Validation of CIP2A as a Biomarker of Subsequent Disease Progression and Treatment Failure in Chronic Myeloid Leukaemia
Abstract
Simple Summary
Abstract
1. Introduction
2. Materials and Methods
2.1. Patients
2.2. Sample Collection and Preparation
2.3. Measurement of CIP2A and Associated Proteins
2.4. Definitions of Outcome Endpoints
2.5. Statistical Analysis
3. Results
3.1. CIP2A and Established Scoring Sytems
3.2. High CIP2A Is Associated with an Inferior Progression-Free Survival
3.3. High CIP2A Is Associated with Treatment Failure
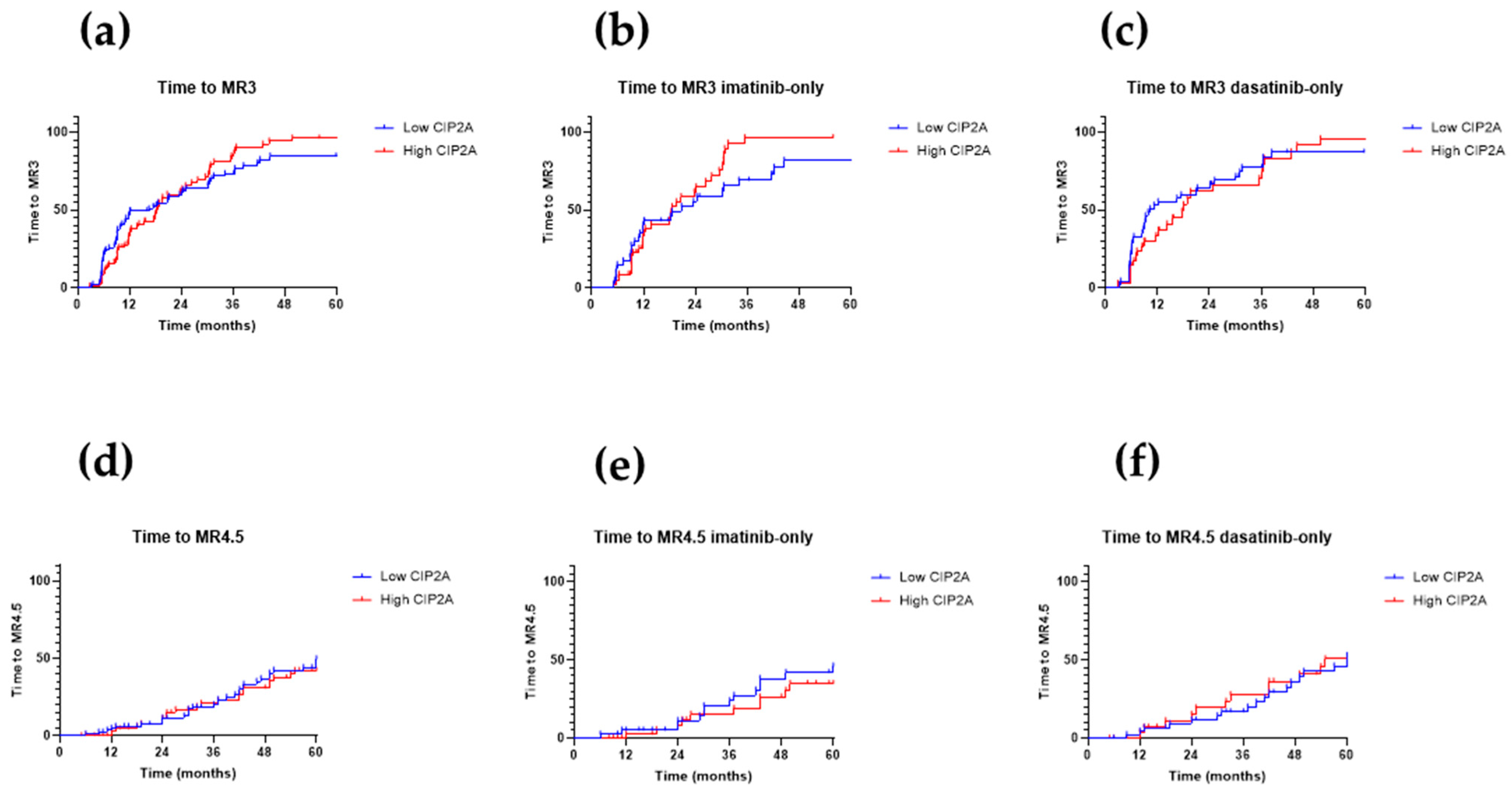
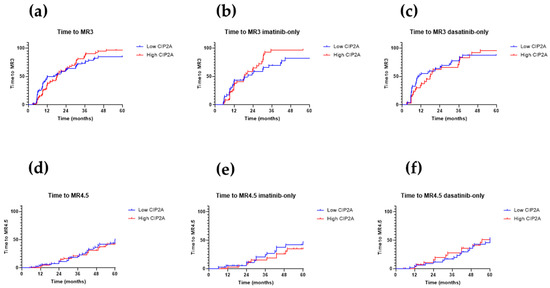
3.4. Time to Molecular Response
3.5. Prognostic Value of CIP2A/PP2A Related Proteins at Diagnosis
4. Discussion
5. Conclusions
Supplementary Materials
Author Contributions
Funding
Institutional Review Board Statement
Informed Consent Statement
Data Availability Statement
Acknowledgments
Conflicts of Interest
References
- Graham, S.M.; Jørgensen, H.G.; Allan, E.; Pearson, C.; Alcorn, M.J.; Richmond, L.; Holyoake, T.L. Primitive, quiescent, Philadelphia-positive stem cells from patients with chronic myeloid leukemia are insensitive to STI571 in vitro. Blood 2002, 99, 319–325. [Google Scholar] [CrossRef] [PubMed]
- Copland, M.; Hamilton, A.; Elrick, L.J.; Baird, J.W.; Allan, E.K.; Jordanides, N.; Barow, M.; Mountford, J.C.; Holyoake, T.L. Dasatinib (BMS-354825) targets an earlier progenitor population than imatinib in primary CML but does not eliminate the quiescent fraction. Blood 2006, 107, 4532–4539. [Google Scholar] [CrossRef] [PubMed]
- Jørgensen, H.G.; Allan, E.K.; Jordanides, N.E.; Mountford, J.C.; Holyoake, T.L. Nilotinib exerts equipotent antiproliferative effects to imatinib and does not induce apoptosis in CD34+ CML cells. Blood 2007, 109, 4016–4019. [Google Scholar] [CrossRef] [PubMed]
- Baccarani, M.; Deininger, M.W.; Rosti, G.; Hochhaus, A.; Soverini, S.; Apperley, J.F.; Cervantes, F.; Clark, R.E.; Cortes, J.E.; Guilhot, F.; et al. European LeukemiaNet recommendations for the management of chronic myeloid leukemia: 2013. Blood 2013, 122, 872–884. [Google Scholar] [CrossRef] [PubMed]
- Baccarani, M.; Saglio, G.; Goldman, J.; Hochhaus, A.; Simonsson, B.; Appelbaum, F.; Apperley, J.; Cervantes, F.; Cortes, J.; Deininger, M.; et al. Evolving concepts in the management of chronic myeloid leukemia: Recommendations from an expert panel on behalf of the European LeukemiaNet. Blood 2006, 108, 1809–1820. [Google Scholar] [CrossRef]
- Baccarani, M.; Cortes, J.; Pane, F.; Niederwieser, D.; Saglio, G.; Apperley, J.; Cervantes, F.; Deininger, M.; Gratwohl, A.; Guilhot, F.; et al. Chronic myeloid leukemia: An update of concepts and management recommendations of European LeukemiaNet. J. Clin. Oncol. Off. J. Am. Soc. Clin. Oncol. 2009, 27, 6041–6051. [Google Scholar] [CrossRef]
- Sokal, J.E.; Cox, E.B.; Baccarani, M.; Tura, S.; Gomez, G.A.; Robertson, J.E.; Tso, C.Y.; Braun, T.J.; Clarkson, B.D.; Cervantes, F. Prognostic discrimination in “good-risk” chronic granulocytic leukemia. Blood 1984, 63, 789–799. [Google Scholar] [CrossRef]
- Hasford, J.; Baccarani, M.; Hoffmann, V.; Guilhot, J.; Saussele, S.; Rosti, G.; Guilhot, F.; Porkka, K.; Ossenkoppele, G.; Lindoerfer, D.; et al. Predicting complete cytogenetic response and subsequent progression-free survival in 2060 patients with CML on imatinib treatment: The EUTOS score. Blood 2011, 118, 686–692. [Google Scholar] [CrossRef]
- Hasford, J.; Pfirrmann, M.; Hehlmann, R.; Allan, N.C.; Baccarani, M.; Kluin-Nelemans, J.C.; Alimena, G.; Steegmann, J.L.; Ansari, H. A New Prognostic Score for Survival of Patients With Chronic Myeloid Leukemia Treated With Interferon AlfaWriting Committee for the Collaborative CML Prognostic Factors Project Group. J. Natl. Cancer Inst. 1998, 90, 850–859. [Google Scholar] [CrossRef]
- Castagnetti, F.; Gugliotta, G.; Breccia, M.; Stagno, F.; Iurlo, A.; Albano, F.; Abruzzese, E.; Martino, B.; Levato, L.; Intermesoli, T.; et al. Long-term outcome of chronic myeloid leukemia patients treated frontline with imatinib. Leukemia 2015, 29, 1823–1831. [Google Scholar] [CrossRef]
- Pfirrmann, M.; Baccarani, M.; Saussele, S.; Guilhot, J.; Cervantes, F.; Ossenkoppele, G.; Hoffmann, V.S.; Castagnetti, F.; Hasford, J.; Hehlmann, R.; et al. Prognosis of long-term survival considering disease-specific death in patients with chronic myeloid leukemia. Leukemia 2016, 30, 48–56. [Google Scholar] [CrossRef]
- Fabarius, A.; Kalmanti, L.; Dietz, C.T.; Lauseker, M.; Rinaldetti, S.; Haferlach, C.; Gohring, G.; Schlegelberger, B.; Jotterand, M.; Hanfstein, B.; et al. Impact of unbalanced minor route versus major route karyotypes at diagnosis on prognosis of CML. Ann. Hematol. 2015, 94, 2015–2024. [Google Scholar] [CrossRef] [PubMed]
- Sablina, A.A.; Hector, M.; Colpaert, N.; Hahn, W.C. Identification of PP2A complexes and pathways involved in cell transformation. Cancer Res. 2010, 70, 10474–10484. [Google Scholar] [CrossRef]
- Junttila, M.R.; Puustinen, P.; Niemela, M.; Ahola, R.; Arnold, H.; Bottzauw, T.; Ala-aho, R.; Nielsen, C.; Ivaska, J.; Taya, Y.; et al. CIP2A inhibits PP2A in human malignancies. Cell 2007, 130, 51–62. [Google Scholar] [CrossRef] [PubMed]
- Neviani, P.; Santhanam, R.; Trotta, R.; Notari, M.; Blaser, B.W.; Liu, S.; Mao, H.; Chang, J.S.; Galietta, A.; Uttam, A.; et al. The tumor suppressor PP2A is functionally inactivated in blast crisis CML through the inhibitory activity of the BCR/ABL-regulated SET protein. Cancer Cell 2005, 8, 355–368. [Google Scholar] [CrossRef] [PubMed]
- Cristobal, I.; Blanco, F.J.; Garcia-Orti, L.; Marcotegui, N.; Vicente, C.; Rifon, J.; Novo, F.J.; Bandres, E.; Calasanz, M.J.; Bernabeu, C.; et al. SETBP1 overexpression is a novel leukemogenic mechanism that predicts adverse outcome in elderly patients with acute myeloid leukemia. Blood 2010, 115, 615–625. [Google Scholar] [CrossRef]
- Lucas, C.M.; Scott, L.J.; Carmell, N.; Holcroft, A.K.; Hills, R.K.; Burnett, A.K.; Clark, R.E. CIP2A- and SETBP1-mediated PP2A inhibition reveals AKT S473 phosphorylation to be a new biomarker in AML. Blood Adv. 2018, 2, 964–968. [Google Scholar] [CrossRef]
- Hart, J.R.; Vogt, P.K. Phosphorylation of AKT: A mutational analysis. Oncotarget 2011, 2, 467–476. [Google Scholar] [CrossRef] [PubMed]
- Lucas, C.M.; Harris, R.J.; Giannoudis, A.; Copland, M.; Slupsky, J.R.; Clark, R.E. Cancerous inhibitor of PP2A (CIP2A) at diagnosis of chronic myeloid leukemia is a critical determinant of disease progression. Blood 2011, 117, 6660–6668. [Google Scholar] [CrossRef]
- Come, C.; Laine, A.; Chanrion, M.; Edgren, H.; Mattila, E.; Liu, X.; Jonkers, J.; Ivaska, J.; Isola, J.; Darbon, J.M.; et al. CIP2A is associated with human breast cancer aggressivity. Clin. Cancer Res. 2009, 15, 5092–5100. [Google Scholar] [CrossRef] [PubMed]
- Huang, L.P.; Savoly, D.; Sidi, A.A.; Adelson, M.E.; Mordechai, E.; Trama, J.P. CIP2A protein expression in high-grade, high-stage bladder cancer. Cancer Med. 2012, 1, 76–81. [Google Scholar] [CrossRef]
- Qu, W.; Li, W.; Wei, L.; Xing, L.; Wang, X.; Yu, J.; Qu, W.; Li, W.; Wei, L.; Xing, L.; et al. CIP2A is overexpressed in esophageal squamous cell carcinoma. Med. Oncol. 2012, 29, 113–118. [Google Scholar] [CrossRef]
- Bockelman, C.; Lassus, H.; Hemmes, A.; Leminen, A.; Westermarck, J.; Haglund, C.; Butzow, R.; Ristimaki, A. Prognostic role of CIP2A expression in serous ovarian cancer. Br. J. Cancer 2011, 105, 989–995. [Google Scholar] [CrossRef]
- Huang, L.P.; Adelson, M.E.; Mordechai, E.; Trama, J.P. CIP2A expression is elevated in cervical cancer. Cancer Biomark 2010, 8, 309–317. [Google Scholar] [CrossRef]
- Basile, J.R.; Czerninski, R. The role of CIP2A in oral squamous cell carcinoma. Cancer Biol. Ther. 2010, 10, 700–702. [Google Scholar] [CrossRef][Green Version]
- Li, W.; Ge, Z.; Liu, C.; Liu, Z.; Bjorkholm, M.; Jia, J.; Xu, D. CIP2A is overexpressed in gastric cancer and its depletion leads to impaired clonogenicity, senescence, or differentiation of tumor cells. Clin. Cancer Res. 2008, 14, 3722–3728. [Google Scholar] [CrossRef]
- Lucas, C.M.; Harris, R.J.; Holcroft, A.K.; Scott, L.J.; Carmell, N.; McDonald, E.; Polydoros, F.; Clark, R.E. Second generation tyrosine kinase inhibitors prevent disease progression in high-risk (high CIP2A) chronic myeloid leukaemia patients. Leukemia 2015, 29, 1514–1523. [Google Scholar] [CrossRef] [PubMed]
- O’Brien, S.; Cork, L.; Bandeira, V.; Bescoby, R.; Foroni, L.; Alaily, L.; Osborne, W.; Bell-Gorrod, H.; Latimer, N.; Apperley, J.; et al. Spirit 2: Final 5 Year Analysis of the UK National Cancer Research Institute Randomized Study Comparing Imatinib with Dasatinib in Patients with Newly Diagnosed Chronic Phase CML. Blood 2018, 132, 457. [Google Scholar] [CrossRef]
- Cross, N.C.P.; White, H.E.; Evans, P.A.S.; Hancock, J.; Copland, M.; Milojkovic, D.; Mason, J.; Craine, S.; Mead, A.J. Consensus on BCR-ABL1 reporting in chronic myeloid leukaemia in the UK. Br. J. Haematol. 2018, 182, 777–788. [Google Scholar] [CrossRef] [PubMed]
- Pfirrmann, M.; Clark, R.E.; Prejzner, W.; Lauseker, M.; Baccarani, M.; Saussele, S.; Guilhot, F.; Heibl, S.; Hehlmann, R.; Faber, E.; et al. The EUTOS long-term survival (ELTS) score is superior to the Sokal score for predicting survival in chronic myeloid leukemia. Leukemia 2020. [Google Scholar] [CrossRef]
- Kauko, O.; Westermarck, J. Non-genomic mechanisms of protein phosphatase 2A (PP2A) regulation in cancer. Int. J. Biochem. Cell Biol. 2018. [Google Scholar] [CrossRef]
- Pippa, R.; Odero, M.D. The Role of MYC and PP2A in the Initiation and Progression of Myeloid Leukemias. Cells 2020, 9, 544. [Google Scholar] [CrossRef] [PubMed]
- Soofiyani, S.R.; Hejazi, M.S.; Baradaran, B. The role of CIP2A in cancer: A review and update. Biomed. Pharm. 2017, 96, 626–633. [Google Scholar] [CrossRef] [PubMed]
- Neviani, P.; Santhanam, R.; Ma, Y.; Marcucci, G.; Byrd, J.C.; Chen, C.-S.; Cortes, J.; Caligiuri, M.A.; Huettner, C.; Bhatia, R.; et al. Activation of PP2A by FTY720 Inhibits Survival and Self-Renewal of the Ph(+) Chronic Myelogenous Leukemia (CML) CD34+/CD38- Stem Cell through the Simultaneous Suppression of BCR/ABL and BCR/ABL- independent Signals. Ash Annu. Meet. Abstr. 2008, 112, 189. [Google Scholar] [CrossRef]
- Tang, M.; Shen, J.F.; Li, P.; Zhou, L.N.; Zeng, P.; Cui, X.X.; Chen, M.B.; Tian, Y. Prognostic significance of CIP2A expression in solid tumors: A meta-analysis. PLoS ONE 2018, 13, e0199675. [Google Scholar] [CrossRef] [PubMed]
- Wang, J.; Okkeri, J.; Pavic, K.; Wang, Z.; Kauko, O.; Halonen, T.; Sarek, G.; Ojala, P.M.; Rao, Z.; Xu, W.; et al. Oncoprotein CIP2A is stabilized via interaction with tumor suppressor PP2A/B56. EMBO Rep. 2017, 18, 437–450. [Google Scholar] [CrossRef]
- Junttila, M.R.; Westermarck, J. Mechanisms of MYC stabilization in human malignancies. Cell Cycle 2008, 7, 592–596. [Google Scholar] [CrossRef]
- Kerosuo, L.; Fox, H.; Perälä, N.; Ahlqvist, K.; Suomalainen, A.; Westermarck, J.; Sariola, H.; Wartiovaara, K. CIP2A increases self-renewal and is linked to Myc in neural progenitor cells. Differentiation 2010, 80, 68–77. [Google Scholar] [CrossRef]
- Niemela, M.; Kauko, O.; Sihto, H.; Mpindi, J.; Nicorici, D.; Pernila, P.; Kallioniemi, O.; Joensuu, H.; Hautaniemi, S.; Westermarck, J. CIP2A signature reveals the MYC dependency of CIP2A-regulated phenotypes and its clinical association with breast cancer subtypes. Oncogene 2012, 31, 4266–4278. [Google Scholar] [CrossRef]
- Myant, K.; Qiao, X.; Halonen, T.; Come, C.; Laine, A.; Janghorban, M.; Partanen, J.I.; Cassidy, J.; Ogg, E.L.; Cammareri, P.; et al. Serine 62-Phosphorylated MYC Associates with Nuclear Lamins and Its Regulation by CIP2A Is Essential for Regenerative Proliferation. Cell Rep. 2015, 12, 1019–1031. [Google Scholar] [CrossRef]
- Austin, J.A.; Jenkins, R.E.; Austin, G.M.; Glenn, M.A.; Dunn, K.; Scott, L.; Lucas, C.M.; Clark, R.E. Cancerous Inhibitor of Protein Phosphatase 2A (CIP2A) modifies energy metabolism via 5’ AMP-activated protein kinase signalling in malignant cells. Biochem. J. 2019. [Google Scholar] [CrossRef] [PubMed]
- Lucas, C.M.; Harris, R.J.; Giannoudis, A.; Clark, R.E. c-Myc inhibition decreases CIP2A and reduces BCR-ABL1 tyrosine kinase activity in chronic myeloid leukemia. Haematologica 2015, 100, e179–e182. [Google Scholar] [CrossRef] [PubMed]
- Lucas, C.M.; Milani, M.; Butterworth, M.; Carmell, N.; Scott, L.J.; Clark, R.E.; Cohen, G.M.; Varadarajan, S. High CIP2A levels correlate with an antiapoptotic phenotype that can be overcome by targeting BCL-XL in chronic myeloid leukemia. Leukemia 2016, 30, 1273–1281. [Google Scholar] [CrossRef] [PubMed][Green Version]





| Catergory | Imatinib (90) | Dasatinib (82) | Total |
|---|---|---|---|
| Median age (range) | 52 (20–87) | 55 (18–81) | 52 (18–87) |
| Sex | |||
| Male | 55 | 60 | 115 |
| Female | 35 | 22 | 57 |
| Sokal Score | |||
| Low | 20 | 14 | 34 |
| Intermediate | 16 | 22 | 38 |
| High | 18 | 14 | 32 |
| N/A | 36 | 32 | 68 |
| Hasford Score | |||
| Low | 23 | 18 | 41 |
| Intermediate | 15 | 18 | 33 |
| High | 12 | 7 | 19 |
| N/A | 40 | 39 | 79 |
| EUTOS | |||
| Low | 73 | 58 | 131 |
| High | 11 | 12 | 23 |
| N/A | 6 | 12 | 18 |
| ELTS | |||
| Low | 28 | 26 | 54 |
| Intermediate | 14 | 14 | 28 |
| High | 12 | 10 | 22 |
| N/A | 36 | 32 | 68 |
Publisher’s Note: MDPI stays neutral with regard to jurisdictional claims in published maps and institutional affiliations. |
© 2021 by the authors. Licensee MDPI, Basel, Switzerland. This article is an open access article distributed under the terms and conditions of the Creative Commons Attribution (CC BY) license (https://creativecommons.org/licenses/by/4.0/).
Share and Cite
Clark, R.E.; Basabrain, A.A.; Austin, G.M.; Holcroft, A.K.; Loaiza, S.; Apperley, J.F.; Law, C.; Scott, L.; Parry, A.D.; Bonnett, L.; et al. Validation of CIP2A as a Biomarker of Subsequent Disease Progression and Treatment Failure in Chronic Myeloid Leukaemia. Cancers 2021, 13, 2155. https://doi.org/10.3390/cancers13092155
Clark RE, Basabrain AA, Austin GM, Holcroft AK, Loaiza S, Apperley JF, Law C, Scott L, Parry AD, Bonnett L, et al. Validation of CIP2A as a Biomarker of Subsequent Disease Progression and Treatment Failure in Chronic Myeloid Leukaemia. Cancers. 2021; 13(9):2155. https://doi.org/10.3390/cancers13092155
Chicago/Turabian StyleClark, Richard E., Ammar A. Basabrain, Gemma M. Austin, Alison K. Holcroft, Sandra Loaiza, Jane F. Apperley, Christopher Law, Laura Scott, Alexandra D. Parry, Laura Bonnett, and et al. 2021. "Validation of CIP2A as a Biomarker of Subsequent Disease Progression and Treatment Failure in Chronic Myeloid Leukaemia" Cancers 13, no. 9: 2155. https://doi.org/10.3390/cancers13092155
APA StyleClark, R. E., Basabrain, A. A., Austin, G. M., Holcroft, A. K., Loaiza, S., Apperley, J. F., Law, C., Scott, L., Parry, A. D., Bonnett, L., & Lucas, C. M. (2021). Validation of CIP2A as a Biomarker of Subsequent Disease Progression and Treatment Failure in Chronic Myeloid Leukaemia. Cancers, 13(9), 2155. https://doi.org/10.3390/cancers13092155

