Simple Summary
Perioperative FLOT (5-fluorouracil, oxaliplatin and docetaxel) is a standard of care for patients with locally advanced gastro-oesophageal adenocarcinoma (GEA) in Western guidelines, but its use is limited in Asian patients. The aim of our retrospective study was to assess the safety and efficacy of perioperative FLOT in Asian patients from a single centre with routine granulocyte colony-stimulating factor (GCSF) prophylaxis. We demonstrate similar tolerability and efficacy for FLOT to that reported in Western populations but with lower rates of grade 3 to 4 neutropenia. Elderly patients ≥ 65 years old had similar outcomes to those under 65. However, patients of lower socioeconomic status were more likely to experience severe AEs, highlighting the need to proactively support vulnerable groups during treatment.
Abstract
Background: Perioperative FLOT (5-fluorouracil, oxaliplatin and docetaxel) is a standard of care for patients with locally advanced gastro-oesophageal adenocarcinoma (GEA) in Western guidelines, but its use is limited in Asian patients. We report outcomes from a single Asian centre of perioperative FLOT with concomitant granulocyte colony-stimulating factor (GCSF) prophylaxis. Methods: A retrospective analysis of all 56 stage II to III GEA patients treated with perioperative FLOT at the National Cancer Centre Singapore between June 2017 and February 2024 was performed. All patients were discussed at a multidisciplinary tumour board, underwent preoperative laparoscopic staging, and received prophylactic GCSF with perioperative FLOT. Surgery was performed across four partner institutions. The primary endpoints were the tolerability of FLOT and pathological complete response (pCR). A univariate analysis of factors associated with survival and adverse events was also performed. Results: Overall, 33 patients (58.9%) completed eight cycles of pre- and postoperative FLOT, and 92.9% underwent resection. The commonest grade 3 to 4 adverse events (AEs) were diarrhoea (10.7%) and neutropenia (5.6%). The 30- and 90-day postoperative mortality rates were 0% and 1.9%, respectively. In resected tumours, the pCR was 15.4%. The median DFS was 27.5 months, but the median OS was not reached. The values for 1-, 2-, and 3-year DFS were 74.6%, 61.0%, and 46.5%, respectively. The values for 1-, 2-, and 3-year OS were 85.0%, 67.4%, and 61.0%, respectively. In the univariate analysis of patients who underwent resection, an ECOG status of 0 was associated with better DFS, while ypN0, R0 resection, and pathological stages 0-II were associated with better DFS and OS. Patients ≥ 65 years benefited from FLOT similarly to those <65 years in terms of DFS (HR 1.03; p = 0.940) and OS (HR 1.08; p = 0.869), with similar rates of grade 3 to 4 AEs. Patients with a higher housing index (HI) were less likely to experience ≥grade 3 AEs compared to those with a lower HI (OR 0.16, p = 0.029). Conclusions: This study presents a unique real-world Asian experience of perioperative FLOT with prophylactic GCSF use, with low rates of G3 to 4 neutropenia. The tolerability of FLOT was similar to that reported in Western populations. Furthermore, similar survival and rates of grade 3 to 4 AEs were observed in elderly patients. Patients of lower socioeconomic status were more likely to experience severe AEs, highlighting the need to proactively support vulnerable groups during treatment.
1. Background
Gastric cancer is the fifth most common cancer and the fourth leading cause of cancer-associated mortality worldwide [1]. In patients with resectable gastric (GC) or gastroesophageal junction (GEJ) adenocarcinoma, adjuvant chemoradiation [2] and adjuvant [3,4,5] and perioperative chemotherapy improved survival compared to surgery alone [6,7]. In the pivotal MAGIC trial, perioperative ECF chemotherapy significantly improved overall survival (OS) (hazard ratio [HR]: 0.75) and 5-year OS by 13% [6]. Similar results were seen in the FNLCC/FFCD trial using 5-fluorouracil plus cisplatin [7]. Subsequently, the FLOT4 study demonstrated superior pathological response, R0 resection rates, and survival with perioperative FLOT compared to ECF or ECX chemotherapy and has become the standard of care for locally advanced resectable gastric or gastro-oesophageal adenocarcinoma, particularly in Western guidelines [8,9]. More recently, the ESOPEC study has demonstrated the superiority of perioperative FLOT over preoperative chemoradiation with carboplatin and paclitaxel in resectable GEJ and esophageal adenocarcinomas [10].
Worldwide, there are geographical differences in treatment strategies for locally advanced resectable GC and GEJ cancer. In East Asian countries, upfront resection followed by adjuvant chemotherapy is the preferred approach, with preoperative chemotherapy reserved for tumours that are clinically T4 or with bulky nodes [11,12]. However, non-FLOT regimens such as DOS [13,14], SOX [15,16], and S1-cisplatin [11] are more commonly used. FLOT is associated with higher rates of grade 3 to 4 neutropenia and diarrhoea compared to ECF/ECX [17,18]. Studies of perioperative FLOT in Asian gastric cancer patients are limited [19,20,21]. Furthermore, docetaxel has also been reported to have higher rates of adverse events (AEs), such as neutropenia in Asian patients [22]. There is also concern over the tolerability of FLOT in elderly patients; in the FLOT4 study, only 24% of patients were ≥70 years old [18]. In comparison, when compared with doublet chemotherapy in the metastatic setting, elderly patients ≥65 years receiving modified FLOT in the GASTFOX study [23] did not appear to have an OS benefit, while in the FLOT65+ study [24], elderly patients ≥70 years receiving FLOT had no PFS benefit. Here, we present our experience of FLOT with prophylactic GCSF (granulocyte colony-stimulating factor) support in a single Asian centre and examine factors that may be associated with toxicity and efficacy.
2. Methods
2.1. Study Population
A retrospective review of 56 consecutive patients with resectable or borderline resectable gastro-oesophageal adenocarcinoma (GEA) treated with perioperative FLOT at the National Cancer Centre Singapore (NCCS) between June 2017 and February 2024 was performed.
2.2. Diagnosis and Treatment
Patients with histologically confirmed gastric and GEJ adenocarcinoma underwent preoperative staging with computed tomography (CT) of the thorax, abdomen, and pelvis or PET (positron emission tomography)/CT as well as preoperative laparoscopic staging with peritoneal washings. Clinicopathological staging was carried out in accordance with the 8th edition of the American Joint Committee on Cancer (AJCC) Tumour–Node–Metastasis (TNM) classification [25].
Primary tumour location was classified according to the Siewert classification for GEJ cancer. All patients received a perioperative FLOT regimen, as previously described [18], and prophylactic GCSF (Day 3–5 or pegylated Day 3). Dose modifications, delays, and treatment cessation were performed at the discretion of the primary physician.
All cases were discussed at multidisciplinary meetings, and surgery was undertaken across 4 hospitals, which were local to the patient. For gastric cancers, gastrectomy with D2 dissection was performed. For GEJ tumours, esophagectomy with 2-field nodal dissection was performed.
2.3. Data Collection and Study Endpoints
Clinical data collected from electronic medical records included demographic information, histology, stage at diagnosis, type of surgery, chemotherapy intensity, resection margin status, pathological staging and histology, mismatch repair (MMR) status, AEs, and tumour response grading (TRG). AEs were graded according to the National Cancer Institute Common Terminology Criteria for AEs version 5.0 [26]. TRG was determined using the National Comprehensive Cancer Network and College of American Pathologists (NCCN-CAP) grading system [8,27]. Socioeconomic status, using the housing index for each patient, was also analysed, as previously described [28].
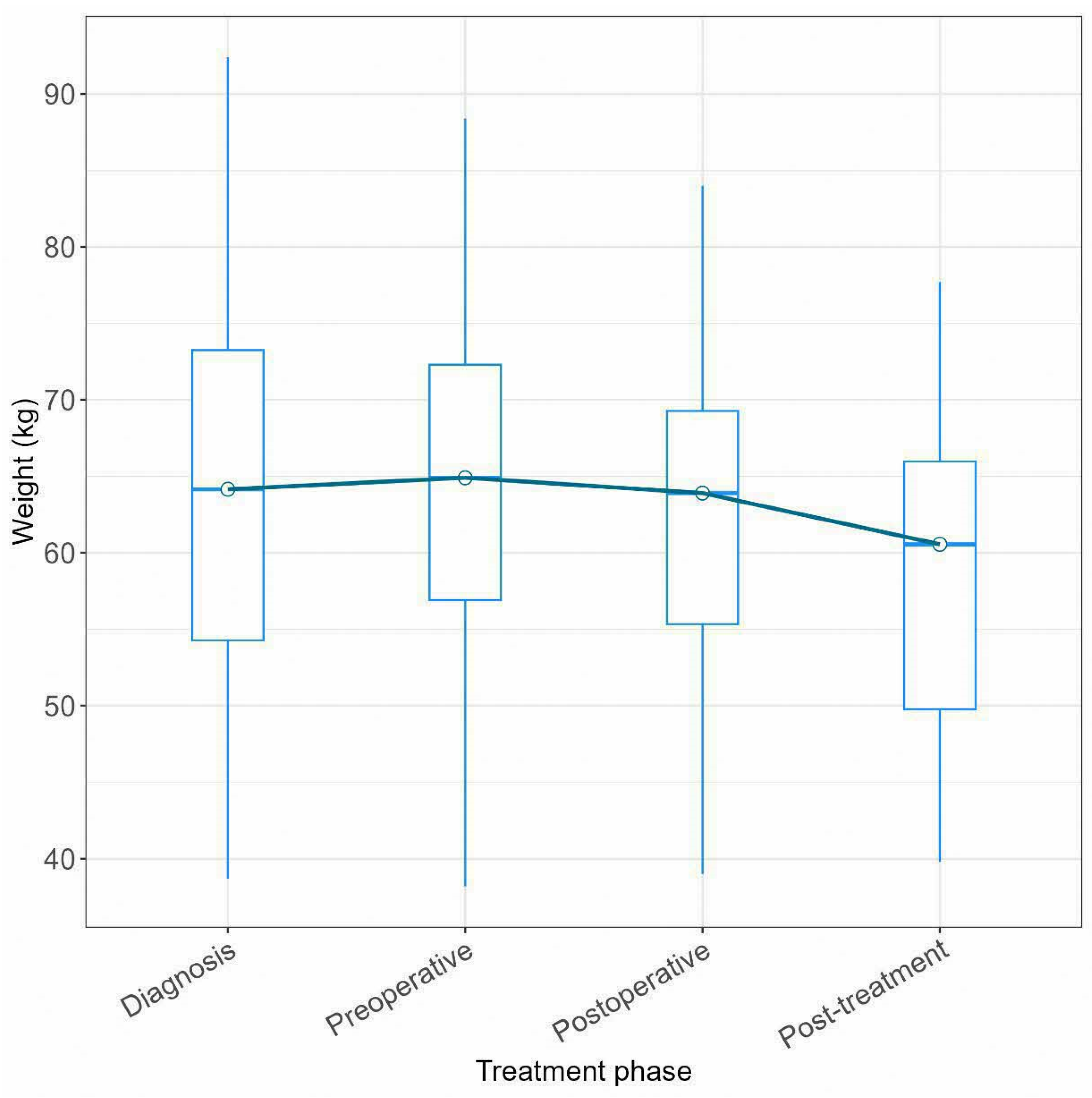
Weight collected at 4 time points was analysed: at diagnosis, preoperatively, postoperatively, and post-treatment. Preoperative weight was the closest weight recorded before cycle 4 of preoperative FLOT and surgery. Postoperative weight was the closest weight recorded to the date of surgery. Post-treatment weight was the latest weight recorded prior to and up to 3 weeks after the last cycle of postoperative FLOT.
The primary endpoints of this study were the evaluation of pathological complete response (pCR; NCCN-CAP TRG 0) and the safety of perioperative FLOT.
The secondary endpoints were DFS and OS. Safety data, treatment compliance, and the correlation of clinical, demographic, and pathological factors with survival outcomes were analysed.
2.4. Statistical Analysis
OS was defined as the time from the date of initiation of preoperative FLOT treatment until the date of death from any cause or last follow-up. DFS was defined as the period from the date of initiation of preoperative FLOT treatment until the date of progression, relapse, death, or last follow-up. The median weight of patients at different phases of treatment were compared using the Wilcoxon signed rank test. Univariable logistic regression analyses were carried out to assess the relationship between the variables and the prevalence of AEs. OS and DFS were estimated with their corresponding two-sided 95% confidence interval (CI) using the Kaplan–Meier method. The reverse Kaplan–Meier method was used to estimate the median follow-up time and corresponding two-sided 95% CI. Univariable cox regression analysis was performed to assess the association between the variables and survival time. All p-values were two-sided, and those less than 0.05 were considered statistically significant. Statistical analyses were performed by using R software (version 4.2.0). The manuscript was written in accordance with the STROBE guidelines [29].
2.5. Ethics Approval
The SingHealth Central Institutional Review Board granted ethical approval for this study (2018/3046, 2023/2173, 2015/2363). Patient details were anonymised prior to data analysis. Written informed consent was obtained for patients who were alive. Consent was waived for patients who died or were lost to follow-up.
3. Results
3.1. Patient Characteristics
Between June 2017 and February 2024, a total of 56 patients received perioperative FLOT. Forty-seven patients (84%) were male, and 9 patients (16%) were female. The median age was 64 years (range: 37 to 74), and 44.6% and 14.3% of patients were ≥65 years and ≥70 years, respectively. There were more GEJ than gastric tumours (59% vs. 41%, respectively). All patients had an ECOG status of 0 or 1. The presence of signet ring cells was reported in 12 (21.4%) patients. At diagnosis, 91.1% (n = 51) patients had clinical stage T3-4, and 76.8% (n = 43) had nodal involvement. MMR status was reported in 76.8% (n = 43) of patients; 3.6% (n = 2) were dMMR, and 73.2% (n = 41) were pMMR. The baseline characteristics are shown in Table 1.
Table 1.
Baseline demographic and disease characteristics of a cohort (n = 56) of resectable GEA patients treated with perioperative FLOT in a real-world setting.
3.2. Treatment Exposure
Treatment exposure data are shown in Figure 1. Forty-eight patients (85.7%) completed four preoperative cycles of FLOT, of whom 39 patients (69.6%) did not require dose reductions. Thirty-seven patients (66.1%) received postoperative FLOT. Two patients received all eight cycles of FLOT preoperatively due to the resection margin being at risk or inadequate fitness for surgery. Thirty-three patients (58.9%) completed eight cycles of pre- and postoperative FLOT. Three patients received radiotherapy; two for R1 resection and one preoperatively for tumour bleeding. Supplementary Table S1 summarises the data on perioperative FLOT. All patients received prophylactic GCSF; 35 (64.8%) patients received daily GCSF, 19 (33.6%) patients received pegylated GCSF, and 2 (3.6%) patients received both.
Figure 1.
Treatment exposure (n = 56).
3.3. Safety
AEs are reported in Table 2. diarrhoea was the most commonly reported G3 to 4 AE at 10.7%, followed by neutropenia (5.4%) and vomiting (5.4%). Febrile neutropenia was reported in 3.6% of all patients. The commonest AEs overall were diarrhoea (46.4%), nausea (33.9%), and neuropathy (37.5%). Notably, there was no G3 to 4 neuropathy.
Table 2.
Chemotherapy-associated adverse events.
The values of 30-day and 90-day postoperative mortality were 0% and 1.9%, respectively. Postoperative complications of Clavien–Dindo grade 3 and above were reported in 25.0% of patients.
The univariate analysis of factors associated with AEs is shown in Supplementary Tables S2 and S3, respectively. Patients with an ECOG status of 1 (odds ratio (OR) 0.14, p = 0.048) and node-negative disease (OR 0.05, p = 0.013) were less likely to experience AEs of all grades. Patients with a medium housing index were less likely to experience G3 and above AEs compared to those with a low housing index (OR 0.16, p = 0.029). There was no difference in G3 to 4 AEs between patients ≥65 years and <65 years (OR 0.28, p = 0.087).
3.4. Surgical and Pathological Findings
Of the 56 patients (92.9%), 52 underwent surgical resection. The reasons for not proceeding to surgery were the development of distant metastasis (n = 1), refusal of surgery (n = 1), sudden death (n = 1), and transfer of care to another institution (n = 1).
The surgery and pathology results are shown in Supplementary Table S4. Of the 52 patients who underwent surgery, the type of resection was total gastrectomy in 19 (36.5%), subtotal gastrectomy in 10 (19.2%), and esophagectomy in 20 (38.4%). The R0 resection rate was 75.0%. Pathological stages ypT0 and ypN0 were achieved in 15.4% and 42.3%, respectively, and pCR was achieved in 15.4%.
3.5. Weight Trend and Data
There was no significant weight loss during preoperative FLOT (Figure 2), but a significant decrease in median weight of 5.5 kg was observed between the preoperative and post-treatment phase (p < 0.001; Supplementary Table S5). Interestingly, there was no significant difference in the completion rate of all four cycles of postoperative FLOT in those with ≥ grade 2 compared with < grade 2 weight loss from baseline to the end of FLOT treatment (68.8% vs. 42.5%; p = 0.519).
Figure 2.
Median weight at different treatment phases.
3.6. Survival Outcomes
At the time of analysis, the median follow-up duration was 38.8 months. Fifteen patients died, and one patient was lost to follow-up. Of the patients who underwent surgical resection, 1 (1.9%) experienced local recurrence, 13 (25.0%) developed distant recurrence, and 3 (5.8%) had both local and distant recurrence.
The median DFS was 27.5 months (95% CI 22.5–47.6) (Figure 3). The 1-year, 2-year, and 3-year DFS rates were 74.6%, 61.0%, and 46.5%, respectively. Median OS was not reached (Figure 4). The 1-year, 2-year, and 3-year OS rates were 85.0%, 67.4%, and 61.0%, respectively.
Figure 3.
Disease-free survival. The grey area represents the 95% confidence interval.
Figure 4.
Overall survival. The grey area represents the 95% confidence interval.
In the univariate analysis, in patients who underwent resection, patients who achieved ypN0 had better DFS, with a HR of 0.10 (p < 0.01), and OS, with a HR of 0.14 (p = 0.011), compared to those with pathological node positivity. Patients with pathological stage III–IV disease had worse DFS (HR 3.04, p = 0.026) and OS (HR 3.63, p = 0.014) compared to patients with pathological stage 0-II disease (Supplementary Figure S1). DFS and OS were better in patients who achieved R0 resection (DFS HR 0.34 [p = 0.045], OS HR 0.17 [p < 0.01]) compared to those with positive resection margins (Supplementary Figure S1). DFS was worse in patients with an ECOG status of 1 compared to an ECOG status of 0 (HR 2.72 [p = 0.039]). OS was significantly longer in patients who had <G3 Clavien–Dindo complications (HR 0.30 [p = 0.022]) compared to those who with ≥G3. In contrast, there was no significant difference in survival between patients who achieved pCR and those who did not (DFS HR 0.28 [p = 0.220], OS HR 0.35 [p = 0.316]). There was also no difference in DFS (HR 1.03, p = 0.940) and OS (HR 1.08, p = 0.869) for patients <65 years and ≥65 years. The univariate analyses for DFS and OS are summarised in Supplementary Table S6 and Table 3, respectively.
Table 3.
Univariate analysis for OS.
4. Discussion
Perioperative FLOT has become a standard of care for fit patients with locally advanced GEA in Western populations since the publication of the FLOT4-AIO study [8,9,17]. Since then, multiple studies on the real-world outcomes of perioperative FLOT in the Western population have been reported [30,31,32,33]. Some Asian countries have also evaluated the feasibility and tolerability of FLOT in the real-world setting, some of which utilised a modified FLOT regimen [19,20,21]. We present a unique Asian experience with prophylactic GCSF use to address the issue of higher rates of neutropenia with FLOT and docetaxel use in Asian patients [17,18,22].
In our centre, patients with ≥T3Nx GEJ and cT4 and/or bulky nodal burden gastric tumours are selected for perioperative chemotherapy, while less locally advanced tumours are resected upfront. This is reflected in the high rates of cT3/4 (91.1%) and cN+ (76.8%) tumours and R0 rate of 75%. Similarly, in the RESOLVE study, which selected for cT4 tumours [15], only 67% of patients in the perioperative chemotherapy group proceeded with the planned surgery, reflecting this challenging population. Nonetheless, our median DFS and 3-year OS rate are similar to those reported in the FLOT4 study [18], and our median OS is comparable to other Asian studies [20].
In our study, pCR was seen in 15.4% of resected tumours. This result is similar to that in the FLOT4-AIO study (16%) and NeoFLOT study (20.0%) [17,34] and higher than that in the MATTERHORN study (7%) [35]. Other real-world studies also report pCR rates of between 7.3% and 21.3% [30,32,36].
Treatment exposure in our study was comparable to the FLOT4-AIO study; 30.4% of our patients required dose reduction de-intensification, or discontinuation of FLOT in the preoperative phase compared to 26% in the FLOT4-AIO study [17]. The rate of completion of four and eight cycles of FLOT was also comparable to the FLOT4-AIO study [18].
Contrary to the FLOT4-AIO study, where the rate of G3 to 4 neutropenia was 52% [17], G3 to 4 neutropenia was reported in only 5.6% of our study population. This is also lower than other real-world studies, which report G3 to 4 neutropenia rates of 9.6% to 59.1% [19,20,30,32,36]. The rate of febrile neutropenia (3.4%) was also slightly lower than in the FLOT4-AIO study (5%) and other real-world studies (4.4–5.5%) [17,30,32]. This is likely due to the use of prophylactic GCSF for all patients. The most common G3 to 4 AE in our study was diarrhoea (10.7%), which was higher than in the FLOT4-AIO study (7%) [36]. Other real-world studies report G3-4 diarrhoea rates of 3.5% to 15.9% [19,20,30,32,36]. We also examined predictors of toxicity in our Asian population. Notably, we found that patients of higher socioeconomic status, as measured by housing index, were less likely to experience G3 and above AEs compared to those of lower status (OR 0.16, p = 0.029). This highlights the potential disparity in outcomes and tolerability of treatment in different socioeconomic groups as well as the importance of measures to support these vulnerable groups. A validated Singapore Housing Index (SHI) has been shown to have significant associations with survival outcomes in other forms of cancer as well in our local population [28,37]. While previous Western data suggest that socioeconomic deprivation is not associated with survival outcomes in the setting of curative oesophageal carcinoma surgery [38], other Western studies have shown that ethnic minorities have poorer outcomes [39,40]. These findings may not be applicable to all Asian countries due to different social support and healthcare funding systems.
In our study, the DFS, OS, and rates of G3-4 AEs were not significantly different between patients ≥65 years and <65 years. A similar OS benefit with FLOT was also seen in the AIO-FLOT4 study in patients ≥70 years and <70 years, suggesting that FLOT treatment can be considered in fit elderly Asian patients. In Asia, the DOS regimen, which has a lower docetaxel dose intensity, has also shown survival benefits when given in a preoperative setting in the PRODIGY study [13], and the ongoing JCOG2204 trial [41] is currently comparing these two neoadjuvant regimens. Similar regimens such as DOC have also been evaluated as preoperative regimens [42]
Significant changes in the median weight of our study population were noted in the postoperative phase of treatment. Studies have shown that significant weight loss and sarcopenia have detrimental effects on survival outcomes for GEA patients receiving perioperative FLOT [43,44]. These emphasise the importance of greater emphasis on dietary and rehabilitation support in the postoperative phase of treatment.
Our study has limitations due to the small sample size and retrospective nature of the analysis, with a relatively short duration of follow-up. In addition, only 14% of the patients were ≥70 years old. The small sample size is contributed to by the fact that only patients with more locally advanced disease were selected for perioperative treatment. Additionally, we do not have data on the impact on quality of life in our patients who undergo perioperative FLOT. The majority of our patients (78.6%) also had an ECOG status of 0. Nonetheless, we demonstrate that perioperative FLOT is tolerable in an Asian setting with low rates of neutropenia and neutropenic sepsis with prophylactic GCSF. In addition, despite selecting for patients with cT4 tumours or bulky lymph nodes, similar pathological complete response rates and survival outcomes were achieved compared to the FLOT4-AIO study.
5. Conclusions
This study presents a unique real-world Asian experience of perioperative FLOT with prophylactic GCSF use. The use of prophylactic GCSF reduced the rates of G3-4 neutropenia. Similar pathological complete response rates and survival outcomes were seen when compared to Western and real-world studies. We also found no differences in survival and toxicities between patients ≥ 65 years and <65 years, demonstrating the efficacy and tolerability of FLOT in elderly Asian patients. Patients of lower socioeconomic status, as represented by housing index, have poorer tolerability of FLOT, highlighting the importance of proactive measures to anticipate challenges and support vulnerable groups during treatment.
Supplementary Materials
The following supporting information can be downloaded at https://www.mdpi.com/article/10.3390/cancers16213697/s1: Table S1: Data on perioperative FLOT in a cohort of resectable GEA patients; Table S2: Odds ratio of patients and tumour characteristics for all AEs; Table S3: Odds ratio of patient and tumour characteristics for G3-4 AEs; Table S4: Surgical and pathological findings of GEA patients who underwent surgery; Table S5: Comparison between median weight at different treatment phases (Wilcoxon signed rank test) in a cohort of resectable GEA patients; Table S6: Univariate analysis for DFS; Figure S1: Kaplan–Meier curves for DFS and OS.
Author Contributions
Conceptualization, W.K., K.Y.Y.N. and M.C.H.N.; methodology, W.K., K.Y.Y.N. and M.C.H.N.; software, S.Z.L. and S.Z.; validation, S.Z.L., S.Z. and C.J.Z.L.; formal analysis, S.Z.L. and S.Z.; investigation, W.K., K.Y.Y.N. and C.J.Z.L.; resources, S.K.C., C.W.L., J.Y.C.L., J.T.H.T., H.S.O., W.H.C., E.K.W.L., C.H.L., A.K.H.E. and M.C.H.N.; data curation, W.K., K.Y.Y.N., S.Z.L., S.Z. and C.J.Z.L.; writing—original draft preparation, W.K. and K.Y.Y.N.; writing—review and editing, W.K., K.Y.Y.N. and M.C.H.N.; visualisation, M.C.H.N.; supervision, M.C.H.N.; project administration, M.C.H.N. All authors have read and agreed to the published version of the manuscript.
Funding
This research was supported by the Wee Boon Hee and Lina Tan Ai Leen Gastrointestinal Cancer Programme Fund (SingHealth Oncology Academic Clinical Programme).
Institutional Review Board Statement
This study was conducted in accordance with the Declaration of Helsinki and approved by the SingHealth Central Institutional Review Board (2018/3046 [Date of renewal of approval: 2 March 2024], 2023/2173 [Date of renewal of approval: 22 August 2024], 2015/2363 [Date of renewal of approval 2 July 2024]).
Informed Consent Statement
Informed consent was obtained from subjects involved in the study. Patient consent was waived for subjects under the SingHealth Central Institutional Review Board (IRB) 2015/2326 as this is an anchor IRB for patients who have passed away.
Data Availability Statement
The original contributions presented in this study are included in the article/supplementary material. Further inquiries can be directed to the corresponding author.
Conflicts of Interest
The authors declare no conflicts of interest.
References
- Thrift, A.P.; Wenker, T.N.; El-Serag, H.B. Global burden of gastric cancer: Epidemiological trends, risk factors, screening and prevention. Nat. Rev. Clin. Oncol. 2023, 20, 338–349. [Google Scholar] [CrossRef] [PubMed]
- Macdonald, J.S.; Smalley, S.R.; Benedetti, J.; Hundahl, S.A.; Estes, N.C.; Stemmermann, G.N.; Haller, D.G.; Ajani, J.A.; Gunderson, L.L.; Jessup, J.M.; et al. Chemoradiotherapy after Surgery Compared with Surgery Alone for Adenocarcinoma of the Stomach or Gastroesophageal Junction. N. Engl. J. Med. 2001, 345, 725–730. [Google Scholar] [CrossRef] [PubMed]
- Bang, Y.-J.; Kim, Y.-W.; Yang, H.-K.; Chung, H.C.; Park, Y.-K.; Lee, K.H.; Lee, K.-W.; Kim, Y.H.; Noh, S.-I.; Cho, J.Y.; et al. Adjuvant capecitabine and oxaliplatin for gastric cancer after D2 gastrectomy (CLASSIC): A phase 3 open-label, randomised controlled trial. Lancet 2012, 379, 315–321. [Google Scholar] [CrossRef] [PubMed]
- Sakuramoto, S.; Sasako, M.; Yamaguchi, T.; Kinoshita, T.; Fujii, M.; Nashimoto, A.; Furukawa, H.; Nakajima, T.; Ohashi, Y.; Imamura, H.; et al. Adjuvant Chemotherapy for Gastric Cancer with S-1, an Oral Fluoropyrimidine. N. Engl. J. Med. 2007, 357, 1810–1820. [Google Scholar] [CrossRef] [PubMed]
- Kodera, Y.; Yoshida, K.; Kochi, M.; Sano, T.; Ichikawa, W.; Kakeji, Y.; Sunakawa, Y.; Takeuchi, M.; Fujii, M. Addition of docetaxel to S-1 results in significantly superior 5-year survival outcomes in Stage III gastric cancer: A final report of the JACCRO GC-07 study. Gastric Cancer 2023, 26, 1063–1068, Erratum in Gastric Cancer 2024, 27, 1157. [Google Scholar] [CrossRef] [PubMed] [PubMed Central]
- Cunningham, D.; Allum, W.H.; Stenning, S.P.; Thompson, J.N.; Van de Velde, C.J.H.; Nicolson, M.; Scarffe, J.H.; Lofts, F.J.; Falk, S.J.; Iveson, T.J.; et al. Perioperative Chemotherapy versus Surgery Alone for Resectable Gastroesophageal Cancer. N. Engl. J. Med. 2006, 355, 11–20. [Google Scholar] [CrossRef]
- Ychou, M.; Boige, V.; Pignon, J.-P.; Conroy, T.; Bouché, O.; Lebreton, G.; Ducourtieux, M.; Bedenne, L.; Fabre, J.-M.; Saint-Aubert, B.; et al. Perioperative Chemotherapy Compared With Surgery Alone for Resectable Gastroesophageal Adenocarcinoma: An FNCLCC and FFCD Multicenter Phase III Trial. J. Clin. Oncol. 2011, 29, 1715–1721. [Google Scholar] [CrossRef]
- National Comprehensive Cancer Network Gastric Cancer (Version 2.2024). Available online: https://www.nccn.org/professionals/physician_gls/pdf/gastric.pdf (accessed on 4 June 2024).
- Lordick, F.; Carneiro, F.; Cascinu, S.; Fleitas, T.; Haustermans, K.; Piessen, G.; Vogel, A.; Smyth, E.C. Gastric cancer: ESMO Clinical Practice Guideline for diagnosis, treatment and follow-up. Ann. Oncol. 2022, 33, 1005–1020. [Google Scholar] [CrossRef]
- Brunner, T.; Lordick, F.; Schmoor, C.; Kulemann, B.; Neumann, U.P.; Folprecht, G.; Keck, T.; Benedix, F.; Schmeding, M.; Reitsamer, E.; et al. Prospective randomized multicenter phase III trial comparing perioperative chemotherapy (FLOT protocol) to neoadjuvant chemoradiation (CROSS protocol) in patients with adenocarcinoma of the esophagus (ESOPEC trial). J. Clin. Oncol. 2024, 42 (Suppl. 17), 3. [Google Scholar] [CrossRef]
- Japanese Gastric Cancer Association. Japanese Gastric Cancer Treatment Guidelines 2021 (6th edition). Gastric Cancer 2023, 26, 1–25. [Google Scholar] [CrossRef]
- Kim, T.-H.; Kim, I.-H.; Kang, S.J.; Choi, M.; Kim, B.-H.; Eom, B.W.; Kim, B.J.; Min, B.-H.; Choi, C.I.; Shin, C.M.; et al. Korean Practice Guidelines for Gastric Cancer 2022: An Evidence-based, Multidisciplinary Approach. J. Gastric Cancer 2023, 23, 3–106. [Google Scholar] [CrossRef] [PubMed]
- Kang, Y.K.; Yook, J.H.; Park, Y.K.; Lee, J.S.; Kim, Y.W.; Kim, J.Y.; Ryu, M.H.; Rha, S.Y.; Chung, I.J.; Kim, I.H.; et al. PRODIGY: A Phase III Study of Neoadjuvant Docetaxel, Oxaliplatin, and S-1 Plus Surgery and Adjuvant S-1 Versus Surgery and Adjuvant S-1 for Resectable Advanced Gastric Cancer. J. Clin. Oncol. 2021, 39, 2903–2913. [Google Scholar] [CrossRef] [PubMed] [PubMed Central]
- Kang, Y.K.; Kim, H.D.; Yook, J.H.; Park, Y.K.; Kim, Y.W.; Kim, J.Y.; Ryu, M.H.; Rha, S.Y.; Chung, I.J.; Kim, I.H.; et al. Neoadjuvant docetaxel, oxaliplatin, and s-1 plus surgery and adjuvant s-1 for resectable advanced gastric cancer: Final survival outcomes of the randomized phase 3 PRODIGY trial. J. Clin. Oncol. 2023, 41 (Suppl. 16), 4067. [Google Scholar] [CrossRef]
- Zhang, X.; Liang, H.; Li, Z.; Xue, Y.; Wang, Y.; Zhou, Z.; Yu, J.; Bu, Z.; Chen, L.; Du, Y.; et al. Perioperative or postoperative adjuvant oxaliplatin with S-1 versus adjuvant oxaliplatin with capecitabine in patients with locally advanced gastric or gastro-oesophageal junction adenocarcinoma undergoing D2 gastrectomy (RESOLVE): An open-label, superiority and non-inferiority, phase 3 randomised controlled trial. Lancet Oncol. 2021, 22, 1081–1092, Erratum in Lancet Oncol. 2021, 22, e347. [Google Scholar] [CrossRef] [PubMed]
- Wang, X.; Lu, C.; Wei, B.; Li, S.; Li, Z.; Xue, Y.; Ye, Y.; Zhang, Z.; Sun, Y.; Liang, H.; et al. Perioperative versus adjuvant S-1 plus oxaliplatin chemotherapy for stage II/III resectable gastric cancer (RESONANCE): A randomized, open-label, phase 3 trial. J. Hematol. Oncol. 2024, 17, 17. [Google Scholar] [CrossRef] [PubMed] [PubMed Central]
- Al-Batran, S.-E.; Hofheinz, R.D.; Pauligk, C.; Kopp, H.-G.; Haag, G.M.; Luley, K.B.; Meiler, J.; Homann, N.; Lorenzen, S.; Schmalenberg, H.; et al. Histopathological regression after neoadjuvant docetaxel, oxaliplatin, fluorouracil, and leucovorin versus epirubicin, cisplatin, and fluorouracil or capecitabine in patients with resectable gastric or gastro-oesophageal junction adenocarcinoma (FLOT4-AIO): Results from the phase 2 part of a multicentre, open-label, randomised phase 2/3 trial. Lancet Oncol. 2016, 17, 1697–1708. [Google Scholar] [CrossRef]
- Al-Batran, S.-E.; Homann, N.; Pauligk, C.; Goetze, T.O.; Meiler, J.; Kasper, S.; Kopp, H.-G.; Mayer, F.; Haag, G.M.; Luley, K.; et al. Perioperative chemotherapy with fluorouracil plus leucovorin, oxaliplatin, and docetaxel versus fluorouracil or capecitabine plus cisplatin and epirubicin for locally advanced, resectable gastric or gastro-oesophageal junction adenocarcinoma (FLOT4): A randomised, phase 2/3 trial. Lancet 2019, 393, 1948–1957. [Google Scholar] [CrossRef]
- Takei, S.; Kawazoe, A.; Jubashi, A.; Komatsu, M.; Sato, K.; Mishima, S.; Kotani, D.; Yura, M.; Sakamoto, N.; Sakashita, S.; et al. Safety and efficacy of perioperative FLOT regimen in Japanese patients with gastric, esophagogastric junction, or esophageal adenocarcinoma: A single-institution experience. ESMO Gastrointest. Oncol. 2024, 4, 100050. [Google Scholar] [CrossRef]
- Bhargava, P.; Das, S.; Ostwal, V.; Srinivas, S.; Bhandare, M.; Chaudhari, V.; Bal, M.; Mantri, A.; Kapoor, A.; Shrikhande, S.V.; et al. An Analysis of Tolerance and Early Survival Outcomes with Perioperative Modified FLOT in Gastric Cancers. S. Asian J. Cancer 2022, 11, 112–117. [Google Scholar] [CrossRef]
- Ramaswamy, A.; Bhargava, P.; Srinivas, S.; Kannan, S.; Bhandare, M.; Chaudhari, V.; Mantri, A.; Kapoor, A.; Das, S.; Booma, N.; et al. Perioperative Modified FLOT Versus EOX in Locally Advanced Resectable Gastric and Gastro-Oesophageal Junction Adenocarcinoma: Results of a Matched-Pair Analysis. J. Gastrointest. Cancer 2023, 54, 820–828. [Google Scholar] [CrossRef]
- Kenmotsu, H.; Tanigawara, Y. Pharmacokinetics, dynamics and toxicity of docetaxel: Why the Japanese dose differs from the Western dose. Cancer Sci. 2015, 106, 497–504. [Google Scholar] [CrossRef] [PubMed]
- Zaanan, A.; Bouche, O.; de la Fouchardiere, C.; Samalin-Scalzi, E.; Malicot, K.L.; Pernot, S.; Artru, P.; Lebrun, V.L.; Aldabbagh, K.; Akouz, F.K.; et al. LBA77 5-fluorouracil and oxaliplatin with or without docetaxel in the first-line treatment of HER2 negative locally advanced (LA) unresectable or metastatic gastric or gastro-esophageal junction (GEJ) adenocarcinoma (GASTFOX-PRODIGE 51): A randomized phase III trial sponsored by the FFCD. Ann. Oncol. 2023, 34, S1318. [Google Scholar] [CrossRef]
- Al-Batran, S.; Ho-mann, N.; Hartmann, J.T.; Moehler, M.H.; Pauligk, C.; Probst, S.; Rethwisch, V.; Prasnikar, N.; Stoehlmacher, J.; Jaeger, E. 5-fluorouracil, leucovorin, and oxaliplatin with or without docetaxel in elderly (65 years or older) patients with esophagogastric cancer: FLOT65+ trial of the Arbeitsgemeinschaft Internistische Onkologie (AIO). J. Clin. Oncol. 2010, 28, 4013. [Google Scholar] [CrossRef]
- Amin, M.B.; Edge, S.B.; Greene, F.L.; Brierley, J.D. AJCC Cancer Staging Manual, 8th ed.; Springer: New York, NY, USA, 2017; Available online: https://scholar.google.com/scholar_lookup?title=AJCC+cancer+staging+manual&author=MB+Amin&author=SB+Edge&author=FL+Greene&author=JD+Brierley&publication_year=2017& (accessed on 4 June 2024).
- US Department of Health and Human Services. Common Terminology Criteria for Adverse Events (CTCAE) Version 5; US Department of Health and Human Services, National Institutes of Health, National Cancer Institute: Washington, DC, USA, 2017.
- Burgart, J.J.; Chopp, W.V.; Jain, D. Protocol for the Examination of Specimens from Patients with Carcinoma of the Stomach; College of American Pathologists: Northfield, IL, USA, 2022; Available online: https://scholar.google.com/scholar_lookup?title=Protocol+for+the+Examination+of+Specimens+from+Patients+with+Carcinoma+of+the+Stomach&author=J.J.+Burgart&author=W.V.+Chopp&author=D.+Jain&publication_year=2022& (accessed on 4 June 2024).
- Wong, F.Y.; Wong, R.X.; Zhou, S.; Ong, W.S.; Pek, P.P.; Yap, Y.-S.; Tan, B.K.T.; Ngeow, J.Y.Y.; Tan, V.K.M.; Sim, Y.; et al. Effects of housing value and medical subsidy on treatment and outcomes of breast cancer patients in Singapore: A retrospective cohort study. Lancet Reg. Health—West. Pac. 2021, 6, 100065. [Google Scholar] [CrossRef] [PubMed]
- Vandenbroucke, J.P.; von Elm, E.; Altman, D.G.; Gøtzsche, P.C.; Mulrow, C.D.; Pocock, S.J.; Poole, C.; Schlesselman, J.J.; Egger, M. Strengthening the Reporting of Observational Studies in Epidemiology (STROBE): Explanation and Elaboration. PLoS Med. 2007, 4, e297. [Google Scholar] [CrossRef] [PubMed] [PubMed Central]
- Giommoni, E.; Lavacchi, D.; Tirino, G.; Fornaro, L.; Iachetta, F.; Pozzo, C.; Satolli, M.A.; Spallanzani, A.; Puzzoni, M.; Stragliotto, S.; et al. Results of the observational prospective RealFLOT study. BMC Cancer 2021, 21, 1086. [Google Scholar] [CrossRef]
- Nappo, F.; Fornaro, L.; Pompella, L.; Catanese, S.; Lavacchi, D.; Spallanzani, A.; Cappetta, A.; Puzzoni, M.; Murgioni, S.; Barsotti, G.; et al. Pattern of recurrence and overall survival in esophagogastric cancer after perioperative FLOT and clinical outcomes in MSI-H population: The PROSECCO Study. J. Cancer Res. Clin. Oncol. 2023, 149, 6601–6611. [Google Scholar] [CrossRef]
- Shahnam, A.; Nindra, U.; McNamee, N.; Yoon, R.; Asghari, R.; Ng, W.; Karikios, D.; Wong, M. Real-World Outcomes of FLOT versus CROSS Regimens for Patients with Oesophagogastric Cancers. Gastrointest. Tumors 2023, 10, 19–28. [Google Scholar] [CrossRef]
- Hapuarachi, B.S.; Lee, R.; Khan, A.; Woodhouse, L.; Kounnis, V.; Britton, F.; Coyle, J.; Connors, K.; Mariam, N.B.G.; Weaver, J.; et al. Real-world data (RWD) reveals benefit for adjuvant chemotherapy with docetaxel, oxaliplatin and fluorouracil/leucovorin (FLOT) is limited to those with tumour regression grade (TRG) ≥3 in oesophago-gastric cancer (OGC). J. Clin. Oncol. 2021, 39 (Suppl. 15), 4039. [Google Scholar] [CrossRef]
- Schulz, C.; Kullmann, F.; Kunzmann, V.; Fuchs, M.; Geissler, M.; Vehling-Kaiser, U.; Stauder, H.; Wein, A.; Al-Batran, S.-E.; Kubin, T.; et al. NeoFLOT: Multicenter phase II study of perioperative chemotherapy in resectable adenocarcinoma of the gastroesophageal junction or gastric adenocarcinoma-Very good response predominantly in patients with intestinal type tumors. Int. J. Cancer 2015, 137, 678–685. [Google Scholar] [CrossRef]
- Janjigian, Y.Y.; Al-Batran, S.-E.; Wainberg, Z.A.; Cutsem, E.V.; Molena, D.; Muro, K.; Hyung, W.J.; Wyrwicz, L.S.; Oh, D.-Y.; Omori, T.; et al. LBA73 Pathological complete response (pCR) to durvalumab plus 5-fluorouracil, leucovorin, oxaliplatin and docetaxel (FLOT) in resectable gastric and gastroesophageal junction cancer (GC/GEJC): Interim results of the global, phase III MATTERHORN study. Ann. Oncol. 2023, 34, S1315–S1316. [Google Scholar] [CrossRef]
- Möhring, C.; Mańczak, A.; Timotheou, A.; Sadeghlar, F.; Zhou, T.; Mahn, R.; Monin, M.B.; Toma, M.; Feldmann, G.; Brossart, P.; et al. Perioperative therapy with FLOT4 significantly increases survival in patients with gastroesophageal and gastric cancer in a large real-world cohort. Int. J. Cancer 2023, 153, 609–622. [Google Scholar] [CrossRef] [PubMed]
- Lim, D.Y.Z.; Wong, T.H.; Feng, M.; Ong, M.E.H.; Ho, A.F.W. Leveraging open data to reconstruct the Singapore Housing Index and other building-level markers of socioeconomic status for health services research. Int. J. Equity Health 2021, 20, 218. [Google Scholar] [CrossRef] [PubMed]
- Kemper, M.; Zagorski, J.; Wagner, J.; Graß, J.-K.; Izbicki, J.R.; Melling, N.; Wolter, S.; Reeh, M. Socioeconomic Deprivation Is Not Associated with Outcomes after Esophagectomy at a German High-Volume Center. Cancers 2023, 15, 2827. [Google Scholar] [CrossRef]
- Laszkowska, M.; Tramontano, A.C.; Kim, J.; Camargo, M.C.; Neugut, A.I.; Abrams, J.A.; Hur, C. Racial and ethnic disparities in mortality from gastric and esophageal adenocarcinoma. Cancer Med. 2020, 9, 5678–5686. [Google Scholar] [CrossRef]
- Bliton, J.N.; Parides, M.; Muscarella, P.; Papalezova, K.T.; In, H. Understanding Racial Disparities in Gastrointestinal Cancer Outcomes: Lack of Surgery Contributes to Lower Survival in African American Patients. Cancer Epidemiol. Biomark. Prev. 2021, 30, 529–538. [Google Scholar] [CrossRef] [PubMed] [PubMed Central]
- Ohashi, M.; Mizusawa, J.; Kawachi, H.; Hashimoto, T.; Kita, R.; Kurokawa, Y.; Boku, N.; Terashima, M.; Fukuda, H.; Yoshikawa, T. Randomized phase II study comparing neoadjuvant FLOT versus DOS for patients with type 4 or large type 3 gastric cancer (JCOG2204). J. Clin. Oncol. 2024, 42, TPS418. [Google Scholar]
- Petrioli, R.; Marrelli, D.; Roviello, F.; D’Ignazio, A.; Torre, P.; Chirra, M.; Savelli, V.; Ambrosio, M.R.; Francini, G.; Calomino, N.; et al. Pathological response and outcome after neoadjuvant chemotherapy with DOC (docetaxel, oxaliplatin, capecitabine) or EOF (epirubicin, oxaliplatin, 5-fluorouracil) for clinical T3-T4 non-metastatic gastric cancer. Surg. Oncol. 2020, 32, 2–7. [Google Scholar] [CrossRef] [PubMed]
- Huemer, F.; Hecht, S.; Scharinger, B.; Schlintl, V.; Rinnerthaler, G.; Schlick, K.; Heregger, R.; Melchardt, T.; Wimmer, A.; Mühlbacher, I.; et al. Body composition dynamics and impact on clinical outcome in gastric and gastro-esophageal junction cancer patients undergoing perioperative chemotherapy with the FLOT protocol. J. Cancer Res. Clin. Oncol. 2023, 149, 3051–3064. [Google Scholar] [CrossRef]
- Lorusso, A.; Bichev, D.; Högner, A.; Bartels, P.; Ballhausen, A.; Treese, C.; Biebl, M.; Thuss-Patience, P. Prognostic Relevance of Weight and Weight Loss during Multimodal Therapy for Oesophagogastric Tumours. Curr. Oncol. 2022, 29, 2706–2719. [Google Scholar] [CrossRef]
Disclaimer/Publisher’s Note: The statements, opinions and data contained in all publications are solely those of the individual author(s) and contributor(s) and not of MDPI and/or the editor(s). MDPI and/or the editor(s) disclaim responsibility for any injury to people or property resulting from any ideas, methods, instructions or products referred to in the content. |
© 2024 by the authors. Licensee MDPI, Basel, Switzerland. This article is an open access article distributed under the terms and conditions of the Creative Commons Attribution (CC BY) license (https://creativecommons.org/licenses/by/4.0/).



