Abstract
Six quaternary phosphonium salts (QPSs) in combination with phosphotungstic heteropolyacid, H3PW12O40, were tested in the epoxidation of rapeseed oil fatty acid methyl esters with a hydrogen peroxide aqueous solution. The QPSs consisted of trihexyl(tetradecyl)phosphonium [P6], tributyl-tetradecylphosphonium [P4] or tetraoctylphosphonium [P8] cation and different anions—chloride (Cl−), bromide (Br−), tetrafluoroborate (BF4−), bis(trifluoromethylsulfonyl)amide (NTf2−), bis(2,4,4-trimethyl-pentyl)phosphinate (Phosf−). The influence of the kind of QPS and temperature on the epoxy number, iodine number, glycol content has been determined. The epoxidation was confirmed using Fourier transform infrared spectroscopy (FT-IR), nuclear magnetic resonance (NMR) and elemental analysis CHO. Two QPSs with a trihexyltetradecyphosphonium cation—[P6][Fosf] and [P6][Cl]—were selected as the most effective in the studied epoxidation process. The proposed kinetic model takes into consideration the two reactions, namely, epoxidation and epoxy ring opening involving the formation of hydroxyl groups. The rate constants and activation energies for epoxidation fatty acid methyl esters were determined.
1. Introduction
Epoxidized oils (EVOs) and epoxidized fatty acid methyl esters (EFAMEs) are important products for today’s industry because they are based on bio-renewable raw materials, which is particularly important in the current development trends of ecological and biodegradable chemical products [1].
Epoxidized vegetable oils and epoxidized fatty acid methyl esters have a variety of applications, including as lubricants, plasticizers, hardeners and stabilizers in polymers [2,3].
They substitute petroleum-based plasticizers, such as alkyl phthalates and benzoates, and are applied for making polyvinyl chloride (PVC) and the copolymers of vinyl chloride flexible [4,5,6,7,8,9,10,11,12,13]. Moreover, they act together with metallic soaps of fatty acids as thermal stabilizers, preventing the elimination of hydrogen chloride and the formation of undesirable polydiene compounds during the PVC extrusion process. They are also intermediates in the production of polyurethane foams by opening the oxirane ring with hydrochloric acid, hydrobromic acid, water, methanol or other factors, and then the reaction of the obtained polyols with isocyanates [14,15,16].
The epoxidation process of fatty acid methyl esters is catalyzed by percarboxylic acids, e.g., peracetic or performic acids, obtained by the reaction of the corresponding carboxylic acid with a 30–60% hydrogen peroxide solution [17]. This process usually requires the use of a strong mineral acid, such as sulfuric acid (VI) and phosphoric acid (V) [18,19]. The disadvantage of this method is the low selectivity of epoxide formation resulting from the side reactions of opening the oxirane ring [20,21]. In addition, the process has problems related to corrosion and the generation of large amounts of waste. The epoxidation of olefins using peracids is often carried out in low polar aprotic solvents such as dichloromethane, chloroform or benzene. These solvents are used to impart selectivity to the reaction, protecting the oxirane ring and avoiding the dihydroxylation process. Solvent-free reactions reduce the formation of residues and eliminate some product purification steps (e.g., solvent evaporation), thus reducing the energy input and the total cost of the process [22].
In recent years, polyoxometalates (POMs), a family of metal–oxygen cluster anions made of tungsten, molybdenum or vanadium atoms, have increased in interest as catalysts in the selective oxidation processes, including the epoxidation of organic compounds with hydrogen peroxide, due to their high efficiency and the use of the environmentally oxidants [23,24,25,26]. POMs are commonly used as a precursor of efficient catalysts for biphasic epoxidation with H2O2. Catalytically active peroxopolyoxometalates species, e.g., a {PO4[WO(O2)2]4}3− anion, are formed in situ from POMs by excess H2O2. The oxidation process of the organic reactant is possible in combination POMs with organic cations as phase transfer agents. Typically, quaternary ammonium or pyridinium cations were used to ensure the efficient generation of active species and the progress of the oxidation [27]. The process is carried out in a biphasic aqueous/organic system with the organic reactant located in the organic phase and the hydrogen peroxide as the oxidant in the aqueous phase. The crucial role of the phase transfer agents is the transport of peroxopolyoxometalates species from the aqueous phase to the organic phase.
The POMs’ catalysts about the Q3{XO4[MO(O2)2]4} structure (where Q = [Bu4nN]+, [MeN(n-C8H17)3]+, [π-C5H5N(CH2)15CH3]+; X = P, As, etc.; M = Mo, W, etc.) are usually used for the selective epoxidation of vegetable oils and their derivatives. Under phase transfer catalysis conditions using H2O2 as an oxidant, the formation of peroxoheteropolyanion {XO4[MO(O2)2]4}3- occurs in situ in the aqueous phase [28]. Unsaturated fatty acids were epoxidated with aqueous hydrogen peroxide in two-phase systems in the presence of homogenous peroxopolyoxo-tungstphosphate-based catalysts combined with the following quaternary ammonium cations: Q3{PO4[WO(O2)2]4}, where Q is [Bu4n]3+, [C5H5N(n-C16H33)]3+ and [Me(n-C8H17)3N]3+ [18,27]. The most commonly organic salt used in the epoxidation of FAMEs to form a peroxophosphotungstate catalyst was methyltrioctylammonium chloride [18,28,29,30].
Combinations of polyoxometalates anions with other cations are also known from the literature [28,29,30,31]. However, they were used as electrochemicals rather than catalysts. Among them there are new family of POM-based liquid salts. One example is the liquid POM derivative obtained by a partial exchange of the proton of H3PW12O40 by a PEG-containing quaternary ammonium cation Ethoquad 18/25 ((CH3)(C18H37)((CH2CH2O)nH)((CH2CH2O)mH)N+, where m + n = 15) [32]. The advantages of these liquid POM salts are their good residual acidity and high ionic conductivity.
Moreover, “liquid POM” was revealed by pairing the Keggin PW12O403− and Lindqvist W6O192− polyoxometalate anion with tetraalkylphosphonium cations, such as tributyl(tetradecyl)phosphonium, triheksyl(tetradecyl)phosphonium and tetra-n-butyl phosphonium [33,34]. These POM-based ionic liquids maintain the advantageous properties of their constituents, exhibiting electroactivity, relatively high conductivity excellent thermal stability [33] and activity [35].
Additionally, a series of phosphomolybdate, phosphotungstate and silicotungstate salts comprising imidazolium, pyridinium and ammonium cations functionalized with a sulfopropyl group were also described and used as catalysts for esterification reactions. These catalysts ensured the course of the reaction under homogeneous conditions, but after the completion of the reaction, a heterogeneous mixture was formed with the precipitated catalyst. It enabled a simple separation of the catalyst and its re-use in the reaction without any regeneration being required [36].
Among these different POM-cation combinations, the phosphonium polyoxometalates salts maintain the advantageous properties because they are characterized by a significantly improved thermal stability compared to other (ammonium or imidazolium) salts. However, the catalytic utility of such combinations has not been investigated thus far.
Therefore, the purpose of our study was to determine the effect of six phosphonium salts combined with heteropoly acid H3PW12O40 on the epoxidation of fatty acid methyl esters with a 30% solution of hydrogen peroxide, under solvent-free conditions. Different structures of the phosphonium cation, such as trihexyl(tetradecyl)phosphonium [P6], tributyl-tetradecylphosphonium [P4] or tetraoctylphosphonium [P8] and different anions—chloride (Cl−), bromide (Br−), tetrafluoroborate (BF4−), bis(trifluoromethylsulfonyl)amide (NTf2−), bis(2,4,4-trimethyl-pentyl)phosphinate (Phosf−)—were tested. A kinetic model for the epoxidation of fatty acid methyl esters was proposed. In addition to the main reaction of epoxy ring formation, the model includes a side reaction of epoxy ring opening. The temperature dependence of the apparent reaction rate coefficients was described by a reparametrized Arrhenius equation. The constants in the proposed model were estimated by fitting the experimental data obtained for the epoxidations of fatty acid methyl esters carried out under specific reaction conditions.
2. Results and Discussion
In the present study the epoxidation used biodiesel from rapeseed oil (Scheme 1).
Scheme 1.
Scheme of the epoxidation reaction of unsaturated fatty acid methyl esters.
2.1. Effect of the Type of Phosphonium Salt on the Biodiesel Epoxidation
Six different phosphonium salts (Scheme 2) have been tested in the epoxidation reaction of biodiesel with hydrogen peroxide and phosphotungstic heteropolyacid (HPA) under the same reaction conditions. The reaction temperature was 323 K, the molar ratio of H2O2 to unsaturated C=C bond was 1.5:1 (mol/mol) and QPS:HPA = 3:1 (mmol/mmol). The concentration of HPA was constant and equal to 0.42 mol% vs. the C=C bond in the raw material. Among the used phosphonium salts were tributyltetradecylphosphonium chloride [P4][Cl], tetraoctylphosphonium bromide [P8][Br] and four salts comprised of the trihexyltetradecylphosphonium cation, [P6]+ and various anions—chloride [Cl]−, tetrafluoroborate [BF4]−, bis(trifluoromethylsulfonyl)amide [NTf2]− and bis(2,4,4-trimethyl-pentyl)phosphinate [Phosf]− (Scheme 2). Preliminary studies on the epoxidation of biodiesel with hydrogen peroxide included two control reactions. The first reaction was carried out in the presence of phosphotungstic acid (HPA) and without any phosphonium salt (QPS). The second reaction was carried out without phosphotungstic acid, but in the presence of [P6][BF4] as the representative phosphonium salt. In these syntheses, a negligible epoxide yield, 2 and 7%, respectively, was found.
Scheme 2.
The structures of the quaternary phosphonium salts.
The highest epoxy number EN after 30 min of the reaction (Figure 1) was reached using [P6][Phosf], [P6][Cl], [P8][Br], [P4][Cl] and [P6][BF4]. With these QPSs, the EN values were between 0.216 and 0.294 mol/100 g and correspond to low iodine numbers, which were from 0.0031 to 0.041 mol/100 g. With the addition of [P6][NTf2], the EN value was very small, 0.014 mol/100 g, and the iodine number high, 0.235 mol/100 g, which indicated no reaction. Salts with the NTf2 anion are generally highly lipophilic and insoluble in water. A combination of the NTf2 anion with the lipophilic P6 cation does not dissolve in the water phase and cannot form an ionic pair with the active oxidizing species, generated from the water soluble heteropolyacid, and transport them to the organic phase, where the FAMEs raw material is located. Hence, the reaction in the presence of [P6][NTf2] did not take place.
Figure 1.
Effect of the QPS type on the epoxy (EN) (a) and iodine number (IN) (b) of the product. Reaction conditions: 17 mmol (0.0184 mol C=C) of the biodiesel; H2O2:C=C:HPA = 1.5:1:0.0042 (mol/mol/mol); QPS:HPA = 3:1 (mmol/mmol); reaction temperature, 323 K; 1100 rpm, reaction time, 30 min.
2.2. The Effect of Reaction Temperature on the Epoxidation Progress
The effect of the reaction temperature in the range of 308–323 K and time from 5 to 30 min on the epoxidation was determined. The constant parameters were established as follows: the substrate (biodiesel) amount was 17 mmol (0.0184 mol of C=C double bond), 1100 rpm, with a molar ratio of H2O2:C=C:HPA = 1.5:1:0.0042, QPS:HPA = 3:1 (mmol/mmol).
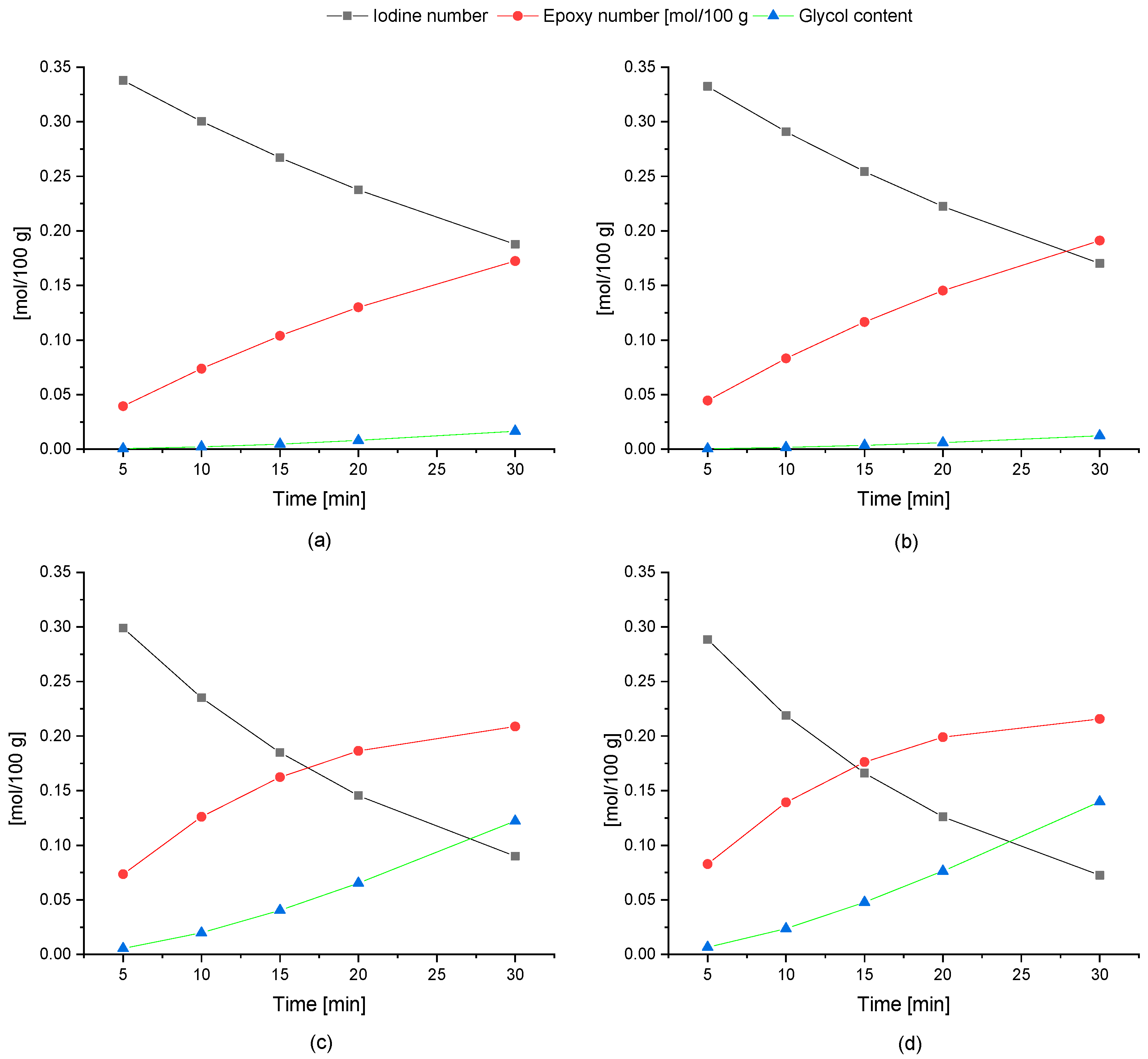
The results presented in Figure 2, Figure 3, Figure 4, Figure 5 and Figure 6 were within the statistical error of ±4% and contain data obtained in the presence of [P4][Cl], [P6][Fosf] and [P8][Br], respectively. An increase in the reaction temperature (from 308 to 323 K) with [P4][Cl] as the cocatalyst led to an increase in the epoxy numbers (Figure 2). This can be attributed to the enhanced activation at higher temperatures. The highest EN (0.250 mol/100 g) is reached at 323 K after 30 min. The value of EN is much smaller (0.120 mol/100 g) at a temperature of 308 K. The highest EN corresponds to the lowest IN of 0.06 mol/100 g. Small differences in the epoxy numbers occur between 318 and 323 K. The increase in temperature significantly increases the number of epoxy groups in a process conducted at temperatures above 318 K, which is reflected in high epoxy numbers after 20 min.
Figure 2.
Effect of the temperature 308 K (a), 313 K (b), 318 K (c), 323 K (d) on the iodine numbers, epoxy numbers and α-glycol contents during the epoxidation of biodiesel in the presence of [P4][Cl]. Reaction conditions: the substrate (biodiesel) amount was 17 mmol (0.0184 mol C=C). H2O2:C=C:HPA = 1.5:1:0.0042 (mol/mol/mol), [P4][Cl]:HPA = 3:1 (mmol/mmol).
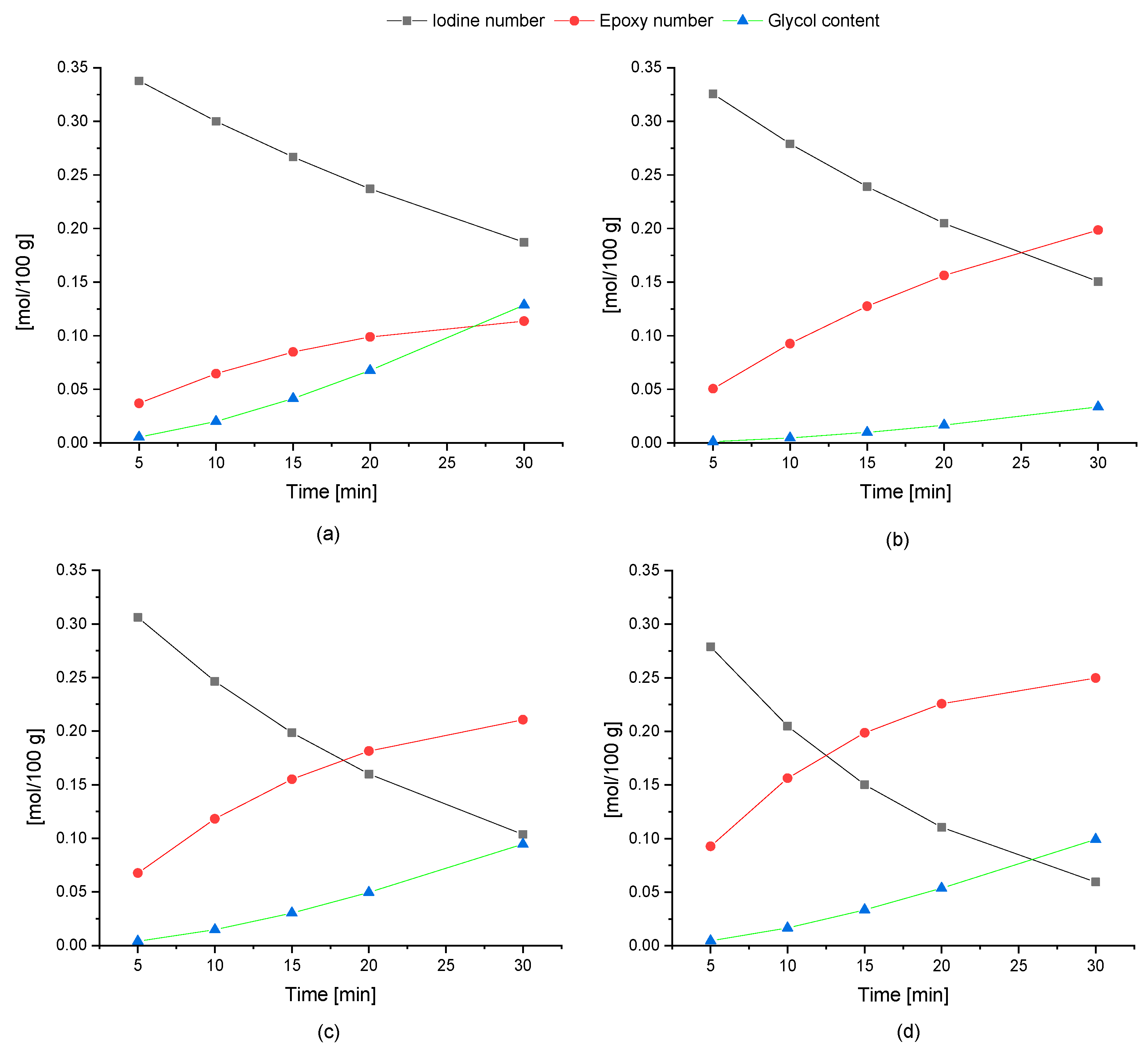
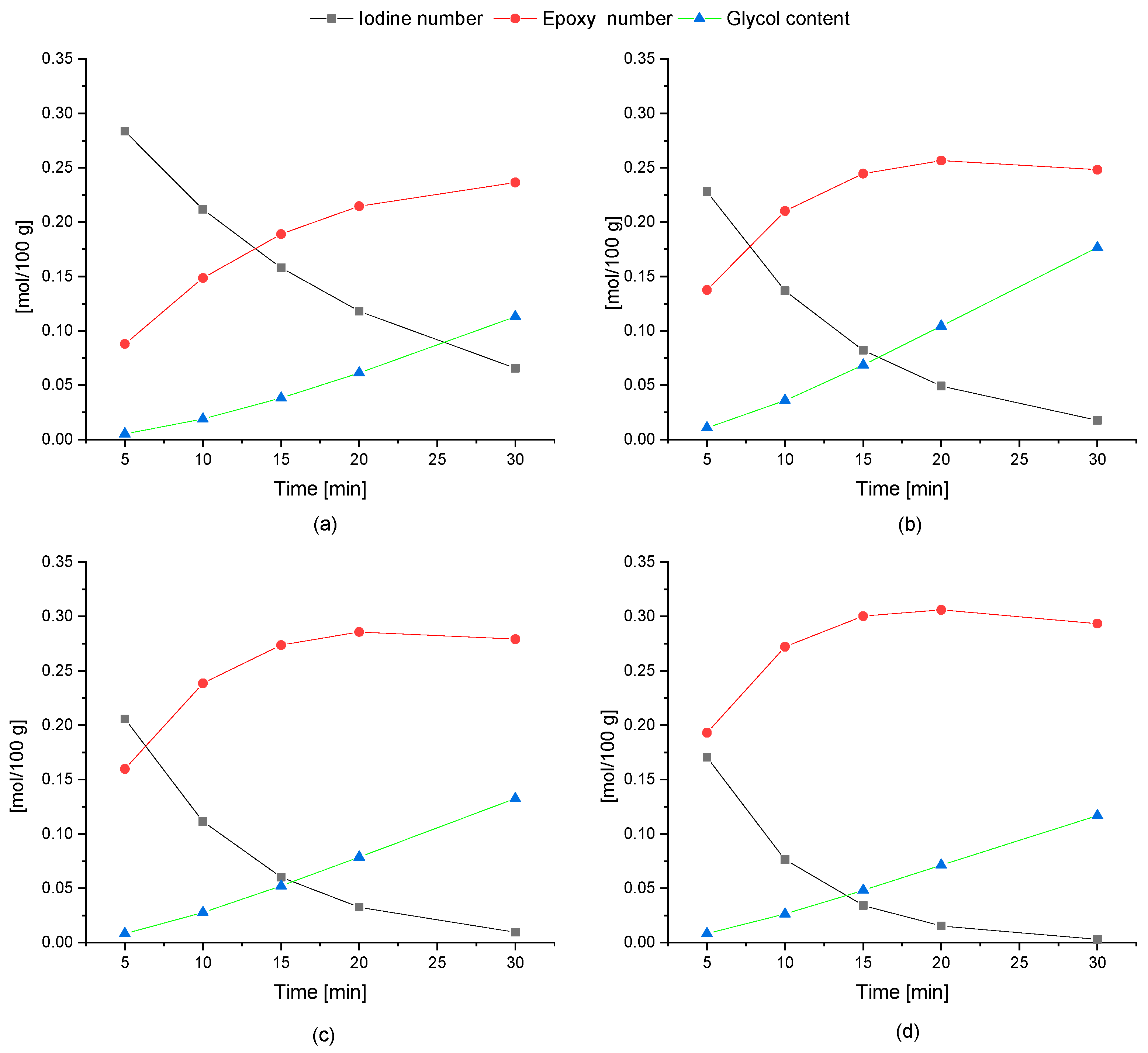
Figure 3.
Effect of the temperature 308 K (a), 313 K (b), 318 K (c), 323 K (d) on the iodine numbers, epoxy numbers and α-glycol contents during the epoxidation of biodiesel in the presence of [P6][Fosf]. Reaction conditions: the substrate (biodiesel) amount was 17 mmol (0.0184 mol C=C). H2O2:C=C:HPA = 1.5:1:0.0042 (mol/mol/mol), [P6][Fosf]:HPA = 3:1 (mmol/mmol).
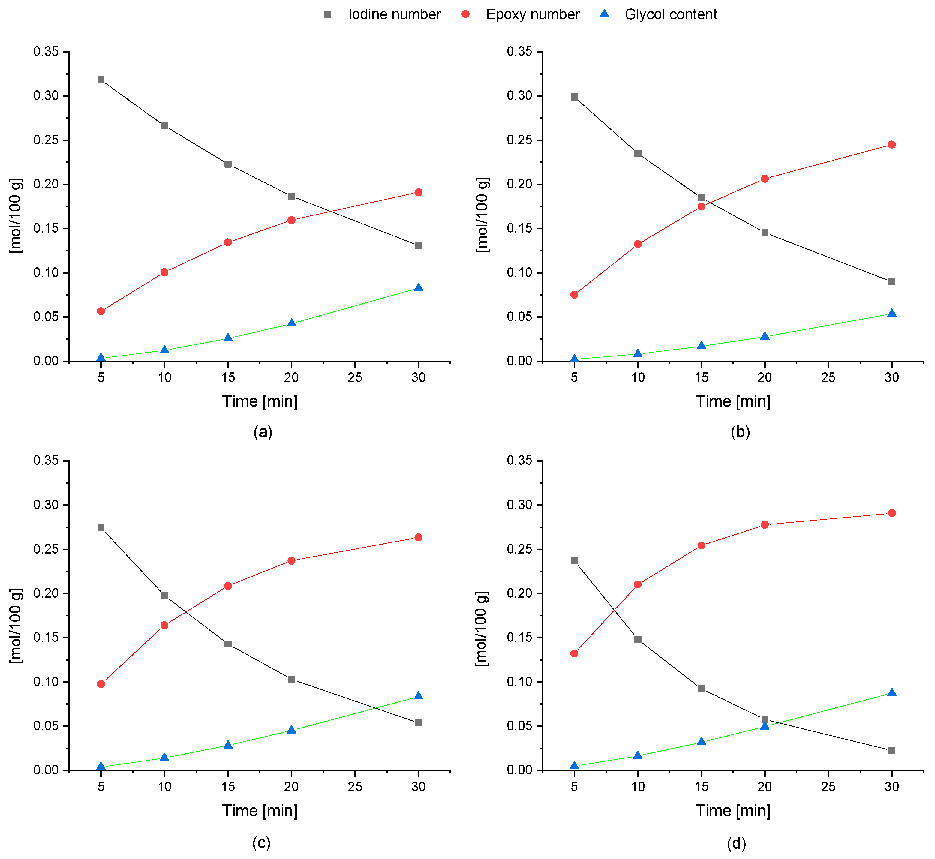
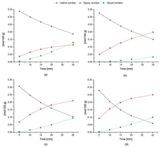
Figure 4.
Effect of the temperature 308 K (a), 313 K (b), 318 K (c), 323 K (d) on the iodine numbers, epoxy numbers and α-glycol contents during the epoxidation of biodiesel in the presence of [P8][Br]. Reaction conditions: the substrate (biodiesel) amount was 17 mmol (0.0184 mol C=C). H2O2:C=C:HPA = 1.5:1:0.0042 (mol/mol/mol), [P8][Br]:HPA = 3:1 (mmol/mmol).
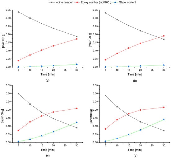
Figure 5.
Effect of the temperature 308 K (a), 313 K (b), 318 K (c), 323 K (d) on the iodine numbers, epoxy numbers and α-glycol contents during the epoxidation of biodiesel in the presence of [P6][Cl]. Reaction conditions: the substrate (biodiesel) amount was 17 mmol (0.0184 mol C=C). H2O2:C=C:HPA = 1.5:1:0.0042 (mol/mol/mol), [P6][Cl]:HPA = 3:1 (mmol/mmol).
Figure 6.
Effect of the temperature 308 K (a), 313 K (b), 318 K (c), 323 K (d) on the iodine numbers, epoxy numbers and α-glycol contents during the epoxidation of biodiesel in the presence pf [P6][BF4]. Reaction conditions: the substrate (biodiesel) amount was 17 mmol (0.0184 mol C=C). H2O2:C=C:HPA = 1.5:1:0.0042 (mol/mol/mol), [P6][BF4]:HPA = 3:1 (mmol/mmol).
The highest EN value of 0.306 mol/100 g was reached at 323 K for 20 min (Figure 3). The epoxy number then decreased to a value of 0.294 mol/100 g. In parallel, the determined IN decreased when increasing the epoxidation temperature from 0.280 mol/100 g at 308 K to 0 mol/100 g at 323 K. A slightly higher glycol content (0.18 mol/100 g) was observed at 313 K for 30 min. This phenomenon is caused by an increase in the rate of the opening of an oxirane ring by water.
During the epoxidation of biodiesel in the presence of [P8][Br], the epoxy number increased over the temperature range studied from 0.050 mol/100 g at 308 K to 0.273 mol/100 g at 323 K (Figure 4). At the same time, the iodine number decreased from 0.330 mol/100 g at 308 K to 0.04 mol/100 g at 323 K. At the same time, the iodine number decreased from 0.330 mol/100 g at 308 K to 0.04 mol/100 g at 323 K. The increase in temperature also caused a slight increase in the glycol content, which is indicative of the breakdown of epoxy bonds.
The changes in the epoxy numbers, iodine numbers and glycol content with quaternary phosphonium salts in the form [P6][Cl] and [P6][BF4] during the epoxidation reaction of fatty acid methyl esters are shown below. In the epoxidation of biodiesel with [P6][Cl], we observe an increase in the epoxy number with an increasing temperature (Figure 5) and, consequently, a decrease in the iodine number. The distribution of epoxy bonds throughout the reaction is at a similar level.
Using the quaternary phosphonium salt in the form of [P6][BF4], we can observe a much slower epoxidation process (Figure 6) compared to [P6][Cl] and a faster degradation of epoxy bonds 0.12 mol/100 g after a 30-min reaction.
2.3. Kinetic Study of Epoxidation
The kinetics of the formation of epoxidized biodiesel were studied at temperatures of 308, 313, 318 and 323 K. The results of the work presented were used to determine the reaction order and also the activation energies of the epoxidation reactions. The above relationships, according to the literature data, indicate that the process can be described as two successive reactions. The first reaction involves the epoxidation of the olefinic group and the second hydroxylation of the resulting epoxide to glycol (Scheme 3).
Scheme 3.
Epoxidation of double bonds (A) and epoxy ring opening with water (B); k1—epoxide formation rate, k2—the ring opening reaction rates by water.
The general form of the rate equation for the conversion of ethylenic unsaturation on the epoxidation of fatty acid methyl esters with a 30% solution of hydrogen peroxide and five different phosphonium salts combined with heteropoly acid, H3PW12O40, under solvent-free conditions was performed by applying the initial rate method based on pseudo first-order conditions.
Assuming that the concentration of the catalytic oxidant complex depends only on the concentration of the catalyst and its formation occurs in an excess of hydrogen peroxide, its concentration can be assumed to be constant. Then, the rate of the first reaction can be expressed as follows:
where is the double bond concentrations (iodine number) and is the epoxidation reaction rate constant.
After integrating for within the limit , the following relation is obtained (Figure 7):
where INa0 is an initial value double bond concentration (iodine number).

Figure 7.
Kinetic curves of biodiesel epoxidation using quaternary phosphonium salts: [P6][BF4] (a), [P6][Fosf] (b), [P6][Cl] (c), [P4][Cl] (d), [P8][Br] (e).
To obtain the value of activation energy () the following Arrhenius equation was used:
The value of would be obtained from the graph of the relationship between ln k and 1/T.
Figure 8.
The plot of ln k vs. 1/T × 103 for epoxidized fatty acid methyl esters.
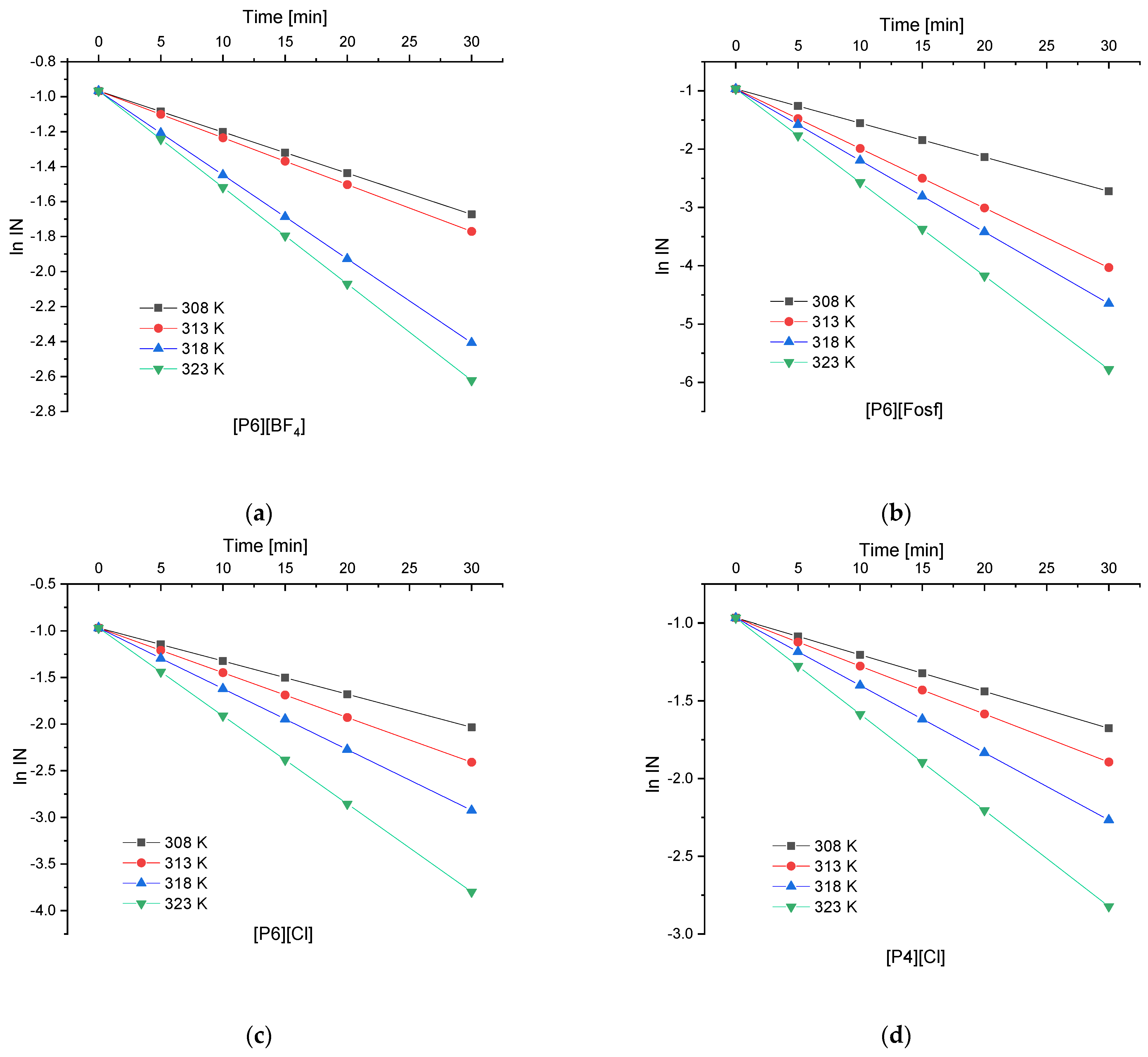
From the directional coefficient of the straights and the abscissa value, the activation energy and the pre-exponential factor were determined for the individual salts, which are summarized in Table 1.
Table 1.
Activation energy and the pre-exponential factor for the quaternary phosphonium salts.
The activation energy value is in the range of 51–53 kJ/mol and is not dependent on the type of salt added. The salt addition does not induce changes in catalytic activity in the systems tested. However, we observe the influence of the type of salt on the so-called pre-exponential factor (). This factor is related to the frequency of collisions experienced by the reacting molecules. On the basis of the obtained results, it may be assumed that the type of salt influences the rate of the interphase transfer of the reactants in the studied system.
The type of anion can be crucial in the epoxidation of fatty acid methyl esters. In the epoxidation process, the most favorable phosphonium salt was [P6][Fosf], which has a long alkyl chain in the structure. The system containing the phosphonium salt in the form of [P6][BF4] was much less active. The system with the addition of [P6][Fosf] has the highest value. This salt is characterized by the most extended anion, i.e., with the longest alkyl chains. The expanded hydrophobic part of the anion probably results in better affinity to the organic phase. Due to this, a better emulsification occurs, which allows a faster transfer of the oxidizing catalytic complex to the organic phase containing the oxidized double bonds of fatty acid methyl esters.
For the second reaction, it was assumed that the rate of glycol formation can be written with the following equation:
where —concentration of water and —constant rate hydroxylation epoxide to glycol.
There is a large excess of water under the reaction conditions, and from this it can be assumed that the concentration of the water is constant; then, the above equation can be written as follows:
and changes in the epoxide concentrations:
The solution to this relationship is as follows:
The rate constant of the subsequent reaction was determined using the bisection method.
The following Table 2 summarizes the values of the constants obtained.
Table 2.
The rate constant of the subsequent reaction of glycol formation.
No temperature or salt type dependence on the value of the rate constant of the subsequent reaction was found. This indicates that the reaction is characterized by a very low activation energy and the formation of glycols is limited only by the amount of epoxy groups in the system. Therefore, in order to avoid a subsequent reaction, the process should be carried out up to epoxide numbers of 0.002 mol/g. Above these values, a significant degradation of selectivity is observed.
2.4. Characteristics of the Products
The products obtained by the epoxidation of biodiesel with the use of various phosphonium salts were characterized using elemental analysis. In addition, IR and NMR spectroscopic analysis was performed.
2.4.1. Elemental Analysis
The content of the elements, i.e., hydrogen, carbon and oxygen, in the biodiesel and products of its epoxidation carried out in the presence of various phosphonium salts was analyzed. The results collected in Table 3 clearly showed that oxygen was incorporated when five of the six phosphonium salts, such as [P6][BF4], [P6][Phosf], [P6][Cl], [P4][Cl] and [P8][Br], were used. The oxygen content in the product was then 3.7–5.9% higher, while the carbon content about 4–6% lower than that in the raw material. The hydrogen content was on the same level regardless of the QPS used.
Table 3.
Elemental analysis data for the raw material and products 1–5 *.
2.4.2. FT-IR
The FTIR spectra of the raw material and the product after 5 to 30 min of the epoxidation process are presented in Figure 9. There are some absorption bands in the FTIR spectra, which are specific for biodiesel and can serve to follow the epoxidation process. There is an absorption band of the C–H stretching vibration at 3007 cm−1 corresponding to unsaturated alkenes. Compounds that do not have a C=C bond have an absorption band for the C–H stretching vibrations below 3000 cm−1 (2855 cm−1). Therefore, the disappearance of the absorption band at 3007 cm−1 is evidence on the reaction progress. Similarly, there is a disappearance of the second absorption band at 1655 cm−1, which is specific for the –C=C stretching vibration. Moreover, the formation of epoxide is indicated by the presence of an absorption band at 824 cm−1 in the fingerprint region of the FTIR spectra [37]. Additionally, the lack of a wide band in the range of 3500–3200 cm−1, characteristic for O–H stretching vibrations, proves that there are no alcohols in the product, i.e., the oxirane was not opened.
Figure 9.
Comparison of FTIR spectra for the raw material (biodiesel) and epoxidation products at different reaction time. Reaction conditions: 17 mmol of biodiesel (0.0184 mol of C=C); H2O2:Biodiesel = 1.5:1 (mol/mol C=C); 0.4 mol% of H3PW12O40 vs. C=C bond; [P6][Cl]:H3PW12O40 = 3:1(mmol/mmol); reaction temperature, 323 K; 1100 rpm.
2.4.3. NMR Analysis
1H NMR
There are some characteristic signals in the 1H NMR spectra (Figure 10) of raw material and product, which can be evidence for epoxide formation. Signals in the range of 5.34 ppm in the 1H NMR spectrum (Figure 10a) of raw material are typical for protons combined with an unsaturated carbon and they were not found in the 1H NMR spectrum of the epoxidized biodiesel [38].
Figure 10.
1H NMR spectra of biodiesel (a) and epoxidized biodiesel (b) and in CDCl3 as solvent.
With regard to the 1H NMR spectra of the epoxidized biodiesel (Figure 10b), new signals at chemical shifts of 1.50, 2.00, 2.91–3.00 and 3.00–3.13 ppm were observed. The signals at 1.50 ppm are ascribed to the methylene protons adjacent to the epoxide carbon (–CH2CHOCHCH2–) and those at 2.91–3.00 ppm indicate the presence of the methine protons of the oxirane carbon (–CHOCH–) [39].
13C NMR
Signals in the chemical shift range of 128.1–131.7 ppm in the 13C NMR spectrum (Figure 11a) of raw material are typical for unsaturated carbon and they were not found in the 13C NMR spectrum of the epoxidized biodiesel (Figure 11b). Moreover, in the spectrum of the product, new signals at a chemical shift of 54.1–57.2 ppm for carbons connected in an oxirane ring were present.
Figure 11.
13C NMR spectra of biodiesel (a) and epoxidized biodiesel (b) in CDCl3 as solvent.
3. Materials and Methods
3.1. Materials
Biodiesel, hydrogen peroxide (30%) (Stanlab), phosphotungstic acid hydrate H3[P(W3O10)4] aq < 0.02% (Lach-ner) and the following six quaternary phosphonium salts: tributyltetradecylphosphonium chloride (≥95.0% Fluka), trihexyltetradecylphosphonium bis-(2,4,4-trimethyl-pentyl)-phosphinate (Fluka), trihexyltetradecylphosphonium chloride (≥95% Fluka), trihexyltetradecylphosphonium tetrafluoroborate (Fluka), trihexyltetradecylphosphonium bis(trifluoromethylsulfonyl)amide (≥95% Fluka), tetraoctylphosphonium bromide (97% Sigma Aldrich), Hanus solution (IBr) (ROTH), starch (Fluka), potassium iodide (Fluka), tetraethyl ammonium bromide C8H20NBr (MERCK), crystal violet indicator, 0.1 N perchloric acid reagent HClO4 (Sigma) and 0.1 N sodium thiosulfate Na2S2O3 (Eurochem), dichloromethane CH2Cl2 (POCh), chloroform CHCl3 (Stanlab), periodic acid HClO4 (Sigma), benzylmethylammonium periodate and hydrogen bromide HBr (Sigma), glacial acetic acid (POCh).
The fatty acid profile of this raw material, determined using GC analysis, indicated that it was mainly composed of five fatty acids (Table 4). Three of them were unsaturated: 51.2% of oleic acid, 25.1% of linoleic acid and 4.8% of linolenic acid. The iodine number of biodiesel was 0.380 mol/100 g, acid number was 0.5 mg KOH/g and epoxy number was equal to zero. The density of biodiesel was 0.879 g/cm3.
Table 4.
Fatty acid profile of biodiesel as raw material.
3.2. Epoxidation Procedure
In the conditions of phase transfer catalysis using H2O2 as the oxidant, the formation of peroxoheteropolyanion occurs in situ in the aqueous phase. Tungsten peroxocomplexes are formed in situ in system: H2O2-H3PW12O40. It is then stabilized by quaternary phosphonium salts cations at the interface and transferred to the organic phase (fatty acid methyl esters). The interaction of peroxoheteropolyanion with the substrate takes place in the organic phase.
The reactor was the three-necked, round-bottomed flask of 25 cm3 capacity, equipped with mechanical stirrer with speed control (in revolution per minute), thermometer and reflux condenser. The flask was submerged in a water bath with a highly accurate and stable temperature controller. An appropriate amount of phosphotungstic acid (H3PW12O40) was placed into the reactor. Then, hydrogen peroxide, in the form of 30 wt.% aqueous solution, an appropriate quaternary phosphonium salt and, finally, biodiesel were added. The process was carried out without any solvent, with intensive stirring at 1100 rpm.
3.3. Epoxidation Kinetics
To determine the kinetics of the epoxidation reaction, the time at which the addition of fatty acid methyl esters ended was taken as zero time (t = 0). The samples of the reaction mixture were withdrawn at appropriate time intervals—after 5, 10, 15, 20 and 30 min. Samples removed from solution consisted of epoxidized fatty acid methyl esters together with uncreated H2O2 and H2O. After 5, 10, 15, 20 and 30 min, the mixtures were centrifuged for 10 min at 7000 rpm to separation the organic phase from the aqueous phase and then it was analyzed. Iodine, epoxy number and α-glycol content were determined to understand the progression of epoxidation and oxirane cleavage reaction.
3.4. Characterization
- The iodine number (IN)
The iodine number (IN) was determined according to the Hanus method [40]. The iodine number of a substance refers to the mass of iodine (I2, in grams) consumed by 100 g of that substance and is calculated to determine the extent of unsaturation (i.e., double bonds) in fatty acids methyl esters. The iodine number is determined via use of the Hanus solution (iodine monobromide) that reacts with double bonds, leading to the evolution of I2 that is detected using sodium thiosulfate (Na2S2O3). The iodine numbers for raw material and epoxidized fatty acid methyl esters were calculated using the following:
where
is the iodine number of the sample (mol/100 g);
is the volume of Na2S2O3 required for the titration of blank solution (mL);
is the volume of Na2S2O3 required for the titration of a sample (mL);
is the normality of the Na2S2O3 solution (0.1 N);
is the mass of sample used (g) for titration.
- The epoxy number (EN)
The epoxy number for biodiesel before and after epoxidation was determined using the EN ISO 3001. This analysis is based on the reaction of hydrogen bromide with the epoxy groups of the sample. Hydrogen bromide, in turn, is produced by the reaction of tetraethylammonium bromide (TEABr) with standardized perchloric acid. The epoxy number for raw material and epoxidized fatty acid methyl esters were calculated using the following:
with regard:
is the epoxy number of the sample (mol/100 g);
is the volume of HClO4 required for the titration of a sample (mL);
is the volume of HClO4 required for the titration of blank solution (mL).
- The glycol content
The glycol content was determined using the method reported by Stenmark [41] and May [42]. Determination of the α-glycol content of epoxy resins was based on oxidation of the glycol with benzyltrimethylammonium periodate in a nonaqueous medium. The excess of periodic acid is reacted with potassium iodide, and the liberated iodine is titrated with sodium thiosulfate. Glycol content was calculated via the following:
where
is the (mol/100 g);
is the volume of Na2S2O3 required for the titration of blank solution (mL);
is the volume of Na2S2O3 required for the titration of the sample (mL).
3.5. Gas Chromatography (GC)
Fatty acid profile of biodiesel was performed with a Thermo Electron FOCUS chromatograph (Thermo Company, Waltham, MA, USA) equipped with an FID detector and a TR-FAME column, 30 m × 0.25 mm × 0.25 mm. The parameters of the analyses were as follows: helium flow of 0.7 mL/min, sample chamber temperature of 200 °C, detector temperature of 250 °C, temperature of the furnace—isothermally for 7 min at 60 °C followed by the rate of 15 °C/min to 240 °C.
3.6. 1H NMR and 13C NMR Spectroscopy
1H NMR spectra were obtained using a Bruker DPX-400 Avance III HD spectrometer (Bruker, Billerica, MA, USA) operating at 400.13 MHz (1H) and 100.62 MHz (13C). Samples were dissolved in CDCl3. The deuterated chloroform chemical shift peak at 7.26 ppm was considered as an internal reference.
3.7. Fourier Transformed Infrared Spectroscopy (FTIR)
FTIR spectra of the final products were recorded on a Thermo Fisher Scientific Nicolet 380 FT-IR Spectrometer (Waltham, MA, USA). The FTIR spectra were collected by direct deposition of the samples on attenuated total reflectance (ATR) element (diamond crystal) in frequency region 4000–400 cm−1 (ATR) with 128 scanning and at a resolution of 1 cm−1.
3.8. Elemental Analysis CHO
The content of elements, i.e., hydrogen, carbon and oxygen, were determined using CH/O elemental analysis. The elemental analysis was performed using a ThermoScientific™FLASH 2000 CHNS/O Elemental Analyzer (Waltham, MA, USA).
4. Conclusions
The epoxidation of rapeseed oil fatty acid methyl esters was carried out successfully with a hydrogen peroxide aqueous solution and a combination of five quaternary phosphonium salts with phosphotungstic heteropolyacid H3PW12O40. It was determined that the highest epoxy number was achieved at the reaction temperature of 323 K using quaternary phosphonium salt [P6][Fosf]. The phosphonium salt as [P6][NTf2] displayed no activity in the epoxidation of fatty acid methyl esters. The two-phase kinetic model proposed for the epoxidation reaction successfully represents the experimental data for the reaction’s first stage (during oxirane ring formation), the correlation coefficient increased in the following order: [P6][Fosf] > [P6][Cl] > [P8][Br] > [P4][Cl] > [P6][BF4]. The temperature dependency of the kinetic parameters was determined and an increase in all the reaction rate coefficients for the different phosphonium salts with an increase in the temperature was obtained. Based on the rate constants obtained, the activation energy and pre-exponential factor were determined. The reaction rate constant, k, at various reaction temperatures, has been determined.
Author Contributions
Conceptualization, M.M. and E.J.; methodology, M.M.; formal analysis, R.P.; investigation M.M. and Ł.S.; writing—original draft preparation, M.M. and E.J.; writing—review and editing, M.M., E.J. and R.P.; visualization, M.M.; supervision, M.M. All authors have read and agreed to the published version of the manuscript.
Funding
This research received no external funding.
Conflicts of Interest
The authors declare no conflict of interest.
References
- Shahidi, F. Bailey’s Industrial Oil and Fat Products Industrial and Nonedible Products from Oils and Fats, 6th ed.; Wiley-Interscience: Hoboken, NJ, USA, 2005; Volume 6, pp. 1–532. ISBN 978-0-471-38546-2. [Google Scholar]
- Madbouly, S.; Zhang, C.; Kessler, M.R. Bio-Based Plant Oil Polymers and Composites; William Andrew Publishing: New York, NY, USA, 2016; pp. 1–230. ISBN 978-0323-35833-0. [Google Scholar]
- Karak, N. Vegetable Oil-Based Polymers; Woodhead Publishing: Sawston, UK, 2012; pp. 1–336. ISBN 9780857097101. [Google Scholar]
- Benecke, H.P.; Vijayendran, B.R.; Elhard, J.D. Plasticizers Derived from Vegetable Oils. U.S. Patent 6,797,753, 28 September 2004. [Google Scholar]
- Kazemizadex, M.R.; Maixner, D.E.; Bonnet, C.N. Methods of Producing Epoxidized Fatty Acid Alkyl Esters Useful as Plasticizers. WO Patent 2017/123576 A1, 20 July 2017. [Google Scholar]
- Chaudhary, B.I.; Wills, S.; Mundra, M. Heat Stabilized Polymeric Composition with Epoxidized Fatty Acid Ester Plasticizer. U.S. Patent 8,859,654, 14 October 2014. [Google Scholar]
- Kodali, D.R.; Stolp, L.J.; Bhattacharya, M. Bio-Renewable Plasticizers Derived from Vegetable Oil. U.S. Patent 9,315,650, 19 April 2016. [Google Scholar]
- Ang, D.T.C.; Khong, Y.K.; Gan, S.N. Palm Oil-Based Compounds as Environmentally Friendly Plasticisers for PVC. WO Patent 2015/047077, 2 April 2015. [Google Scholar]
- Li, M.; Li, S.; Xia, J.; Ding, C.; Wang, M.; Xu, L.; Yang, X.; Huang, K. Tung Oil Based Plasticizer and Auxiliary Stabilizer for Poly(Vinyl Chloride). Mater. Des. 2017, 122, 366–375. [Google Scholar] [CrossRef]
- Karmalm, P.; Hjertberg, T.; Jansson, A.; Dahl, R. Thermal Stability of Poly(Vinyl Chloride) with Epoxidised Soybean Oil as Primary Plasticizer. Polym. Degrad. Stab. 2009, 94, 2275–2281. [Google Scholar] [CrossRef]
- Fenollar, O.; García, D.; Sánchez, L.; López, J.; Balart, R. Optimization of the Curing Conditions of PVC Plastisols Based on the Use of an Epoxidized Fatty Acid Ester Plasticizer. Eur. Polym. J. 2009, 45, 2674–2684. [Google Scholar] [CrossRef]
- Bueno-Ferrer, C.; Garrigós, M.C.; Jiménez, A. Characterization and Thermal Stability of Poly(Vinyl Chloride) Plasticized with Epoxidized Soybean Oil for Food Packaging. Polym. Degrad. Stab. 2010, 95, 2207–2212. [Google Scholar] [CrossRef]
- Maurad, Z.A.; Idris, Z.; Hazmi, A.S.A.; Ismail, R.; Bakar, Z.A.; Chan, C.F.; Wong, Y.I. Epoxidized Palm-Based Methyl Oleate Plasticizers. WO Patent 2018/012962, 18 January 2018. [Google Scholar]
- Miao, S.; Zhang, S.; Su, Z.; Wang, P. A Novel Vegetable Oil-Lactate Hybrid Monomer for Synthesis of High-Tg Polyrethanes. J. Polym. Sci. Part A Polym. Chem. 2010, 48, 243–250. [Google Scholar] [CrossRef]
- Casper, D.M.; Newbold, T. Methods of Preparing Hydroxy Functional Vegetable Oils. U.S. Patent 2006/0041156A1, 23 February 2006. [Google Scholar]
- Karadeniz, K.; Çalıkoğlu, Y.; Sen, M.Y. A Novel Polyurethanes from Epoxidized Soybean Oil Synthesized by Ring Opening with Bifunctional Compounds. Polym. Bull. 2017, 74, 2819–2839. [Google Scholar] [CrossRef]
- Lee, P.L.; Wan Yunus, W.M.Z.; Yeong, S.K.; Abdullah, D.K.; Lim, W.H. Optimization of the Epoxidation of Methyl Ester of Palm Fatty Acid Distillate. J. Oil Palm Res. 2009, 21, 675–682. [Google Scholar]
- Khlebnikova, T.B.; Pai, Z.P.; Fedoseeva, L.A.; Mattsat, Y.V. Catalytic Oxidation of Fatty Acids. II. Epoxidation and Oxidative Cleavage of Unsaturated Fatty Acid Esters Containing Additional Functional Groups. React. Kinet. Catal. Lett. 2009, 98, 9–17. [Google Scholar] [CrossRef]
- Cheng, W.; Liu, G.; Wang, X.; Liu, X.; Jing, L. Kinetics of the Epoxidation of Soybean Oil with H2O2 Catalyzed by Phosphotungstic Heteropoly Acid in the Presence of Polyethylene Glycol. Eur. J. Lipid Sci. Technol. 2015, 117, 1185–1191. [Google Scholar] [CrossRef]
- Goud, V.V.; Dinda, S.; Patwardhan, A.V.; Pradhan, N.C. Epoxidation of Jatropha (Jatropha curcas) oil by peroxyacids. Asia-Pac. J. Chem. Eng. 2010, 5, 346–354. [Google Scholar] [CrossRef]
- Kousaalya, A.B.; Beyene, S.D.; Gopal, V.; Ayalew, B.; Pilla, S. Green epoxy synthesized from Perilla frutescens: A study on epoxidation and oxirane cleavage kinetics of high-linolenic oil. Ind. Crop. Prod. 2018, 123, 25–34. [Google Scholar] [CrossRef]
- Lehnen, D.R.; Guzatto, R.; Defferrari, D.; Albornoz, L.L.; Samios, D. Solvent-free biodiesel epoxidation. Environ. Chem. Lett. 2014, 12, 335–340. [Google Scholar] [CrossRef]
- Mizuno, N.; Yamaguchi, K.; Kamata, K. Molecular Design of Polyoxometalate-Based Compounds for Environmentally-Friendly Functional Group Transformations: From Molecular Catalysts to Heterogeneous Catalysts. Catal. Surv. Asia 2011, 15, 68–79. [Google Scholar] [CrossRef]
- Stamate, A.E.; Pavel, O.D.; Zavoianu, R.; Marcu, I.C. Highlights on the Catalytic Properties of Polyoxometalate-Intercalated Layered Double Hydroxides: A Review. Catalysts 2020, 10, 57. [Google Scholar] [CrossRef] [Green Version]
- Mouanni, S.; Amitouche, D.; Mazari, T.; Rabia, C. Transition Metal-Substituted Keggin-Type Polyoxometalates as Catalysts for Adipic Acid Production. Appl. Petrochem. Res. 2019, 9, 67–75. [Google Scholar] [CrossRef] [Green Version]
- Zhou, Y.; Guo, Z.; Hou, W.; Wang, Q.; Wang, J. Polyoxometalate-Based Phase Transfer Catalysis for Liquid-Solid Organic Reactions: A Review. Catal. Sci. Technol. 2015, 5, 4324–4335. [Google Scholar] [CrossRef]
- Misra, A.; Kozma, K.; Streb, C.; Nyman, M. Beyond Charge Balance: Counter-Cations in Polyoxometalate Chemistry. Angew. Chem.-Int. Ed. 2020, 59, 596–612. [Google Scholar] [CrossRef] [PubMed] [Green Version]
- Danov, S.M.; Kazantsev, O.A.; Esipovich, A.L.; Belousov, A.S.; Rogozhin, A.E.; Kanakov, E.A. Recent Advances in the Field of Selective Epoxidation of Vegetable Oils and Their Derivatives: A Review and Perspective. Catal. Sci. Technol. 2017, 7, 3659–3675. [Google Scholar] [CrossRef]
- Pai, Z.P.; Khlebnikova, T.B.; Mattsat, Y.V.; Parmon, V.N. Catalytic Oxidation of Fatty Acids. I. Epoxidation of Unsaturated Fatty Acids. React. Kinet. Catal. Lett. 2009, 98, 1–8. [Google Scholar] [CrossRef]
- Poli, E.; Bion, N.; Barrault, J.; Casciato, S.; Dubois, V.; Pouilloux, Y.; Clacens, J.M. Selective Epoxidation of Unsaturated Fatty Esters over Peroxophosphotungstic Catalysts (POW) under Solvent Free Conditions: Study of the POW Catalyst’s Mechanism. Catal. Today 2010, 157, 371–377. [Google Scholar] [CrossRef]
- Feng, G.; Hu, L.; Ma, Y.; Jia, P.; Hu, Y.; Zhang, M.; Liu, C.; Zhou, Y. An Efficient Bio-Based Plasticizer for Poly(vinyl chloride) from Waste Cooking Oil and Citric Acid: Synthesis and Evaluation in PVC Films. J. Clean. Prod. 2018, 189, 334–343. [Google Scholar] [CrossRef]
- Kozhevnikov, I.V.; Mulder, G.P.; Steverink-de Zoete, M.C.; Oostwal, M.G. Epoxidation of Oleic Acid Catalyzed by Peroxo Phosphotungstate in a Two-Phase System. J. Mol. Catal. A Chem. 1998, 134, 223–228. [Google Scholar] [CrossRef]
- Bourlinos, A.B.; Raman, K.; Herrera, R.; Zhang, Q.; Archer, L.A.; Giannelis, E.P. A Liquid Derivative of 12-Tungstophosphoric Acid with Unusually High Conductivity. J. Am. Chem. Soc. 2004, 126, 15358–15359. [Google Scholar] [CrossRef] [PubMed]
- Rickert, P.G.; Antonio, M.R.; Firestone, M.A.; Kubatko, K.A.; Szreder, T.; Wishart, J.F.; Dietz, M.L. Tetraalkylphosphonium Polyoxometalate Ionic Liquids: Novel, Organic-Inorganic Hybrid Materials. J. Phys. Chem. B 2007, 111, 4685–4692. [Google Scholar] [CrossRef]
- Rickert, P.G.; Antonio, M.R.; Firestone, M.A.; Kubatko, K.A.; Szreder, T.; Wishart, J.F.; Dietz, M.L. Tetraalkylphosphonium Polyoxometalates: Electroactive, “Task- Specific” Ionic Liquids. Dalton Trans. 2007, 529–531. [Google Scholar] [CrossRef] [PubMed]
- Leng, Y.; Wang, J.; Zhu, D.; Ren, X.; Ge, H.; Shen, L. Heteropolyanion-Based Ionic Liquids: Reaction-Induced Self-Separation Catalysts for Esterification. Angew. Chem.-Int. Ed. 2009, 48, 168–171. [Google Scholar] [CrossRef]
- Derahman, A.; Abidin, Z.Z.; Cardona, F.; Biak, D.R.A.; Tahir, P.M.; Abdan, K.; Liew, K.E. Epoxidation of Jatropha Methyl Esters via Acidic Ion Exchange Resin: Optimization and Characterization. Braz. J. Chem. Eng. 2019, 36, 959–968. [Google Scholar] [CrossRef] [Green Version]
- Satyarthi, J.K.; Srinivas, D.; Ratnasamy, P. Estimation of Free Fatty Acid Content in Oils, Fats, and Biodiesel by 1H NMR Spectroscopy. Energy Fuels 2009, 23, 2273–2277. [Google Scholar] [CrossRef]
- Nicolau, A.; Samios, D.; Piatnick, C.M.S.; Reiznautt, Q.B.; Martini, D.D.; Chagas, A.L. On the Polymerisation of the Epoxidised Biodiesel: The Importance of the Epoxy Rings Position, the Process and the Products. Eur. Polym. J. 2012, 48, 1266–1278. [Google Scholar] [CrossRef]
- Animal and Vegetable Fats and Oils—Determination of Iodine Value ISO 3961:2018; International Organization for Standardization: Geneva, Switzerland, 2018.
- Stenmark, G.A. Determination of Alpha-Glycol Content of Epoxy Resins. Anal. Chem. 1958, 30, 381–383. [Google Scholar] [CrossRef]
- May, C.A. Epoxy Resin: Chemistry and Technology, 2nd ed.; Wiley: Hoboken, NJ, USA, 1988. [Google Scholar]
Publisher’s Note: MDPI stays neutral with regard to jurisdictional claims in published maps and institutional affiliations. |
© 2021 by the authors. Licensee MDPI, Basel, Switzerland. This article is an open access article distributed under the terms and conditions of the Creative Commons Attribution (CC BY) license (https://creativecommons.org/licenses/by/4.0/).