Development Trajectories of Fatigue, Quality of Life, and the Ability to Work among Colorectal Cancer Patients in the First Year after Rehabilitation—First Results of the MIRANDA Study
Abstract
Simple Summary
Abstract
1. Introduction
2. Materials and Methods
2.1. Study Design and Participants
- Age ≥ 18 years.
- CRC diagnosis (ICD-10 C18-20 and C21.8) and recruitment within 12 months after primary CRC therapy (surgery, radiation, and/or chemotherapy).
- At least three weeks of in-patient rehabilitation in one of the six cooperating rehabilitation clinics.
- Sufficient knowledge of the German language and mental capability to give written informed consent and comply with the study requirements.
- European Organization for the Research and Treatment of Cancer—Quality of Life Questionnaire—Core 30 (EORTC-QLQ-C30) [14];
- EORTC-QLQ ColoRectal cancer-specific QoL (EORTC-QLQ-CR29) [15];
- EORTC-QLQ Fatigue Assessment (EORTC-QLQ-FA12) [16];
- Functional Assessment of Chronic Illness Therapy—Fatigue—Fatigue Scale (FACIT-F-FS) [17];
- FACIT-F—Functional Well-Being (FACIT-F-FWB) scale [17];
- Questionnaire on Stress in Cancer (QSC-R10) [18];
- Geriatric Depression Scale (GDS-15) [19];
- General Anxiety Disorder-7 (GAD-7) scale [20];
2.2. Outcomes of Interest in This Work
2.2.1. Quality of Life
2.2.2. Fatigue
2.2.3. Ability to Work
2.3. Statistical Analysis
3. Results
3.1. Partcipants’ Characteristics
3.2. Correlation of Fatigue, Quality of Life, and Ability to Work Scales at the Baseline
3.3. Co-Occurrence of Fatigue, Low-to-Moderate Quality of Life, and Low-to-Moderate Ability to Work
3.4. Adjusted Odds Ratios for the Cross-Sectional Associations of Cancer-Related Fatigue, Low-to-Moderate Quality of Life, and Low-to-Moderate Ability to Work at the Baseline
3.5. Development Trajectories of Fatigue, Quality of Life, and Ability to Work Scales
3.6. Correlation of Changes in Fatigue, Quality of Life, and Ability to Work Scales from the Baseline to 3-Month Follow-up
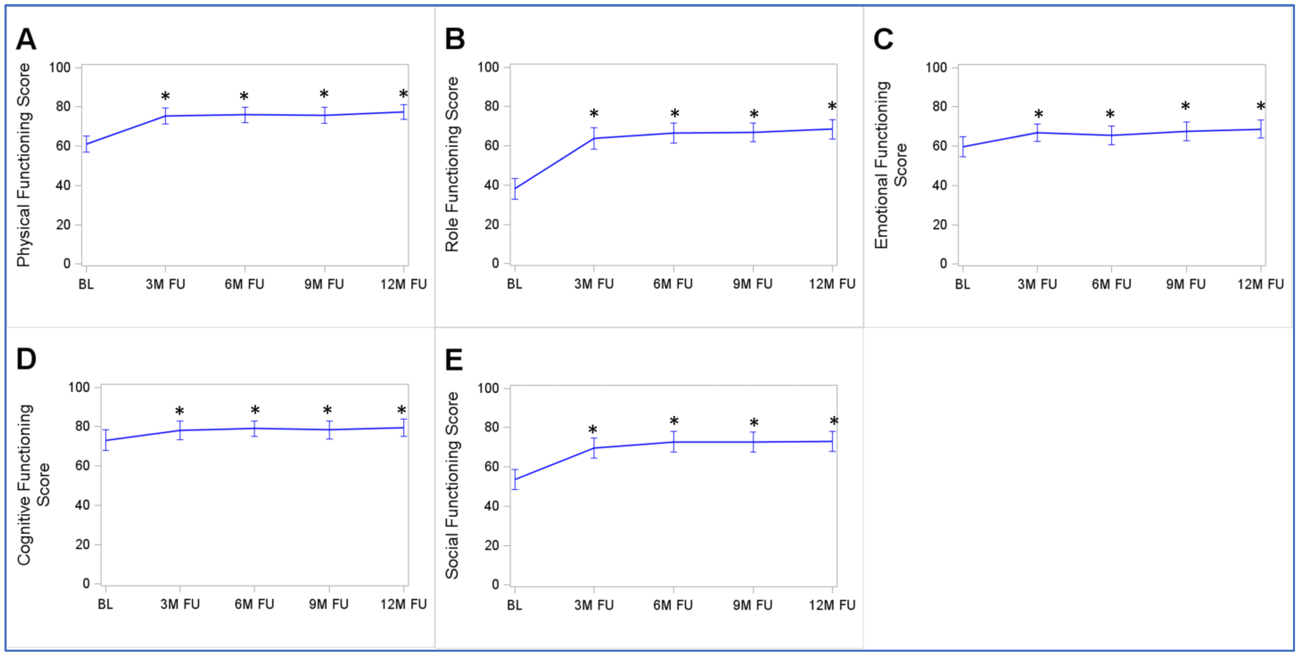
3.7. Development Trajectories of the EORTC-QLQ-C30’s Functional Scales
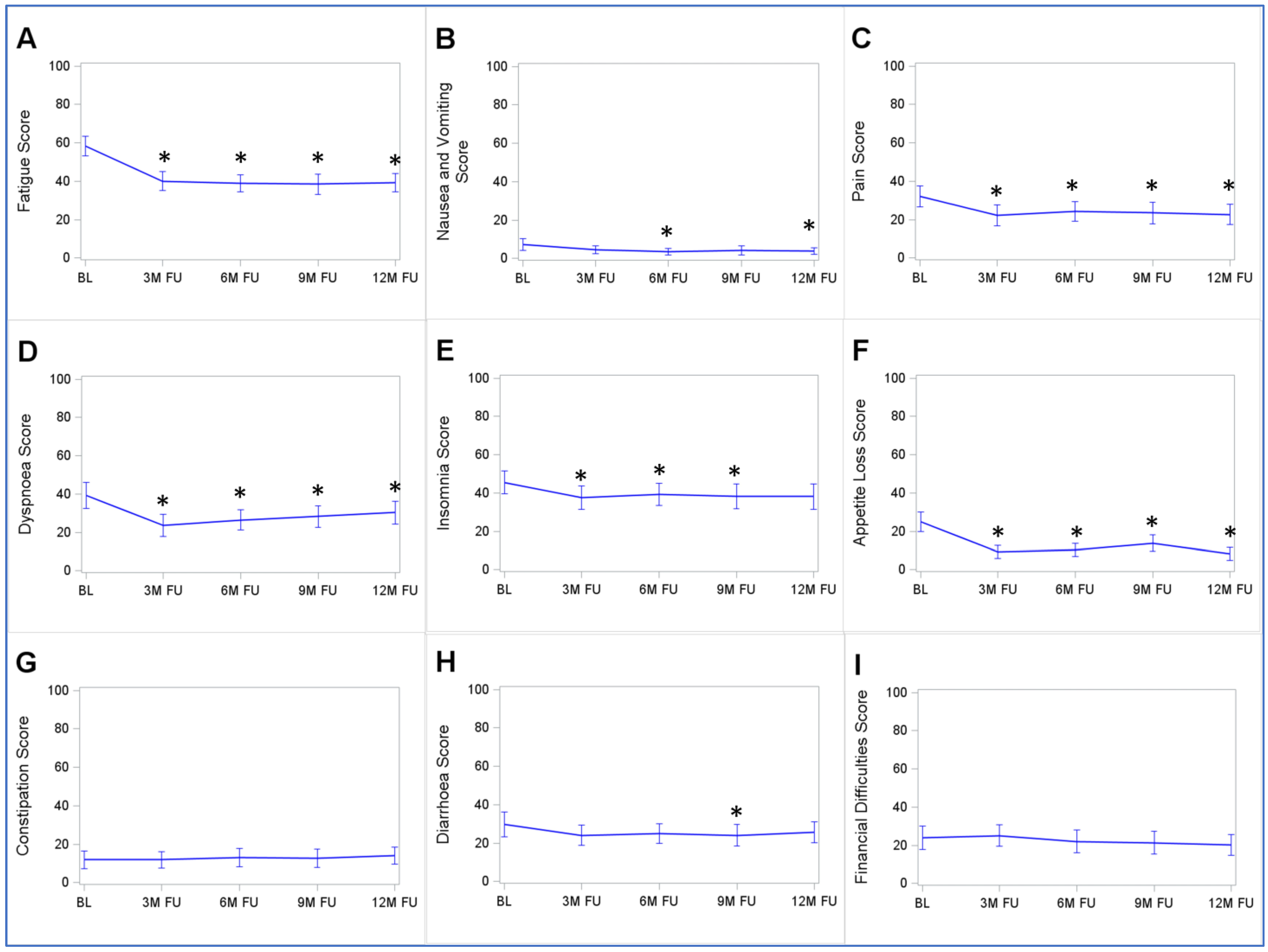
3.8. Development Trajectories of the EORTC-QLQ-C30’s Symptom Scales
4. Discussion
5. Conclusions
Supplementary Materials
Author Contributions
Funding
Institutional Review Board Statement
Informed Consent Statement
Data Availability Statement
Acknowledgments
Conflicts of Interest
References
- Morgan, E.; Arnold, M.; Gini, A.; Lorenzoni, V.; Cabasag, C.J.; Laversanne, M.; Vignat, J.; Ferlay, J.; Murphy, N.; Bray, F. Global burden of colorectal cancer in 2020 and 2040: Incidence and mortality estimates from GLOBOCAN. Gut 2022, 72, 338–344. [Google Scholar] [CrossRef] [PubMed]
- Robert Koch Institut. Cancer in Germany. Chapter: Colon and Rectum—C18–C20. 2019. Available online: https://www.krebsdaten.de/Krebs/EN/Content/Cancer_sites/Colorectal_cancer/colorectal_cancer_node.html (accessed on 7 June 2023).
- Brenner, H.; Chen, C. The colorectal cancer epidemic: Challenges and opportunities for primary, secondary and tertiary prevention. Br. J. Cancer 2018, 119, 785–792. [Google Scholar] [CrossRef]
- Arndt, V.; Koch-Gallenkamp, L.; Bertram, H.; Eberle, A.; Holleczek, B.; Pritzkuleit, R.; Waldeyer-Sauerland, M.; Waldmann, A.; Zeissig, S.R.; Doege, D.; et al. Return to work after cancer. A multi-regional population-based study from Germany. Acta Oncol. 2019, 58, 811–818. [Google Scholar] [CrossRef] [PubMed]
- Rick, O.; Dauelsberg, T.; Kalusche-Bontemps, E.-M. Oncological Rehabilitation. Oncol. Res. Treat. 2017, 40, 772–777. [Google Scholar] [CrossRef] [PubMed]
- Paltrinieri, S.; Fugazzaro, S.; Bertozzi, L.; Bassi, M.C.; Pellegrini, M.; Vicentini, M.; Mazzini, E.; Costi, S. Return to work in European Cancer survivors: A systematic review. Support. Care Cancer 2018, 26, 2983–2994. [Google Scholar] [CrossRef] [PubMed]
- Kim, K.; Yoon, H. Health-Related Quality of Life among Cancer Survivors Depending on the Occupational Status. Int. J. Environ. Res. Public Health 2021, 18, 3803. [Google Scholar] [CrossRef]
- Yuan, C.; Wang, C.; Wu, W.; Ho, C.; Chen, W. Risk factors for return to work in colorectal cancer survivors. Cancer Med. 2021, 10, 3938–3951. [Google Scholar] [CrossRef]
- Thong, M.S.; van Noorden, C.J.F.; Steindorf, K.; Arndt, V. Cancer-Related Fatigue: Causes and Current Treatment Options. Curr. Treat. Options Oncol. 2020, 21, 17. [Google Scholar] [CrossRef]
- Jones, J.M.; Olson, K.; Catton, P.; Catton, C.N.; Fleshner, N.E.; Krzyzanowska, M.; McCready, D.R.; Wong, R.K.S.; Jiang, H.; Howell, D. Cancer-related fatigue and associated disability in post-treatment cancer survivors. J. Cancer Surviv. 2015, 10, 51–61. [Google Scholar] [CrossRef]
- Schmidt, M.E.; Goldschmidt, S.; Hermann, S.; Steindorf, K. Late effects, long-term problems and unmet needs of cancer survivors. Int. J. Cancer 2022, 151, 1280–1290. [Google Scholar] [CrossRef]
- Schöttker, B.; Kuznia, S.; Laetsch, D.C.; Czock, D.; Kopp-Schneider, A.; Caspari, R.; Brenner, H. Protocol of the VICTORIA study: Personalized vitamin D supplementation for reducing or preventing fatigue and enhancing quality of life of patients with colorectal tumor—Randomized intervention trial. BMC Cancer 2020, 20, 739. [Google Scholar] [CrossRef] [PubMed]
- Kuznia, S.; Czock, D.; Kopp-Schneider, A.; Caspari, R.; Fischer, H.; Laetsch, D.C.; Slavic, M.; Brenner, H.; Schöttker, B. Efficacy and Safety of a Personalized Vitamin D3 Loading Dose Followed by Daily 2000 IU in Colorectal Cancer Patients with Vitamin D Insufficiency: Interim Analysis of a Randomized Controlled Trial. Nutrients 2022, 14, 4546. [Google Scholar] [CrossRef]
- Aaronson, N.K.; Ahmedzai, S.; Bergman, B.; Bullinger, M.; Cull, A.; Duez, N.J.; Filiberti, A.; Flechtner, H.; Fleishman, S.B.; De Haes, J.C.J.M.; et al. The European Organization for Research and Treatment of Cancer QLQ-C30: A Quality-of-Life Instrument for Use in International Clinical Trials in Oncology. JNCI J. Natl. Cancer Inst. 1993, 85, 365–376. [Google Scholar] [CrossRef]
- Whistance, R.; Conroy, T.; Chie, W.; Costantini, A.; Sezer, O.; Koller, M.; Johnson, C.; Pilkington, S.; Arraras, J.; Ben-Josef, E.; et al. Clinical and psychometric validation of the EORTC QLQ-CR29 questionnaire module to assess health-related quality of life in patients with colorectal cancer. Eur. J. Cancer 2009, 45, 3017–3026. [Google Scholar] [CrossRef] [PubMed]
- Weis, J.; Wirtz, M.A.; Tomaszewski, K.A.; Hammerlid, E.; Arraras, J.I.; Conroy, T.; Lanceley, A.; Schmidt, H.; Singer, S.; Pinto, M.; et al. Sensitivity to change of the EORTC quality of life module measuring cancer-related fatigue (EORTC QlQ-Fa12): Results from the international psychometric validation. Psychooncology 2019, 28, 1753–1761. [Google Scholar] [CrossRef]
- Cella, D.F.; Tulsky, D.S.; Gray, G.; Sarafian, B.; Linn, E.; Bonomi, A.; Silberman, M.; Yellen, S.B.; Winicour, P.; Brannon, J. The Functional Assessment of Cancer Therapy scale: Development and validation of the general measure. J. Clin. Oncol. 1993, 11, 570–579. [Google Scholar] [CrossRef]
- Book, K.; Marten-Mittag, B.; Henrich, G.; Dinkel, A.; Scheddel, P.; Sehlen, S.; Haimerl, W.; Schulte, T.; Britzelmeir, I.; Herschbach, P. Distress screening in oncology-evaluation of the Questionnaire on Distress in Cancer Patients-short form (QSC-R10) in a German sample. Psychooncology 2011, 20, 287–293. [Google Scholar] [CrossRef] [PubMed]
- Stiles, P.; McGarrahan, J. The Geriatric Depression Scale: A comprehensive review. J. Clin. Geropsychol. 1998, 4, 89–110. [Google Scholar]
- Hinz, A.; Klein, A.M.; Brähler, E.; Glaesmer, H.; Luck, T.; Riedel-Heller, S.G.; Wirkner, K.; Hilbert, A. Psychometric evaluation of the Generalized Anxiety Disorder Screener GAD-7, based on a large German general population sample. J. Affect. Disord. 2016, 210, 338–344. [Google Scholar] [CrossRef]
- Braun, T.; Gruneberg, C.; Thiel, C. German translation, cross-cultural adaptation and diagnostic test accuracy of three frailty screening tools: PRISMA-7, FRAIL scale and Groningen Frailty Indicator. Z. Gerontol. Geriatr. 2018, 51, 282–292. [Google Scholar] [CrossRef]
- Morley, J.E.; Malmstrom, T.K.; Miller, D.K. A simple frailty questionnaire (FRAIL) predicts outcomes in middle aged African Americans. J. Nutr. Health Aging 2012, 16, 601–608. [Google Scholar] [CrossRef] [PubMed]
- Snyder, C.F.; Blackford, A.L.; Okuyama, T.; Akechi, T.; Yamashita, H.; Toyama, T.; Carducci, M.A.; Wu, A.W. Using the EORTC-QLQ-C30 in clinical practice for patient management: Identifying scores requiring a clinician’s attention. Qual. Life Res. 2013, 22, 2685–2691. [Google Scholar] [CrossRef] [PubMed]
- Osoba, D.; Rodrigues, G.; Myles, J.; Zee, B.C.-Y.; Pater, J. Interpreting the significance of changes in health-related quality-of-life scores. J. Clin. Oncol. 1998, 16, 139–144. [Google Scholar] [CrossRef] [PubMed]
- Van Belle, S.; Paridaens, R.; Evers, G.; Kerger, J.; Bron, D.; Foubert, J.; Ponnet, G.; Steichel, D.V.; Heremans, C.; Rosillon, D. Comparison of proposed diagnostic criteria with FACT-F and VAS for cancer-related fatigue: Proposal for use as a screening tool. Support. Care Cancer 2005, 13, 246–254. [Google Scholar] [CrossRef]
- Cella, D.; Eton, D.T.; Lai, J.-S.; Peterman, A.H.; Merkel, D.E. Combining Anchor and Distribution-Based Methods to Derive Minimal Clinically Important Differences on the Functional Assessment of Cancer Therapy (FACT) Anemia and Fatigue Scales. J. Pain Symptom Manag. 2002, 24, 547–561. [Google Scholar] [CrossRef]
- Bethge, M.; Radoschewski, F.; Gutenbrunner, C. The Work Ability Index as a screening tool to identify the need for rehabilitation: Longitudinal findings from the Second German Sociomedical Panel of Employees. J. Rehabil. Med. 2012, 44, 980–987. [Google Scholar] [CrossRef]
- Landis, J.R.; Koch, G.G. The Measurement of Observer Agreement for Categorical Data. Biometrics 1977, 33, 159–174. [Google Scholar] [CrossRef]
- Broadhead, W.E.; Gehlbach, S.H.; de Gruy, F.V.; Kaplan, B.H. The Duke-UNC Functional Social Support Questionnaire. Measurement of social support in family medicine patients. Med. Care 1988, 26, 709–723. [Google Scholar] [CrossRef]
- Saracino, R.; Kolva, E.; Rosenfeld, B.; Breitbart, W. Measuring social support in patients with advanced medical illnesses: An analysis of the Duke–UNC Functional Social Support Questionnaire. Palliat. Support. Care 2014, 13, 1153–1163. [Google Scholar] [CrossRef] [PubMed]
- Ezzati, M.L.A.; Rodgers, A.; Murray, C.J.L. (Eds.) Comparative Quantification of Health Risks: Global and Regional Burden of Disease Attributable to Selected Major Risk Factors. Chapter 12: Alcohol Use; World Health Organization: Geneva, Switzerland, 2004; p. 968. Available online: https://apps.who.int/iris/bitstream/handle/10665/42792/9241580348_eng_Volume1.pdf;jsessionid= 6F880A0A86A2E1695AC9CD2AF85FFD6B?sequence=1 (accessed on 26 May 2023).
- Topolski, T.D.; LoGerfo, J.; Patrick, D.L.; Williams, B.; Walwick, J.; Patrick, M.M. The Rapid Assessment of Physical Activity (RAPA) Among Older Adults. Prev. Chronic Dis. 2006, 3, A118. [Google Scholar] [PubMed]
- Erben, V.; Carr, P.R.; Holleczek, B.; Stegmaier, C.; Hoffmeister, M.; Brenner, H. Strong associations of a healthy lifestyle with all stages of colorectal carcinogenesis: Results from a large cohort of participants of screening colonoscopy. Int. J. Cancer 2019, 144, 2135–2143. [Google Scholar] [CrossRef] [PubMed]
- Laird, B.J.; Scott, A.C.; Colvin, L.A.; McKeon, A.-L.; Murray, G.D.; Fearon, K.C.; Fallon, M.T. Pain, Depression, and Fatigue as a Symptom Cluster in Advanced Cancer. J. Pain Symptom Manag. 2011, 42, 1–11. [Google Scholar] [CrossRef] [PubMed]
- Curt, G.A.; Breitbart, W.; Cella, D.; Groopman, J.E.; Horning, S.J.; Itri, L.M.; Johnson, D.H.; Miaskowski, C.; Scherr, S.L.; Portenoy, R.K.; et al. Impact of Cancer-Related Fatigue on the Lives of Patients: New Findings From the Fatigue Coalition. Oncologist 2000, 5, 353–360. [Google Scholar] [CrossRef] [PubMed]
- Wolvers, M.D.J.; Leensen, M.C.J.; Groeneveld, I.F.; Frings-Dresen, M.H.W.; De Boer, A.G.E.M. Longitudinal Associations Between Fatigue and Perceived Work Ability in Cancer Survivors. J. Occup. Rehabil. 2018, 29, 540–549. [Google Scholar] [CrossRef]
- Xian, X.; Zhu, C.; Chen, Y.; Huang, B.; Xu, D. A longitudinal analysis of fatigue in colorectal cancer patients during chemotherapy. Support. Care Cancer 2021, 29, 5245–5252. [Google Scholar] [CrossRef]
- Świątkowski, F.; Górnicki, T.; Bułdyś, K.; Chabowski, M. The Quality of Life of Patients with Surgically Treated Colorectal Cancer: A Narrative Review. J. Clin. Med. 2022, 11, 6211. [Google Scholar] [CrossRef]
- Husebø, A.M.L.; Dalen, I.; Søreide, J.A.; Bru, E.; Richardson, A. Cancer-related fatigue and treatment burden in surgically treated colorectal cancer patients—A cross-sectional study. J. Clin. Nurs. 2021, 31, 3089–3101. [Google Scholar] [CrossRef]
- Arndt, V.; Merx, H.; Stegmaier, C.; Ziegler, H.; Brenner, H. Quality of Life in Patients With Colorectal Cancer 1 Year After Diagnosis Compared With the General Population: A Population-Based Study. J. Clin. Oncol. 2004, 22, 4829–4836. [Google Scholar] [CrossRef]
- Smith, R.C. The biopsychosocial revolution. J. Gen. Intern. Med. 2002, 17, 309–310. [Google Scholar] [CrossRef]
- Singh, B.; Hayes, S.C.; Spence, R.R.; Steele, M.L.; Millet, G.Y.; Gergele, L. Exercise and colorectal cancer: A systematic review and meta-analysis of exercise safety, feasibility and effectiveness. Int. J. Behav. Nutr. Phys. Act. 2020, 17, 122. [Google Scholar] [CrossRef]
- Mishra, S.I.; Scherer, R.W.; Geigle, P.M.; Berlanstein, D.R.; Topaloglu, O.; Gotay, C.C.; Snyder, C. Exercise interventions on health-related quality of life for cancer survivors. Cochrane Database Syst. Rev. 2012, 2012, CD007566. [Google Scholar] [CrossRef]
- Poort, H.; Peters, M.; van der Graaf, W.; Nieuwkerk, P.; van de Wouw, A.; der Sanden, M.N.-V.; Bleijenberg, G.; Verhagen, C.; Knoop, H. Cognitive behavioral therapy or graded exercise therapy compared with usual care for severe fatigue in patients with advanced cancer during treatment: A randomized controlled trial. Ann. Oncol. 2020, 31, 115–122. [Google Scholar] [CrossRef]
- van Roekel, E.H.; Bours, M.J.L.; Breukink, S.O.; Aquarius, M.; Keulen, E.T.P.; Gicquiau, A.; Rinaldi, S.; Vineis, P.; Arts, I.C.W.; Gunter, M.J.; et al. Longitudinal associations of plasma metabolites with persistent fatigue among colorectal cancer survivors up to 2 years after treatment. Int. J. Cancer 2023, 152, 214–226. [Google Scholar] [CrossRef]
- Laghousi, D.; Jafari, E.; Nikbakht, H.; Nasiri, B.; Shamshirgaran, M.; Aminisani, N. Gender differences in health-related quality of life among patients with colorectal cancer. J. Gastrointest. Oncol. 2019, 10, 453–461. [Google Scholar] [CrossRef] [PubMed]
- Huang, S.-T.; Ke, X.; Yu, X.-Y.; Wu, Y.-X.; Huang, Y.-X.; Liu, D. Risk factors for cancer-related fatigue in patients with colorectal cancer: A systematic review and meta-analysis. Support. Care Cancer 2022, 30, 10311–10322. [Google Scholar] [CrossRef] [PubMed]
- Klocker, J.; Klocker-Kaiser, U.; Pipam, W.; Geissler, D. Long-term improvement of the bio-psycho-social state of cancer patients after 3 weeks of inpatient oncological rehabilitation: A long-term study at the Humanomed Zentrum Althofen. Wien Med. Wochenschr. 2018, 168, 350–360. [Google Scholar] [CrossRef] [PubMed]
- Cabilan, C.J.; Hines, S. The short-term impact of colorectal cancer treatment on physical activity, functional status and quality of life: A systematic review. JBI Database Syst. Rev. Implement. Rep. 2017, 15, 517–566. [Google Scholar] [CrossRef] [PubMed]
- Thong, M.S.; Mols, F.; Wang, X.S.; Lemmens, V.E.; Smilde, T.J.; van de Poll-Franse, L.V. Quantifying fatigue in (long-term) colorectal cancer survivors: A study from the population-based Patient Reported Outcomes Following Initial treatment and Long term Evaluation of Survivorship registry. Eur. J. Cancer 2013, 49, 1957–1966. [Google Scholar] [CrossRef]
- Duijts, S.F.A.; Kieffer, J.M.; van Muijen, P.; van der Beek, A.J. Sustained employability and health-related quality of life in cancer survivors up to four years after diagnosis. Acta Oncol. 2017, 56, 174–182. [Google Scholar] [CrossRef]
- Couwenberg, A.M.; Intven, M.P.; Gregorowitsch, M.L.; Haaring, C.; van Grevenstein, W.; Verkooijen, H.M. Patient-Reported Work Ability during the First Two Years after Rectal Cancer Diagnosis. Dis. Colon Rectum 2020, 63, 578–587. [Google Scholar] [CrossRef]
- Franken, M.D.; Vink, G.; van Grevenstein, W.M.; Verkooijen, H.M.; Punt, C.J.; Koopman, M.; May, A.M.; on behalf of the PLCRC Study Group. Work Ability in Patients with Stage I to IV Colon Cancer: Results of the Dutch Prospective Colorectal Cancer Cohort. Dis. Colon Rectum 2023, 66, 50–58. [Google Scholar] [CrossRef] [PubMed]




| Baseline Characteristics | Ntotal | Proportion (%) | Mean (SD) |
|---|---|---|---|
| Age (years) | 147 | 62.5 (9.9) | |
| <65 | 90 (61.2) | ||
| ≥65 | 57 (38.8) | ||
| Sex | 147 | ||
| Female | 55 (37.4) | ||
| Male | 92 (62.6) | ||
| School education (years) | 142 | ||
| 9 | 56 (39.4) | ||
| 10–12 | 59 (41.5) | ||
| 13 | 27 (19.0) | ||
| Months since CRC diagnosis | 126 | 4.9 (3.9) | |
| Cancer stage | 147 | ||
| I | 49 (33.3) | ||
| II | 45 (30.6) | ||
| III | 37 (25.2) | ||
| Unknown | 16 (10.9) | ||
| Type of CRC treatment | 144 | ||
| Surgery | |||
| Yes | 144 (100) | ||
| No | 0 (0) | ||
| Chemotherapy | |||
| Yes | 76 (52.8) | ||
| No | 68 (47.2) | ||
| Radiotherapy | |||
| Yes | 103 (71.5) | ||
| No | 41 (28.5) | ||
| Months since CRC surgery | 142 | ||
| 0–1 | 69 (45.5) | ||
| 2–3 | 20 (14.1) | ||
| 4–6 | 23 (16.2) | ||
| 7–9 | 23 (16.2) | ||
| 10–12 | 7 (4.9) | ||
| BMI (kg/m²) | 147 | 27.4 (5.7) | |
| <25 | 51 (34.7) | ||
| 25 to <30 | 60 (40.8) | ||
| ≥30 | 36 (24.5) | ||
| Smoking status | 129 | ||
| Never smoked | 56 (43.4) | ||
| Former smoker | 57 (44.2) | ||
| Current smoker | 16 (12.4) | ||
| Alcohol consumption a,b | 128 | ||
| None | 26 (20.3) | ||
| Low or moderate | 94 (73.4) | ||
| High | 8 (6.3) | ||
| Healthy physical activity a,c | 126 | ||
| Yes | 62 (49.2) | ||
| No | 64 (50.8) | ||
| Comorbidities | |||
| Diabetes mellitus | 128 | 18 (14.1) | |
| Hypertension | 127 | 64 (50.4) | |
| History of myocardial infarction | 128 | 5 (3.9) | |
| History of stroke | 128 | 5 (3.9) | |
| Frailty d | 134 | ||
| Non-frail | 19 (14.2) | ||
| Pre-frail | 89 (66.4) | ||
| Frail | 26 (19.4) | ||
| Depression (GDS-15 scale points) | 146 | 6 (1.7) | |
| Anxiety (GAD-7 scale points) | 144 | 5.4 (4.5) | |
| Psychosocial distress (QSC-R10 scale points) | 127 | 16 (9.6) | |
| Social support (DUFFS-5 scale points) | 132 | 4.4 (0.9) | |
| Employment status | 141 | ||
| Fully employed | 67 (47.5) | ||
| Part-time employed | 13 (9.2) | ||
| Retired | 56 (39.7) | ||
| Unemployed | 5 (3.5) |
Disclaimer/Publisher’s Note: The statements, opinions and data contained in all publications are solely those of the individual author(s) and contributor(s) and not of MDPI and/or the editor(s). MDPI and/or the editor(s) disclaim responsibility for any injury to people or property resulting from any ideas, methods, instructions or products referred to in the content. |
© 2023 by the authors. Licensee MDPI, Basel, Switzerland. This article is an open access article distributed under the terms and conditions of the Creative Commons Attribution (CC BY) license (https://creativecommons.org/licenses/by/4.0/).
Share and Cite
Vlaski, T.; Slavic, M.; Caspari, R.; Fischer, H.; Brenner, H.; Schöttker, B. Development Trajectories of Fatigue, Quality of Life, and the Ability to Work among Colorectal Cancer Patients in the First Year after Rehabilitation—First Results of the MIRANDA Study. Cancers 2023, 15, 3168. https://doi.org/10.3390/cancers15123168
Vlaski T, Slavic M, Caspari R, Fischer H, Brenner H, Schöttker B. Development Trajectories of Fatigue, Quality of Life, and the Ability to Work among Colorectal Cancer Patients in the First Year after Rehabilitation—First Results of the MIRANDA Study. Cancers. 2023; 15(12):3168. https://doi.org/10.3390/cancers15123168
Chicago/Turabian StyleVlaski, Tomislav, Marija Slavic, Reiner Caspari, Harald Fischer, Hermann Brenner, and Ben Schöttker. 2023. "Development Trajectories of Fatigue, Quality of Life, and the Ability to Work among Colorectal Cancer Patients in the First Year after Rehabilitation—First Results of the MIRANDA Study" Cancers 15, no. 12: 3168. https://doi.org/10.3390/cancers15123168
APA StyleVlaski, T., Slavic, M., Caspari, R., Fischer, H., Brenner, H., & Schöttker, B. (2023). Development Trajectories of Fatigue, Quality of Life, and the Ability to Work among Colorectal Cancer Patients in the First Year after Rehabilitation—First Results of the MIRANDA Study. Cancers, 15(12), 3168. https://doi.org/10.3390/cancers15123168

