Safety and Efficacy of the Superior Gluteal Artery Perforator (SGAP) Flap in Autologous Breast Reconstruction: Systematic Review and Meta-Analysis
Abstract
:Simple Summary
Abstract
1. Introduction
2. Materials and Methods
2.1. Literature Search Methodology
2.2. Selection Criteria
2.3. Data Extraction
2.4. Outcomes
2.5. Statistical Analysis
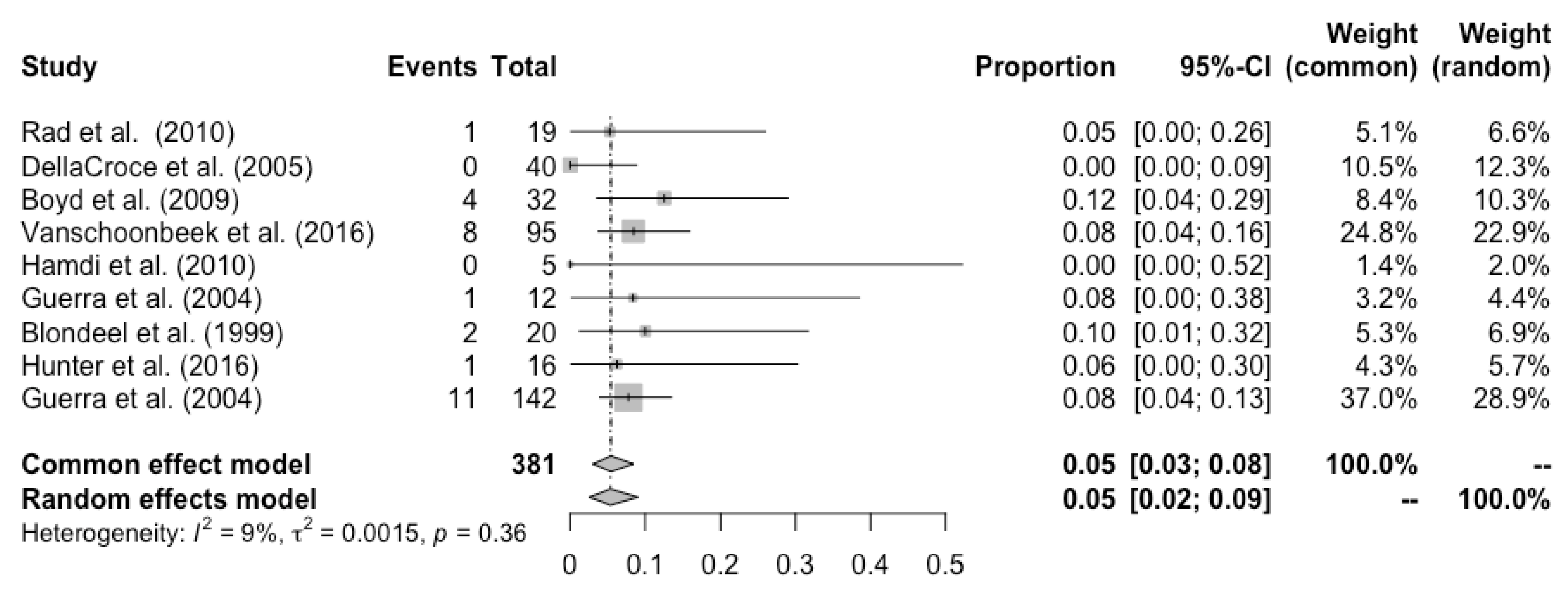
3. Results
4. Discussion
5. Conclusions
Author Contributions
Funding
Conflicts of Interest
References
- Lee, C.; Sunu, C.; Pignone, M. Patient-reported Outcomes of Breast Reconstruction after Mastectomy: A Systematic Review. J. Am. Coll. Surg. 2009, 209, 123–133. [Google Scholar] [CrossRef] [PubMed]
- Atisha, D.; Alderman, A.K.; Lowery, J.C.; Kuhn, L.E.; Davis, J.; Wilkins, E.G. Prospective Analysis of Long-term Psychosocial Outcomes in Breast Reconstruction: Two-year Postoperative Results from the Michigan Breast Reconstruction Outcomes Study. Ann. Surg. 2008, 247, 1019–1028. [Google Scholar] [CrossRef] [PubMed]
- Eltahir, Y.; Werners, L.L.C.H.; Dreise, M.M.; van Emmichoven, I.A.Z.; Jansen, L.; Werker, P.M.N.; de Bock, G. Quality-of-life outcomes between mastectomy alone and breast reconstruction: Comparison of patient-reported BREAST-Q and other health-related quality-of-life measures. Plast. Reconstr. Surg. 2013, 132, 201e–209e. [Google Scholar] [CrossRef]
- Nahabedian, M.Y.; Momen, B.; Manson, P.N. Factors Associated with Anastomotic Failure after Microvascular Reconstruction of the Breast. Plast. Reconstr. Surg. 2004, 114, 74–82. [Google Scholar] [CrossRef]
- Kroll, S.S. Why autologous tissue? Clin. Plast. Surg. 1998, 25, 135–143. [Google Scholar] [CrossRef]
- Liu, C.; Momeni, A.; Zhuang, Y.; Luan, J.; Chung, M.T.; Wright, E.; Lee, G. Outcome analysis of expander/implant versus microsurgical abdominal flap breast reconstruction: A critical study of 254 cases. Ann. Surg. Oncol. 2014, 21, 2074–2082. [Google Scholar] [CrossRef]
- Tsoi, B.; Ziolkowski, N.I.; Thoma, A.; Campbell, K.; O’Reilly, D.; Goeree, R. Safety of Tissue Expander/Implant versus Autologous Abdominal Tissue Breast Reconstruction in Postmastectomy Breast Cancer Patients: A Systematic Review and Meta-Analysis. Plast. Reconstr. Surg. 2014, 133, 234–249. [Google Scholar] [CrossRef]
- Gagnon, A.R.; Blondeel, P.N. Superior Gluteal Artery Perforator Flap. Semin. Plast. Surg. 2006, 20, 79–88. [Google Scholar] [CrossRef]
- Momoh, A.O.; Colakoglu, S.; Westvik, T.S.; Curtis, M.S.; Yueh, J.H.; de Blacam, C.; Tobias, A.; Lee, B. Analysis of Complications and Patient Satisfaction in Pedicled Transverse Rectus Abdominis Myocutaneous and Deep Inferior Epigastric Perforator Flap Breast Reconstruction. Ann. Plast. Surg. 2012, 69, 19–23. [Google Scholar] [CrossRef]
- Allen, R.J.; Tucker, C. Superior gluteal artery perforator free flap for breast reconstruction. Plast. Reconstr. Surg. 1995, 95, 1207–1212. [Google Scholar] [CrossRef]
- Macadam, S.A.; Bovill, E.S.; Buchel, E.W.; Lennox, P.A. Evidence-Based Medicine: Autologous Breast Reconstruction. Plast. Reconstr. Surg. 2017, 139, 204e. [Google Scholar] [CrossRef]
- Yaghoubian, A.; Boyd, J.B. The SGAP Flap in Breast Reconstruction: Backup or First Choice? Plast. Reconstr. Surg. 2011, 128, 29e. [Google Scholar] [CrossRef]
- Baumeister, S.; Werdin, F.; Peek, A. The sGAP Flap: Rare Exception or Second Choice in Autologous Breast Reconstruction? J. Reconstr. Microsurg. 2010, 26, 251–258. [Google Scholar] [CrossRef]
- Guerra, A.B.; Metzinger, S.E.; Bidros, R.S.; Gill, P.S.; Dupin, C.L.; Allen, R.J. Breast Reconstruction with Gluteal Artery Perforator (GAP) Flaps: A Critical Analysis of 142 Cases. Ann. Plast. Surg. 2004, 52, 118–125. [Google Scholar] [CrossRef]
- Page, M.J.; McKenzie, J.E.; Bossuyt, P.M.; Boutron, I.; Hoffmann, T.C.; Mulrow, C.D.; Shamseer, L.; Tetzlaff, J.M.; Akl, E.A.; Brennan, S.E.; et al. The PRISMA 2020 statement: An updated guideline for reporting systematic reviews. BMJ 2021, 372, n71. [Google Scholar] [CrossRef]
- Higgins, J.P.T.; Thompson, S.G. Quantifying heterogeneity in a meta-analysis. Stat. Med. 2002, 21, 1539–1558. [Google Scholar] [CrossRef]
- Wang, N. How to Conduct a Meta-Analysis of Proportions in R: A Comprehensive Tutorial; Research Gate: College Station, TX, USA, 2018. [Google Scholar]
- Rad, A.N.; Flores, J.I.; Prucz, R.B.; Stapleton, S.M.; Rosson, G.D. Clinical experience with the lateral septocutaneous superior gluteal artery perforator flap for autologous breast reconstruction. Microsurgery 2010, 30, 339–347. [Google Scholar] [CrossRef]
- Flores, J.I.; Magarakis, M.; Venkat, R.; Shridharani, S.M.; Rosson, G.D. Bilateral simultaneous breast reconstruction with SGAP flaps. Microsurgery 2012, 32, 344–350. [Google Scholar] [CrossRef]
- Hamdi, M.; Blondeel, P.; van Landuyt, K.; Tondu, T.; Monstrey, S. Bilateral Autogenous Breast Reconstruction Using Perforator Free Flaps: A Single Center’s Experience. Plast. Reconstr. Surg. 2004, 114, 83–89. [Google Scholar] [CrossRef]
- DellaCroce, F.J.; Sullivan, S.K. Application and Refinement of the Superior Gluteal Artery Perforator Free Flap for Bilateral Simultaneous Breast Reconstruction. Plast. Reconstr. Surg. 2005, 116, 97–103. [Google Scholar] [CrossRef] [Green Version]
- Boyd, J.B.; Gelfand, M.; Da Lio, A.; Shaw, W.; Watson, J.P. Comparison of Superior Gluteal Artery Musculocutaneous and Superior Gluteal Artery Perforator Flaps for Microvascular Breast Reconstruction. Plast. Reconstr. Surg. 2009, 123, 1641–1647. [Google Scholar] [CrossRef] [PubMed]
- Vanschoonbeek, A.; Fabre, G.; Nanhekhan, L.; Vandevoort, M. Outcome after urgent microvascular revision of free DIEP, SIEA and SGAP flaps for autologous breast reconstruction. J. Plast. Reconstr. Aesthet. Surg. 2016, 69, 1598–1608. [Google Scholar] [CrossRef] [PubMed]
- Hamdi, M.; Andrades, P.; Thiessen, F.; Stillaert, F.; Roche, N.; van Landuyt, K.; Monstrey, S. Is a Second Free Flap Still an Option in a Failed Free Flap Breast Reconstruction? Plast. Reconstr. Surg. 2010, 126, 375–384. [Google Scholar] [CrossRef] [PubMed]
- Hur, K.; Ohkuma, R.; Bellamy, J.L.; Yamazaki, M.; Manahan, M.A.; Rad, A.N.; Cooney, D.S.; Rosson, G.D. Patient-Reported Assessment of Functional Gait Outcomes following Superior Gluteal Artery Perforator Reconstruction. Plast. Reconstr. Surg. Glob Open 2013, 1, e31. [Google Scholar] [CrossRef]
- Zoccali, G.; Mughal, M.; Giwa, L.; Roblin, P.; Farhadi, J. Breast reconstruction with Superior Gluteal Artery Perforator free flap: 8 years of experience. J. Plast. Reconstr. Aesthet. Surg. 2019, 72, 1623–1631. [Google Scholar] [CrossRef]
- Guerra, A.B.; Soueid, N.; Metzinger, S.E.; Levine, J.; Bidros, R.S.; Erhard, H.; Allen, R.J. Simultaneous Bilateral Breast Reconstruction with Superior Gluteal Artery Perforator (SGAP) Flaps. Ann. Plast. Surg. 2004, 53, 305–310. [Google Scholar] [CrossRef]
- Blondeel, P.N. The sensate free superior gluteal artery perforator (S-GAP) flap: A valuable alternative in autologous breast reconstruction. Br. J. Plast. Surg. 1999, 52, 185–193. [Google Scholar] [CrossRef]
- Hunter, C.; Moody, L.; Luan, A.; Nazerali, R.; Lee, G.K. Superior Gluteal Artery Perforator Flap: The Beauty of the Buttock. Ann. Plast. Surg. 2016, 76, S191. [Google Scholar] [CrossRef]
- Ochoa, O.; Chrysopoulo, M.; Nastala, C.; Ledoux, P.; Pisano, S. Abdominal Wall Stability and Flap Complications after Deep Inferior Epigastric Perforator Flap Breast Reconstruction: Does Body Mass Index Make a Difference? Analysis of 418 Patients and 639 Flaps. Plast. Reconstr. Surg. 2012, 130, 21e–33e. [Google Scholar] [CrossRef]
- Gill, P.S.; Hunt, J.P.; Guerra, A.B.; Dellacroce, F.J.; Sullivan, S.K.; Boraski, J.; Metzinger, S.E.; Dupin, C.L.; Allen, R.J. A 10-year retrospective review of 758 DIEP flaps for breast reconstruction. Plast. Reconstr. Surg. 2004, 113, 1153–1160. [Google Scholar] [CrossRef] [Green Version]
- Chang, D.W.; Wang B guang Robb, G.L.; Reece, G.P.; Miller, M.J.; Evans, G.R.D.; Langstein, H.N.; Kross, S.S. Effect of Obesity on Flap and Donor-Site Complications in Free Transverse Rectus Abdominis Myocutaneous Flap Breast Reconstruction. Plast. Reconstr. Surg. 2000, 105, 1640–1648. [Google Scholar] [CrossRef]
- Qian, B.; Xiong, L.; Li, J.; Sun, Y.; Sun, J.; Guo, N.; Wang, Z. A Systematic Review and Meta-Analysis on Microsurgical Safety and Efficacy of Profunda Artery Perforator Flap in Breast Reconstruction. J. Oncol. 2019, 2019, 9506720. [Google Scholar] [CrossRef]
- Siegwart, L.C.; Bolbos, A.; Tapking, C.; Seide, S.E.; Diehm, Y.; Fischer, S.; Kneser, U.; Kotsougiani-Fischer, D. Safety and donor site morbidity of the transverse musculocutaneous gracilis (TMG) flap in autologous breast reconstruction—A systematic review and meta-analysis. J. Surg. Oncol. 2021, 124, 492–509. [Google Scholar] [CrossRef]
- Opsomer, D.; Vyncke, T.; Ryx, M.; Stillaert, F.; van Landuyt, K.; Blondeel, P. Comparing the Lumbar and SGAP Flaps to the DIEP Flap Using the BREAST-Q. Plast. Reconstr. Surg. 2020, 146, 276e–282e. [Google Scholar] [CrossRef]
- Zoccali, G.; Mughal, M.; Roblin, P.; Farhadi, J. Preoperative Perforator Mapping in SGAP Flap: Does Magnetic Resonance Imaging Make the Difference? Plast. Reconstr. Surg. 2019, 144, 812–819. [Google Scholar] [CrossRef]





| PICOS | Inclusion | Exclusion |
|---|---|---|
| Population | Adults undergoing breast reconstruction | Animal, cadaveric studies |
| Intervention | SGAP flap for breast reconstruction | Other flaps |
| Comparator | N/A | N/A |
| Outcomes | Primary outcome flap total loss rate, complications | Studies that do not report the primary outcome |
| Study design | Clinical studies, case series | Reviews, congress abstracts, letters, case reports with <2 patients |
| Author | Year | Study Period | Patients (n) | Flaps (n) | Types of Flaps | Mean Age (SD or Range) | Mean BMI (SD or Range) |
|---|---|---|---|---|---|---|---|
| Rad et al. [18] | 2010 | 2008–2009 | 12 | 19 | 9 LSGAP, 10 SGAP | 49 (10) | 22.8 (3.4) |
| Flores et al. [19] | 2012 | 2005–2010 | 23 | 46 | 35 SGAP, 11 LSGAP | 48 (7.3) | 23.8 (3.3) |
| Hamdi et al. [20] | 2004 | 1996–2002 | 4 | 8 | 8 SGAP | *** | *** |
| DellaCroce et al. [21] | 2005 | N/A | 20 | 40 | 40 SGAP | 43 | *** |
| Boyd et al. [22] | 2009 | 2001–2007 | 25 | 32 | 32 SGAP | 51 | *** |
| Vanschoonbeek et al. [23] | 2016 | 1997–2013 | 74 | 95 | 95 SGAP | 42.2 (8.8) | 21.5 (3.4) |
| Hamdi et al. [24] | 2010 | 2002–2009 | 5 | 5 | 5 SGAP | 46.4 (3.9) | 24.7 (4.3) |
| Hur et al. [25] | 2013 | 2009–2010 | 17 | 17 | 17 SGAP | 46.1 (8.1) | 23.1 (3.0) |
| Zoccali et al. [26] | 2019 | 2009–2017 | 119 | 134 | 134 SGAP | 43 (24–63) | 25.3 (22–35) |
| Guerra et al. [27] | 2004 | 1993–2003 | 6 | 12 | 12 SGAP | 41 | *** |
| Blondeel et al. [28] | 1999 | 1996–1999 | 16 | 20 | 20 SGAP | 42.2 (34–56) | 20.2 (17.4–23.6) |
| Hunter et al. [29] | 2016 | 2007–2014 | 13 | 16 | 16 SGAP | 52.2 (45–68) | 25.5 (19–39) |
| Baumeister et al. [13] | 2010 | 2002–2008 | 62 | 81 | 81 SGAP | 44 (17–65) | 22.5 |
| Guerra et al. [14] | 2004 | 1993–2002 | 142 | 142 | 142 SGAP | 46 (32–60) | 21 (19–24.9) |
Publisher’s Note: MDPI stays neutral with regard to jurisdictional claims in published maps and institutional affiliations. |
© 2022 by the authors. Licensee MDPI, Basel, Switzerland. This article is an open access article distributed under the terms and conditions of the Creative Commons Attribution (CC BY) license (https://creativecommons.org/licenses/by/4.0/).
Share and Cite
Martineau, J.; Kalbermatten, D.F.; Oranges, C.M. Safety and Efficacy of the Superior Gluteal Artery Perforator (SGAP) Flap in Autologous Breast Reconstruction: Systematic Review and Meta-Analysis. Cancers 2022, 14, 4420. https://doi.org/10.3390/cancers14184420
Martineau J, Kalbermatten DF, Oranges CM. Safety and Efficacy of the Superior Gluteal Artery Perforator (SGAP) Flap in Autologous Breast Reconstruction: Systematic Review and Meta-Analysis. Cancers. 2022; 14(18):4420. https://doi.org/10.3390/cancers14184420
Chicago/Turabian StyleMartineau, Jérôme, Daniel F. Kalbermatten, and Carlo M. Oranges. 2022. "Safety and Efficacy of the Superior Gluteal Artery Perforator (SGAP) Flap in Autologous Breast Reconstruction: Systematic Review and Meta-Analysis" Cancers 14, no. 18: 4420. https://doi.org/10.3390/cancers14184420
APA StyleMartineau, J., Kalbermatten, D. F., & Oranges, C. M. (2022). Safety and Efficacy of the Superior Gluteal Artery Perforator (SGAP) Flap in Autologous Breast Reconstruction: Systematic Review and Meta-Analysis. Cancers, 14(18), 4420. https://doi.org/10.3390/cancers14184420

