Identifying the Metallic State of Rh Catalyst on Boron Nitride during Partial Oxidation of Methane by Using the Product Molecule as the Infrared Probe
Abstract
:1. Introduction
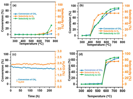
2. Results
3. Discussion
4. Materials and Methods
5. Conclusions
Supplementary Materials
Author Contributions
Funding
Institutional Review Board Statement
Informed Consent Statement
Data Availability Statement
Conflicts of Interest
References
- Pan, X.; Jiao, F.; Miao, D.; Bao, X. Oxide–Zeolite-Based Composite Catalyst Concept That Enables Syngas Chemistry beyond Fischer–Tropsch Synthesis. Chem. Rev. 2021, 121, 6588–6609. [Google Scholar] [CrossRef]
- Wei, J.; Yao, R.; Han, Y.; Ge, Q.; Sun, J. Towards the development of the emerging process of CO2 heterogenous hydrogenation into high-value unsaturated heavy hydrocarbons. Chem. Soc. Rev. 2021, 50, 10764–10805. [Google Scholar] [CrossRef] [PubMed]
- Luk, H.T.; Mondelli, C.; Ferré, D.C.; Stewart, J.A.; Pérez-Ramírez, J. Status and prospects in higher alcohols synthesis from syngas. Chem. Soc. Rev. 2017, 46, 1358–1426. [Google Scholar] [CrossRef]
- Bao, J.; Yang, G.; Yoneyama, Y.; Tsubaki, N. Significant Advances in C1 Catalysis: Highly Efficient Catalysts and Catalytic Reactions. ACS Catal. 2019, 9, 3026–3053. [Google Scholar] [CrossRef]
- Aramouni, N.A.K.; Touma, J.G.; Tarboush, B.A.; Zeaiter, J.; Ahmad, M.N. Catalyst design for dry reforming of methane: Analysis review. Renew. Sustain. Energy Rev. 2018, 82, 2570–2585. [Google Scholar] [CrossRef]
- Jang, W.-J.; Shim, J.-O.; Kim, H.-M.; Yoo, S.-Y.; Roh, H.-S. A review on dry reforming of methane in aspect of catalytic properties. Catal. Today 2019, 324, 15–26. [Google Scholar] [CrossRef]
- Li, M.; Sun, Z.; Hu, Y.H. Catalysts for CO2 reforming of CH4: A review. J. Mater. Chem. A 2021, 9, 12495–12520. [Google Scholar] [CrossRef]
- Tang, Y.; Li, Y.; Tao, F. Activation and catalytic transformation of methane under mild conditions. Chem. Soc. Rev. 2022, 51, 376–423. [Google Scholar] [CrossRef]
- Tang, Y.; Wei, Y.; Wang, Z.; Zhang, S.; Li, Y.; Nguyen, L.; Li, Y.; Zhou, Y.; Shen, W.; Tao, F.F.; et al. Synergy of Single-Atom Ni1 and Ru1 Sites on CeO2 for Dry Reforming of CH4. J. Am. Chem. Soc. 2019, 141, 7283–7293. [Google Scholar] [CrossRef]
- Tang, Y.; Fung, V.; Zhang, X.; Li, Y.; Nguyen, L.; Sakata, T.; Higashi, K.; Jiang, D.-E.; Tao, F.F. Single-Atom High-Temperature Catalysis on a Rh1O5 Cluster for Production of Syngas from Methane. J. Am. Chem. Soc. 2021, 143, 16566–16579. [Google Scholar] [CrossRef]
- Belgamwar, R.; Rankin, A.G.M.; Maity, A.; Mishra, A.K.; Gómez, J.S.; Trébosc, J.; Vinod, C.P.; Lafon, O.; Polshettiwar, V. Boron Nitride and Oxide Supported on Dendritic Fibrous Nanosilica for Catalytic Oxidative Dehydrogenation of Propane. ACS Sustain. Chem. Eng. 2020, 8, 16124–16135. [Google Scholar] [CrossRef]
- Liu, Z.; Yan, B.; Meng, S.; Liu, R.; Lu, W.-D.; Sheng, J.; Yi, Y.; Lu, A.-H. Plasma Tuning Local Environment of Hexagonal Boron Nitride for Oxidative Dehydrogenation of Propane. Angew. Chem. Int. Ed. 2021, 60, 19691–19695. [Google Scholar] [CrossRef]
- Cao, Y.; Maitarad, P.; Gao, M.; Taketsugu, T.; Li, H.; Yan, T.; Shi, L.; Zhang, D. Defect-induced efficient dry reforming of methane over two-dimensional Ni/h-boron nitride nanosheet catalysts. Appl. Catal. B Environ. 2018, 238, 51–60. [Google Scholar] [CrossRef]
- Bu, K.; Kuboon, S.; Deng, J.; Li, H.; Yan, T.; Chen, G.; Shi, L.; Zhang, D. Methane dry reforming over boron nitride interface-confined and LDHs-derived Ni catalysts. Appl. Catal. B Environ. 2019, 252, 86–97. [Google Scholar] [CrossRef]
- Shi, L.; Wang, Y.; Yan, B.; Song, W.; Shao, D.; Lu, A.-H. Progress in selective oxidative dehydrogenation of light alkanes to olefins promoted by boron nitride catalysts. Chem. Commun. 2018, 54, 10936–10946. [Google Scholar] [CrossRef]
- Shi, L.; Wang, D.; Song, W.; Shao, D.; Zhang, W.-P.; Lu, A.-H. Edge-hydroxylated Boron Nitride for Oxidative Dehydrogenation of Propane to Propylene. ChemCatChem 2017, 9, 1788–1793. [Google Scholar] [CrossRef]
- Grant, J.T.; Carrero, C.A.; Goeltl, F.; Venegas, J.; Mueller, P.; Burt, S.P.; Specht, S.E.; McDermott, W.P.; Chieregato, A.; Hermans, I. Selective oxidative dehydrogenation of propane to propene using boron nitride catalysts. Science 2016, 354, 1570–1573. [Google Scholar] [CrossRef]
- Boekfa, B.; Treesukol, P.; Injongkol, Y.; Maihom, T.; Maitarad, P.; Limtrakul, J. The Activation of Methane on Ru, Rh, and Pd Decorated Carbon Nanotube and Boron Nitride Nanotube: A DFT Study. Catalysts 2018, 8, 190. [Google Scholar] [CrossRef]
- Dong, J.; Fu, Q.; Li, H.; Xiao, J.; Yang, B.; Zhang, B.; Bai, Y.; Song, T.; Zhang, R.; Gao, L.; et al. Reaction-Induced Strong Metal–Support Interactions between Metals and Inert Boron Nitride Nanosheets. J. Am. Chem. Soc. 2020, 142, 17167–17174. [Google Scholar] [CrossRef]
- Yang, H.; Yu, R.; Fang, Y.; Yao, J.; Gan, Y.; Chen, J.; Deng, H.; Gao, X.; Zong, X.; Wang, J.; et al. Singly dispersed Ir1Ti3 bimetallic site for partial oxidation of methane at high temperature. Appl. Surf. Sci. 2022, 599, 153863. [Google Scholar] [CrossRef]
- Wang, P.; Yao, J.; Jiang, Q.; Gao, X.; Lin, D.; Yang, H.; Wu, L.; Tang, Y.; Tan, L. Stabilizing the isolated Pt sites on PtGa/Al2O3 catalyst via silica coating layers for propane dehydrogenation at low temperature. Appl. Catal. B Environ. 2022, 300, 120731. [Google Scholar] [CrossRef]
- Song, T.; Dong, J.; Li, R.; Xu, X.; Hiroaki, M.; Yang, B.; Zhang, R.; Bai, Y.; Xin, H.; Lin, L.; et al. Oxidative Strong Metal–Support Interactions between Metals and Inert Boron Nitride. J. Phys. Chem. Lett. 2021, 12, 4187–4194. [Google Scholar] [CrossRef] [PubMed]
- Zhang, B.; Li, G.; Liu, S.; Qin, Y.; Song, L.; Wang, L.; Zhang, X.; Liu, G. Boosting propane dehydrogenation over PtZn encapsulated in an epitaxial high-crystallized zeolite with a low surface barrier. ACS Catal. 2022, 12, 1310–1314. [Google Scholar] [CrossRef]
- Yang, K.; Liu, Q.; Zheng, Y.; Yin, H.; Zhang, S.; Tang, Y. Locally Ordered Graphitized Carbon Cathodes for High-Capacity Dual-Ion Batteries. Angew. Chem. Int. Ed. 2021, 60, 6326–6332. [Google Scholar] [CrossRef]
- Paalanen, P.P.; van Vreeswijk, S.H.; Weckhuysen, B.M. Combined In Situ X-ray Powder Diffractometry/Raman Spectroscopy of Iron Carbide and Carbon Species Evolution in Fe(−Na–S)/α-Al2O3 Catalysts during Fischer–Tropsch Synthesis. ACS Catal. 2020, 10, 9837–9855. [Google Scholar] [CrossRef]
- Roy, S.; Zhang, X.; Puthirath, A.B.; Meiyazhagan, A.; Bhattacharyya, S.; Rahman, M.M.; Babu, G.; Susarla, S.; Saju, S.K.; Tran, M.K.; et al. Structure, Properties and Applications of Two-Dimensional Hexagonal Boron Nitride. Adv. Mater. 2021, 33, 2101589. [Google Scholar] [CrossRef]
- Han, R.; Diao, J.; Kumar, S.; Lyalin, A.; Taketsugu, T.; Casillas, G.; Richardson, C.; Liu, F.; Yoon, C.W.; Liu, H.; et al. Boron nitride for enhanced oxidative dehydrogenation of ethylbenzene. J. Energy Chem. 2021, 57, 477–484. [Google Scholar] [CrossRef]
- Schild, D.; Ulrich, S.; Ye, J.; Stüber, M. XPS investigations of thick, oxygen-containing cubic boron nitride coatings. Solid State Sci. 2010, 12, 1903–1906. [Google Scholar] [CrossRef]
- Gao, L.; Fu, Q.; Wei, M.; Zhu, Y.; Liu, Q.; Crumlin, E.; Liu, Z.; Bao, X. Enhanced Nickel-Catalyzed Methanation Confined under Hexagonal Boron Nitride Shells. ACS Catal. 2016, 6, 6814–6822. [Google Scholar] [CrossRef]
- Kim, Y.; Kang, S.; Kang, D.; Lee, K.R.; Song, C.K.; Sung, J.; Kim, J.S.; Lee, H.; Park, J.; Yi, J. Single-Phase Formation of Rh2O3 Nanoparticles on h-BN Support for Highly Controlled Methane Partial Oxidation to Syngas. Angew. Chem. Int. Ed. 2021, 60, 25411–25418. [Google Scholar] [CrossRef]
- Wang, Y.; Wang, J.; Zheng, P.; Sun, C.; Luo, J.; Xie, X. Boosting selectivity and stability on Pt/BN catalysts for propane dehydrogenation via calcination & reduction-mediated strong metal-support interaction. J. Energy Chem. 2022, 67, 451–457. [Google Scholar] [CrossRef]
- Yan, G.; Tang, Y.; Li, Y.; Li, Y.; Nguyen, L.; Sakata, T.; Higashi, K.; Tao, F.F.; Sautet, P. Reaction product-driven restructuring and assisted stabilization of a highly dispersed Rh-on-ceria catalyst. Nat. Catal. 2022, 5, 119–127. [Google Scholar] [CrossRef]
- Lang, R.; Li, T.B.; Matsumura, D.; Miao, S.; Ren, Y.J.; Cui, Y.T.; Tan, Y.; Qiao, B.T.; Li, L.; Wang, A.Q.; et al. Hydroformylation of Olefins by a Rhodium Single-Atom Catalyst with Activity Comparable to RhCl(PPh3)(3). Angew. Chem.-Int. Ed. 2016, 55, 16054–16058. [Google Scholar] [CrossRef] [PubMed]
- Kwon, Y.; Kim, T.Y.; Kwon, G.; Yi, J.; Lee, H. Selective Activation of Methane on Single-Atom Catalyst of Rhodium Dispersed on Zirconia for Direct Conversion. J. Am. Chem. Soc. 2017, 139, 17694–17699. [Google Scholar] [CrossRef]
- Matsubu, J.C.; Zhang, S.Y.; DeRita, L.; Marinkovic, N.S.; Chen, J.G.G.; Graham, G.W.; Pan, X.Q.; Christopher, P. Adsorbate-mediated strong metal-support interactions in oxide-supported Rh catalysts. Nat. Chem. 2017, 9, 120–127. [Google Scholar] [CrossRef]
- Zhang, S.; Tang, Y.; Nguyen, L.; Zhao, Y.-F.; Wu, Z.; Goh, T.-W.; Liu, J.J.; Li, Y.; Zhu, T.; Huang, W.; et al. Catalysis on Singly Dispersed Rh Atoms Anchored on an Inert Support. ACS Catal. 2018, 8, 110–121. [Google Scholar] [CrossRef]
- Jeong, H.; Lee, G.; Kim, B.-S.; Bae, J.; Han, J.W.; Lee, H. Fully Dispersed Rh Ensemble Catalyst to Enhance Low-Temperature Activity. J. Am. Chem. Soc. 2018, 140, 9558–9565. [Google Scholar] [CrossRef]
- Guo, Q.; Wang, Y.; Han, J.; Zhang, J.; Wang, F. Interfacial Tandem Catalysis for Ethylene Carbonylation and C–C Coupling to 3-Pentanone on Rh/Ceria. ACS Catal. 2022, 12, 3286–3290. [Google Scholar] [CrossRef]
- Bhattacharya, A.; Bhattacharya, S.; Das, G.P. Band gap engineering by functionalization of BN sheet. Phys. Rev. B 2012, 85, 035415. [Google Scholar] [CrossRef]
- Sainsbury, T.; Satti, A.; May, P.; Wang, Z.; McGovern, I.; Gun’ko, Y.K.; Coleman, J. Oxygen Radical Functionalization of Boron Nitride Nanosheets. J. Am. Chem. Soc. 2012, 134, 18758–18771. [Google Scholar] [CrossRef]
- Huang, R.; Zhang, B.; Wang, J.; Wu, K.-H.; Shi, W.; Zhang, Y.; Liu, Y.; Zheng, A.; Schlögl, R.; Su, D.S. Direct Insight into Ethane Oxidative Dehydrogenation over Boron Nitrides. ChemCatChem 2017, 9, 3293–3297. [Google Scholar] [CrossRef]
- Kazansky, V.B.; Subbotina, I.R.; Pronin, A.A.; Schlögl, R.; Jentoft, F.C. Unusual Infrared Spectrum of Ethane Adsorbed by Gallium Oxide. J. Phys. Chem. B 2006, 110, 7975–7978. [Google Scholar] [CrossRef]
- Wasylenko, W.; Frei, H. Direct Observation of Surface Ethyl to Ethane Interconversion upon C2H4 Hydrogenation over Pt/Al2O3 Catalyst by Time-Resolved FT-IR Spectroscopy. J. Phys. Chem. B 2005, 109, 16873–16878. [Google Scholar] [CrossRef] [PubMed]
- Christian Enger, B.; Lødeng, R.; Holmen, A. A review of catalytic partial oxidation of methane to synthesis gas with emphasis on reaction mechanisms over transition metal catalysts. Appl. Catal. A Gen. 2008, 346, 1–27. [Google Scholar] [CrossRef]
- Wang, D.; Dewaele, O.; Groote, A.M.D.; Froment, G.F. Reaction Mechanism and Role of the Support in the Partial Oxidation of Methane on Rh/Al2O3. J. Catal. 1996, 159, 418–426. [Google Scholar] [CrossRef]
- Liu, X.; Zhang, S.; Zhao, H.; Lin, H.; Xu, K.; Xu, Y.; Tan, L.; Wu, L.; Tang, Y. In-situ studies on the synergistic effect of Pd-Mo bimetallic catalyst for anisole hydrodeoxygenation. Mol. Catal. 2022, 530, 112591. [Google Scholar] [CrossRef]







| Samples | BET Surface Area (m2/g) | Pore Volume (cm3/g) | Pore Size (nm) |
|---|---|---|---|
| BN | 30 | 0.16 | 19.7 |
| Rh/BN-Fresh | 41 | 0.23 | 22.1 |
| Rh/BN-Used | 33 | 0.23 | 19.6 |
Publisher’s Note: MDPI stays neutral with regard to jurisdictional claims in published maps and institutional affiliations. |
© 2022 by the authors. Licensee MDPI, Basel, Switzerland. This article is an open access article distributed under the terms and conditions of the Creative Commons Attribution (CC BY) license (https://creativecommons.org/licenses/by/4.0/).
Share and Cite
Yao, J.; Xu, Y.; Yang, H.; Ren, Z.; Wu, L.; Tang, Y. Identifying the Metallic State of Rh Catalyst on Boron Nitride during Partial Oxidation of Methane by Using the Product Molecule as the Infrared Probe. Catalysts 2022, 12, 1146. https://doi.org/10.3390/catal12101146
Yao J, Xu Y, Yang H, Ren Z, Wu L, Tang Y. Identifying the Metallic State of Rh Catalyst on Boron Nitride during Partial Oxidation of Methane by Using the Product Molecule as the Infrared Probe. Catalysts. 2022; 12(10):1146. https://doi.org/10.3390/catal12101146
Chicago/Turabian StyleYao, Jikang, Yuanjie Xu, Hua Yang, Zhuangzhuang Ren, Lizhi Wu, and Yu Tang. 2022. "Identifying the Metallic State of Rh Catalyst on Boron Nitride during Partial Oxidation of Methane by Using the Product Molecule as the Infrared Probe" Catalysts 12, no. 10: 1146. https://doi.org/10.3390/catal12101146
APA StyleYao, J., Xu, Y., Yang, H., Ren, Z., Wu, L., & Tang, Y. (2022). Identifying the Metallic State of Rh Catalyst on Boron Nitride during Partial Oxidation of Methane by Using the Product Molecule as the Infrared Probe. Catalysts, 12(10), 1146. https://doi.org/10.3390/catal12101146

