Sign in to use this feature.

Years

Between: -

Subjects

remove_circle_outline
remove_circle_outline
remove_circle_outline
remove_circle_outline
remove_circle_outline
remove_circle_outline
remove_circle_outline
remove_circle_outline
remove_circle_outline

Journals

remove_circle_outline
remove_circle_outline
remove_circle_outline
remove_circle_outline
remove_circle_outline
remove_circle_outline
remove_circle_outline
remove_circle_outline
remove_circle_outline
remove_circle_outline
remove_circle_outline

Article Types

Countries / Regions

remove_circle_outline
remove_circle_outline
remove_circle_outline
remove_circle_outline
remove_circle_outline
remove_circle_outline
remove_circle_outline

Search Results (1,436)

Search Parameters:
Keywords = epoxidation

Order results
Result details
Results per page
Select all
Export citation of selected articles as:
15 pages, 3256 KB  
Article
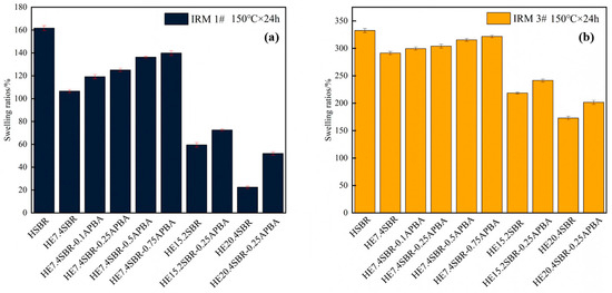
Preparation and Properties of Reprocessable Hydrogenated Styrene–Butadiene Rubber
by Tianxi Li, Chaolun Pan and Dongmei Yue
Polymers 2026, 18(6), 688; https://doi.org/10.3390/polym18060688 - 12 Mar 2026
Viewed by 32
Abstract
Styrene–butadiene rubber (SBR) is one of the most widely used synthetic elastomers. However, the unsaturated C=C bonds in its backbone limit its long-term stability under harsh service conditions. Furthermore, conventional sulfur vulcanization forms irreversible covalent crosslinked networks, which fundamentally hinder the recyclability and [...] Read more.
Styrene–butadiene rubber (SBR) is one of the most widely used synthetic elastomers. However, the unsaturated C=C bonds in its backbone limit its long-term stability under harsh service conditions. Furthermore, conventional sulfur vulcanization forms irreversible covalent crosslinked networks, which fundamentally hinder the recyclability and reprocessability of SBR, resulting in resource waste and environmental burdens. In this work, SBR was used as the starting material. Through epoxidation and subsequent hydrogenation, followed by an epoxy ring-opening reaction, 3-aminophenylboronic acid (m-APBA) was introduced into the polymer chains, constructing a novel hydrogenated SBR with reversible dynamic cross-linking characteristics (HESBR-APBA). The resulting material exhibits superior mechanical properties compared to conventional hydrogenated SBR (HSBR) without any external additives. Notably, the HE7.4SBR-0.75APBA sample achieved a tensile strength of up to 14 MPa and retained over 95% of its original strength after multiple reprocessing cycles, demonstrating excellent mechanical stability and reprocessability. This study provides an effective molecular design strategy for balancing high mechanical performance and recyclability in hydrogenated SBR and offers new insights for developing reprocessable rubber material. Full article
(This article belongs to the Section Polymer Processing and Engineering)
Show Figures

Graphical abstract

17 pages, 4014 KB  
Article
Chemo-Enzymatic Synthesis of Enantiopure (−)-Nebivolol Catalyzed by Lipase B from Candida antarctica
by Eline Flo Hoem, Sara Aasen, Aurore Massacrier, Romain Bourgade, Petter Daleng and Elisabeth Egholm Jacobsen
Catalysts 2026, 16(3), 256; https://doi.org/10.3390/catal16030256 - 11 Mar 2026
Viewed by 120
Abstract
All four isomers of 2-chloro-1-(6-fluorochroman-2-yl)ethan-1-ol, as building blocks for the two enantiomers of beta-blocker nebivolol, have been synthesized in high yield. Due to the similar physicochemical properties of these four diastereomeric halohydrins, to date, the only successful method for separation of the isomers [...] Read more.
All four isomers of 2-chloro-1-(6-fluorochroman-2-yl)ethan-1-ol, as building blocks for the two enantiomers of beta-blocker nebivolol, have been synthesized in high yield. Due to the similar physicochemical properties of these four diastereomeric halohydrins, to date, the only successful method for separation of the isomers has been preparative HPLC. To avoid this, the four halohydrins were transformed into epoxides with subsequent separation of the enantiomeric pairs by column chromatography. The enantiomeric pairs of epoxides were subsequently converted back to their corresponding halohydrins before performing kinetic resolution of the racemates catalyzed by Lipase B from Candida antarctica. (R)-2-Chloro-1-((R)-6-fluorochroman-2-yl)ethanol was isolated in 71% yield, and >99% enantiomeric excess (ee). (R)-2-Chloro-1-((S)-6-fluorochroman-2-yl)ethanol was isolated in 77% yield and >99% ee. Hydrolysis of 2-chloro-1-(6-fluorochroman-2-yl)ethyl butanoate with the same lipase yielded halohydrins (S)-2-chloro-1-((S)-6-fluorochroman-2-yl)ethanol and (S)-2-chloro-1-((R)-6-fluorochroman-2-yl)ethanol. Amination of (R)-6-fluoro-2-((S)-oxiran-2-yl)chromane with ammonia afforded (S)-2-amino-1-((R)-6-fluorochroman-2-yl)ethanol in 79% yield and >99% ee. (S)-2-Amino-1-((R)-6-fluorochroman-2-yl)ethanol was then reacted with (R)-2-chloro-1-((S)-6-fluorochroman-2-yl)ethanol to produce the desired product (R,S,S,S)-nebivolol ((−)-nebivolol) in 81% yield and >99% ee. Full article
(This article belongs to the Special Issue State-of-the-Art Enzyme Engineering and Biocatalysis in Europe)
Show Figures

Figure 1

20 pages, 1838 KB  
Article
Iron(II) and Manganese(II) Complexes with N4Py as Dioxygen Activators for α-Pinene Oxidation in Acetonitrile
by Katarzyna Rydel-Ciszek and Andrzej Sobkowiak
Molecules 2026, 31(5), 908; https://doi.org/10.3390/molecules31050908 - 9 Mar 2026
Viewed by 121
Abstract
Iron(II) and manganese(II) complexes with N4Py [N4Py—N,N-bis(2-pyridylmethyl)-N-(bis-2-pyridylmethyl)amine] have been found to activate O2 for the oxidation of α-pinene in acetonitrile. For example, for 1 M α-pinene, 0.5 mM [(N4Py)FeII]2+, and dioxygen as [...] Read more.
Iron(II) and manganese(II) complexes with N4Py [N4Py—N,N-bis(2-pyridylmethyl)-N-(bis-2-pyridylmethyl)amine] have been found to activate O2 for the oxidation of α-pinene in acetonitrile. For example, for 1 M α-pinene, 0.5 mM [(N4Py)FeII]2+, and dioxygen as an oxidant, 90 mM α-pinene epoxide, 48 mM verbenol, and 50 mM verbenone have been formed, which, taking into account the concentrations of the minor products (myrtenol and myrtenal), gives a turnover number approximately equal to 400. Based on the amounts of products formed, the conversion of α-pinene is approximately 20% and 18% for iron and manganese catalysts, respectively. Although the manganese catalyst is somewhat less effective than the iron catalyst, the selectivity of the products is similar for both catalysts. Replacement of dioxygen with air as the oxidant causes the reaction yield to be lower. The proposed mechanism assumes the formation of a metal(IV)-oxo complex [(N4Py)MIV=O]2+, M–Fe or Mn, during the simultaneous combination of a catalyst, O2, and substrate, and its subsequent reactions toward the observed products. Full article
(This article belongs to the Special Issue Advances in Coordination Chemistry, 3rd Edition)
Show Figures

Figure 1

17 pages, 3763 KB  
Article
Boosting Photocatalytic CO2 Cycloaddition via Dual-Active Site Coordination over Amino-Functionalized UiO-66(Zr)
by Yajing Lv, Haohao Yan, Wenhui Ye, Lin Ye, Jinmei Chen, Yutong Lin, Shuying Zhu, Dengrong Sun, Xiyao Liu and Ruowen Liang
Molecules 2026, 31(5), 902; https://doi.org/10.3390/molecules31050902 - 9 Mar 2026
Viewed by 204
Abstract
CO2 cycloaddition with epoxides offers a sustainable route for CO2 utilization, yet the simultaneous activation of both substrates remains challenging. Herein, using UiO-66(Zr)-NH2 (denoted as UZN) as a model system, we illustrate that dual-active sites consisting of unsaturated Zr4+ [...] Read more.
CO2 cycloaddition with epoxides offers a sustainable route for CO2 utilization, yet the simultaneous activation of both substrates remains challenging. Herein, using UiO-66(Zr)-NH2 (denoted as UZN) as a model system, we illustrate that dual-active sites consisting of unsaturated Zr4+ centers and amine groups can efficiently accelerate CO2 fixation with epoxides under visible light. The unique ensemble in UZN optimizes light harvesting, promotes charge carrier separation, and enriches bifunctional active sites for efficient adsorption and activation of epoxides and CO2. Consequently, UZN exhibits significantly improved CO2-epoxide cycloaddition performance compared to UiO-66(Zr)-H (denoted as UZH), achieving a PC yield of 99.5%, with a production rate of 9.97 mmol·g−1·h−1. This work establishes a clear coordination–photocatalytic synergy in MOF-based systems and provides fundamental insights and a generalizable strategy for designing advanced catalysts for CO2 transformation. Full article
(This article belongs to the Section Photochemistry)
Show Figures

Figure 1

16 pages, 5235 KB  
Article
Bio-Based Dual-Layer UV-Cured Oil- and Water-Resistant Paper Coating for Food Packaging Applications
by Myungho Lee, Anuja P. Rananavare and Youn Suk Lee
Int. J. Mol. Sci. 2026, 27(5), 2210; https://doi.org/10.3390/ijms27052210 - 26 Feb 2026
Viewed by 221
Abstract
Fluorine-free paper coatings with water- and oil-resistance properties have gained considerable attention for sustainable food packaging applications. In this study, a dual-layer coating based on chitosan (Chi) and acrylated epoxidized soybean oil (AESO), both derived from renewable and natural resources, was applied to [...] Read more.
Fluorine-free paper coatings with water- and oil-resistance properties have gained considerable attention for sustainable food packaging applications. In this study, a dual-layer coating based on chitosan (Chi) and acrylated epoxidized soybean oil (AESO), both derived from renewable and natural resources, was applied to kraft paper. The ultraviolet-cured AESO top layer formed a dense crosslinking network, while the Chi interlayer promoted strong interfacial adhesion with the kraft paper through hydrogen bonding, effectively restricting fluid penetration. The Chi/AESO40/kraft paper showed markedly enhanced water repellency and oil resistance, with a reduced Cobb600 value of 16 g m−2 and kit rating of 12. Thermogravimetric analysis demonstrated improved thermal stability, and mechanical testing results revealed enhanced packaging-relevant strength, with the tensile strength increasing from 33 to 40 MPa and tensile index increasing from 45 to 60 kPa·m2 g−1; furthermore, the burst strength and index improved from 260 to 330 kPa and from 3.2 to 4.0 kPa·m2 g−1, respectively. Food contact tests conducted using French fries confirmed the effective barrier performance of the Chi/AESO/kraft paper, highlighting its potential for use in sustainable paper-based food packaging applications. Full article
(This article belongs to the Special Issue Bioactive Molecules from Food Waste in Food Packaging Applications)
Show Figures

Figure 1

26 pages, 2747 KB  
Article
Eugenol-Based Epoxy Vitrimers: Caffeine and Zinc Acetate as Potential Alternative Catalysts in Curing Kinetics and Dynamic Network Properties
by Angela Y. Becerra-Lovera, Javier Mauricio Anaya-Mancipe, Rubén D. Díaz-Martin, Marcos Lopes Dias and Diego de Holanda Saboya Souza
Molecules 2026, 31(5), 783; https://doi.org/10.3390/molecules31050783 - 26 Feb 2026
Viewed by 349
Abstract
The development of sustainable vitrimers from bio-based sources addresses the need for high-performance recyclable materials. This research describes eugenol-derived epoxy vitrimers cross-linked with adipic acid as a curing agent, focusing on comparative effects of caffeine and zinc acetate as transesterification catalysts at 5 [...] Read more.
The development of sustainable vitrimers from bio-based sources addresses the need for high-performance recyclable materials. This research describes eugenol-derived epoxy vitrimers cross-linked with adipic acid as a curing agent, focusing on comparative effects of caffeine and zinc acetate as transesterification catalysts at 5 and 10% concentrations versus a non-catalyzed control. Both catalysts acted as curing accelerators, confirmed by FTIR and DSC analyses, revealing polyhydroxyester network formation through associative ester exchange enabling topological reorganization. Zinc acetate at 10% proved most efficient, achieving the lowest apparent activation energy (116.0 kJ/mol), highest crosslinking density (νe = 3.42 × 10−3 mol/cm3), improved thermal stability with unimodal degradation profile, and substantially reduced topology freezing transition temperature (Tv = 132 °C), confirming enhanced dynamic properties. Caffeine demonstrated catalytic activity, reducing apparent activation energy to 124.4 kJ/mol at 10% and promoting rapid epoxide conversion during initial curing at moderate temperatures. Although its catalytic efficiency is moderate compared to zinc acetate, its bio-based origin and non-toxic nature make it a promising green alternative for sustainable vitrimer applications. Results demonstrate that catalyst selection is crucial for tailoring curing kinetics, network structure, and final vitrimeric properties, providing key guidelines for designing advanced circular materials from bio-based precursors. Full article
(This article belongs to the Special Issue Synthesis, Characterization and Applications of Vitrimers)
Show Figures

Graphical abstract

28 pages, 4731 KB  
Article
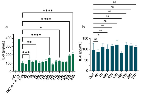
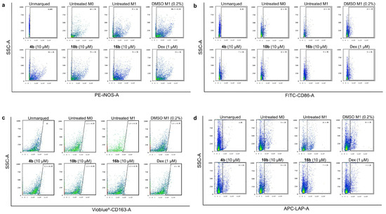
Design, Synthesis, and Structure–Activity Relationships of Substituted Phenyl Cyclobutylureas as Potential Modulators of Inflammatory Responses
by Atziri Corin Chavez Alvarez, Antoine Carpentier, Ahmed Sahli, Martin Perreault, Aichatou Diallo Ngon and Emmanuel Moreau
Pharmaceuticals 2026, 19(3), 355; https://doi.org/10.3390/ph19030355 - 25 Feb 2026
Viewed by 324
Abstract
Background/Objectives: Chronic inflammation underlies many immune-mediated conditions, yet current anti-inflammatory therapies are often limited by incomplete efficacy or safety concerns. Small molecules inspired by soluble epoxide hydrolase (sEH) inhibitors represent a promising scaffold for early-stage exploration. This study describes the design, synthesis, [...] Read more.
Background/Objectives: Chronic inflammation underlies many immune-mediated conditions, yet current anti-inflammatory therapies are often limited by incomplete efficacy or safety concerns. Small molecules inspired by soluble epoxide hydrolase (sEH) inhibitors represent a promising scaffold for early-stage exploration. This study describes the design, synthesis, and preliminary biological evaluation of three series of arylurea derivatives (ACBUs) to establish structure–activity relationships and guide chemical optimization. Methods: The compounds were assessed for effects on keratinocyte proliferation, human sEH activity, and the expression of selected inflammatory markers using IL-17A/TNF-α-stimulated HaCaT cells, a relevant in vitro model for preliminary anti-inflammatory profiling. Results: A total of 23 novel ACBU derivatives were synthesized and evaluated. Most compounds showed low antiproliferative activity, allowing selection based on cytotoxicity and solubility. Compounds 4b, 10b, and 16b consistently displayed the most favorable profiles in these preliminary assays. Docking studies provided structural rationales supporting the observed trends and guided further optimization within the series. Conclusions: Compound 4b emerged as the most active candidate in preliminary screening, serving as a reference for ongoing SAR studies. These results highlight the potential of the arylurea scaffold for further chemical optimization and demonstrate the value of early-stage biological profiling in guiding our further studies. Full article
(This article belongs to the Section Medicinal Chemistry)
Show Figures

Graphical abstract

7 pages, 865 KB  
Proceeding Paper
Upcycling Spent Palm Oil into High-Performance Polyurethane Adhesives for Dimensionally Stable Bagasse Particleboards
by June Marxis Binasoy, Sherwin Kent Compuesto, Jhanine Dungca, Charlene Elaisa Gravador, Rose Mae Mirabueno, Janelou Marielle Rosaldo, Andrea Salvador, Jerry Olay, Rugi Vicente Rubi and Rich Jhon Paul Latiza
Eng. Proc. 2026, 124(1), 44; https://doi.org/10.3390/engproc2026124044 - 24 Feb 2026
Viewed by 214
Abstract
The construction industry faces intensifying pressure to mitigate its environmental impact, particularly concerning the reliance on non-biodegradable materials and hazardous formaldehyde-based adhesives. Although bio-based alternatives are emerging, many still depend on virgin feedstocks, and the valorization rates for abundant waste streams like used [...] Read more.
The construction industry faces intensifying pressure to mitigate its environmental impact, particularly concerning the reliance on non-biodegradable materials and hazardous formaldehyde-based adhesives. Although bio-based alternatives are emerging, many still depend on virgin feedstocks, and the valorization rates for abundant waste streams like used cooking oil remain critically low. To bridge this gap, this study developed a sustainable, formaldehyde-free Modified Reused Palm Oil-Polyurethane (MRPO-PU) adhesive specifically for binding sugarcane bagasse particleboards. The synthesis process involved filtering used palm oil and subjecting it to epoxidation and hydroxylation reactions to yield a functional bio-polyol, the chemical structure of which was validated via Fourier Transform Infrared Spectroscopy (FTIR). This bio-polyol was subsequently mixed with polymeric diphenylmethane diisocyanate (pMDI) and combined with alkali-treated bagasse at varying adhesive ratios ranging from 15 to 85 wt%. Physical and mechanical evaluations demonstrated a robust positive correlation between adhesive content and composite integrity. Specifically, increasing the adhesive loading enhanced density up to 444 kg/m3 and minimized thickness swelling to 5.1%, while flexural and compressive strengths significantly improved. The data suggests an optimal efficiency range between 45 and 55 wt%. Ultimately, this research validates a dual-waste valorization strategy, offering a scalable circular economy model that transforms agricultural residues and spent oils into high-performance, eco-friendly construction materials. Full article
(This article belongs to the Proceedings of The 6th International Electronic Conference on Applied Sciences)
Show Figures

Figure 1

15 pages, 3549 KB  
Article
Study of the Preparation and Tribological Properties of Lauryl Group Functionalized Thermally Reduced Graphene Oxide
by Jixin Liu, Weihao Chang, Junrong Bian, Chuanqiang Li and Xuxu Zheng
Lubricants 2026, 14(3), 99; https://doi.org/10.3390/lubricants14030099 - 24 Feb 2026
Viewed by 237
Abstract
In order to prepare alkyl-functionalized reduced graphene oxide more simply, economically and environmentally, we adopt a two-step method of first reduction and then surface grafting. Graphite oxide (GtO) is first exfoliated to thermally-reduced graphene oxide (TRGO) and then, in a heat-induced solid-state reaction, [...] Read more.
In order to prepare alkyl-functionalized reduced graphene oxide more simply, economically and environmentally, we adopt a two-step method of first reduction and then surface grafting. Graphite oxide (GtO) is first exfoliated to thermally-reduced graphene oxide (TRGO) and then, in a heat-induced solid-state reaction, converted to lauryl-functionalized TRGO (LTRGO). During the second step, lauryl radicals generated from the decomposition of lauroyl peroxide (LPO) open the epoxide rings on TRGO, covalently grafting the alkyl chains. The average water contact angle of LTRGO is 135.5°, and it disperses stably in base oil without surfactants or other additives. Four-ball test results show when the dosage of LTRGO is 75 mg/L, the average friction coefficient and wear scar diameter of the Formosa Plastics base oil (100 N) are decreased by 20.8% and 15.4%, respectively. The morphology and element analysis after ball-on-disk friction tests showed that the stable LTRGO physical friction adsorption film and metal oxide friction chemical reaction film could be formed between the friction pairs, thus reducing the friction wear. Full article
Show Figures

Figure 1

17 pages, 5606 KB  
Article
Lubricating Properties of Oil-Based Solutions Containing Graphene as Additive
by Luís Vilhena, Barnabas Erhabor, Tsering Wangmo, Bruno Figueiredo and Amílcar Ramalho
Lubricants 2026, 14(2), 92; https://doi.org/10.3390/lubricants14020092 - 16 Feb 2026
Viewed by 411
Abstract
Graphene, a 2D carbon allotrope with a hexagonal atomic structure, exhibits an exceptionally low friction coefficient of approximately 0.004, making it a superior alternative to traditional lubricants. This research investigates the performance of graphene as an additive in oil-based lubricants. Experimental trials will [...] Read more.
Graphene, a 2D carbon allotrope with a hexagonal atomic structure, exhibits an exceptionally low friction coefficient of approximately 0.004, making it a superior alternative to traditional lubricants. This research investigates the performance of graphene as an additive in oil-based lubricants. Experimental trials will be conducted using a block-on-ring (B-o-R) setup involving a steel rod pressed against a rotating steel ring under a fixed load. By varying the sliding velocities, the study will map the Stribeck curve across the boundary (BL), mixed (ML), and hydrodynamic (HL) lubrication regimes. Furthermore, the lubricant’s durability under extreme pressure will be assessed via Timken testing. The study identified 0.08 wt.% as the optimal concentration for PAO8, achieving a 21.25% friction reduction in the boundary regime. Furthermore, graphene as an additive mitigated wear volume by up to 90% under extreme pressure conditions (1.3 GPa), whereas epoxidized soybean oil proved to be highly effective as a base lubricant without additional nano-additives. Full article
(This article belongs to the Special Issue Experimental Modelling of Tribosystems)
Show Figures

Figure 1

13 pages, 1990 KB  
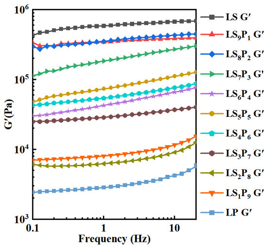
Article
Mechanical Performance and Dye Adsorption of Lignin/Poly(ethylene glycol) Diglycidyl Ether/Sorbitol Polyglycidyl Ether Hydrogels
by Yiming Wang, Hailing Liu, Yu-Peng He and Guoqing Guan
Polymers 2026, 18(4), 489; https://doi.org/10.3390/polym18040489 - 15 Feb 2026
Viewed by 434
Abstract
A bisphenol-A-free lignin hydrogel platform with programmable network density is reported. Lignin was crosslinked with poly(ethylene glycol) diglycidyl ether (PEGDGE) and sorbitol polyglycidyl ether (SPE) via epoxide ring-opening to generate hydrogel networks spanning eleven PEGDGE/SPE ratios. A single compositional lever—the SPE fraction—allowed the [...] Read more.
A bisphenol-A-free lignin hydrogel platform with programmable network density is reported. Lignin was crosslinked with poly(ethylene glycol) diglycidyl ether (PEGDGE) and sorbitol polyglycidyl ether (SPE) via epoxide ring-opening to generate hydrogel networks spanning eleven PEGDGE/SPE ratios. A single compositional lever—the SPE fraction—allowed the predictable densification of the network, translating into a monotonic shift in swelling and viscoelastic/mechanical responses. Importantly, the well-performing hydrogel (LS1P9) coupled swelling ratio with adsorption functionality, removing 72% methylene blue from water under the tested conditions. This work positions lignin as more than a passive filler: it serves as an active phenolic macromonomer for designing sustainable, multifunctional hydrogels. Full article
(This article belongs to the Special Issue Application and Development of Polymer Hydrogel)
Show Figures

Graphical abstract

21 pages, 6543 KB  
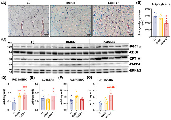
Article
Transplantation of Soluble Epoxide Hydrolase Inhibitor-Treated Human Brown Adipocytes Promotes Adipose Tissue Activation in High-Fat-Diet-Fed Nude Mice
by Haoying Wu, Xinyun Xu, Jiangang Chen, Christophe Morisseau, Bruce D. Hammock, Yu-Hua Tseng and Ling Zhao
Int. J. Mol. Sci. 2026, 27(3), 1440; https://doi.org/10.3390/ijms27031440 - 31 Jan 2026
Viewed by 419
Abstract
Brown adipose tissue (BAT) plays a key role in non-shivering thermogenesis and is a promising target for enhancing energy expenditure to combat obesity. Soluble epoxide hydrolase (sEH) is a cytosolic enzyme that catalyzes the conversion of epoxy fatty acids into less active diols. [...] Read more.
Brown adipose tissue (BAT) plays a key role in non-shivering thermogenesis and is a promising target for enhancing energy expenditure to combat obesity. Soluble epoxide hydrolase (sEH) is a cytosolic enzyme that catalyzes the conversion of epoxy fatty acids into less active diols. We have reported that local administration of the sEH inhibitor, t-TUCB, to the endogenous interscapular BAT (iBAT) of diet-induced obese mice decreased serum triglycerides and enhanced the expression of essential genes associated with lipid metabolism. Here, the effects of sEH inhibition by t-AUCB were assessed on human brown adipocyte (HuBr) differentiation and in nude mice transplanted with t-AUCB-treated HuBr. HuBr cells were differentiated with t-AUCB (1–10 µM) or the vehicle (0.1% DMSO). HuBr differentiated with t-AUCB at 5 μM (AUCB 5) or DMSO was mixed with matrix gel and transplanted into the nude mice. The mice were then fed a high-fat diet for eight weeks. The mice receiving AUCB 5-treated HuBr exhibited markedly reduced lipid accumulation in the iBAT compared with DMSO or matrix-only controls, along with increased protein expression of thermogenic PGC1α and UCP1, fatty acid transporter CD36, and CPT1A in the iBAT, while the NFκB inflammatory pathways were suppressed in both the AUCB 5 and DMSO groups. Moreover, the PGC1α and CPT1A protein levels were elevated, and the adipocyte sizes were decreased in the epididymal white adipose tissue of the AUCB 5 group. Our findings indicate that the transplantation of HuBr treated with AUCB 5 may stimulate thermogenesis, enhance lipid metabolism, and reduce inflammation in iBAT. Full article
Show Figures

Graphical abstract

23 pages, 4593 KB  
Article
Integrated Omics Approach to Delineate the Mechanisms of Doxorubicin-Induced Cardiotoxicity
by Mohamed S. Dabour, Ibrahim Y. Abdelgawad, Bushra Sadaf, Mary R. Daniel, Marianne K. O. Grant, Anne H. Blaes, Pamala A. Jacobson and Beshay N. Zordoky
Pharmaceuticals 2026, 19(2), 234; https://doi.org/10.3390/ph19020234 - 29 Jan 2026
Viewed by 613
Abstract
Background/Objectives: Doxorubicin (DOX) is an effective chemotherapeutic agent whose clinical utility is limited by cardiotoxicity. To investigate underlying mechanisms, we employed a multi-omics approach integrating transcriptomics and proteomics, leveraging established mouse models of chronic DOX-induced cardiotoxicity. Methods: Five-week-old male mice received weekly [...] Read more.
Background/Objectives: Doxorubicin (DOX) is an effective chemotherapeutic agent whose clinical utility is limited by cardiotoxicity. To investigate underlying mechanisms, we employed a multi-omics approach integrating transcriptomics and proteomics, leveraging established mouse models of chronic DOX-induced cardiotoxicity. Methods: Five-week-old male mice received weekly DOX (4 mg/kg) or saline injections for six weeks, with heart tissues harvested 4 days post-treatment. Differentially expressed genes (DEGs) and proteins (DEPs) were identified by bulk RNA-seq and proteomics, validated via qPCR and Western blot, respectively. Key DEPs were validated in plasma samples from DOX-treated breast cancer patients. Additionally, temporal comparison was conducted between DEPs in the mice hearts 4 days and 6 weeks post-DOX. Results: RNA-seq revealed upregulation of stress-responsive genes (Phlda3, Trp53inp1) and circadian regulators (Nr1d1), with downregulation of Apelin and Cd74. Proteomics identified upregulation of serpina3n, thrombospondin-1, and epoxide hydrolase 1. Plasma SERPINA3 concentrations were significantly elevated in breast cancer patients 24 h post-DOX. Gene set enrichment analysis (GSEA) revealed upregulated pathways, including p53 signaling, apoptosis, and unfolded protein response. Integrated omics analysis revealed 2089 gene–protein pairs. GSEA of concordant gene–protein pairs implicated p53 signaling, apoptosis, and epithelial–mesenchymal transition in upregulated pathways, while oxidative phosphorylation and metabolic pathways were downregulated. Temporal comparison with a delayed timepoint (6 weeks post-DOX) uncovered dynamic remodeling of cardiac signaling, with early response dominated by inflammatory and apoptotic responses, and delayed response marked by cell cycle and DNA repair pathway activation. Conclusions: This integrated omics study reveals key molecular pathways and temporal changes in DOX-induced cardiotoxicity, identifying potential biomarkers for future cardioprotective strategies. Full article
(This article belongs to the Special Issue Advances in Cancer Treatment and Toxicity)
Show Figures

Figure 1

20 pages, 4874 KB  
Article
HDTMS-, Polybutadiene-, and Benzotriazole-Modified Polylactic-Based Resin for Solar Cells Encapsulation with Exceptional Environmental Stability of MAPI Perovskite Films
by Ayad Aicha Aziza, Elbar Mohamed, Ievgen Zaitsev and Kuchansky Vladislav
Molecules 2026, 31(3), 427; https://doi.org/10.3390/molecules31030427 - 26 Jan 2026
Cited by 1 | Viewed by 413
Abstract
In this work, we report a protective encapsulation intended as the final coating layer on solar cells. The formulation consists of polylactic (PLA)-based resin, modified with hexadecyltrimethoxysilane (HDTMS), epoxidized polybutadiene (EPB), and benzotriazole as a UV absorber with approximate weight fractions ranging from [...] Read more.
In this work, we report a protective encapsulation intended as the final coating layer on solar cells. The formulation consists of polylactic (PLA)-based resin, modified with hexadecyltrimethoxysilane (HDTMS), epoxidized polybutadiene (EPB), and benzotriazole as a UV absorber with approximate weight fractions ranging from 20 to 60 wt% for PLA, 30–80 wt% for solvents (toluene and chloroform), and 0–5 wt% for HDTM, EPB, and benzotriazole with percentages 54.2%, 29.2%, and 16.7%, respectively. The encapsulating material, due to its insulating nature and high optical transparency, surpasses that of ethylene–vinyl acetate (EVA), as demonstrated in this study. To assess the protective effect of the developed formulation, the study focused on applying the modified PLA resin onto isolated methylammonium lead iodide (MAPI) perovskite films on glass substrates. The samples were prepared as isolated MAPI absorbers to specifically assess the intrinsic contribution of the dual encapsulation configuration at its real position in a complete solar cell stack, demonstrating that even this unoptimized perovskite film exhibits remarkable stability and excellent structural and optical retention over two months under the protective scheme (86% of its initial structural stability, as quantified from integrated XRD peak intensities, and 68% of its initial optical absorbance, determined from the integrated UV–Vis spectra), whereas the uncoated films showed significant degradation. Although MAPI was selected as a model system due to its well-known environmental instability, the proposed encapsulation material and methodology are not limited to this architecture and can, in principle, be applied to various photovoltaic technologies. These findings demonstrate the strong potential of the polylactic-based resin as an effective environmental barrier for solar cells and provide a solid foundation for future full-device integration studies. Full article
(This article belongs to the Section Applied Chemistry)
Show Figures

Figure 1

21 pages, 4865 KB  
Article
Nanostructured POSS Crosslinked Polybenzimidazole with Free Radical Scavenging Function for High-Temperature Proton Exchange Membranes
by Chao Meng, Xiaofeng Hao, Shuanjin Wang, Dongmei Han, Sheng Huang, Jin Li, Min Xiao and Yuezhong Meng
Nanomaterials 2026, 16(3), 164; https://doi.org/10.3390/nano16030164 - 26 Jan 2026
Viewed by 398
Abstract
High-temperature proton exchange membranes (HT-PEMs) are critical components of high-temperature fuel cells, facilitating proton transport and acting as a barrier to fuel and electrons; however, their performance is hampered by persistent issues of phosphoric acid leaching and oxidative degradation. Herein, a novel HT-PEM [...] Read more.
High-temperature proton exchange membranes (HT-PEMs) are critical components of high-temperature fuel cells, facilitating proton transport and acting as a barrier to fuel and electrons; however, their performance is hampered by persistent issues of phosphoric acid leaching and oxidative degradation. Herein, a novel HT-PEM with abundant hydrogen bond network is constructed by incorporating nanoscale polyhedral oligomeric silsequioxane functionalized with eight pendent sulfhydryl groups (POSS-SH) into poly(4,4′-diphenylether-5,5′-bibenzimidazole) (OPBI) matrix. POSS, a cage-like nanostructured hybrid molecule, features a well-defined silica core and highly designable surface organic groups, offering unique potential for enhancing membrane performance at the molecular level. Through controlled reactions between sulfhydryl groups and allyl glycidyl ether (AGE), two functional POSS crosslinkers—octa-epoxide POSS (OE-POSS) and mixed sulfhydryl-epoxy POSS (POSS-S-E)—were synthesized. These were subsequently used to fabricate crosslinked OPBI membranes (OPBI-OE-POSS and OPBI-POSS-S-E) via epoxy–amine coupling. The OPBI-POSS-S-E membranes demonstrated exceptional oxidative stability, which is attributed to the free radical scavenging ability of the retained sulfhydryl groups on the nano-sized POSS framework. After soaking in Fenton’s reagent at 80 °C for 108 h, the OPBI-POSS-S-E-20% membrane retained 79.4% of its initial weight, significantly surpassing both the OPBI-OE-POSS-20% and pristine OPBI membranes. The PA-doped OPBI-POSS-S-E-20% membrane achieved a proton conductivity of 50.8 mS cm−1 at 160 °C, and the corresponding membrane electrode assembly delivered a peak power density of 724 mW cm−2, highlighting the key role of POSS as a nano-modifier in advancing HT-PEM performance. Full article
(This article belongs to the Special Issue Preparation and Characterization of Nanomaterials)
Show Figures

Figure 1

Back to TopTop