Peri-Interventional Hemodynamic Management Strategies for Percutaneous Chemosaturation of the Liver in Metastatic Cancer
Simple Summary
Abstract
1. Background
2. Methods
2.1. Study Population and Data Collection
2.2. Procedure
2.3. Study Design
2.4. Ethics
2.5. Statistical Methods
3. Results
3.1. Indication for Chemosaturation and Baseline Characteristics
3.2. Hemodynamic Parameters
3.2.1. Whole Cohort
3.2.2. Groups
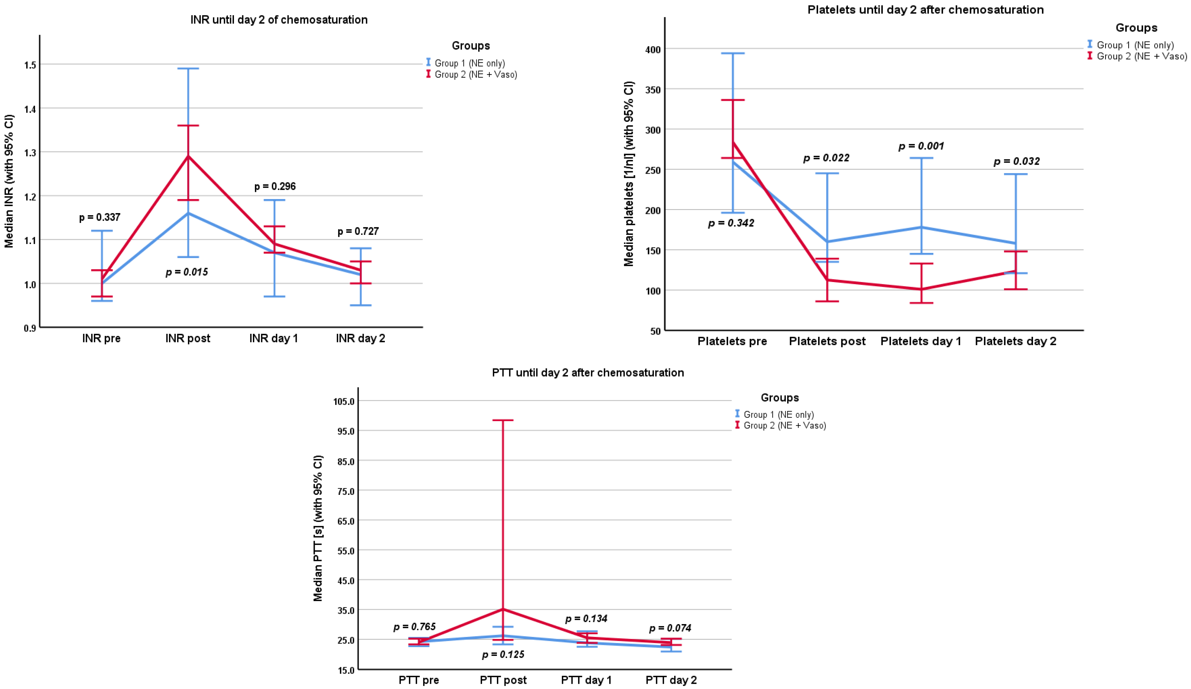
3.3. Laboratory Parameters
3.3.1. Whole Cohort
3.3.2. Groups
3.4. Transfusion of Blood Products
3.4.1. Whole Cohort
3.4.2. Groups
3.5. Complications
4. Discussion
5. Conclusions
Supplementary Materials
Author Contributions
Funding
Institutional Review Board Statement
Informed Consent Statement
Data Availability Statement
Conflicts of Interest
List of Abbreviations
| ACT | Activated Clotting Time |
| AT3 | Antithrombin-3 |
| ECC | Extracorporeal Circulation |
| FFP | Fresh Frozen Plasma |
| HES | Hydroxyethyl Starch |
| IJV | Internal Jugular Vein |
| NE | Norepinephrine |
| NO | Nitric Oxide |
| PCC | Prothrombin Complex |
| RA | Right Atrium |
| RBC | Red Blood Cell |
| TACO | Transfusion-Associated Circulatory Overload |
| TEE | Transesophageal Echocardiography |
| TRALI | Transfusion-Related Lung Injury |
| Vaso | Vasopressin |
| VCI | Vena Cava Inferior |
| VIS | Vasoactive Inotropic Score |
References
- Barker, C.A.; Salama, A.K. New NCCN Guidelines for Uveal Melanoma and Treatment of Recurrent or Progressive Distant Metastatic Melanoma. J. Natl. Compr. Cancer Netw. 2018, 16, 646–650. [Google Scholar] [CrossRef] [PubMed]
- Vogel, A.; Gupta, S.; Zeile, M.; Haken, R.; Brüning, R.; Lotz, G.; Vahrmeijer, A.; Vogl, T.; Wacker, F. Chemosaturation Percutaneous Hepatic Perfusion: A Systematic Review. Adv. Ther. 2017, 33, 2122–2138. [Google Scholar] [CrossRef] [PubMed]
- Dewald, C.L.A.; Hinrichs, J.B.; Becker, L.S.; Maschke, S.; Meine, T.C.; Saborowski, A.; Schönfeld, L.J.; Vogel, A.; Kirstein, M.M.; Wacker, F.K. Chemosaturation durch perkutane hepatische Perfusion mit Melphalan bei hepatisch metastasiertem Aderhautmelanom: Eine Überlebens- und Sicherheitsanalyse. RöFo-Fortschritte Auf Dem Geb. Der Röntgenstrahlen Und Der Bildgeb. Verfahr. 2021, 193, 928–936. [Google Scholar] [CrossRef]
- Ku, Y.; Iwasaki, T.; Tominaga, M.; Fukumoto, T.; Takahashi, T.; Kido, M.; Ogata, S.; Takahashi, M.; Kuroda, Y.; Matsumoto, S.; et al. Reductive surgery plus percutaneous isolated hepatic perfusion for multiple advanced hepatocellular carcinoma. Ann. Surg. 2004, 239, 53–60. [Google Scholar] [CrossRef] [PubMed]
- Vogel, A.; Ochsenreither, S.; Zager, J.S.; Wacker, F.; Saborowski, A. Chemosaturation for primary and secondary liver malignancies: A comprehensive update of current evidence. Cancer Treat. Rev. 2023, 113, 102501. [Google Scholar] [CrossRef]
- Dewald, C.L.A.; Warnke, M.-M.; Brüning, R.; Schneider, M.A.; Wohlmuth, P.; Hinrichs, J.B.; Saborowski, A.; Vogel, A.; Wacker, F.K. Percutaneous Hepatic Perfusion (PHP) with Melphalan in Liver-Dominant Metastatic Uveal Melanoma: The German Experience. Cancers 2021, 14, 118. [Google Scholar] [CrossRef]
- Vahrmeijer, A.L.; Van Dierendonck, J.H.; Keizer, H.J.; Beijnen, J.H.; Tollenaar, R.A.; Pijl, M.E.; Marinelli, A.; Kuppen, P.J.; van Bockel, J.H.; Mulder, G.J.; et al. Increased local cytostatic drug exposure by isolated hepatic perfusion: A phase I clinical and pharmacologic evaluation of treatment with high dose melphalan in patients with colorectal cancer confined to the liver. Br. J. Cancer 2000, 82, 1539. [Google Scholar]
- van Iersel, L.B.J.; Gelderblom, H.; Vahrmeijer, A.L.; van Persijn Meerten, E.L.; Tijl, F.G.J.; Putter, H.; Hartgrink, H.H.; Kuppen, P.J.K.; Nortier, J.W.R.; Tollenaar, R.A.E.M.; et al. Isolated hepatic melphalan perfusion of colorectal liver metastases: Outcome and prognostic factors in 154 patients. Ann. Oncol. Off. J. Eur. Soc. Med. Oncol. 2008, 19, 1127–1134. [Google Scholar] [CrossRef]
- van Iersel, L.B.J.; Leede, E.M.; Vahrmeijer, A.L.; Tijl, F.G.J.; Hartigh, J.; Kuppen, P.J.K.; Hartgrink, H.H.; Gelderblom, H.; Nortier, J.W.R.; Tollenaar, R.A.E.M.; et al. Isolated hepatic perfusion with oxaliplatin combined with 100 mg melphalan in patients with metastases confined to the liver: A phase I study. Eur. J. Surg. Oncol. J. Eur. Soc. Surg. Oncol. Br. Assoc. Surg. Oncol. 2014, 40, 1557–1563. [Google Scholar] [CrossRef]
- Dewald, C.L.A.; Becker, L.S.; Meine, T.C.; Maschke, S.K.; Wacker, F.K.; Saborowski, A.; Vogel, A.; Hinrichs, J.B. New perspectives in unresectable cholangiocarcinoma? Evaluation of chemosaturation with percutaneous hepatic perfusion as a palliative treatment option. Clin. Exp. Metastasis 2023, 40, 95–104. [Google Scholar] [CrossRef]
- Martin-Delgado, O.; Rodriguez, M.; Lopez, A.; Reina, M.A.; Vicente, E.; Quijano, Y.; Echenagusia, A.; Martinez, J.A. Percutaneous Isolated Hepatic Perfusion: Hemodynamic Monitoring and Goal-Directed Anesthetic Management: A Case Report. A A Case Rep. 2017, 8, 300–303. [Google Scholar] [CrossRef] [PubMed]
- Struck, M.F.; Kliem, P.; Ebel, S.; Bauer, A.; Gössmann, H.; Veelken, R.; van Bömmel, F.; Dennecke, T.; Stehr, S.N.; Girrbach, F.F. Percutaneous hepatic melphalan perfusion: Single center experience of procedural characteristics, hemodynamic response, complications, and postoperative recovery. PLoS ONE 2021, 16, e0254817. [Google Scholar] [CrossRef]
- Kliem, P.; Ebel, S.; Werdehausen, R.; Girrbach, F.; Bösemann, D.; van Bömmel, F.; Denecke, T.; Stehr, S.; Struck, M.F. Anästhesiologisches und postinterventionelles Management bei perkutaner hepatischer Melphalanperfusion (Chemosaturation). Die Anaesthesiol. 2023, 72, 113–120. [Google Scholar] [CrossRef] [PubMed]
- McEwan, P.E.; Bailey, L.; Trost, D.; Scull, C.; Keating, J.H.; Williams, M.; Guttendorf, R.J. Percutaneous Hepatic Perfusion With Filtered Melphalan for Localized Treatment of Metastatic Hepatic Disease: A Risk Assessment. Int. J. Toxicol. 2018, 37, 434–447. [Google Scholar] [CrossRef]
- Gaies, M.G.; Gurney, J.G.; Yen, A.H.; Napoli, M.L.; Gajarski, R.J.; Ohye, R.G.; Charpie, J.R.; Hirsch, J.C. Vasoactive-inotropic score as a predictor of morbidity and mortality in infants after cardiopulmonary bypass. Pediatr. Crit. Care Med. A J. Soc. Crit. Care Med. World Fed. Pediatr. Intensive Crit. Care Soc. 2010, 11, 234–238. [Google Scholar] [CrossRef]
- Belletti, A.; Lerose, C.C.; Zangrillo, A.; Landoni, G. Vasoactive-Inotropic Score: Evolution, Clinical Utility, and Pitfalls. J. Cardiothorac. Vasc. Anesth. 2021, 35, 3067–3077. [Google Scholar] [CrossRef] [PubMed]
- Chiu, C.; Fong, N.; Lazzareschi, D.; Mavrothalassitis, O.; Kothari, R.; Chen, L.-L.; Pirracchio, R.; Kheterpal, S.; Domino, K.B.; Mathis, M.; et al. Fluids, vasopressors, and acute kidney injury after major abdominal surgery between 2015 and 2019: A multicentre retrospective analysis. Br. J. Anaesth. 2022, 129, 317–326. [Google Scholar] [CrossRef]
- Mizock, B.A.; Falk, J.L. Lactic acidosis in critical illness. Crit. Care Med. 1992, 20, 80–93. [Google Scholar] [CrossRef]
- Kiyatkin, M.E.; Bakker, J. Lactate and microcirculation as suitable targets for hemodynamic optimization in resuscitation of circulatory shock. Curr. Opin. Crit. Care 2017, 23, 348–354. [Google Scholar] [CrossRef]
- Evans, L.; Rhodes, A.; Alhazzani, W.; Antonelli, M.; Coopersmith, C.M.; French, C.; Machado, F.R.; McIntyre, L.; Ostermann, M.; Prescott, H.C.; et al. Surviving sepsis campaign: International guidelines for management of sepsis and septic shock 2021. Intensive Care Med. 2021, 47, 1181–1247. [Google Scholar] [CrossRef]
- Puskarich, M.A.; Trzeciak, S.; Shapiro, N.I.; Albers, A.B.; Heffner, A.C.; Kline, J.A.; Jones, A.E. Whole blood lactate kinetics in patients undergoing quantitative resuscitation for severe sepsis and septic shock. Chest 2013, 143, 1548–1553. [Google Scholar] [CrossRef] [PubMed]
- Hernández, G.; Ospina-Tascón, G.A.; Damiani, L.P.; Estenssoro, E.; Dubin, A.; Hurtado, J.; Friedman, G.; Castro, R.; Alegría, L.; Teboul, J.-L.; et al. Effect of a Resuscitation Strategy Targeting Peripheral Perfusion Status vs Serum Lactate Levels on 28-Day Mortality Among Patients With Septic Shock: The ANDROMEDA-SHOCK Randomized Clinical Trial. JAMA 2019, 321, 654–664. [Google Scholar] [CrossRef] [PubMed]
- Besnier, E.; Coquerel, D.; Kouadri, G.; Clavier, T.; Favory, R.; Duburcq, T.; Lesur, O.; Bekri, S.; Richard, V.; Mulder, P.; et al. Hypertonic sodium lactate improves microcirculation, cardiac function, and inflammation in a rat model of sepsis. Crit. Care 2020, 24, 354. [Google Scholar] [CrossRef]
- Mok, G.; Hendin, A.; Reardon, P.; Hickey, M.; Gray, S.; Yadav, K. Macrocirculatory and Microcirculatory Endpoints in Sepsis Resuscitation. J. Intensive Care Med. 2021, 36, 1385–1391. [Google Scholar] [CrossRef]
- Vlaar, A.P.J.; Toy, P.; Fung, M.; Looney, M.R.; Juffermans, N.P.; Bux, J.; Bolton-Maggs, P.; Peters, A.L.; Silliman, C.C.; Kor, D.J.; et al. A consensus redefinition of transfusion-related acute lung injury. Transfusion 2019, 59, 2465–2476. [Google Scholar] [CrossRef]
- Bulle, E.B.; Klanderman, R.B.; Pendergrast, J.; Cserti-Gazdewich, C.; Callum, J.; Vlaar, A.P.J. The recipe for TACO: A narrative review on the pathophysiology and potential mitigation strategies of transfusion-associated circulatory overload. Blood Rev. 2022, 52, 100891. [Google Scholar] [CrossRef]
- Holmes, C.L.; Patel, B.M.; Russell, J.A.; Walley, K.R. Physiology of vasopressin relevant to management of septic shock. Chest 2001, 120, 989–1002. [Google Scholar] [CrossRef] [PubMed]
- Filep, J.; Rosenkranz, B. Mechanism of vasopressin-induced platelet aggregation. Thromb. Res. 1987, 45, 7–15. [Google Scholar] [CrossRef]
- Krantz, B.A.; Dave, N.; Komatsubara, K.M.; Marr, B.P.; Carvajal, R.D. Uveal melanoma: Epidemiology, etiology, and treatment of primary disease. Clin. Ophthalmol. 2017, 11, 279–289. [Google Scholar] [CrossRef]
- Alfaar, A.S.; Saad, A.; Wiedemann, P.; Rehak, M. The epidemiology of uveal melanoma in Germany: A nationwide report of incidence and survival between 2009 and 2015. Graefe’s Arch. Clin. Exp. Ophthalmol. 2022, 260, 1723–1731. [Google Scholar] [CrossRef]





| Characteristic | Overall n = 66 Procedures | Group 1 (NE Only) n = 16 Procedures | Group 2 (NE + Vaso) n = 50 Procedures | p Value |
|---|---|---|---|---|
| Sex, female | 39 (59.1%) | 8 (50%) | 31 (62%) | 0.399 |
| Age, median [y] | 58 (52–63) | 47 (35–56) | 59 (55–66) | <0.001 |
| BMI, median [kg/m2] | 24.3 (22.2–26.5) | 24.3 (19.2–26.8) | 23.9 (22.5–26.5) | 0.664 |
| Comorbidities | ||||
| CAD | 2 (3%) | 0 (0%) | 2 (4%) | 0.420 |
| arterial hypertension | 17 (25.8%) | 0 (0%) | 17 (34%) | 0.007 |
| renal insufficiency | 0 (0%) | 0 (0%) | 0 (0%) | 1 |
| diabetes | 4 (6.1%) | 0 (0%) | 4 (8%) | 0.247 |
| Duration of procedure [min] | 180 (165–213) | 180 (151–210) | 195 (165–225) | 0.112 |
| Overall n = 66 Procedures | Group 1 (NE Only) n = 16 Procedures | Group 2 (NE + Vaso) n = 50 Procedures | p Value | |
|---|---|---|---|---|
| Albumin [g] | 20 (0–32.5) | 0 (0–0) | 20 (12.5–40) | <0.001 |
| PCC [IE] | 0 (0–0) | 2500 (250–3000) | 0 (0–0) | <0.001 |
| RBCs [units, total] | 11 | 5 | 6 | 0.470 |
| Platelets [units] | 0 (0–0) | 1.5 (0–2); 19 (total) | 0 (0–0); 1 (total) | <0.001 |
| FFP [units, total] | 8 | 4 | 4 | 0.392 |
| AT3 [IE] | 0 (0–0) | 1000 (1000–1000) | 0 (0–0) | <0.001 |
| Fibrinogen [g] | 0 (0–0) | 1.5 (0–4) | 0 (0–0) | <0.001 |
| Overall n = 66 Procedures | Group 1 (NE Only) n = 16 Procedures | Group 2 (NE + Vaso) n = 50 Procedures | p | |
|---|---|---|---|---|
| Clinically significant bleeding | 2 (3%) | 0 (0%) | 2 (4%) | 0.420 |
| Myocardial injury | 0 | 0 | 0 | Ø |
| Ischemic stroke | 1 (1.5%) | 0 (0%) | 1 (2%) | 0.572 |
Disclaimer/Publisher’s Note: The statements, opinions and data contained in all publications are solely those of the individual author(s) and contributor(s) and not of MDPI and/or the editor(s). MDPI and/or the editor(s) disclaim responsibility for any injury to people or property resulting from any ideas, methods, instructions or products referred to in the content. |
© 2024 by the authors. Licensee MDPI, Basel, Switzerland. This article is an open access article distributed under the terms and conditions of the Creative Commons Attribution (CC BY) license (https://creativecommons.org/licenses/by/4.0/).
Share and Cite
Rehn, P.; Tan, B.; Turra, J.; Adler, P.; Mayer, P.; Fischer, D.; Fiedler-Kalenka, M.O.; Schmitt, F.C.F.; Chang, D.-H.; Lichtenstern, C.; et al. Peri-Interventional Hemodynamic Management Strategies for Percutaneous Chemosaturation of the Liver in Metastatic Cancer. Cancers 2024, 16, 3698. https://doi.org/10.3390/cancers16213698
Rehn P, Tan B, Turra J, Adler P, Mayer P, Fischer D, Fiedler-Kalenka MO, Schmitt FCF, Chang D-H, Lichtenstern C, et al. Peri-Interventional Hemodynamic Management Strategies for Percutaneous Chemosaturation of the Liver in Metastatic Cancer. Cancers. 2024; 16(21):3698. https://doi.org/10.3390/cancers16213698
Chicago/Turabian StyleRehn, Patrick, Benjamin Tan, Jan Turra, Patrick Adler, Philipp Mayer, Dania Fischer, Mascha O. Fiedler-Kalenka, Felix C. F. Schmitt, De-Hua Chang, Christoph Lichtenstern, and et al. 2024. "Peri-Interventional Hemodynamic Management Strategies for Percutaneous Chemosaturation of the Liver in Metastatic Cancer" Cancers 16, no. 21: 3698. https://doi.org/10.3390/cancers16213698
APA StyleRehn, P., Tan, B., Turra, J., Adler, P., Mayer, P., Fischer, D., Fiedler-Kalenka, M. O., Schmitt, F. C. F., Chang, D.-H., Lichtenstern, C., Wielpütz, M. O., Kauczor, H.-U., Weigand, M. A., & Dietrich, M. (2024). Peri-Interventional Hemodynamic Management Strategies for Percutaneous Chemosaturation of the Liver in Metastatic Cancer. Cancers, 16(21), 3698. https://doi.org/10.3390/cancers16213698

