Novel Liquid Biomarker Panels for A Very Early Response Capturing of NSCLC Therapies in Advanced Stages
Abstract
1. Introduction
2. Results
2.1. Biomarker Detection
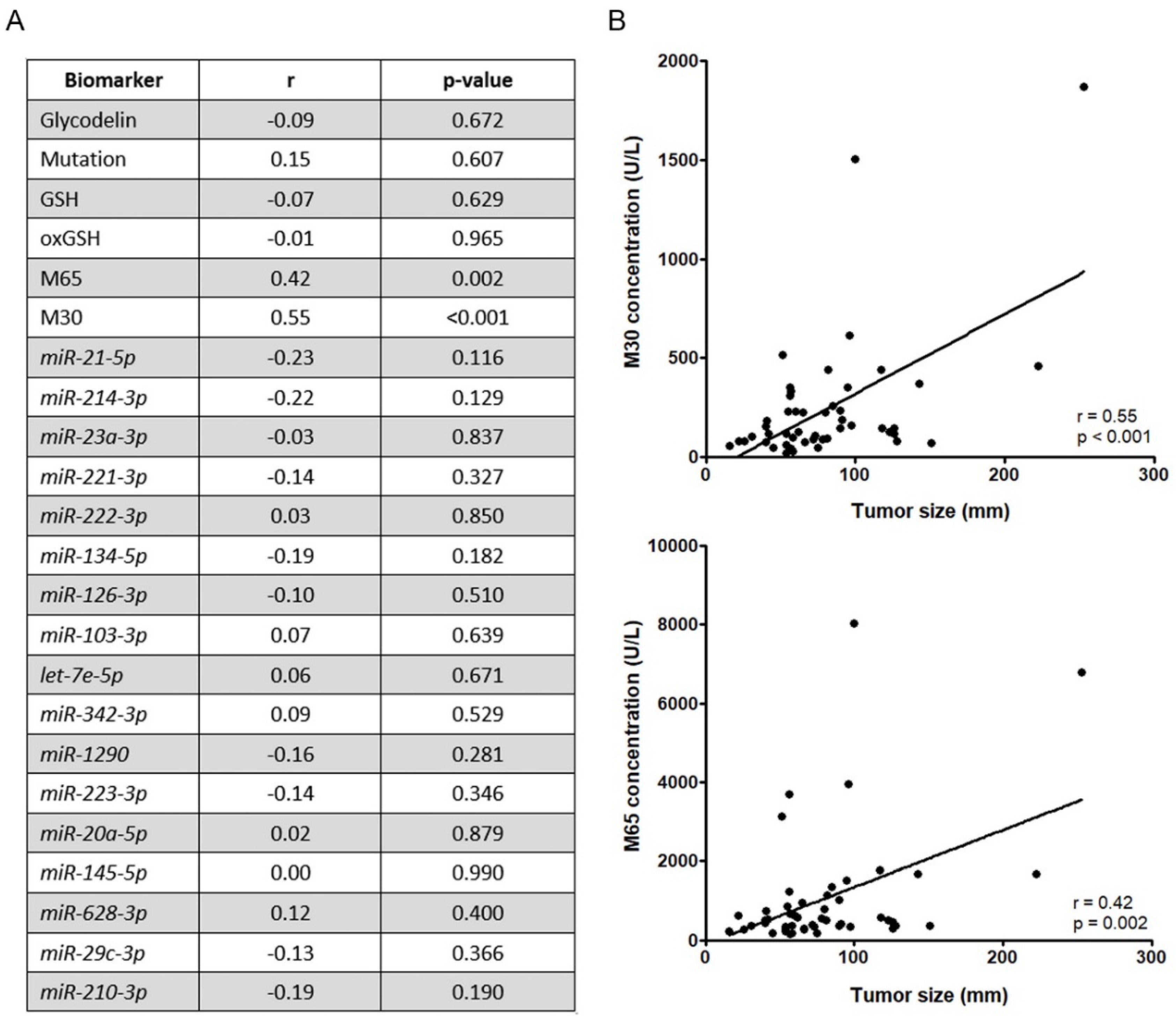
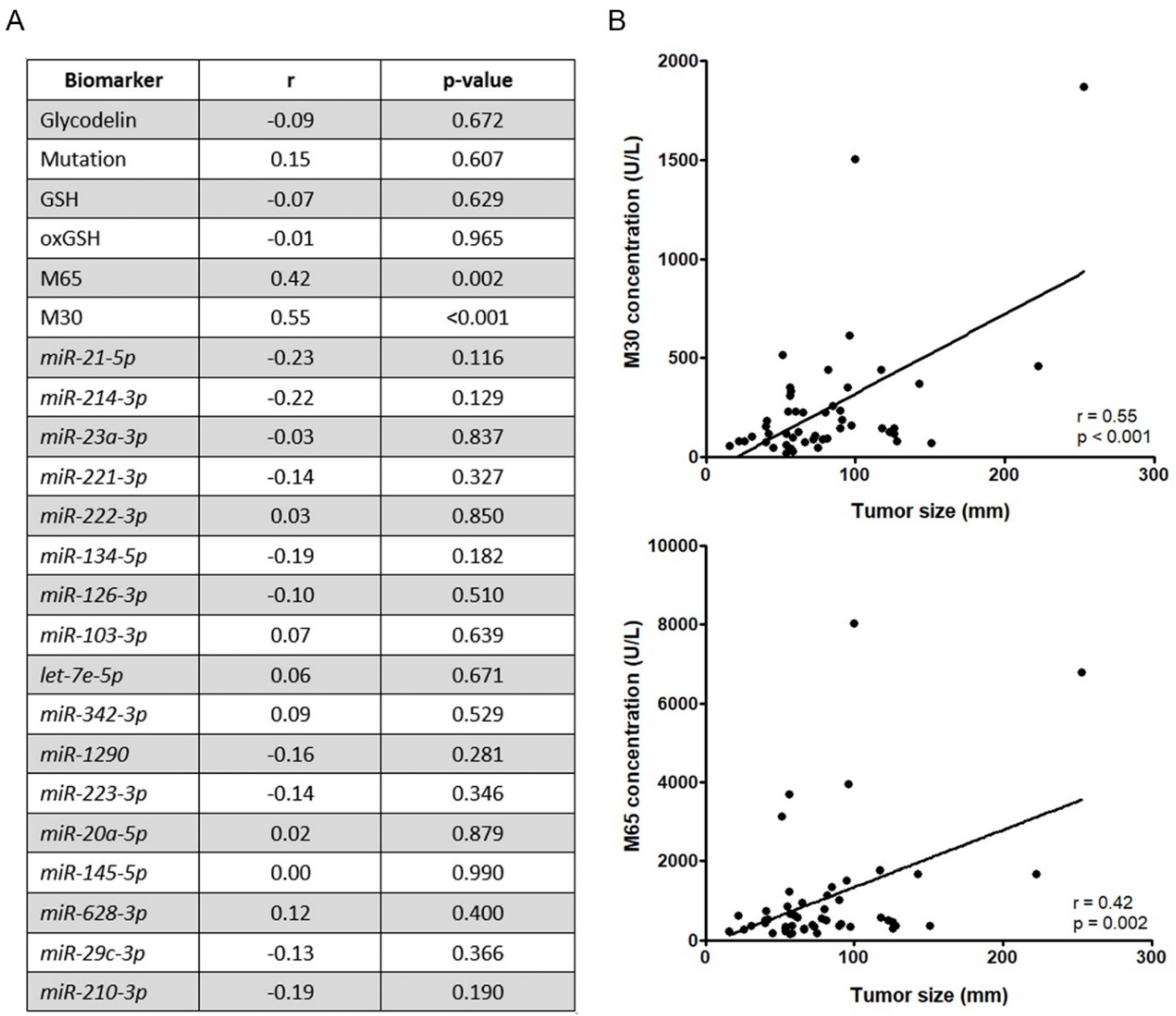
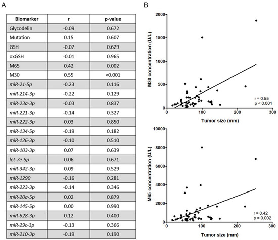
2.2. Correlation of Tumor Load and Biomarker Detection at Time Point of Therapy Start
2.3. Correlation Analyses of Single Biomarkers and Tumor Load Change
2.4. Stepwise Regression Model
3. Discussion
4. Material and Methods
4.1. Study Design and Patient Biospecimen
4.2. DNA Extraction and Analysis by Digital PCR
4.3. miRNA Extraction and Analysis by Quantitative Reverse-Transcription PCR
4.4. Measurement of Cytokeratin 18 (M30 and M65 Determination)
4.5. Determination of GSH and oxGSH Concentrations
4.6. Measurement of Glycodelin
4.7. Statistical Analyses
5. Conclusions
Author Contributions
Funding
Acknowledgments
Conflicts of Interest
Abbreviation List
| BRAF | Serine/threonine-protein kinase B-raf (rapidly accelerated fibrosarcoma) |
| cfDNA | Cell-free DNA |
| CK-18 | Cytokeratin 18 |
| CT | Computer tomography |
| ctDNA | Circulating tumor DNA |
| CTx | Platinum-based chemotherapy |
| ECOG | Eastern Cooperative Oncology Performance Status Scale |
| EGFR | Epidermal growth factor receptor |
| EML4-ALK | Echinoderm microtubule associated protein-like 4-anaplastic lymphoma kinase |
| GSH | Glutathione |
| M30 | Caspase-cleaved cytokeratin 18 |
| M65 | Full-length cytokeratin 18 |
| miRNA | MicroRNA |
| MRI | Magnetic resonance imaging |
| NOS | Non other specified |
| NSCLC | Non-small cell lung cancer |
| oxGSH | Oxidized glutathione |
| PD | Progressive disease |
| PDL1 | Programmed death ligand 1 |
| PR | Partial remission |
| RECIST-1.1 | Response Evaluation Criteria in Solid Tumors, version 1.1 |
| SD | Stable disease |
| TKI | Tyrosine-kinase-inhibitor |
Appendix
| miRNA | Serum/Plasma Abundance in NSCLC Compared to Healthy Individuals | Association to Therapy | Reference | |
|---|---|---|---|---|
| Therapy Type | Effect Observed | |||
| miR-21-5p | High | Platinum-based chemotherapy | High abundance in plasma is predictive for therapy resistance | [50] |
| miR-214-3p | High | EGFR-TKI therapy | High abundance in plasma of EGFR-TKI-resistant patients | [51] |
| miR-23a-3p | High | - | - | [52] |
| miR-103-3p miR-221-3p miR-222-3p | High | EGFR-TKI therapy | High abundance in gefitinib-resistant cell lines | [53,54] |
| miR-134-5p | - | EGFR-TKI therapy | High abundance in gefitinib-resistant cell lines | [55] |
| miR-126-3p | Low | EGFR-TKI therapy | High abundance in gefitinib-sensitive cell lines | [56,57] |
| let-7e-5p | Low | - | - | [58] |
| miR-342-3p | Low | EGFR-TKI therapy | High abundance in gefitinib-resistant cell lines | [59] |
| miR-1290 | High | EGFR-TKI therapy | Longitudinal monitoring of EGFR-TKI therapy from serum | [33] |
| miR-223-3p | High | EGFR-TKI therapy | High abundance in erlotinib-sensitive cell lines | [60,61] |
| miR-20a-5p | High | EGFR-TKI therapy | Increased plasma abundance in EGFRmut compared to EGFR wild-type patients | [60,62] |
| miR-145-5p | High | EGFR-TKI therapy | High abundance in gefitinib-sensitive cell lines | [57,60] |
| miR-628-3p | High | - | - | [63] |
| miR-29c-3p | High | Platinum-based chemotherapy | High abundance enhances chemotherapy sensitivity in cell lines | [64,65] |
| miR-210-3p | High | Platinum-based chemotherapy | Decreased serum abundance in patients responding to chemotherapy | [66] |
| Patient_ID | Baseline | 1st Follow-Up | 2nd Follow-Up | |
|---|---|---|---|---|
| Group A | Patient_01 | - | ||
| Patient_02 | - | |||
| Patient_03 | - | |||
| Patient_04 | - | |||
| Patient_05 | - | |||
| Patient_06 | - | |||
| Patient_07 | - | |||
| Patient_08 | - | |||
| Patient_09 | - | |||
| Patient_10 | - | |||
| Patient_11 | - | |||
| Patient_12 | - | |||
| Patient_13 | - | |||
| Patient_14 | - | |||
| Patient_15 | - | |||
| Patient_16 | - | |||
| Patient_17 | - | |||
| Patient_18 | - | |||
| Patient_19 | - | |||
| Patient_20 | - | |||
| Patient_21 | - | |||
| Patient_22 | - | |||
| Patient_23 | - | |||
| Patient_24 | - | |||
| Patient_25 | - | |||
| Group B | Patient_26 | |||
| Patient_27 | ||||
| Patient_28 | ||||
| Patient_29 | ||||
| Patient_30 | ||||
| Patient_31 | ||||
| Patient_32 | ||||
| Patient_33 | ||||
| Patient_34 | ||||
| Patient_35 | ||||
| Patient_36 | ||||
| Patient_37 | NA | NA | NA | |
| Patient_38 | ||||
| Patient_39 | ||||
| Patient_40 | ||||
| Patient_41 | ||||
| Patient_42 | ||||
| Patient_43 | ||||
| Patient_44 | ||||
| Patient_45 | ||||
| Patient_46 | ||||
| Patient_47 | ||||
| Patient_48 | ||||
| Patient_49 | ||||
| Patient_50 | ||||
| <5 | No risk of hemolysis | |||
| 5 to 7 | Sample is possibly affected by hemolysis | |||
| >7 | High risk of hemolysis | |||
| NA | Not enough material available | |||
| Marker Panel | Day +1 (Group A) | Day +7 (Group B) | Day +14 (Group B) |
|---|---|---|---|
| R2 | R2 | R2 | |
| Day +1 | 0.78 | 0.11 | 0.17 |
| Day +7 | 0.06 | 0.71 | 0.25 |
| Day +14 | 0.22 | 0.21 | 0.71 |
References
- Siegel, R.L.; Miller, K.D.; Jemal, A. Cancer statistics, 2020. CA Cancer J. Clin. 2020, 70, 7–30. [Google Scholar] [CrossRef]
- Shaw, A.T.; Yeap, B.Y.; Mino-Kenudson, M.; Digumarthy, S.R.; Costa, D.B.; Heist, R.S.; Solomon, B.; Stubbs, H.; Admane, S.; McDermott, U.; et al. Clinical features and outcome of patients with non-small-cell lung cancer who harbor EML4-ALK. J. Clin. Oncol. 2009, 27, 4247–4253. [Google Scholar] [CrossRef]
- Girard, N. Optimizing outcomes in EGFR mutation-positive NSCLC: Which tyrosine kinase inhibitor and when? Future Oncol. 2018, 14, 1117–1132. [Google Scholar] [CrossRef]
- Shaw, A.T.; Kim, D.W.; Nakagawa, K.; Seto, T.; Crino, L.; Ahn, M.J.; De Pas, T.; Besse, B.; Solomon, B.J.; Blackhall, F.; et al. Crizotinib versus chemotherapy in advanced ALK-positive lung cancer. N. Engl. J. Med. 2013, 368, 2385–2394. [Google Scholar] [CrossRef]
- Yang, J.C.; Wu, Y.L.; Schuler, M.; Sebastian, M.; Popat, S.; Yamamoto, N.; Zhou, C.; Hu, C.P.; O’Byrne, K.; Feng, J.; et al. Afatinib versus cisplatin-based chemotherapy for EGFR mutation-positive lung adenocarcinoma (LUX-Lung 3 and LUX-Lung 6): Analysis of overall survival data from two randomised, phase 3 trials. Lancet Oncol. 2015, 16, 141–151. [Google Scholar] [CrossRef]
- Mitsudomi, T.; Morita, S.; Yatabe, Y.; Negoro, S.; Okamoto, I.; Tsurutani, J.; Seto, T.; Satouchi, M.; Tada, H.; Hirashima, T.; et al. Gefitinib versus cisplatin plus docetaxel in patients with non-small-cell lung cancer harbouring mutations of the epidermal growth factor receptor (WJTOG3405): An open label, randomised phase 3 trial. Lancet Oncol. 2010, 11, 121–128. [Google Scholar] [CrossRef]
- Westover, D.; Zugazagoitia, J.; Cho, B.C.; Lovly, C.M.; Paz-Ares, L. Mechanisms of acquired resistance to first- and second-generation EGFR tyrosine kinase inhibitors. Ann. Oncol. 2018, 29, i10–i19. [Google Scholar] [CrossRef] [PubMed]
- Lin, J.J.; Riely, G.J.; Shaw, A.T. Targeting ALK: Precision medicine takes on drug resistance. Cancer Discov. 2017, 7, 137–155. [Google Scholar] [CrossRef] [PubMed]
- Hickman, J.A.; Beere, H.M.; Wood, A.C.; Waters, C.M.; Parmar, R. Mechanisms of cytotoxicity caused by antitumour drugs. Toxicol. Lett. 1992, 64–65, 553–561. [Google Scholar] [CrossRef]
- Meyn, R.E.; Stephens, L.C.; Hunter, N.R.; Milas, L. Apoptosis in murine tumors treated with chemotherapy agents. Anticancer Drugs 1995, 6, 443–450. [Google Scholar] [CrossRef] [PubMed]
- Ellis, P.A.; Smith, I.E.; McCarthy, K.; Detre, S.; Salter, J.; Dowsett, M. Preoperative chemotherapy induces apoptosis in early breast cancer. Lancet 1997, 349, 849. [Google Scholar] [CrossRef]
- Lee, J.Y.; Qing, X.; Xiumin, W.; Yali, B.; Chi, S.; Bak, S.H.; Lee, H.Y.; Sun, J.M.; Lee, S.H.; Ahn, J.S.; et al. Longitudinal monitoring of EGFR mutations in plasma predicts outcomes of NSCLC patients treated with EGFR TKIs: Korean lung cancer consortium (KLCC-12-02). Oncotarget 2016, 7, 6984–6993. [Google Scholar] [CrossRef] [PubMed]
- Sorensen, B.S.; Wu, L.; Wei, W.; Tsai, J.; Weber, B.; Nexo, E.; Meldgaard, P. Monitoring of epidermal growth factor receptor tyrosine kinase inhibitor-sensitizing and resistance mutations in the plasma DNA of patients with advanced non-small cell lung cancer during treatment with erlotinib. Cancer 2014, 120, 3896–3901. [Google Scholar] [CrossRef] [PubMed]
- Iorio, M.V.; Croce, C.M. MicroRNA dysregulation in cancer: Diagnostics, monitoring and therapeutics. A comprehensive review. EMBO Mol. Med. 2017, 9, 852. [Google Scholar] [CrossRef]
- Jung, M.; Schaefer, A.; Steiner, I.; Kempkensteffen, C.; Stephan, C.; Erbersdobler, A.; Jung, K. Robust microRNA stability in degraded RNA preparations from human tissue and cell samples. Clin. Chem. 2010, 56, 998–1006. [Google Scholar] [CrossRef]
- Mitchell, P.S.; Parkin, R.K.; Kroh, E.M.; Fritz, B.R.; Wyman, S.K.; Pogosova-Agadjanyan, E.L.; Peterson, A.; Noteboom, J.; O’Briant, K.C.; Allen, A.; et al. Circulating microRNAs as stable blood-based markers for cancer detection. Proc. Natl. Acad. Sci. USA 2008, 105, 10513–10518. [Google Scholar] [CrossRef]
- Leers, M.P.; Kolgen, W.; Bjorklund, V.; Bergman, T.; Tribbick, G.; Persson, B.; Bjorklund, P.; Ramaekers, F.C.; Bjorklund, B.; Nap, M.; et al. Immunocytochemical detection and mapping of a cytokeratin 18 neo-epitope exposed during early apoptosis. J. Pathol. 1999, 187, 567–572. [Google Scholar] [CrossRef]
- Crosbie, P.A.; Shah, R.; Summers, Y.; Dive, C.; Blackhall, F. Prognostic and predictive biomarkers in early stage NSCLC: CTCs and serum/plasma markers. Transl. Lung Cancer Res. 2013, 2, 382–397. [Google Scholar]
- Couto, N.; Wood, J.; Barber, J. The role of glutathione reductase and related enzymes on cellular redox homoeostasis network. Free Radic. Biol. Med. 2016, 95, 27–42. [Google Scholar] [CrossRef]
- Plowright, L.; Harrington, K.J.; Pandha, H.S.; Morgan, R. HOX transcription factors are potential therapeutic targets in non-small-cell lung cancer (targeting HOX genes in lung cancer). Br. J. Cancer 2009, 100, 470–475. [Google Scholar] [CrossRef]
- Lee, C.L.; Lam, K.K.; Koistinen, H.; Seppala, M.; Kurpisz, M.; Fernandez, N.; Pang, R.T.; Yeung, W.S.; Chiu, P.C. Glycodelin-A as a paracrine regulator in early pregnancy. J. Reprod. Immunol. 2011, 90, 29–34. [Google Scholar] [CrossRef] [PubMed]
- Alok, A.; Karande, A.A. The role of glycodelin as an immune-modulating agent at the feto-maternal interface. J. Reprod. Immunol. 2009, 83, 124–127. [Google Scholar] [CrossRef] [PubMed]
- Bischof, A.; Briese, V.; Richter, D.U.; Bergemann, C.; Friese, K.; Jeschke, U. Measurement of glycodelin A in fluids of benign ovarian cysts, borderline tumours and malignant ovarian cancer. Anticancer Res. 2005, 25, 1639–1644. [Google Scholar] [PubMed]
- Kamarainen, M.; Halttunen, M.; Koistinen, R.; von Boguslawsky, K.; von Smitten, K.; Andersson, L.C.; Seppala, M. Expression of glycodelin in human breast and breast cancer. Int. J. Cancer 1999, 83, 738–742. [Google Scholar] [CrossRef]
- Ren, S.; Liu, S.; Howell, P.M., Jr.; Zhang, G.; Pannell, L.; Samant, R.; Shevde-Samant, L.; Tucker, J.A.; Fodstad, O.; Riker, A.I. Functional characterization of the progestagen-associated endometrial protein gene in human melanoma. J. Cell. Mol. Med. 2010, 14, 1432–1442. [Google Scholar] [CrossRef]
- Schneider, M.A.; Granzow, M.; Warth, A.; Schnabel, P.A.; Thomas, M.; Herth, F.J.; Dienemann, H.; Muley, T.; Meister, M. Glycodelin: A new biomarker with immunomodulatory functions in non-small cell lung cancer. Clin. Cancer Res. Off. J. Am. Assoc. Cancer Res. 2015, 21, 3529–3540. [Google Scholar] [CrossRef]
- Schneider, M.A.; Muley, T.; Weber, R.; Wessels, S.; Thomas, M.; Herth, F.J.F.; Kahn, N.C.; Eberhardt, R.; Winter, H.; Heussel, G.; et al. Glycodelin as a serum and tissue biomarker for metastatic and advanced NSCLC. Cancers 2018, 10, 486. [Google Scholar] [CrossRef]
- Gamcsik, M.P.; Kasibhatla, M.S.; Teeter, S.D.; Colvin, O.M. Glutathione levels in human tumors. Biomarkers 2012, 17, 671–691. [Google Scholar] [CrossRef]
- Kramer, G.; Erdal, H.; Mertens, H.J.; Nap, M.; Mauermann, J.; Steiner, G.; Marberger, M.; Biven, K.; Shoshan, M.C.; Linder, S. Differentiation between cell death modes using measurements of different soluble forms of extracellular cytokeratin 18. Cancer Res. 2004, 64, 1751–1756. [Google Scholar] [CrossRef]
- Yang, P.; Ebbert, J.O.; Sun, Z.; Weinshilboum, R.M. Role of the glutathione metabolic pathway in lung cancer treatment and prognosis: A review. J. Clin. Oncol. 2006, 24, 1761–1769. [Google Scholar] [CrossRef]
- Tang, C.H.; Parham, C.; Shocron, E.; McMahon, G.; Patel, N. Picoplatin overcomes resistance to cell toxicity in small-cell lung cancer cells previously treated with cisplatin and carboplatin. Cancer Chemother. Pharmacol. 2011, 67, 1389–1400. [Google Scholar] [CrossRef] [PubMed]
- Zhang, H.; Mao, F.; Shen, T.; Luo, Q.; Ding, Z.; Qian, L.; Huang, J. Plasma miR-145, miR-20a, miR-21 and miR-223 as novel biomarkers for screening early-stage non-small cell lung cancer. Oncol. Lett. 2017, 13, 669–676. [Google Scholar] [CrossRef] [PubMed]
- Zhang, W.C.; Chin, T.M.; Yang, H.; Nga, M.E.; Lunny, D.P.; Lim, E.K.; Sun, L.L.; Pang, Y.H.; Leow, Y.N.; Malusay, S.R.; et al. Tumour-initiating cell-specific miR-1246 and miR-1290 expression converge to promote non-small cell lung cancer progression. Nat. Commun. 2016, 7, 11702. [Google Scholar] [CrossRef]
- Abbosh, C.; Birkbak, N.J.; Wilson, G.A.; Jamal-Hanjani, M.; Constantin, T.; Salari, R.; Le Quesne, J.; Moore, D.A.; Veeriah, S.; Rosenthal, R.; et al. Phylogenetic ctDNA analysis depicts early-stage lung cancer evolution. Nature 2017, 545, 446–451. [Google Scholar] [CrossRef] [PubMed]
- Riediger, A.L.; Dietz, S.; Schirmer, U.; Meister, M.; Heinzmann-Groth, I.; Schneider, M.; Muley, T.; Thomas, M.; Sultmann, H. Mutation analysis of circulating plasma DNA to determine response to EGFR tyrosine kinase inhibitor therapy of lung adenocarcinoma patients. Sci. Rep. 2016, 6, 33505. [Google Scholar] [CrossRef] [PubMed]
- Rijavec, E.; Coco, S.; Genova, C.; Rossi, G.; Longo, L.; Grossi, F. Liquid biopsy in non-small cell lung cancer: Highlights and challenges. Cancers 2019, 12, 17. [Google Scholar] [CrossRef]
- Scott, A.; Salgia, R. Biomarkers in lung cancer: From early detection to novel therapeutics and decision making. Biomark. Med. 2008, 2, 577–586. [Google Scholar] [CrossRef]
- Hassanein, M.; Callison, J.C.; Callaway-Lane, C.; Aldrich, M.C.; Grogan, E.L.; Massion, P.P. The state of molecular biomarkers for the early detection of lung cancer. Cancer Prev. Res. (Phila) 2012, 5, 992–1006. [Google Scholar] [CrossRef]
- Calabrese, F.; Lunardi, F.; Pezzuto, F.; Fortarezza, F.; Vuljan, S.E.; Marquette, C.; Hofman, P. Are there new biomarkers in tissue and liquid biopsies for the early detection of non-small cell lung cancer? J. Clin. Med. 2019, 8, 414. [Google Scholar] [CrossRef]
- Goldberg, S.B.; Narayan, A.; Kole, A.J.; Decker, R.H.; Teysir, J.; Carriero, N.J.; Lee, A.; Nemati, R.; Nath, S.K.; Mane, S.M.; et al. Early assessment of lung cancer immunotherapy response via circulating tumor DNA. Clin. Cancer Res. Off. J. Am. Assoc. Cancer Res. 2018, 24, 1872–1880. [Google Scholar] [CrossRef]
- Wei, J.; Gao, W.; Zhu, C.J.; Liu, Y.Q.; Mei, Z.; Cheng, T.; Shu, Y.Q. Identification of plasma microRNA-21 as a biomarker for early detection and chemosensitivity of non-small cell lung cancer. Chin. J. Cancer 2011, 30, 407–414. [Google Scholar] [CrossRef] [PubMed]
- Marchetti, A.; Palma, J.F.; Felicioni, L.; De Pas, T.M.; Chiari, R.; Del Grammastro, M.; Filice, G.; Ludovini, V.; Brandes, A.A.; Chella, A.; et al. Early prediction of response to tyrosine kinase inhibitors by quantification of EGFR mutations in plasma of NSCLC patients. J. Thorac. Oncol. 2015, 10, 1437–1443. [Google Scholar] [CrossRef] [PubMed]
- Blondal, T.; Jensby Nielsen, S.; Baker, A.; Andreasen, D.; Mouritzen, P.; Wrang Teilum, M.; Dahlsveen, I.K. Assessing sample and miRNA profile quality in serum and plasma or other biofluids. Methods 2013, 59, S1–S6. [Google Scholar] [CrossRef] [PubMed]
- Oxnard, G.R.; Paweletz, C.P.; Kuang, Y.; Mach, S.L.; O’Connell, A.; Messineo, M.M.; Luke, J.J.; Butaney, M.; Kirschmeier, P.; Jackman, D.M.; et al. Noninvasive detection of response and resistance in EGFR-mutant lung cancer using quantitative next-generation genotyping of cell-free plasma DNA. Clin. Cancer Res. Off. J. Am. Assoc. Cancer Res. 2014, 20, 1698–1705. [Google Scholar] [CrossRef] [PubMed]
- Douillard, J.Y.; Ostoros, G.; Cobo, M.; Ciuleanu, T.; Cole, R.; McWalter, G.; Walker, J.; Dearden, S.; Webster, A.; Milenkova, T.; et al. Gefitinib treatment in EGFR mutated caucasian NSCLC: Circulating-free tumor DNA as a surrogate for determination of EGFR status. J. Thorac. Oncol. 2014, 9, 1345–1353. [Google Scholar] [CrossRef]
- De Petris, L.; Branden, E.; Herrmann, R.; Sanchez, B.C.; Koyi, H.; Linderholm, B.; Lewensohn, R.; Linder, S.; Lehtio, J. Diagnostic and prognostic role of plasma levels of two forms of cytokeratin 18 in patients with non-small-cell lung cancer. Eur. J. Cancer 2011, 47, 131–137. [Google Scholar] [CrossRef]
- McShane, L.M.; Altman, D.G.; Sauerbrei, W.; Taube, S.E.; Gion, M.; Clark, G.M. Reporting recommendations for tumor marker prognostic studies. J. Clin. Oncol. 2005, 23, 9067–9072. [Google Scholar] [CrossRef]
- Joel, S.P.; Clark, P.I.; Heap, L.; Webster, L.; Robbins, S.; Craft, H.; Slevin, M.L. Pharmacological attempts to improve the bioavailability of oral etoposide. Cancer Chemother. Pharmacol. 1995, 37, 125–133. [Google Scholar] [CrossRef]
- Peltier, H.J.; Latham, G.J. Normalization of microRNA expression levels in quantitative RT-PCR assays: Identification of suitable reference RNA targets in normal and cancerous human solid tissues. RNA 2008, 14, 844–852. [Google Scholar] [CrossRef]
- Zhu, J.; Qi, Y.; Wu, J.; Shi, M.; Feng, J.; Chen, L. Evaluation of plasma microRNA levels to predict insensitivity of patients with advanced lung adenocarcinomas to pemetrexed and platinum. Oncol. Lett. 2016, 12, 4829–4837. [Google Scholar] [CrossRef]
- Liao, J.; Lin, J.; Lin, D.; Zou, C.; Kurata, J.; Lin, R.; He, Z.; Su, Y. Down-regulation of miR-214 reverses erlotinib resistance in non-small-cell lung cancer through up-regulating LHX6 expression. Sci. Rep. 2017, 7, 781. [Google Scholar] [CrossRef] [PubMed]
- Hetta, H.F.; Zahran, A.M.; Shafik, E.A.; El-Mahdy, R.I.; Mohamed, N.A.; Nabil, E.E.; Esmaeel, H.M.; Alkady, O.A.; Elkady, A.; Mohareb, D.A.; et al. Circulating miRNA-21 and miRNA-23a expression signature as potential biomarkers for early detection of non-small-cell lung cancer. Microrna 2019, 8, 206–215. [Google Scholar] [CrossRef] [PubMed]
- Lv, S.; Xue, J.; Wu, C.; Wang, L.; Wu, J.; Xu, S.; Liang, X.; Lou, J. Identification of a panel of serum microRNAs as biomarkers for early detection of lung adenocarcinoma. J. Cancer 2017, 8, 48–56. [Google Scholar] [CrossRef]
- Garofalo, M.; Romano, G.; Di Leva, G.; Nuovo, G.; Jeon, Y.J.; Ngankeu, A.; Sun, J.; Lovat, F.; Alder, H.; Condorelli, G.; et al. EGFR and MET receptor tyrosine kinase-altered microRNA expression induces tumorigenesis and gefitinib resistance in lung cancers. Nat. Med. 2011, 18, 74–82. [Google Scholar] [CrossRef] [PubMed]
- Kitamura, K.; Seike, M.; Okano, T.; Matsuda, K.; Miyanaga, A.; Mizutani, H.; Noro, R.; Minegishi, Y.; Kubota, K.; Gemma, A. MiR-134/487b/655 cluster regulates TGF-beta-induced epithelial-mesenchymal transition and drug resistance to gefitinib by targeting MAGI2 in lung adenocarcinoma cells. Mol. Cancer Ther. 2014, 13, 444–453. [Google Scholar] [CrossRef] [PubMed]
- Sanfiorenzo, C.; Ilie, M.I.; Belaid, A.; Barlesi, F.; Mouroux, J.; Marquette, C.H.; Brest, P.; Hofman, P. Two panels of plasma microRNAs as non-invasive biomarkers for prediction of recurrence in resectable NSCLC. PLoS ONE 2013, 8, e54596. [Google Scholar] [CrossRef] [PubMed]
- Zhong, M.; Ma, X.; Sun, C.; Chen, L. MicroRNAs reduce tumor growth and contribute to enhance cytotoxicity induced by gefitinib in non-small cell lung cancer. Chem. Biol. Interact. 2010, 184, 431–438. [Google Scholar] [CrossRef]
- Kumar, S.; Sharawat, S.K.; Ali, A.; Gaur, V.; Malik, P.S.; Kumar, S.; Mohan, A.; Guleria, R. Identification of differentially expressed circulating serum microRNA for the diagnosis and prognosis of Indian non-small cell lung cancer patients. Curr. Probl. Cancer 2020, 100540. [Google Scholar] [CrossRef]
- Zheng, F.; Zhang, H.; Lu, J. Identification of potential microRNAs and their targets in promoting gefitinib resistance by integrative network analysis. J. Thorac. Dis. 2019, 11, 5535–5546. [Google Scholar] [CrossRef]
- Geng, Q.; Fan, T.; Zhang, B.; Wang, W.; Xu, Y.; Hu, H. Five microRNAs in plasma as novel biomarkers for screening of early-stage non-small cell lung cancer. Respir. Res. 2014, 15, 149. [Google Scholar] [CrossRef]
- Han, J.; Zhao, F.; Zhang, J.; Zhu, H.; Ma, H.; Li, X.; Peng, L.; Sun, J.; Chen, Z. miR-223 reverses the resistance of EGFR-TKIs through IGF1R/PI3K/Akt signaling pathway. Int. J. Oncol. 2016, 48, 1855–1867. [Google Scholar] [CrossRef] [PubMed]
- Qu, L.; Li, L.; Zheng, X.; Fu, H.; Tang, C.; Qin, H.; Li, X.; Wang, H.; Li, J.; Wang, W.; et al. Circulating plasma microRNAs as potential markers to identify EGFR mutation status and to monitor epidermal growth factor receptor-tyrosine kinase inhibitor treatment in patients with advanced non-small cell lung cancer. Oncotarget 2017, 8, 45807–45824. [Google Scholar] [CrossRef][Green Version]
- Wang, Y.; Zhao, H.; Gao, X.; Wei, F.; Zhang, X.; Su, Y.; Wang, C.; Li, H.; Ren, X. Identification of a three-miRNA signature as a blood-borne diagnostic marker for early diagnosis of lung adenocarcinoma. Oncotarget 2016, 7, 26070–26086. [Google Scholar] [CrossRef] [PubMed]
- Yang, X.; Zhang, Q.; Zhang, M.; Su, W.; Wang, Z.; Li, Y.; Zhang, J.; Beer, D.G.; Yang, S.; Chen, G. Serum microRNA signature is capable of early diagnosis for non-small cell lung cancer. Int. J. Biol. Sci. 2019, 15, 1712–1722. [Google Scholar] [CrossRef] [PubMed]
- Sun, D.M.; Tang, B.F.; Li, Z.X.; Guo, H.B.; Cheng, J.L.; Song, P.P.; Zhao, X. MiR-29c reduces the cisplatin resistance of non-small cell lung cancer cells by negatively regulating the PI3K/Akt pathway. Sci. Rep. 2018, 8, 8007. [Google Scholar] [CrossRef] [PubMed]
- Li, Z.H.; Zhang, H.; Yang, Z.G.; Wen, G.Q.; Cui, Y.B.; Shao, G.G. Prognostic significance of serum microRNA-210 levels in nonsmall-cell lung cancer. J. Int. Med. Res. 2013, 41, 1437–1444. [Google Scholar] [CrossRef]





| Parameter | n | (%) |
|---|---|---|
| median age in years (range) | 62 (40–84) | |
| gender | 50 | 100 |
| male | 24 | 48 |
| female | 26 | 52 |
| ECOG | 50 | 100 |
| 0 | 25 | 50 |
| 1 | 21 | 42 |
| no data | 4 | 8 |
| Smoking status | 50 | 100 |
| current smoker | 17 | 34 |
| ex-smoker <6 months | 4 | 8 |
| ex-smoker >6 months | 17 | 34 |
| non-smoker | 10 | 20 |
| no data | 2 | 4 |
| histology | 50 | 100 |
| non-small cell lung cancer | 50 | 100 |
| adenocarcinoma | 46 | 92 |
| squamous cell carcinoma | 1 | 2 |
| large cell carcinoma | 1 | 2 |
| NOS | 2 | 4 |
| clinical stage (8th edition) | 50 | 100 |
| stage IVA | 21 | 42 |
| stage IVB | 29 | 58 |
| therapy | 50 | 100 |
| chemotherapy * | 25 | 50 |
| targeted therapy | 25 | 50 |
| EGFR ** | 20 | 40 |
| EML4-ALK *** | 4 | 8 |
| BRAF | 1 | 2 |
| Biomarker | Application in Liquid Biopsy | References | Group |
|---|---|---|---|
| Glycodelin | Glycodelin is secreted by non-small cell lung cancer (NSCLC) cells and has predictive value when measured in the serum of patients. | [26,27] | A/B |
| Cytokeratin-18 | Full length (M65) and caspase-cleaved (M30) forms of cytokeratin-18 are increased in lung cancer patients and correlate with apoptosis. | [17,28,29] | A/B |
| Glutathione (GSH) and oxidized glutathione (oxGSH) protect cancer cells against cytotoxic compounds and are overexpressed in NSCLC cell lines. | [30,31] | A/B | |
| microRNA | Deregulation of miRNA is associated with various diseases including cancer. Circulating miRNAs show variable abundances in lung cancer patients and healthy individuals, which may be useful for diagnosis, prognosis, and therapy monitoring. An overview of the miRNAs selected for this study is provided in Table A1. | [32,33] | A/B |
| Driver mutation | Mutations detectable in circulating DNA can reflect the landscape of primary tumors and metastases. Serial evaluation of mutant DNA could provide a noninvasive assessment of therapy response. | [34,35] | B |
© 2020 by the authors. Licensee MDPI, Basel, Switzerland. This article is an open access article distributed under the terms and conditions of the Creative Commons Attribution (CC BY) license (http://creativecommons.org/licenses/by/4.0/).
Share and Cite
Janke, F.; Bozorgmehr, F.; Wrenger, S.; Dietz, S.; Heussel, C.P.; Heussel, G.; Silva, C.F.; Rheinheimer, S.; Feisst, M.; Thomas, M.; et al. Novel Liquid Biomarker Panels for A Very Early Response Capturing of NSCLC Therapies in Advanced Stages. Cancers 2020, 12, 954. https://doi.org/10.3390/cancers12040954
Janke F, Bozorgmehr F, Wrenger S, Dietz S, Heussel CP, Heussel G, Silva CF, Rheinheimer S, Feisst M, Thomas M, et al. Novel Liquid Biomarker Panels for A Very Early Response Capturing of NSCLC Therapies in Advanced Stages. Cancers. 2020; 12(4):954. https://doi.org/10.3390/cancers12040954
Chicago/Turabian StyleJanke, Florian, Farastuk Bozorgmehr, Sabine Wrenger, Steffen Dietz, Claus P. Heussel, Gudula Heussel, Carlos F. Silva, Stephan Rheinheimer, Manuel Feisst, Michael Thomas, and et al. 2020. "Novel Liquid Biomarker Panels for A Very Early Response Capturing of NSCLC Therapies in Advanced Stages" Cancers 12, no. 4: 954. https://doi.org/10.3390/cancers12040954
APA StyleJanke, F., Bozorgmehr, F., Wrenger, S., Dietz, S., Heussel, C. P., Heussel, G., Silva, C. F., Rheinheimer, S., Feisst, M., Thomas, M., Golpon, H., Günther, A., Sültmann, H., Muley, T., Janciauskiene, S., Meister, M., & Schneider, M. A. (2020). Novel Liquid Biomarker Panels for A Very Early Response Capturing of NSCLC Therapies in Advanced Stages. Cancers, 12(4), 954. https://doi.org/10.3390/cancers12040954

