comparing the Effect of Treated and Untreated Commercial Catalysts
2.7. Effect of Time on Stream on Ethanol Dehydration
3. Materials and Methods
3.1. Materials
3.1.1. Preparation of ZrO2 Catalyst
3.1.2. Preparation of Zr(OH)2 Catalyst
3.1.3. Preparation of 10% SiO2-ZrO2 Catalyst
3.1.4. Preparation of 2% CaO-ZrO2 Catalyst
3.1.5. Preparation of 30% TiO2-ZrO2 Catalyst
3.1.6. Preparation of 50% CeO2-ZrO2 Catalyst
3.2. Dehydration of the Ethanol Using Fixed Bed Reactor
3.3. Analytical Method for Determination of Ethanol Conversion and 1,3-Butadiene Yield
3.4. Catalyst Characterization
3.5. Catalyst Testing
4. Conclusions
Supplementary Materials
Author Contributions
Funding
Institutional Review Board Statement
Informed Consent Statement
Data Availability Statement
Conflicts of Interest
References
- Ochoa, J.V.; Bandinelli, C.; Vozniuk, O.; Chieregato, A.; Malmusi, A.; Recchi, C.; Cavani, F. An analysis of the chemical, physical and reactivity features of MgO–SiO2 catalysts for butadiene synthesis with the Lebedev process. Green Chem. 2016, 18, 1653–1663. [Google Scholar] [CrossRef]
- Talalay, A.; Talalay, L.S.K. The Russian synthetic rubber from alcohol. A survey of the chemistry and technology of the lebedev process for producing sodiumbutadiene polymers. Rubber Chem. Technol. 1942, 15, 403–429. [Google Scholar] [CrossRef]
- Bhattacharyya, S.K.; Ganguly, N.D. One-step catalytic conversion of ethanol to butadiene in the fixed bed. I. Single-oxide catalysts. J. Appl. Chem. 1962, 12, 97–104. [Google Scholar] [CrossRef]
- Boronat, M.; Concepción, P.; Corma, A.; Navarro, M.T.; Renz, M.; Valencia, S. Reactivity in the confined spaces of zeolites: The interplay between spectroscopy and theory to develop structure–activity relationships for catalysis. Phys. Chem. Chem. Phys. 2009, 11, 2876–2884. [Google Scholar] [CrossRef]
- Boronat, M.; Concepción, P.; Corma, A.; Renz, M.; Valencia, S. Determination of the catalytically active oxida-tion Lewis acid sites in Sn-beta zeolites, and their optimisation by the combination of theoretical and experimental studies. J. Catal. 2005, 234, 111–118. [Google Scholar] [CrossRef]
- Boukha, Z.; Fitian, L.; López-Haro, M.; Mora, M.; Ruiz, J.R.; Jiménez-Sanchidrián, C.; Blanco, G.; Calvino, J.J.; Cifredo, G.A.; Trasobares, S.; et al. Influence of the calcination temperature on the nano-structural properties, surface basicity, and catalytic behavior of alumina-supported lanthana samples. J. Catal. 2010, 272, 121–130. [Google Scholar] [CrossRef]
- Cabello González, G.M.; Villanueva Perales, A.L.; Martínez, A.; Campoy, M.; Vidal-Barrero, F. Conversion of aqueous ethanol/acetaldehyde mixtures into 1,3-butadiene over a mesostructured Ta-SBA-15 catalyst: Effect of reaction conditions and kinetic modelling. Fuel Process. Technol. 2022, 226, 107092. [Google Scholar] [CrossRef]
- Aimon, D.; Panier, E. La mise en pratique de l’économie circulaire chez michelin. Ann. Mines-Responsab. Environ. 2014, 76, 38–44. [Google Scholar] [CrossRef]
- Budagumpi, S.; Kim, K.-H.; Kim, I. Catalytic and coordination facets of single-site non-metallocene organometallic catalysts with N-heterocyclic scaffolds employed in olefin polymerization. Coord. Chem. Rev. 2011, 255, 2785–2809. [Google Scholar] [CrossRef]
- Prillaman, J.T.; Miyake, N.; Davis, R.J. Calcium Phosphate Catalysts for Ethanol Coupling to Butanol and Butadiene. Catal. Lett. 2020, 151, 648–657. [Google Scholar] [CrossRef]
- Pomalaza, G.; Arango, P.; Capron, M.; Dumeignil, F.Y. Ethanol-to-Butadiene: A Review. Catal. Sci. Technol. 2020, 10, 4860–4911. [Google Scholar] [CrossRef]
- Gao, M.; Jiang, H.; Zhang, M. Influences of Interactive Effect Between ZrO2 and nano-SiO2 on the formation of 1,3-butadiene from ethanol and acetaldehyde. Catal. Surv. Asia 2020, 24, 115–122. [Google Scholar] [CrossRef]
- Zhang, M.; Guan, X.; Zhuang, J.; Yu, Y. Insights into the mechanism of ethanol conversion into 1,3-butadiene on Zr-β zeolite. Appl. Surf. Sci. 2021, 579, 152212. [Google Scholar] [CrossRef]
- Kyriienko, P.I.; Larina, O.V.; Balakin, D.Y.; Vorokhta, M.; Khalakhan, I.; Sergiienko, S.A.; Soloviev, S.O.; Orlyk, S.M. The effect of lanthanum in Cu/La(-Zr)-Si oxide catalysts for aqueous ethanol conversion into 1,3-butadiene. Mol. Catal. 2022, 518, 112096. [Google Scholar] [CrossRef]
- Sushkevich, V.L.; Ivanova, I.I. Ag-Promoted ZrBEA Zeolites Obtained by Post-Synthetic Modification for Conversion of Ethanol to Butadiene. ChemSusChem 2016, 9, 2216–2225. [Google Scholar] [CrossRef]
- Sushkevich, V.L.; Ivanova, I.I.; Ordomsky, V.V.; Taarning, E. Design of a metal-promoted oxide catalyst for the selective synthesis of butadiene from ethanol. ChemSusChem 2014, 7, 2527–2536. [Google Scholar] [CrossRef]
- Kyriienko, P.I.; Larina, O.V.; Balakin, D.Y.; Stetsuk, A.O.; Nychiporuk, Y.M.; Soloviev, S.O.; Orlyk, S.M. 1,3-Butadiene production from aqueous ethanol over ZnO/MgO-SiO2 catalysts: Insight into H2O effect on catalytic performance. Appl. Catal. A Gen. 2021, 616, 118081. [Google Scholar] [CrossRef]
- Cheong, J.L.; Shao, Y.; Tan, S.J.R.; Li, X.; Zhang, Y.; Lee, S.S. Highly Active and Selective Zr/MCF Catalyst for Production of 1,3-Butadiene from Ethanol in a Dual Fixed Bed Reactor System. ACS Sustain. Chem. Eng. 2016, 4, 4887–4894. [Google Scholar] [CrossRef]
- Pomalaza, G.; Capron, M.; Ordomsky, V.; Dumeignil, F. Recent breakthroughs in the conversion of ethanol to butadiene. Catalysts 2016, 6, 203. [Google Scholar] [CrossRef] [Green Version]
- Guan, Y.; Hensen, E.J.M. Ethanol dehydrogenation by gold catalysts: The effect of the gold particle size and the presence of oxygen. Appl. Catal. A Gen. 2009, 361, 49–56. [Google Scholar] [CrossRef]
- Han, Z.; Li, X.; Zhang, M.; Liu, Z.; Gao, M. Sol–gel synthesis of ZrO2–SiO2 catalysts for the transformation of bioethanol and acetaldehyde into 1,3-butadiene. RSC Adv. 2015, 5, 103982–103988. [Google Scholar] [CrossRef]
- Baylon, R.A.L.; Sun, J.; Wang, Y. Conversion of ethanol to 1,3-butadiene over Na doped ZnxZryOz mixed metal oxides. Catal. Today 2016, 259, 446–452. [Google Scholar] [CrossRef] [Green Version]
- Kuznetsov, P.; Belskaya, N.A.; Tomilova, T.A.; Beregovtsova, N.G.; Sharypov, V. Peculiarities in methanol action during liquefaction of different coal type. Fuel 1989, 68, 1580–1583. [Google Scholar] [CrossRef]
- Kongwudthiti, S.; Praserthdam, P.; Tanakulrungsank, W.; Inoue, M. The influence of Si–O–Zr bonds on the crys-tal-growth inhibition of zirconia prepared by the glycothermal method. J. Mater. Process. Technol. 2003, 136, 186–189. [Google Scholar] [CrossRef]
- Feng, X.-J.; Lu, X.-B.; He, R. Tertiary amino group covalently bonded to MCM-41 silica as heterogeneous cata-lyst for the continuous synthesis of dimethyl carbonate from methanol and ethylene carbonate. Appl. Catal. A Gen. 2004, 272, 347–352. [Google Scholar] [CrossRef]
- Zou, H.; Lin, Y. Structural and surface chemical properties of sol–gel derived TiO2–ZrO2 oxides. Appl. Catal. A Gen. 2004, 265, 35–42. [Google Scholar] [CrossRef]
- Suda, A.; Yamamura, K.; Morikawa, A.; Nagai, Y.; Sobukawa, H.; Ukyo, Y.; Shinjo, H. Atmospheric pressure sol-vothermal synthesis of ceria–zirconia solid solutions and their large oxygen storage capacity. J. Mater. Sci. 2008, 43, 2258–2262. [Google Scholar] [CrossRef]
- Chen, Z.; Zhang, X.; Yang, F.; Peng, H.; Zhang, X.; Zhu, S.; Che, L. Deactivation of a Y-zeolite based catalyst with coke evolution during the catalytic pyrolysis of polyethylene for fuel oil. Appl. Catal. A Gen. 2021, 609, 117873. [Google Scholar] [CrossRef]
- Zhang, M.; Qin, Y.; Jiang, H.; Wang, L. Protective desilication of β zeolite: A mechanism study and its applica-tion in ethanol-acetaldehyde to 1, 3-butadiene. Microporous Mesoporous Mater. 2021, 326, 111359. [Google Scholar] [CrossRef]
- Wu, C.-Y.; Wu, H.-S. Ethylene formation from ethanol dehydration using ZSM-5 catalyst. ACS Omega 2017, 2, 4287–4296. [Google Scholar] [CrossRef] [Green Version]
- Sekiguchi, Y.; Akiyama, S.; Urakawa, W.; Koyama, T.r.; Miyaji, A.; Motokura, K.; Baba, T. One-step catalytic conversion of ethanol into 1,3-butadiene using zinc-containing talc. Catal. Commun. 2015, 68, 20–24. [Google Scholar] [CrossRef]
- Jones, M.D.; Keir, C.G.; Di Iulio, C.; Robertson, R.A.; Williams, C.V.; Apperley, D.C. Investigations into the con-version of ethanol into 1, 3-butadiene. Catal. Sci. Technol. 2011, 1, 267–272. [Google Scholar] [CrossRef]
- Lesmana, D.; Wu, H.-S. Modified oxalic acid co-precipitation method for preparing Cu/ZnO/Al2O3/Cr2O3/CeO2 catalysts for the OR (oxidative reforming) of M (methanol) to produce H2 (hydrogen) gas. Energy 2014, 69, 769–777. [Google Scholar] [CrossRef]










| Catalyst | T (°C) | WHSV (h−1) | TOS (h) | XEtOH (%) | Y1,3-BD (%) | Refs. |
|---|---|---|---|---|---|---|
| 4.9% Cu/MCF + 2.7% Zr/MCF | 425 | 3.7 | 10 | 92 | 64.4 | [18] |
| 3.7% Ag/Zr/BEA | 350 | 1.2–3.7 | 3 | - | - | [15,19] |
| 3% ZrO2/SiO2 | 350 | 1.8 | - | 45.4 | 31.6 | [20,21] |
| 3000 ppm Na/Zn1Zr10On | 400 | 6.2 | - | 54.4 | 15.2 | [22] |
| ZrO2 | 350 | 2.5 | 14 | 50 | 28 | This study |
| Zr(OH)2 | 350 | 2.5 | 14 | 30 | 19 | |
| 2%CaO-ZrO2 | 350 | 2.5 | 14 | 79 | 30 | |
| 10% SiO2-ZrO2 | 350 | 2.5 | 15 | 95 | 80 | |
| 30% TiO2-ZrO2 | 350 | 2.5 | 14 | 70 | 43 | |
| 50% CeO2-ZrO2 | 350 | 2.5 | 14 | 70 | 65 |
| Catalyst | O 1s (%) | C 1s (%) | Zr 3d (%) | Si 2p (%) | Ca 2p (%) | Ti 2p (%) | Ce 3d (%) |
|---|---|---|---|---|---|---|---|
| ZrO2 | 47.3 | 27.9 | 24.9 | - | |||
| 2% CaO-ZrO2 | 50.3 | 23.0 | 23.8 | - | 2.9 | ||
| 10% SiO2-ZrO2 | 53.4 | 19.0 | 20.9 | 6.8 | |||
| Zr(OH)2 | 49.6 | 29.0 | 21.4 | - | |||
| 30% TiO2-ZrO2 | 54 | 22.8 | 10.7 | 2.3 | 10.3 | ||
| 50% CeO2-ZrO2 | 51.4 | 24.8 | 13.4 | 10.4 |
| Catalyst | Surface Area (m2/g) | Pore Volume (cm3/g) | |||
|---|---|---|---|---|---|
| SBET a | Smicro b | Sext b | Vmicro b | Vmeso c | |
| ZrO2 | 98 | - | 116 | - | 0.0012 |
| Zr(OH)2 | 50 | 5.5 | 45 | 0.0004 | 0.0002 |
| 2% CaO-ZrO2 | 195 | 3.4 | 191 | 0.0006 | 0.0004 |
| 10% SiO2-ZrO2 | 90 | 7.4 | 83 | 0.0172 | 0.0013 |
| 30% TiO2-ZrO2 | 293 | 43 | 250 | 0.0093 | 0.0063 |
| 50% CeO2-ZrO2 | 205 | - | 218 | - | 0.0044 |
| Catalyst | Surface Area (m2/g) | Pore Volume (cm3/g) | |||
|---|---|---|---|---|---|
| SBET a | Smicro b | Sext b | Vmicro b | Vmeso c | |
| ZrO2 | 78 | - | 89 | - | 0.0014 |
| Zr(OH)2 | 32 | 3.2 | 16 | 0.0002 | 0.0005 |
| 2% CaO-ZrO2 | 100 | 1.6 | 78 | 0.0004 | 0.0008 |
| 10% SiO2-ZrO2 | 88 | 6.8 | 100 | 0.0142 | 0.0015 |
| 30% TiO2-ZrO2 | 212 | 12.8 | 145 | 0.0087 | 0.0093 |
| 50% CeO2-ZrO2 | 178 | - | 164 | - | 0.0056 |
| WHSV (h−1) | |||
|---|---|---|---|
| Catalyst | T (°C) | 1.25 | 2.5 |
| ZrO2 | 250 | 256 | 456 |
| 300 | 328 | 528 | |
| 350 | 343 | 503 | |
| 400 | 87.6 | 97.6 | |
| Zr(OH)2 | 250 | 79.7 | 99.7 |
| 300 | 189 | 199 | |
| 350 | 284 | 204 | |
| 400 | 278 | 308 | |
| 2% CaO-ZrO2 | 250 | 348 | 231 |
| 300 | 457 | 346 | |
| 350 | 468 | 408 | |
| 400 | 85.6 | 89.3 | |
| 10% SiO2-ZrO2 | 250 | 549 | 449 |
| 300 | 557 | 589 | |
| 350 | 566 | 578 | |
| 400 | 580 | 558 | |
| 30% TiO2-ZrO2 | 250 | 87.2 | 98.7 |
| 300 | 212 | 412 | |
| 350 | 329 | 423 | |
| 400 | 399 | 489 | |
| 50% CeO2-ZrO2 | 250 | 99.7 | 249 |
| 300 | 254 | 348 | |
| 350 | 444 | 459 | |
| 400 | 522 | 579 | |
| a Treated | b Untreated | c Treated | d Untreated | |
|---|---|---|---|---|
| Catalyst | XEtOH (%) | XEtOH (%) | Y1,3-butadiene (%) | Y1,3-butadiene (%) |
| ZrO2 | 60 | 34.5 | 30 | 10.6 |
| Zr(OH)2 | 50 | 30.4 | 20 | 10 |
| 2% CaO-ZrO2 | 79.8 | 37.3 | 30 | 15.7 |
| 10% SiO2-ZrO2 | 88.8 | 40.6 | 75.9 | 20.3 |
| 30% TiO2-ZrO2 | 70.7 | 47 | 55 | 19.5 |
| 50% CeO2-ZrO2 | 74.5 | 47 | 65.3 | 16.8 |
Publisher’s Note: MDPI stays neutral with regard to jurisdictional claims in published maps and institutional affiliations. |
© 2022 by the authors. Licensee MDPI, Basel, Switzerland. This article is an open access article distributed under the terms and conditions of the Creative Commons Attribution (CC BY) license (https://creativecommons.org/licenses/by/4.0/).
Share and Cite
Bojang, A.A.; Wu, H.-S. Production of 1,3-Butadiene from Ethanol Using Treated Zr-Based Catalyst. Catalysts 2022, 12, 766. https://doi.org/10.3390/catal12070766
Bojang AA, Wu H-S. Production of 1,3-Butadiene from Ethanol Using Treated Zr-Based Catalyst. Catalysts. 2022; 12(7):766. https://doi.org/10.3390/catal12070766
Chicago/Turabian StyleBojang, Adama A., and Ho-Shing Wu. 2022. "Production of 1,3-Butadiene from Ethanol Using Treated Zr-Based Catalyst" Catalysts 12, no. 7: 766. https://doi.org/10.3390/catal12070766
APA StyleBojang, A. A., & Wu, H.-S. (2022). Production of 1,3-Butadiene from Ethanol Using Treated Zr-Based Catalyst. Catalysts, 12(7), 766. https://doi.org/10.3390/catal12070766
