To Sit or Not to Sit in VR: Analyzing Influences and (Dis)Advantages of Posture and Embodied Interaction
Abstract
1. Introduction
- Attempt to provide a broader overview of the characteristics of a wide range of locomotion interfaces and interface types, to provide a more unified representation and classification.
- Enable VR designers to more easily determine what kind of posture and locomotion interfaces might be most suitable, based on the identified functional and non-functional requirements of the VR experience.
- Help pinpoint open research/development questions and better understand specific challenges and opportunities, e.g., in most VR use cases, there is arguably a mismatch between the physical setup (e.g., sitting in your office or living room with an HMD on your head and controllers in your hand) and the simulated VR scenario (e.g., sitting in a racing car, or walking around in armor fighting dragons). What aspects of this mismatch are critical or not? How important is it to match one’s posture and sit versus stand physically to match the virtual scenario (e.g., of sitting in a racing car versus standing/walking)? Could it be easier to imagine/simulate standing when actually sitting than the other way around?
- Provide a framework to help tackle open questions in research and development, e.g., which posture to use when and why? Could it be worthwhile to explore hybrid interfaces that combine the advantages of sitting versus standing/walking, and allow for an easier and more seamless transition between the different postures? Or could it make sense to provide flexible interfaces, such as sit-stand stools, like the MovMan [5], or bar stools that make it easier to get up from sitting, as it can provide a much higher sitting posture, which has been observed to be desirable in collaborative design review sessions [6]?
2. Methods
2.1. Iterative & Qualitative Expert Evaluation and Validation
2.2. Online Survey
3. Results
3.1. Online Survey
3.1.1. Rated Relevance of the Different Aspects of VR Locomotion Interfaces
3.1.2. Rated Degree of Embodiment of VR Locomotion Interfaces
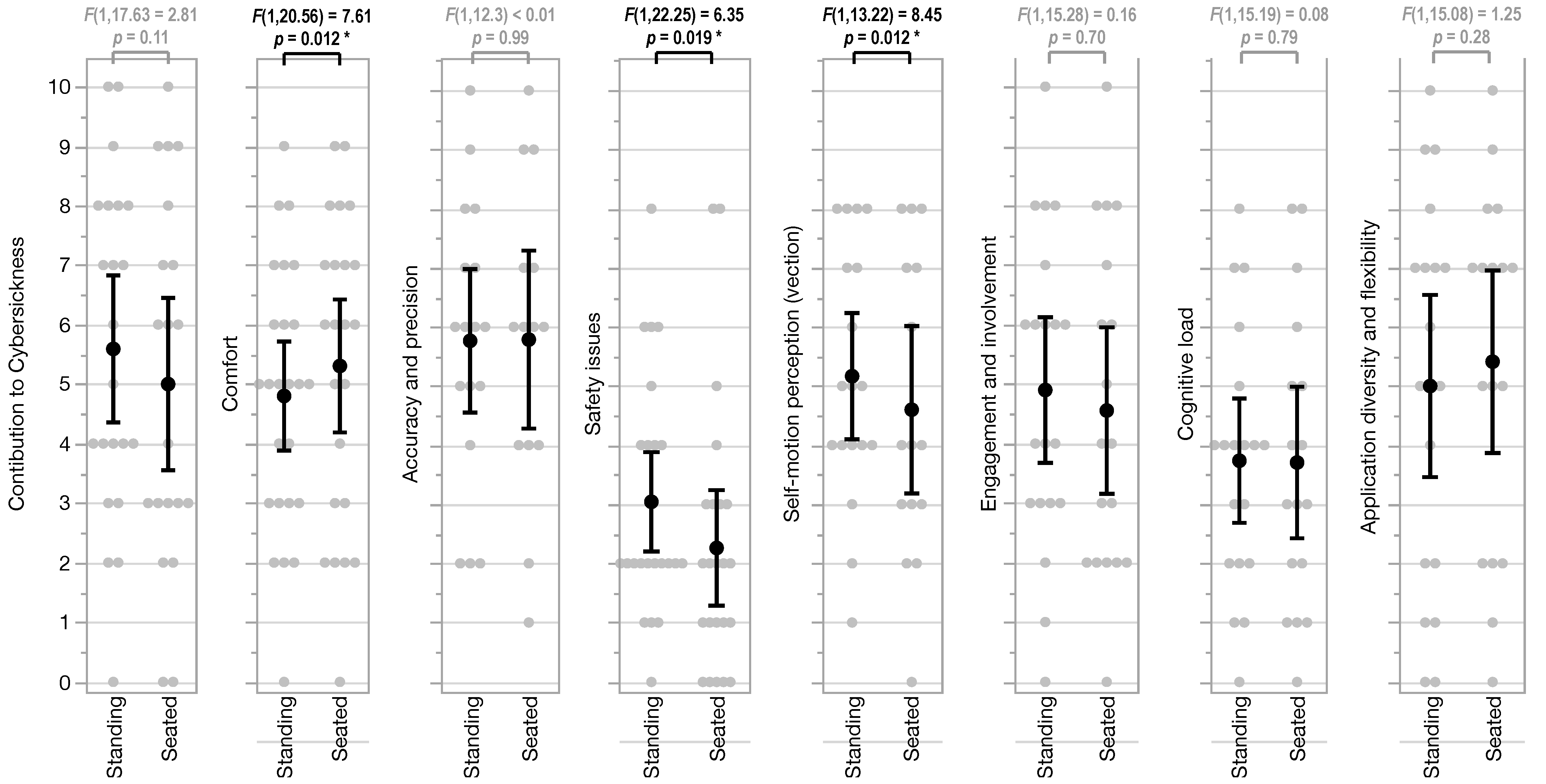
3.1.3. Comparing Standing vs. Seated VR Locomotion Interfaces
3.2. Classification
4. Discussion
4.1. Cybersickness
4.2. Comfort
4.3. Locomotion Precision
4.4. Safety
4.5. Vection (Perceived Self-Motion)
4.6. Engagement & Enjoyment
4.7. Cognitive Load
4.8. Technical Complexity
4.9. Application Diversity and Flexibility
4.10. Accessibility
5. General Discussion
6. Conclusions
Author Contributions
Funding
Institutional Review Board Statement
Informed Consent Statement
Data Availability Statement
Conflicts of Interest
References
- Bellgardt, M.; Pick, S.; Zielasko, D.; Vierjahn, T.; Weyers, B.; Kuhlen, T.W. Utilizing Immersive Virtual Reality in Everydaywork. In Proceedings of the IEEE VR Workshop on Everyday Virtual Reality, Los Angeles, CA, USA, 19 March 2017; pp. 1–4. [Google Scholar] [CrossRef]
- Zielasko, D.; Weyers, B.; Bellgardt, M.; Pick, S.; Meißner, A.; Vierjahn, T.; Kuhlen, T.W. Remain Seated: Towards Fully-Immersive Desktop VR. In Proceedings of the IEEE VR Workshop on Everyday Virtual Reality, Los Angeles, CA, USA, 19 March 2017; pp. 1–6. [Google Scholar] [CrossRef]
- Luca, M.D.; Seifi, H.; Egan, S.; Gonzalez Franco, M. Locomotion Vault: The Extra Mile in Analyzing VR Locomotion Techniques. In Proceedings of the ACM 2021 CHI Conference on Human Factors in Computing Systems, Yokohama, Japan, 8–13 March 2021. [Google Scholar]
- Zielasko, D.; Riecke, B.E. Sitting vs. Standing in VR: Towards a Systematic Classification of Challenges and (Dis)Advantages. In Proceedings of the IEEE VR Abstracts and Workshops, Atlanta, GA, USA, 22–26 March 2020; pp. 297–298. [Google Scholar] [CrossRef]
- Kitson, A.; Hashemian, A.M.; Stepanova, E.R.; Kruijff, E.; Riecke, B.E. Comparing Leaning-based Motion Cueing Interfaces for Virtual Reality Locomotion. In Proceedings of the IEEE Symposium on 3d User Interfaces (3DUI), Los Angeles, CA, USA, 18–19 March 2017; pp. 73–82. [Google Scholar]
- Freiberg, J. Experience Before Construction: Immersive Virtual Reality Design Tools for Architectural Practice. Master’s Thesis, Simon Fraser University, Surrey, BC, Canada, 2015. [Google Scholar]
- Chang, E.; Kim, H.T.; Yoo, B. Virtual Reality Sickness: A Review of Causes and Measurements. Int. J. Hum. Comput. Interact. 2020, 36, 1658–1682. [Google Scholar] [CrossRef]
- Kemeny, A.; Chardonnet, J.R.; Colombet, F. Getting Rid of Cybersickness: In Virtual Reality, Augmented Reality, and Simulators; Springer International Publishing: Cham, Switzerland, 2020. [Google Scholar] [CrossRef]
- Rebenitsch, L.; Owen, C. Review on cybersickness in applications and visual displays. Virtual Real. 2016, 20, 101–125. [Google Scholar] [CrossRef]
- Weech, S.; Kenny, S.; Barnett-Cowan, M. Presence and Cybersickness in Virtual Reality Are Negatively Related: A Review. Front. Psychol. 2019, 10. [Google Scholar] [CrossRef] [PubMed]
- Keshavarz, B.; Riecke, B.E.; Hettinger, L.J.; Campos, J.L. Vection and visually induced motion sickness: How are they related? Front. Psychol. 2015, 6. [Google Scholar] [CrossRef] [PubMed]
- Riccio, G.E.; Stoffregen, T.A. An Ecological Theory of Motion Sickness and Postural Instability. Ecol. Psychol. 1991, 3, 195–240. [Google Scholar] [CrossRef]
- Merhi, O.; Faugloire, E.; Flanagan, M.; Stoffregen, T.A. Motion Sickness, Console Video Games, and Head-Mounted Displays. Hum. Factors 2007, 49, 920–934. [Google Scholar] [CrossRef] [PubMed]
- Nguyen-Vo, T.; Riecke, B.E.; Stuerzlinger, W.; Pham, D.M.; Kruijff, E. NaviBoard and NaviChair: Limited Translation Combined with Full Rotation for Efficient Virtual Locomotion. IEEE TVCG 2019, 27, 165–177. [Google Scholar] [CrossRef]
- Zielasko, D.; Law, Y.C.; Weyers, B. Take a Look Around—The Impact of Decoupling Gaze and Travel-direction in Seated and Ground-based Virtual Reality Utilizing Torso-directed Steering. In Proceedings of the IEEE Conference on Virtual Reality and 3D User Interfaces (VR), Atlanta, GA, USA, 22–26 March 2020. [Google Scholar]
- Dennison, M.S.; D’Zmura, M. Cybersickness Without the Wobble: Experimental Results Speak Against Postural Instability Theory. Appl. Ergon. 2017, 58, 215–223. [Google Scholar] [CrossRef]
- Zielasko, D. Subject 001—A Detailed Self-Report of Virtual Reality Induced Sickness. In Proceedings of the IEEE VR Workshop on Immersive Sickness Prevention, Lisbon, Portugal, 28 March 2021. [Google Scholar]
- Zielasko, D.; Horn, S.; Freitag, S.; Weyers, B.; Kuhlen, T.W. Evaluation of Hands-Free HMD-Based Navigation Techniques for Immersive Data Analysis. In Proceedings of the IEEE Symposium on 3D User Interfaces (3DUI), Greenville, SC, USA, 19–20 March 2016; pp. 113–119. [Google Scholar]
- Hashemian, A.; Lotfaliei, M.; Adhikari, A.; Kruijff, E.; Riecke, B. HeadJoystick: Improving Flying in VR using a Novel Leaning-Based Interface. IEEE TVCG 2020. [Google Scholar] [CrossRef] [PubMed]
- Bos, J.E.; Bles, W.; Groen, E.L. A Theory on Visually Induced Motion Sickness. Displays 2008, 29, 47–57. [Google Scholar] [CrossRef]
- Kemeny, A.; George, P.; Mérienne, F.; Colombet, F. New VR Navigation Techniques to Reduce Cybersickness. Electron. Imaging 2017, 2017, 48–53. [Google Scholar]
- Farmani, Y.; Teather, R.J. Evaluating Discrete Viewpoint Control to Reduce Cybersickness in Virtual Reality. Virtual Real. 2020, 24, 1–20. [Google Scholar] [CrossRef]
- Sra, M.; Jain, A.; Maes, P. Adding Proprioceptive Feedback to Virtual Reality Experiences Using Galvanic Vestibular Stimulation. In Proceedings of the ACM CHI Conference on Human Factors in Computing Systems, Glasgow, UK, 4–9 May 2019; pp. 1–14. [Google Scholar]
- Chester, M.R.; Rys, M.J.; Konz, S.A. Leg Swelling, Comfort and Fatigue When Sitting, Standing, and Sit/Standing. Int. J. Ind. Ergon. 2002, 29, 289–296. [Google Scholar] [CrossRef]
- Garcia, M.G.; Wall, R.; Steinhilber, B.; Läubli, T.; Martin, B.J. Long-Lasting Changes in Muscle Twitch Force During Simulated Work While Standing or Walking. Hum. Factors 2016, 58, 1117–1127. [Google Scholar] [CrossRef]
- Zielasko, D.; Riecke, B.E. Either Give Me a Reason to Stand or an Opportunity to Sit in VR. In Proceedings of the IEEE VR Abstracts and Workshops, Atlanta, GA, USA, 22–26 March 2020; pp. 283–284. [Google Scholar] [CrossRef]
- Balasubramanian, V.; Adalarasu, K.; Regulapati, R. Comparing Dynamic and Stationary Standing Postures in an Assembly Task. Int. J. Ind. Ergon. 2009, 39, 649–654. [Google Scholar] [CrossRef]
- Gao, B.; Mai, Z.; Tu, H.; Duh, H.B.L. Evaluation of Body-centric Locomotion with Different Transfer Functions in Virtual Reality. In Proceedings of the IEEE Virtual Reality and 3D User Interfaces (VR), Lisbon, Portugal, 28 March 2021. [Google Scholar]
- LaViola, J.J., Jr.; Kruijff, E.; McMahan, R.P.; Bowman, D.; Poupyrev, I.P. 3D User Interfaces: Theory and Practice; Addison-Wesley Professional: New York, NY, USA, 2017. [Google Scholar]
- Cieślik, B.; Serweta, A.; Federico, S.; Szczepańska-Gieracha, J. Altered postural stability in elderly women following a single session of head-mounted display virtual reality. Acta Bioeng. Biomech. 2021, 23, 107–111. [Google Scholar] [CrossRef]
- Wu, F.; Rosenberg, E.S. Combining Dynamic Field of View Modification with Physical Obstacle Avoidance. In Proceedings of the IEEE VR Workshop on Immersive Sickness Prevention, Osaka, Japan, 23–27 March 2019. [Google Scholar]
- Simeone, A.L.; Velloso, E.; Gellersen, H. Substitutional Reality: Using the Physical Environment to Design Virtual Reality Experiences. In Proceedings of the 33rd Annual ACM Conference on Human Factors in Computing Systems, Seoul, Korea, 18–23 April 2015; pp. 3307–3316. [Google Scholar]
- Zielasko, D.; Weyers, B.; Kuhlen, T.W. A Non-Stationary Office Desk Substitution for Desk-Based and HMD-Projected Virtual Reality. In Proceedings of the IEEE VR Workshop on Immersive Sickness Prevention, Osaka, Japan, 23–27 March 2019. [Google Scholar]
- Sra, M.; Garrido-Jurado, S.; Schmandt, C.; Maes, P. Procedurally Generated Virtual Reality from 3D Reconstructed Physical Space. In Proceedings of the 22nd ACM Conference on Virtual Reality Software and Technology, Munich, Germany, 2–4 November 2016; pp. 191–200. [Google Scholar] [CrossRef]
- Hettinger, L.J.; Schmidt, T.; Jones, D.L.; Keshavarz, B. Illusory self-motion in virtual environments. In Handbook of Virtual Environments; Hale, K.S., Stanney, K.M., Eds.; CRC Press: Boca Raton, FL, USA, 2014; Chapter 18; pp. 435–466. [Google Scholar]
- Lawson, B.; Riecke, B.E. The perception of body motion. In Handbook of Virtual Environments: Design, Implementation, and Applications, 2nd ed.; Hale, K.S., Stanney, K.M., Eds.; CRC Press: Boca Raton, FL, USA, 2014; Chapter 7; pp. 163–195. [Google Scholar]
- Riecke, B.E. Compelling self-motion through virtual environments without actual self-motion: Using self-motion illusions (“vection”) to improve user experience in VR. In Virtual Reality; Kim, J.J., Ed.; InTechOpen: London, UK, 2011; Chapter 8; pp. 149–176. [Google Scholar] [CrossRef]
- Riecke, B.E.; Schulte-Pelkum, J. An integrative approach to presence and self-motion perception research. In Immersed in Media: Telepresence Theory, Measurement and Technology; Biocca, F., Freeman, J., IJsselsteijn, W., Lombard, M., Schaevitz, R.J., Eds.; Springer: Berlin, Germany, 2015. [Google Scholar] [CrossRef]
- Wong, S.C.P.; Frost, B.J. The effect of visual-vestibular conflict on the latency of steady-state visually induced subjective rotation. Percept. Psychophys. 1981, 30, 228–236. [Google Scholar] [CrossRef]
- Schulte-Pelkum, J. Perception of Self-Motion: Vection Experiments in Multi-Sensory Virtual Environments. Ph.D. Thesis, Ruhr-Universität Bochum, Bochum, Germany, 2007. [Google Scholar]
- Riecke, B.E. Simple user-generated motion cueing can enhance self-motion perception (Vection) in virtual reality. In Proceedings of the ACM Symposium on Virtual Reality Software and Technology, Limassol, Cyprus, 1–3 November 2005; pp. 104–107. [Google Scholar] [CrossRef]
- Riecke, B.E.; Schulte-Pelkum, J.; Caniard, F.; Bülthoff, H.H. Towards Lean and Elegant Self-Motion Simulation in Virtual Reality. In Proceedings of the IEEE Conference on Virtual Reality, Bonn, Germany, 12–16 March 2005; pp. 131–138. [Google Scholar] [CrossRef]
- Riecke, B.E.; Feuereissen, D. To move or not to move: Can active control and user-driven motion cueing enhance self-motion perception (“vection”) in Virtual Reality? In Proceedings of the ACM Symposium on Applied Perception SAP, Los Angeles, CA, USA, 3–4 August 2012; pp. 17–24. [Google Scholar] [CrossRef]
- Kruijff, E.; Marquardt, A.; Trepkowski, C.; Lindeman, R.W.; Hinkenjann, A.; Maiero, J.; Riecke, B.E. On Your Feet! Enhancing Vection in Leaning-Based Interfaces through Multisensory Stimuli. In Proceedings of the ACM Symposium on Spatial User Interaction, Tokyo, Japan, 15–16 October 2016; pp. 149–158. [Google Scholar] [CrossRef]
- Riecke, B.E.; Trepkowski, C.; Kruijff, E. Human Joystick: Enhancing Self-Motion Perception (Linear Vection) by using Upper Body Leaning for Gaming and Virtual Reality. iSpaceLab Tech. Rep. 2016, 2016, 1–12. [Google Scholar]
- Riecke, B.E.; Feuereissen, D.; Rieser, J.J. Auditory self-motion simulation is facilitated by haptic and vibrational cues suggesting the possibility of actual motion. ACM Trans. Appl. Percept. TAP 2009, 6, 20:1–20:22. [Google Scholar] [CrossRef]
- Riecke, B.E. Cognitive and higher-level contributions to illusory self-motion perception (vection): Does the possibility of actual motion affect vection? Jpn. J. Psychon. Sci. 2009, 28, 135–139. [Google Scholar]
- Lepecq, J.C.; Giannopulu, I.; Baudonniere, P.M. Cognitive effects on visually induced body motion in children. Perception 1995, 24, 435–449. [Google Scholar] [CrossRef] [PubMed]
- Kitson, A.; Riecke, B.E.; Hashemian, A.M.; Neustaedter, C. NaviChair: Evaluating an Embodied Interface Using a Pointing Task to Navigate Virtual Reality. In Proceedings of the ACM Symposium on Spatial User Interaction, Los Angeles, CA, USA, 8–9 August 2015; pp. 123–126. [Google Scholar] [CrossRef]
- Marchal, M.; Pettré, J.; Lécuyer, A. Joyman: A Human-Scale Joystick for Navigating in Virtual Worlds. In Proceedings of the IEEE Symposium on 3D User Interfaces (3DUI), Singapore, 19–20 March 2011; pp. 19–26. [Google Scholar] [CrossRef]
- Riecke, B.E.; Zielasko, D. Towards an Affordance of Embodied Locomotion Interfaces in VR: How to Know How to Move? In Proceedings of the IEEE VR Abstracts and Workshops, Atlanta, GA, USA, 22–26 March 2020; pp. 295–296. [Google Scholar] [CrossRef]
- Zielasko, D.; Riecke, B.E. Can We Give Seated Users in Virtual Reality the Sensation of Standing or Even Walking? Do We Want To? In Proceedings of the IEEE VR Abstracts and Workshops, Atlanta, GA, USA, 22–26 March 2020; pp. 281–282. [Google Scholar] [CrossRef]
- Drury, C.; Hsiao, Y.; Joseph, C.; Joshi, S.; Lapp, J.; Pennathur, P. Posture and Performance: Sitting vs. Standing for Security Screening. Ergonomics 2008, 51, 290–307. [Google Scholar] [CrossRef] [PubMed]
- Coomer, N.; Ladd, J.; Williams, B. Virtual Exploration: Seated versus Standing. In Proceedings of the Joint Conference on Computer Vision, Imaging and Computer Graphics Theory and Applications, Funchal, Madeira, Portugal, 27–29 January 2018; pp. 264–272. [Google Scholar] [CrossRef]
- Brachtendorf, K.; Weyers, B.; Zielasko, D. Towards Accessibility in VR—Development of an Affordable Motion Platform for Wheelchairs. In Proceedings of the IEEE VR Abstracts and Workshops, Atlanta, GA, USA, 22–26 March 2020; pp. 291–292. [Google Scholar] [CrossRef]
- Ferdous, S.M.S. Improve Accessibility of Virtual and Augmented Reality for People With Balance Impairments. In Proceedings of the IEEE Virtual Reality (VR), Los Angeles, CA, USA, 18–22 March 2017; pp. 421–422. [Google Scholar] [CrossRef]
- Parrish, K. Stand Up or Sit Down? Many Don’t Take Advantage of VR’s Room-Scale Experience. 2018. Available online: https://www.digitaltrends.com/computing/oculus-rift-owners-want-to-sit-for-vr-experiences/ (accessed on 20 April 2021).
















Publisher’s Note: MDPI stays neutral with regard to jurisdictional claims in published maps and institutional affiliations. |
© 2021 by the authors. Licensee MDPI, Basel, Switzerland. This article is an open access article distributed under the terms and conditions of the Creative Commons Attribution (CC BY) license (https://creativecommons.org/licenses/by/4.0/).
Share and Cite
Zielasko, D.; Riecke, B.E. To Sit or Not to Sit in VR: Analyzing Influences and (Dis)Advantages of Posture and Embodied Interaction. Computers 2021, 10, 73. https://doi.org/10.3390/computers10060073
Zielasko D, Riecke BE. To Sit or Not to Sit in VR: Analyzing Influences and (Dis)Advantages of Posture and Embodied Interaction. Computers. 2021; 10(6):73. https://doi.org/10.3390/computers10060073
Chicago/Turabian StyleZielasko, Daniel, and Bernhard E. Riecke. 2021. "To Sit or Not to Sit in VR: Analyzing Influences and (Dis)Advantages of Posture and Embodied Interaction" Computers 10, no. 6: 73. https://doi.org/10.3390/computers10060073
APA StyleZielasko, D., & Riecke, B. E. (2021). To Sit or Not to Sit in VR: Analyzing Influences and (Dis)Advantages of Posture and Embodied Interaction. Computers, 10(6), 73. https://doi.org/10.3390/computers10060073

