The Association of Ethnicity and Oncologic Outcomes for Oral Cavity Squamous Cell Carcinoma (OSCC)
Abstract
Simple Summary
Abstract
1. Introduction
2. Materials and Methods
2.1. Patient Selection
2.2. Statistical Analysis
3. Results
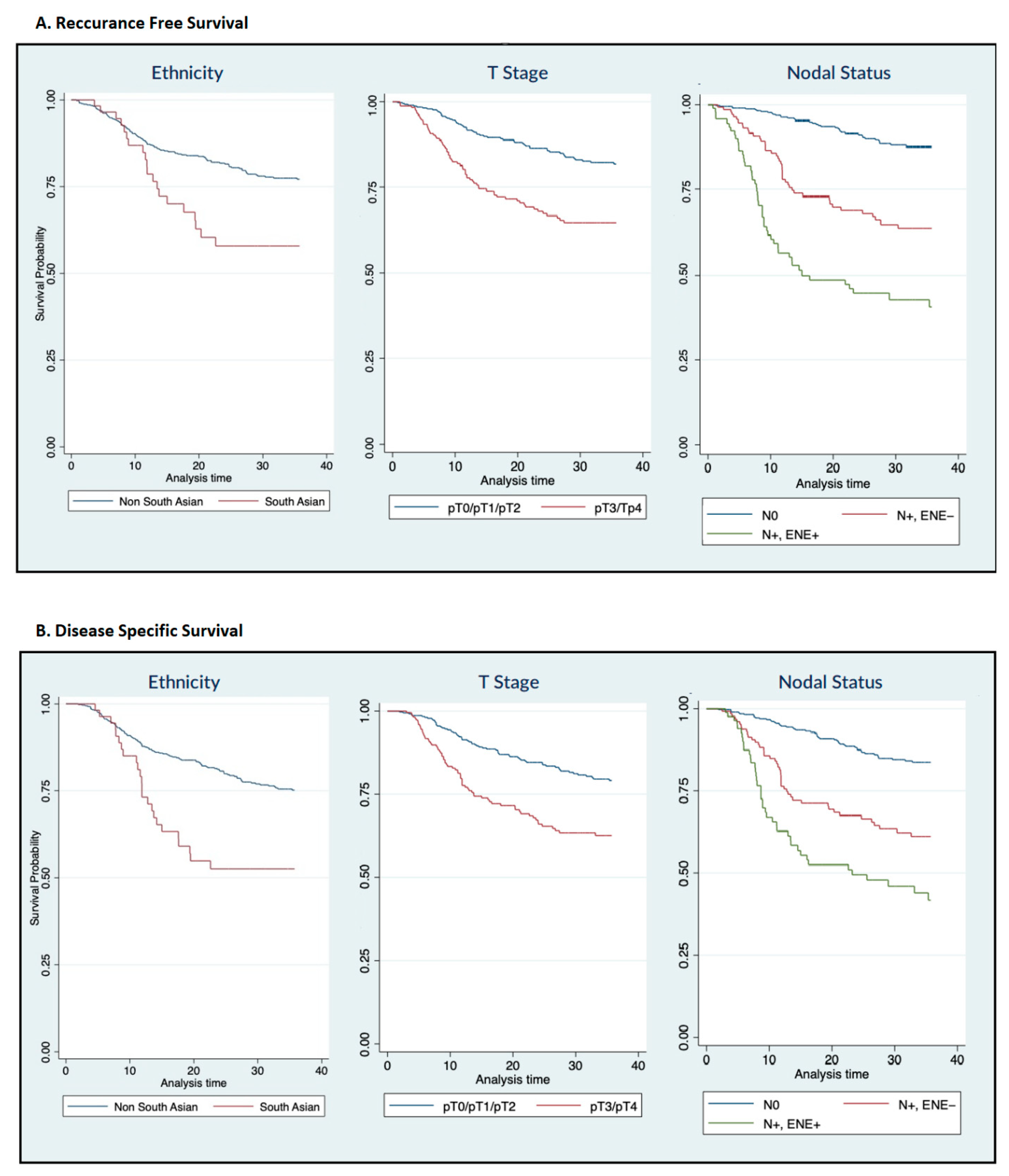
3.1. Recurrence-Free Survival
3.2. Disease-Specific Survival
3.3. Pattern of Failure in Those That Recurred
3.4. Betel Nut Use in SA Patients
4. Discussion
5. Conclusions
Author Contributions
Funding
Institutional Review Board Statement
Informed Consent Statement
Data Availability Statement
Conflicts of Interest
References
- Bray, F.; Ferlay, J.; Soerjomataram, I.; Siegel, R.L.; Torre, L.A.; Jemal, A. Global cancer statistics 2018: GLOBOCAN estimates of incidence and mortality worldwide for 36 cancers in 185 countries. CA-Cancer J. Clin. 2018, 68, 394–424. [Google Scholar] [CrossRef] [PubMed]
- Miranda-Filho, A.; Bray, F. Global patterns and trends in cancers of the lip, tongue and mouth. Oral Oncol. 2020, 102, 104551. [Google Scholar] [CrossRef] [PubMed]
- Filho, A.M.; Warnakulasuriya, S. Epidemiology of oral cancer in South and South Asia: Incidence and mortality. Oral Dis. 2024. early view. [Google Scholar] [CrossRef]
- Gupta, B.; Ariyawardana, A.; Johnson, N.W. Oral cancer in India continues in epidemic proportions: Evidence base and policy initiatives. Int. Dent. J. 2013, 63, 12–25. [Google Scholar] [CrossRef] [PubMed]
- Warnakulasuriya, S. Global epidemiology of oral and oropharyngeal cancer. Oral Oncol. 2009, 45, 309–316. [Google Scholar] [CrossRef] [PubMed]
- IARC Working Group. IARC Monographs on the Evaluation of the Carcinogenic Risk of Chemicals to Humans; Tobacco Habits Other Than Smoking; Betel-Quid and Areca-Nut Chewing; and Some Related Nitrosamines; World Health Organization: Paris, France, 1985; Volume 37, 268p. [Google Scholar]
- Chen, P.H.; Mahmood, Q.; Mariottini, G.L.; Chiang, T.A.; Lee, K.W. Adverse Health Effects of Betel Quid and the Risk of Oral and Pharyngeal Cancers. BioMed Res. Int. 2017, 2017, 3904098. [Google Scholar] [CrossRef] [PubMed]
- De Camargo Cancela, M.; Voti, L.; Guerra-Yi, M.; Chapuis, F.; Mazuir, M.; Curado, M.P. Oral cavity cancer in developed and in developing countries: Population-based incidence. Head Neck 2010, 32, 357–367. [Google Scholar] [CrossRef] [PubMed]
- Fitzmaurice, C.; Allen, C.; Barber, R.M.; Barregard, L.; Bhutta, Z.A.; Brenner, H.; Dicker, D.J.; Chimed-Orchir, O.; Dandona, R.; Dandona, L.; et al. Global, Regional, and National Cancer Incidence, Mortality, Years of Life Lost, Years Lived with Disability, and Disability-Adjusted Life-years for 32 Cancer Groups, 1990 to 2015. JAMA Oncol. 2017, 3, 524. [Google Scholar] [CrossRef] [PubMed]
- National Comprehensive Cancer Network. Head and Neck Cancers (Version 3.2021). Available online: https://www.nccn.org/professionals/physician_gls/pdf/head-and-neck.pdf (accessed on 4 May 2023).
- Yu, A.J.; Choi, J.S.; Swanson, M.S.; Kokot, N.C.; Brown, T.N.; Yan, G.; Sinha, U.K. Association of Race/Ethnicity, Stage, and Survival in Oral Cavity Squamous Cell Carcinoma: A SEER Study. OTO Open 2019, 3, 2473974X1989112. [Google Scholar] [CrossRef] [PubMed]
- Goodwin, W.J.; Thomas, G.R.; Parker, D.F.; Joseph, D.; Levis, S.; Franzmann, E.; Anello, C.; Hu, J.J. Unequal burden of head and neck cancer in the United States. Head Neck 2008, 30, 358–371. [Google Scholar] [CrossRef]
- Molina, M.A.; Cheung, M.C.; Perez, E.A.; Byrne, M.M.; Franceschi, D.; Moffat, F.L.; Livingstone, A.S.; Goodwin, W.J.; Gutierrez, J.C.; Koniaris, L.G. African American and poor patients have a dramatically worse prognosis for head and neck cancer. Cancer 2008, 113, 2797–2806. [Google Scholar] [CrossRef]
- Nichols, A.C.; Bhattacharyya, N. Racial Differences in Stage and Survival in Head and Neck Squamous Cell Carcinoma. Laryngoscope 2007, 117, 770–775. [Google Scholar] [CrossRef]
- Arbes, S.J.; Olshan, A.F.; Caplan, D.J.; Schoenbach, V.J.; Slade, G.D.; Symons, M.J. Factors contributing to the poorer survival of black Americans diagnosed with oral cancer (United States). Cancer Causes Control 1999, 10, 513–523. [Google Scholar] [CrossRef]
- AJCC. AJCC Cancer Staging Manual, 8th ed.; Springer: New York, NY, USA, 2017; pp. 123–126. [Google Scholar]
- Shah, B.R.; Chiu, M.; Amin, S.; Ramani, M.; Sadry, S.; Tu, J.V. Surname lists to identify South Asian and Chinese ethnicity from secondary data in Ontario, Canada: A validation study. BMC Med. Res. Methodol. 2010, 10, 42. [Google Scholar] [CrossRef] [PubMed]
- Meanings, Origins & Distribution Maps. Forebears.io. Published 2012. Available online: https://forebears.io/surnames (accessed on 24 April 2005).
- Auluck, A.; Hislop, G.; Bajdik, C.; Hay, J.; Bottorff, J.L.; Zhang, L.; Rosin, M.P. Gender- and ethnicity-specific survival trends of oral cavity and oropharyngeal cancers in British Columbia. Cancer Causes Control 2012, 23, 1899–1909. [Google Scholar] [CrossRef]
- Hislop, G.T.; Bajdik, C.D.; Regier, M.D.; Barroetavena, M.C. Ethnic differences in survival for female cancers of the breast, cervix and colorectum in British Columbia, Canada. Asian Pac. J. Cancer Prev. 2007, 8, 209–214. [Google Scholar] [PubMed]
- Boysen, M.; Lövdal, O.; Winther, F.; Tausjö, J. The value of follow-up in patients treated for squamous cell carcinoma of the head and neck. Eur. J. Cancer Prev. 1992, 28, 426–430. [Google Scholar] [CrossRef] [PubMed]
- Bernier, J.; Cooper, J.S.; Pajak, T.F.; Van Glabbeke, M.; Bourhis, J.; Forastiere, A.; Ozsahin, E.M.; Jacobs, J.R.; Jassem, J.; Ang, K.-K.; et al. Defining risk levels in locally advanced head and neck cancers: A comparative analysis of concurrent postoperative radiation plus chemotherapy trials of the EORTC (#22931) and RTOG (#9501). Head Neck 2005, 27, 843–850. [Google Scholar] [CrossRef]
- Cooper, J.S.; Pajak, T.F.; Forastiere, A.; Jacobs, J.; Fu, K.K.; Ang, K.K.; Laramore, G.E.; Al-Sarraf, M. Precisely defining high-risk operable head and neck tumors based on rtog #85-03 and #88-24: Targets for postoperative radiochemotherapy? Head Neck 1998, 20, 588–594. [Google Scholar] [CrossRef]
- Ang, K.K.; Trotti, A.; Brown, B.W.; Garden, A.S.; Foote, R.L.; Morrison, W.H.; Geara, F.B.; Klotch, D.W.; Goepfert, H.; Peters, L.J. Randomized trial addressing risk features and time factors of surgery plus radiotherapy in advanced head-and-neck cancer. Int. J. Radiat. Oncol. Biol. Phys. 2001, 51, 571–578. [Google Scholar] [CrossRef]
- Rosenthal, D.I.; Liu, L.; Lee, J.H.; Vapiwala, N.; Chalian, A.A.; Weinstein, G.S.; Chilian, I.; Weber, R.S.; Machtay, M. Importance of the treatment package time in surgery and postoperative radiation therapy for squamous carcinoma of the head and neck. Head Neck 2002, 24, 115–126. [Google Scholar] [CrossRef]
- Langendijk, J.A.; De Jong, M.A.; Leemans, C.R.; De Bree, R.; Smeele, L.E.; Doornaert, P.; Slotman, B.J. Postoperative radiotherapy in squamous cell carcinoma of the oral cavity: The importance of the overall treatment time. Int. J. Radiat. Oncol. Biol. Phys. 2003, 57, 693–700. [Google Scholar] [CrossRef] [PubMed]
- StataCorp. Stata Statistical Software: Release 18; StataCorp LLC.: College Station, TX, USA, 2023. [Google Scholar]
- Government of Canada, Statistics Canada. Census Profile, 2021 Census—Canada (Country) and Canada (Country). Statcan.gc.ca. Published 2021. Available online: https://www150.statcan.gc.ca/t1/tbl1/en/tv.action?pid=9810000801&geocode=A000011124 (accessed on 8 February 2023).
- Zain, R.B.; Ikeda, N.; Razak, I.A.; Axéll, T.; Majid, Z.A.; Gupta, P.C.; Yaacob, M. A national epidemiological survey of oral mucosal lesions in Malaysia. Comm. Dent. Oral Epidemiol. 1997, 25, 377–383. [Google Scholar] [CrossRef] [PubMed]
- Ali, T.B.T.; Jalaliuddin, R.L.R.; Razak, I.A.; Zain, R.B. Prevalence of Oral Precancerous and Cancerous Lesions in Elderly Malaysians. Asia Pac. J. Public Health 1997, 9, 24–27. [Google Scholar] [CrossRef] [PubMed]
- Warnakulasuriya, S. Areca nut use following migration and its consequences. Addict. Biol. 2002, 7, 127–132. [Google Scholar] [CrossRef] [PubMed]
- Petti, S. Lifestyle risk factors for oral cancer. Oral Oncol. 2009, 45, 340–350. [Google Scholar] [CrossRef] [PubMed]
- van Wyk, C.W.; Stander, I.; Padayachee, A.; Grobler-Rabie, A.F. The areca nut chewing habit and oral squamous cell carcinoma in South African Indians. A retrospective study. S. Afr. Med. J. 1993, 83, 425–429. [Google Scholar] [PubMed]
- Rock, L.; Datta, M.; Laronde, D.; Carraro, A.; Korbelik, J.; Harrison, A.; Guillaud, M. Conducting community oral cancer screening among South Asians in British Columbia. J. Cancer Educ. 2019, 79, 4223. [Google Scholar]
- Carvalho, A.L.; Nishimoto, I.N.; Califano, J.A.; Kowalski, L.P. Trends in incidence and prognosis for head and neck cancer in the United States: A site specific analysis of the SEER database. Int. J. Cancer 2005, 114, 806–816. [Google Scholar] [CrossRef] [PubMed]
- Shiboski, C.H.; Schmidt, B.L.; Jordan, R.C.K. Racial disparity in stage at diagnosis and survival among adults with oral cancer in the US. Comm. Dent. Oral Epidemiol. 2007, 35, 233–240. [Google Scholar] [CrossRef] [PubMed]
- Senevirathna, K.; Pradeep, R.; Jayasinghe, Y.A.; Jayawickrama, S.M.; Illeperuma, R.; Warnakulasuriya, S.; Jayasinghe, R.D. Carcinogenic Effects of Areca Nut and Its Metabolites: A Review of the Experimental Evidence. Clin. Pract. 2023, 13, 326–346. [Google Scholar] [CrossRef]
- Phulari, R.G.S.; Dave, E.J. A systematic review on the mechanisms of malignant transformation of oral submucous fibrosis. Eur. J. Cancer Prev. 2020, 29, 470–473. [Google Scholar] [CrossRef] [PubMed]
- Warnakulasuriya, S. Areca nut use: An independent risk factor for oral cancer. BMJ 2002, 324, 799–800. [Google Scholar] [CrossRef] [PubMed]
- Veeravarmal, V.; Austin, R.; Siddavaram, N.; Thiruneelakandan, S.; Nassar, M.M. Caspase-3 expression in normal oral epithelium, oral submucous fibrosis and oral squamous cell carcinoma. Int. J. Oral Maxillofac. Pathol. 2016, 20, 445. [Google Scholar] [CrossRef] [PubMed]
- Auluck, A.; Hislop, G.; Poh, C.; Zhang, L.; Rosin, M.P. Areca nut and betel quid chewing among South Asian immigrants to Western countries and its implications for oral cancer screening. Rural Remote Health 2009, 9, 1118. [Google Scholar] [CrossRef] [PubMed]
- Huang, Y.; Zhao, J.; Mao, G.; Lee, G.S.; Zhang, J.; Bi, L.; Gu, L.; Chang, Z.; Valentino, J.; Li, G.-M. Identification of novel genetic variants predisposing to familial oral squamous cell carcinomas. Cell Discov. 2019, 5, 57. [Google Scholar] [CrossRef]
- Dioguardi, M.; Spirito, F.; Sovereto, D.; Alovisi, M.; Aiuto, R.; Garcovich, D.; Crincoli, V.; Laino, L.; Cazzolla, A.P.; Caloro, G.A.; et al. The Prognostic Role of miR-31 in Head and Neck Squamous Cell Carcinoma: Systematic Review and Meta-Analysis with Trial Sequential Analysis. Int. J. Environ. Res. Public Health 2022, 19, 5334. [Google Scholar] [CrossRef]



| Characteristic | Total | Non-South Asian | South Asian | p-Value |
|---|---|---|---|---|
| N = 696 | N = 632 | N = 64 | ||
| Gender | ns | |||
| Female | 265 (38%) | 244 (39%) | 21 (33%) | |
| Male | 431 (62%) | 388 (61%) | 43 (67%) | |
| Age | 0.0194 * | |||
| Mean [SD] | 62.4 [13.34] | 62.8 [13.24] | 58.0 [13.72] | |
| Range | 23.6–96.3 | 23.6–96.3 | 25.8–79.3 | |
| Smoking History | <0.0001 ^ | |||
| Never Smoked | 191 (27%) | 153 (24%) | 38 (59%) | |
| Ex-smoker | 258 (37%) | 244 (39%) | 14 (22%) | |
| Current Smoker | 227(33%) | 216 (34%) | 10 (16%) | |
| Not Stated | 21 (3%) | 19 (3%) | 2 (3%) | |
| Betel Nut Usage | N/A | |||
| Yes | N/A | N/A | 23 (36%) | |
| No | N/A | N/A | 28 (44%) | |
| Not Stated | N/A | N/A | 13 (20%) | |
| Drinking History | <0.0001 ^ | |||
| Never Drinker | 155 (22%) | 121 (19%) | 34 (53%) | |
| Ex-drinker | 70 (10%) | 66 (10%) | 4 (6%) | |
| Current Drinker | 411 (59%) | 395 (63%) | 16 (25%) | |
| Not Stated | 60 (9%) | 50 (8%) | 10 (16%) | |
| Pathologic T stage | ns | |||
| T0/Tis | 31 (4%) | 29 (5%) | 2 (3%) | |
| T1 | 234 (34%) | 217 (34%) | 17 (27%) | |
| T2 | 169 (24%) | 149 (24%) | 20 (31%) | |
| T3 | 83 (12%) | 76 (12%) | 7 (11%) | |
| T4 | 171 (25%) | 153 (24%) | 18 (28%) | |
| Tx | 8 (1%) | 8 (1%) | 0 (0%) | |
| Pathologic N stage | ns | |||
| N0 | 268 (39%) | 245 (39%) | 23 (36%) | |
| N1 | 70 (10%) | 64 (10%) | 6 (9%) | |
| N2 | 138 (20%) | 121 (19%) | 17 (27%) | |
| N3 | 29 (4%) | 25 (4%) | 4 (6%) | |
| Nx | 186 (27%) | 177 (28%) | 14 (22%) | |
| Pathologic Clinical Stage | ns | |||
| Stage 0 | 4 (1%) | 3 (0%) | 1 (2%) | |
| Stage I | 74 (11%) | 70 (11%) | 4 (6%) | |
| Stage II | 87 (13%) | 77 (12%) | 10 (16%) | |
| Stage III | 80 (11%) | 73 (12%) | 7 (11%) | |
| Stage IV | 260 (37%) | 232 (37%) | 28 (44%) | |
| Not Stated | 191 (27%) | 177 (28%) | 14 (22%) | |
| Extracapsular Spread | ns | |||
| ECS not present | 146 (21%) | 131 (21%) | 15 (23%) | |
| ECS present | 93 (13%) | 81 (13%) | 12 (19%) | |
| N/A (eg N0 neck) | 457 (66%) | 420 (66%) | 37 (58%) | |
| Lymphvascular Invasion | ns | |||
| Absent | 500 (72%) | 456 (72%) | 44 (69%) | |
| Present | 112 (16%) | 102 (16%) | 10 (16%) | |
| Not Stated | 84 (12%) | 74 (12%) | 10 (16%) | |
| Perineural Invasion | ns | |||
| Absent | 403 (58%) | 363 (57%) | 40 (63%) | |
| Present | 202 (29%) | 185 (29%) | 17 (27%) | |
| Not Stated | 91 (13%) | 84 (13%) | 7 (11%) | |
| Treatment | ns | |||
| Surgery Alone | 427 (61%) | 389 (62%) | 38 (59%) | |
| Surgery + Radiation | 180 (26%) | 166 (26%) | 14 (22%) | |
| Surgery + Chemoradiation | 89 (13%) | 77 (12%) | 12 (19%) |
| Univariate Analysis | Multivariable Analysis | |||
|---|---|---|---|---|
| Variable | Hazard Ratio [95% CI] | p-Value | Hazard Ratio [95% CI] | p-Value |
| Ethnicity, non-SA vs. SA | 2.35 [1.51–3.65] | <0.0001 | 2.01 [1.28–3.14] | 0.002 |
| Pathologic T Classification, pT0-pT2 vs. pT3-pT4 | 2.17 [1.55–3.04] | <0.0001 | 1.46 [1.02–2.10] | 0.04 |
| Pathologic Node Positivity, pN0 vs. pN+ | 4.81 [3.08–7.51] | <0.0001 | – | – |
| Clinical Stage, I/II vs. III/IV | 5.14 [2.82–9.36] | <0.0001 | – | – |
| Lymphovascular Invasion, no vs. yes | 2.93 [2.00–4.29] | <0.0001 | – | – |
| Perineural Invasion, no vs. yes | 1.78 [1.24–2.55] | 0.002 | – | – |
| Extracapsular Spread (ref: N0) | ||||
| N+, ECS− | 2.98 [1.99–4.45] | <0.0001 | 2.65 [1.77–3.99] | <0.0001 |
| N+, ECS+ | 5.39 [3.57–8.14] | <0.0001 | 4.32 [2.75–6.78] | <0.0001 |
| Treatment Modality (ref: Surgery Alone) | ||||
| Surgery + Radiation | 2.30 [1.57–3.36] | <0.0001 | – | – |
| Surgery + Chemoradiation | 2.84 [1.83–4.34] | <0.0001 | – | – |
| Univariate Analysis | Multivariable Analysis | |||
|---|---|---|---|---|
| Variable | Hazard Ratio [95% CI] | p-Value | Hazard Ratio [95% CI] | p-Value |
| Ethnicity, non-SA vs. SA | 2.14 [1.34–3.42] | 0.001 | 1.79 [1.12–2.88] | 0.016 |
| Pathologic T Classification, pT0-pT2 vs. pT3-pT4 | 2.37 [1.66–3.36] | <0.0001 | 1.64 [1.10–2.43] | 0.015 |
| Pathologic Node Positivity, pN0 vs. pN+ | 6.10 [3.75–9.92] | <0.0001 | – | – |
| Clinical Stage, I/II vs. III/IV | 7.67 [3.73–15.78] | <0.0001 | – | – |
| Lymphovascular Invasion, no vs. yes | 3.11 [2.11–4.57] | <0.0001 | – | – |
| Perineural Invasion, no vs. yes | 2.20 [1.53–3.18] | <0.0001 | – | – |
| Bone Invasion, no vs. yes | 1.80 [1.11–2.92] | 0.017 | – | – |
| Extracapsular Spread (ref: N0) | ||||
| N+, ECS− | 3.70 [2.38–5.74] | <0.0001 | 3.97 [2.44–6.45] | <0.0001 |
| N+, ECS+ | 8.04 [5.24–12.35] | <0.0001 | 16.40 [9.00–29.91] | <0.0001 |
| Treatment Modality (ref: Surgery Alone) | ||||
| Surgery + Radiation | 2.28 [1.53–3.41] | <0.0001 | 0.85 [0.53–1.36] | ns |
| Surgery + Chemoradiation | 3.14 [2.00–4.94] | <0.0001 | 0.27 [0.14–0.53] | <0.0001 |
Disclaimer/Publisher’s Note: The statements, opinions and data contained in all publications are solely those of the individual author(s) and contributor(s) and not of MDPI and/or the editor(s). MDPI and/or the editor(s) disclaim responsibility for any injury to people or property resulting from any ideas, methods, instructions or products referred to in the content. |
© 2024 by the authors. Licensee MDPI, Basel, Switzerland. This article is an open access article distributed under the terms and conditions of the Creative Commons Attribution (CC BY) license (https://creativecommons.org/licenses/by/4.0/).
Share and Cite
Mahboubi, K.; Nakoneshny, S.C.; Sauro, K.; Roberts, S.; Hart, R.; Matthews, T.W.; Dort, J.; Chandarana, S.P. The Association of Ethnicity and Oncologic Outcomes for Oral Cavity Squamous Cell Carcinoma (OSCC). Cancers 2024, 16, 2117. https://doi.org/10.3390/cancers16112117
Mahboubi K, Nakoneshny SC, Sauro K, Roberts S, Hart R, Matthews TW, Dort J, Chandarana SP. The Association of Ethnicity and Oncologic Outcomes for Oral Cavity Squamous Cell Carcinoma (OSCC). Cancers. 2024; 16(11):2117. https://doi.org/10.3390/cancers16112117
Chicago/Turabian StyleMahboubi, Kiana, Steven C. Nakoneshny, Khara Sauro, Samuel Roberts, Rob Hart, T. Wayne Matthews, Joseph Dort, and Shamir P. Chandarana. 2024. "The Association of Ethnicity and Oncologic Outcomes for Oral Cavity Squamous Cell Carcinoma (OSCC)" Cancers 16, no. 11: 2117. https://doi.org/10.3390/cancers16112117
APA StyleMahboubi, K., Nakoneshny, S. C., Sauro, K., Roberts, S., Hart, R., Matthews, T. W., Dort, J., & Chandarana, S. P. (2024). The Association of Ethnicity and Oncologic Outcomes for Oral Cavity Squamous Cell Carcinoma (OSCC). Cancers, 16(11), 2117. https://doi.org/10.3390/cancers16112117

