The Importance of Patient Systemic Health Status in High-Grade Chondrosarcoma Prognosis: A National Multicenter Study
Abstract
Simple Summary
Abstract
1. Introduction
2. Methods
2.1. Study Design
2.2. Study Population
2.3. Variables
2.4. Statistical Methods
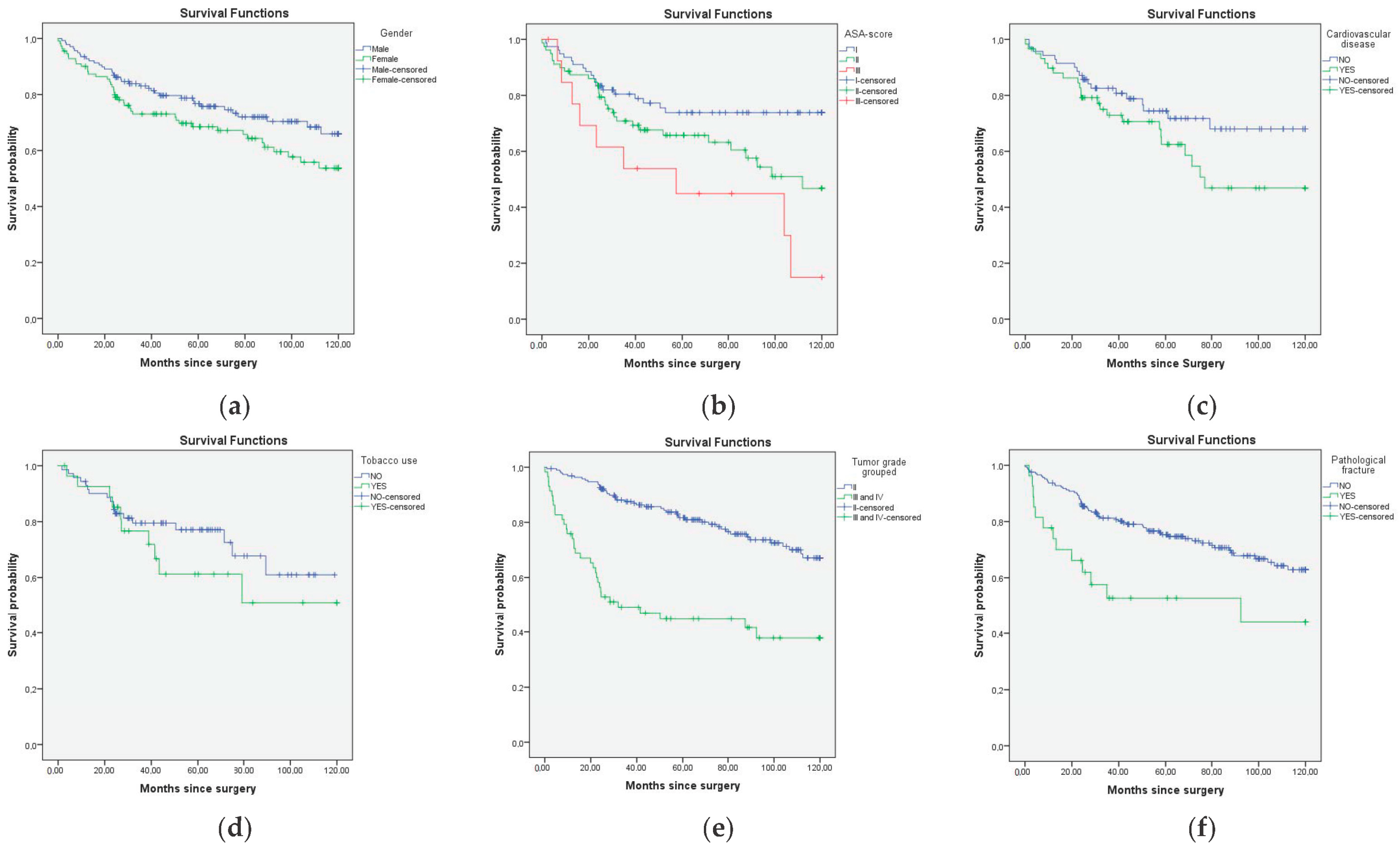
3. Results
4. Discussion
5. Conclusions
Author Contributions
Funding
Institutional Review Board Statement
Informed Consent Statement
Data Availability Statement
Conflicts of Interest
Appendix A

Appendix B
| Definition | Examples (Including, but Not Limited To) | |
|---|---|---|
| ASA I | A normal healthy patient | Healthy, non-smoking, no or minimal alcohol use |
| ASA II | A patient with mild systemic disease | Mild diseases only without substantive functional limitations. Examples include (but not limited to): current smoker, social alcohol drinker, pregnancy, obesity (30 < BMI < 40), well-controlled diabetic disease/hypertension, mild lung disease |
| ASA III | A patient with severe systemic disease | Substantive functional limitations; one or more moderate to severe diseases. Examples include (but not limited to): poorly controlled diabetic disease or hypertension, chronic obstructive pulmonary disease, morbid obesity (BMI ≥ 40), active hepatitis, alcohol dependence or abuse, implanted pacemaker, moderate reduction in ejection fraction, end-stage renal dysfunction (ESRD) undergoing regularly scheduled dialysis, premature infant post-conceptual age < 60 weeks, history (>3 months) of myocardial infarct (MI), cerebrovascular event (CVA), transient ischemic event (TIA), or coronary artery disease (CAD)/stents. |
| ASA IV | A patient with severe systemic disease that is a constant threat to life | Examples include (but not limited to): recent (<3 months) MI, CVA, TIA, or CAD/stents, ongoing cardiac ischemia or severe valve dysfunction, severe reduction in ejection fraction, sepsis, DIC, ARD or ESRD not undergoing regularly scheduled dialysis |
| ASA V | A moribund patient who is not expected to survive without the operation | Examples include (but not limited to): ruptured abdominal/thoracic aneurysm, massive trauma, intracranial bleed with mass effect, ischemic bowel in the face of significant cardiac pathology or multiple organ/system dysfunction |
| ASA VI | A declared brain-dead patient whose organs are being removed for donor purposes |
References
- Gelderblom, H.; Hogendoorn, P.C.; Dijkstra, S.D.; van Rijswijk, C.S.; Krol, A.D.; Taminiau, A.H.M.; Bovee, J.V.M.G.l. The clinical approach towards chondrosarcoma. Oncologist 2008, 13, 320–329. [Google Scholar] [CrossRef] [PubMed]
- Douis, H.; Singh, L.; Saifuddin, A. MRI differentiation of low-grade from high-grade appendicular chondrosarcoma. Eur. Radiol. 2014, 24, 232–240. [Google Scholar] [CrossRef] [PubMed]
- Bertoni, F.; Bacchini, P.; Hogendoorn, P.C.W. Pathology and Genetics of Tumours of Soft Tissue and Bone; World Health Organization Classification of Tumours: Geneva, Switzerland, 2002; pp. 247–251. [Google Scholar]
- Yin, H.; Zhou, W.; Meng, J.; Zhang, D.; Wu, Z.; Wang, T.; Wang, J.; Wang, P.; Shi, X.; Wu, S. Prognostic factors of patients with spinal chondrosarcoma: A retrospective analysis of 98 consecutive patients in a single center. Ann. Surg. Oncol. 2014, 21, 3572–3578. [Google Scholar] [CrossRef] [PubMed]
- Albergo, J.I.; Gaston, C.L.; Jeys, L.M.; Khajuria, A.; Carter, S.R.; Tillman, R.M.; Abudu, A.T.; Grimer, R.J. Management and prognostic significance of pathological fractures through chondrosarcoma of the femur. Int. Orthop. 2015, 39, 943–946. [Google Scholar] [CrossRef] [PubMed]
- Yang, Z.M.; Tao, H.M.; Ye, Z.M.; Li, W.X.; Lin, N.; Yang, D.S. Multivariate analysis of the prognosis of 37 chondrosarcoma patients. Asian Pac. J. Cancer Prev. 2012, 13, 1171–1176. [Google Scholar] [CrossRef]
- Evans, H.L.; Ayala, A.G.; Romsdahl, M.M. Prognostic factors in chondrosarcoma of bone: A clinicopathologic analysis with emphasis on histologic grading. Cancer 1977, 40, 818–831. [Google Scholar] [CrossRef]
- Fiorenza, F.; Abudu, A.; Grimer, R.J.; Carter, S.R.; Tillman, R.M.; Ayoub, K.; Mangham, D.C.; Davies, A.M. Risk factors for survival and local control in chondrosarcoma of bone. J. Bone Jt. Surg. Br. Vol. 2002, 84, 93–99. [Google Scholar] [CrossRef]
- Staals, E.L.; Bacchini, P.; Bertoni, F. Dedifferentiated central chondrosarcoma. Cancer 2006, 106, 2682–2691. [Google Scholar] [CrossRef]
- Grimer, R.J.; Gosheger, G.; Taminiau, A.; Biau, D.; Matejovsky, Z.; Kollender, Y.; San-Julian, M.; Gherlinzoni, F.; Ferrari, C. Dedifferentiated chondrosarcoma: Prognostic factors and outcome from a European group. Eur. J. Cancer 2007, 43, 2060–2065. [Google Scholar] [CrossRef]
- van Praag, V.M.; Rueten-Budde, A.J.; Ho, V.; Dijkstra, P.D.S.; Study group Bone and Soft tissue tumours (WeBot); Fiocco, M.; van de Sande, M.A.J. Incidence, outcomes and prognostic factors during 25 years of treatment of chondrosarcomas. Surg. Oncol. 2018, 27, 402–408. [Google Scholar] [CrossRef]
- Bloch, O.G.; Jian, B.J.; Yang, I.; Han Sj Aranda, D.; Ahn, B.J.; Parsa, A.T. A systematic review of intracranial chondrosarcoma and survival. J. Clin. Neurosci. 2009, 16, 1547–1551. [Google Scholar] [CrossRef] [PubMed]
- Giuffrida, A.Y.; Burgueno, J.E.; Koniaris, L.G.; Gutierrez, J.C.; Duncan, R.; Scully, S.P. Chondrosarcoma in the United States (1973 to 2003): An analysis of 2890 cases from the SEER database. J. Bone Jt. Surg. Am. 2009, 91, 1063–1072. [Google Scholar] [CrossRef] [PubMed]
- Bergh, P.; Gunterberg, B.; Meis-Kindblom, J.M.; Kindblom, L.G. Prognostic factors and outcome of pelvic, sacral, and spinal chondrosarcomas: A center-based study of 69 cases. Cancer 2001, 91, 1201–1212. [Google Scholar] [CrossRef] [PubMed]
- Bindiganavile, S.; Han, I.; Yun, J.Y.; Kim, H.S. Long-term Outcome of Chondrosarcoma: A Single Institutional Experience. Cancer Res. Treat. 2015, 47, 897–903. [Google Scholar] [CrossRef] [PubMed]
- van Praag, V.M.; Rueten-Budde, A.J.; Jeys, L.M.; Laitinen, M.K.; Pollock, R.; Aston, W.; Van der Hage, J.A.; Dijkstra, P.D.S.; Ferguson, P.C.; Griffin, A.M.; et al. A prediction model for treatment decisions in high-grade extremity soft-tissue sarcomas: Personalised sarcoma care (PERSARC). Eur. J. Cancer 2017, 83, 313–323. [Google Scholar] [CrossRef] [PubMed]
- Rueten-Budde, A.J.; van Praag, V.M.; van de Sande, M.A.J.; Fiocco, M. Dynamic prediction of overall survival for patients with high-grade extremity soft tissue sarcoma. Surg. Oncol. 2018, 27, 695–701. [Google Scholar] [CrossRef] [PubMed]
- Young, J.; Badgery-Parker, T.; Dobbins, T.; Jorgensen, M.; Gibbs, P.; Faragher, I.; Jones, I.; Currow, D. Comparison of ECOG/WHO performance status and ASA score as a measure of functional status. J. Pain Symptom Manag. 2015, 49, 258–264. [Google Scholar] [CrossRef] [PubMed]
- Shamali, A.; De’Ath, H.D.; Jaber, B.; Abuawad, M.; Barbaro, S.; Hamaday, Z.; Hilal, M.A. Elderly patients have similar short term outcomes and five-year survival compared to younger patients after pancreaticoduodenectomy. Int. J. Surg. 2017, 45, 138–143. [Google Scholar] [CrossRef]
- Mantyh, P.W. Cancer pain and its impact on diagnosis, survival and quality of life. Nat. Rev. Neurosci. 2006, 7, 797–809. [Google Scholar] [CrossRef]
- Cordero, A.; Lopez-Palop, R.; Carrillo, P.; Nunez, J.; Frutos, A.; Bertomeu-Gonzalez, V.; Yepez, F.; Alcantara, N.; Riber, F.; Juskova, M.; et al. Prevalence and Postdischarge Incidence of Malignancies in Patients with Acute Coronary Syndrome. Rev. Esp. Cardiol. (Engl. Ed.) 2017, 71, 267–273. [Google Scholar] [CrossRef]
- Yang, P.; Elhalawani, H.; Shi, Y.; Tang, Y.; Han, Y.; Zhao, Y.; Lou, F.; Jin, H. A large-scale retrospective study of the overall survival outcome in nasopharyngeal carcinoma with hypertension in Chinese population. Oncotarget 2017, 8, 75577–75586. [Google Scholar] [CrossRef] [PubMed]
- Hooper, L.; Anderson, A.S.; Birch, J.; Forster, A.S.; Rosenberg, G.; Bauld, L.; Vohra, J. Public awareness and healthcare professional advice for obesity as a risk factor for cancer in the UK: A cross-sectional survey. J. Public Health 2017, 40, 797–805. [Google Scholar] [CrossRef] [PubMed]
- Visnovsky, J.; Kudela, E.; Slavik, P.; Krkoska, M.; Buocik, P.; Szepe, P.; Danko, J. Survival and risk factors associated with uterine sarcomas and carcinosarcomas in stage I and II. Neuro Endocrinol. Lett. 2015, 36, 750–757. [Google Scholar] [PubMed]
- Wong, J.; Lam, D.P.; Abrishami, A.; Chan, M.T.V.; Chung, F. Short-term preoperative smoking cessation and postoperative complications: A systematic review and meta-analysis. Can. J. Anaesth. 2012, 59, 268–279. [Google Scholar] [CrossRef] [PubMed]
- Khuri, S.F.; Daley, J.; Henderson, W.; Hur, K.; Gibbs, J.O.; Barbour, G.; Demakis, J.; Irvin, G., 3rd; Stremple, J.F.; Grover, F.; et al. Risk adjustment of the postoperative mortality rate for the comparative assessment of the quality of surgical care: Results of the National Veterans Affairs Surgical Risk Study. J. Am. Coll. Surg. 1997, 185, 315–327. [Google Scholar] [PubMed]
- Yuan, Y.; Wang, Y.; Zhang, N.; Mao, X.; Huang, Y.; Huang, J.; Ji, N. Influence of American Society of Anesthesiologists Score on Oncologic Outcomes in Patients with Upper Tract Urothelial Carcinoma after Radical Nephroureterectomy: A Large-Sample Study in Two Institutions. Front. Oncol. 2021, 11, 723669. [Google Scholar] [CrossRef]
- Kang, H.W.; Seo, S.P.; Kim, W.T.; Kim, Y.J.; Yun, S.J.; Lee, S.C.; Choi, Y.D.; Ha, Y.S.; Kim, T.H.; Kwon, T.G.; et al. Impact of the ASA Physical Status Score on Adjuvant Chemotherapy Eligibility and Survival of Upper Tract Urothelial Carcinoma Patients: A Multicenter Study. J. Korean Med. Sci. 2017, 32, 335–342. [Google Scholar] [CrossRef] [PubMed]
- Rogers, S.; Kenyon, P.; Lowe, D.; Grant, C.; Dempsey, G. The relation between health-related quality of life, past medical history, and American Society of Anesthesiologists’ ASA grade in patients having primary operations for oral and oropharyngeal cancer. Br. J. Oral. Maxillofac. Surg. 2005, 43, 134–143. [Google Scholar] [CrossRef]
- Rosa, F.; Tortorelli, A.P.; Quero, G.; Galiandro, F.; Fiorillo, C.; Sollazzi, L.; Alfieri, S. The impact of preoperative ASA-physical status on postoperative complications and long-term survival outcomes in gastric cancer patients. Eur. Rev. Med. Pharmacol. Sci. 2019, 23, 7383–7390. [Google Scholar]
- Kanatas, A.; Gorton, H.; Smith, A.B.; Mannion, C.; Ong, T.K.; Mitchell, D. ASA grade and disease-free mortality in head and neck cancer patients: A prospective study. Br. J. Oral. Maxillofac. Surg. 2010, 48, 591–593. [Google Scholar] [CrossRef]
- Commissie voor Beentumoren. Landelijke Richtlijn Bot en Wekedelen. 2008. Available online: https://richtlijnendatabase.nl/gerelateerde_documenten/f/22077/IKNL%20richtlijn%20Beentumoren.pdf (accessed on 13 July 2024).
- Doyle, D.J.; Hendrix, J.M.; Garmon, E.H. American Society of Anesthesiologists Classification (ASA Class). In StatPearls; StatPearls Publishing LLC.: Treasure Island, FL, USA, 2019. [Google Scholar]
- American Society of Anesthesiologists—ASA. Physical Status Classification System. 15 October 2014. Available online: https://www.asahq.org/resources/clinical-information/asa-physical-status-classification-system (accessed on 14 July 2023).
- Schermper, M.; Smith, T.L. A note on quantifying follow-up in studies of failure time. Control. Clin. Trials 1996, 17, 343–346. [Google Scholar] [CrossRef] [PubMed]
- Grambsch, P.M.; Therneau, T.M. Proportional Hazards Tests and Diagnostics Based on Weighted Residuals. Biometrika 1994, 81, 515–526. [Google Scholar] [CrossRef]
- Fromm, J.; Klein, A.; Baur-Melnyk, A.; Knösel, T.; Lindner, L.; Birkenmaier, C.; Roeder, F.; Jansson, V.; Dürr, H.R. Survival and prognostic factors in conventional central chondrosarcoma. BMC Cancer 2018, 18, 849. [Google Scholar] [CrossRef] [PubMed]
- Andreou, D.; Ruppin, S.; Fehlberg, S.; Pink, D.; Werner, M.; Tunn, P.U. Survival and prognostic factors in chondrosarcoma: Results in 115 patients with long-term follow-up. Acta Orthop. 2011, 82, 749–755. [Google Scholar] [CrossRef] [PubMed]
- Nie, Z.; Lu, Q.; Peng, H. Prognostic factors for patients with chondrosarcoma: A survival analysis based on the Surveillance, Epidemiology, and End Results (SEER) database (1973–2012). J. Bone Oncol. 2018, 13, 55–61. [Google Scholar] [CrossRef]
- Goda, J.S.; Ferguson, P.C.; O’Sullivan, B.; Catton, C.N.; Griffin, A.M.; Wunder, J.S.; Bell, R.S.; Kandel, R.A.; Chung, P.W. High-risk extracranial chondrosarcoma: Long-term results of surgery and radiation therapy. Cancer 2011, 117, 2513–2519. [Google Scholar] [CrossRef] [PubMed]
- Coşkun, H.S.; Erdoğan, F.; Büyükceran, İ.; Dabak, N. Evaluation of prognostic factors affecting survival in chondrosarcoma treatment and comparison with literature. Jt. Dis. Relat. Surg. 2022, 33, 440–448. [Google Scholar] [CrossRef]
- Kask, G.; Laitinen, M.K.; Parry, M.C.; Albergo, J.I.; Stevenson, J.D.; Farfalli, G.; Aponte-Tinao, L.; Grimer, R.; Sumathi, V.; Jeys, L.M. Chondrosarcoma of the Proximal Humerus: Does the Margin Affect Survival? Cancers 2023, 15, 2337. [Google Scholar] [CrossRef] [PubMed] [PubMed Central]
- Stevenson, J.D.; Laitinen, M.K.; Parry, M.C.; Sumathi, V.; Grimer, R.J.; Jeys, L.M. The role of surgical margins in chondrosarcoma. Eur. J. Surg. Oncol. 2018, 44, 1412–1418. [Google Scholar] [CrossRef]
- Bohman, L.E.; Koch, M.; Bailey, R.L.; Alonso-Basanta, M.; Lee, J.Y. Skull base chordoma and chondrosarcoma: Influence of clinical and demographic factors on prognosis: A SEER analysis. World Neurosurg. 2014, 82, 806–814. [Google Scholar] [CrossRef]
- Widhe, B.; Bauer, H.C. Diagnostic difficulties and delays with chest wall chondrosarcoma: A Swedish population based Scandinavian Sarcoma Group study of 106 patients. Acta Oncol. 2011, 50, 435–440. [Google Scholar] [CrossRef] [PubMed]


| Patient Characteristics | Values | % * (n = 249) |
|---|---|---|
| Age (years), mean (SD) | 55 (17) | |
| Gender, male | 55.4% (138) | |
| ASA score (78 missing) | ||
| I | 45.6% (78) | |
| II | 46.2% (79) | |
| III | 8.2% (14) | |
| Cardiovascular disease (120 missing) | 45.7% (59) | |
| Tobacco use (150 missing) | 28.3% (28) | |
| BMI, median (IQR) (150 missing) | 26.0 (23.5–29.3) | |
| Tumor characteristics | Values | % * (n = 249) |
| Tumor grade (0 missing) | ||
| II | 76.7% (191) | |
| III | 10.8% (27) | |
| Dedifferentiated | 12.4% (31) | |
| Tumor size (cm), median (IQR) | 8.2 (5.5–12.0) | |
| Pathological fracture (15 missing) | 11.5% (27) | |
| Pain (56 missing) | 86.5% (167) | |
| Treatment characteristics | Values | % * (n = 249) |
| Presentation after unplanned excision (2 missing) | 7.3% (18) | |
| Type of surgery (3 missing) | ||
| Curettage/excision with phenol | 4.5% (11) | |
| Curettage/excision without phenol | 95.5% (235) | |
| Surgical margin (11 missing) | ||
| Free | 46.2% (110) | |
| Marginal | 29.8% (71) | |
| Intralesional | 22.9% (57) | |
| Local recurrence | 30.1% (75) | |
| Distant metastases | 21.7% (54) | |
| Outcome at last follow-up (0 missing) | ||
| Alive with no evidence of disease | 58.2% (145) | |
| Alive with local recurrence | 3.2% (8) | |
| Alive with distant metastases | 2.8% (7) | |
| Died of disease | 20.9% (52) | |
| Died of other causes | 12.4% (31) | |
| Died of unknown cause | 2.4% (6) |
| Univariate Analysis | Multivariate Analysis | |||
|---|---|---|---|---|
| HR (95% CI) | p-Value | HR (95% CI) | p-Value | |
| Age (years) | 1.036 (1.021–1.051) | <0.001 | 1.025 (1.004–1.045) | 0.017 |
| Gender, male | 0.733 (0.483–1.112) | 0.144 | ||
| ASA score | ||||
| I | ||||
| II | 1.840 (1.072–3.158) | 0.027 | 1.366 (0.741–2.517) | 0.317 |
| III | 3.658 (1.725–7.757) | <0.001 | 2.615 (1.145–5.976) | 0.023 |
| Cardiovascular disease | 1.549 (0.843–2.846) | 0.156 | ||
| Tobacco use | 1.463 (0.675–3.170) | 0.335 | ||
| BMI | 0.962 (0.891–1.040) | 0.333 | ||
| Grade III/dediff vs. II | 3.505 (2.280–5.389) | <0.001 | 2.247 (1.334–3.783) | 0.002 |
| Tumor size (cm) | 1.058 (1.026–1.091) | <0.001 | 1.042 (1.000–1.086) | 0.051 |
| Pathological fracture | 2.217 (1.259–3.904) | 0.006 | ||
| Presentation after unplanned excision | 0.738 (0.299–1.822) | 0.511 | ||
| Type of surgery curettage vs. excision | 2.796 (0.687–11.388) | 0.151 | ||
| Surgical margin | 0.940 | |||
| Free | ||||
| Marginal | 1.050 (0.637–1.731) | 0.849 | ||
| Intralesional | 1.097 (0.649–1.855) | 0.730 | ||
Disclaimer/Publisher’s Note: The statements, opinions and data contained in all publications are solely those of the individual author(s) and contributor(s) and not of MDPI and/or the editor(s). MDPI and/or the editor(s) disclaim responsibility for any injury to people or property resulting from any ideas, methods, instructions or products referred to in the content. |
© 2024 by the authors. Licensee MDPI, Basel, Switzerland. This article is an open access article distributed under the terms and conditions of the Creative Commons Attribution (CC BY) license (https://creativecommons.org/licenses/by/4.0/).
Share and Cite
van Praag, V.M.; Molenaar, D.; Tendijck, G.A.H.; Schaap, G.R.; Jutte, P.C.; van der Geest, I.C.M.; Fiocco, M.; van de Sande, M.A.J. The Importance of Patient Systemic Health Status in High-Grade Chondrosarcoma Prognosis: A National Multicenter Study. Cancers 2024, 16, 3484. https://doi.org/10.3390/cancers16203484
van Praag VM, Molenaar D, Tendijck GAH, Schaap GR, Jutte PC, van der Geest ICM, Fiocco M, van de Sande MAJ. The Importance of Patient Systemic Health Status in High-Grade Chondrosarcoma Prognosis: A National Multicenter Study. Cancers. 2024; 16(20):3484. https://doi.org/10.3390/cancers16203484
Chicago/Turabian Stylevan Praag, Veroniek M., Dominique Molenaar, Guus A. H. Tendijck, Gerard R. Schaap, Paul C. Jutte, Ingrid C. M. van der Geest, Marta Fiocco, and Michiel A. J. van de Sande. 2024. "The Importance of Patient Systemic Health Status in High-Grade Chondrosarcoma Prognosis: A National Multicenter Study" Cancers 16, no. 20: 3484. https://doi.org/10.3390/cancers16203484
APA Stylevan Praag, V. M., Molenaar, D., Tendijck, G. A. H., Schaap, G. R., Jutte, P. C., van der Geest, I. C. M., Fiocco, M., & van de Sande, M. A. J. (2024). The Importance of Patient Systemic Health Status in High-Grade Chondrosarcoma Prognosis: A National Multicenter Study. Cancers, 16(20), 3484. https://doi.org/10.3390/cancers16203484

